Sign in to use this feature.

Years

Between: -

Subjects

remove_circle_outline
remove_circle_outline
remove_circle_outline
remove_circle_outline
remove_circle_outline
remove_circle_outline
remove_circle_outline
remove_circle_outline
remove_circle_outline

Journals

remove_circle_outline
remove_circle_outline
remove_circle_outline

Article Types

Countries / Regions

remove_circle_outline
remove_circle_outline
remove_circle_outline
remove_circle_outline

Search Results (223)

Search Parameters:
Keywords = weighted fractional operators

Order results
Result details
Results per page
Select all
Export citation of selected articles as:
21 pages, 776 KB  
Article
Solvability, Ulam–Hyers Stability, and Kernel Analysis of Multi-Order σ-Hilfer Fractional Systems: A Unified Theoretical Framework
by Yasir A. Madani, Mohammed Almalahi, Osman Osman, Ahmed M. I. Adam, Haroun D. S. Adam, Ashraf A. Qurtam and Khaled Aldwoah
Fractal Fract. 2026, 10(1), 21; https://doi.org/10.3390/fractalfract10010021 - 29 Dec 2025
Viewed by 63
Abstract
This paper establishes a rigorous analytical framework for a nonlinear multi-order fractional differential system governed by the generalized σ-Hilfer operator in weighted Banach spaces. In contrast to existing studies that often treat specific kernels or fixed fractional orders in isolation, our approach [...] Read more.
This paper establishes a rigorous analytical framework for a nonlinear multi-order fractional differential system governed by the generalized σ-Hilfer operator in weighted Banach spaces. In contrast to existing studies that often treat specific kernels or fixed fractional orders in isolation, our approach provides a unified treatment that simultaneously handles multiple fractional orders, a tunable kernel σ(ς), weighted integral conditions, and a nonlinearity depending on a fractional integral of the solution. By converting the hierarchical differential structure into an equivalent Volterra integral equation, we derive sufficient conditions for the existence and uniqueness of solutions using the Banach contraction principle and Mönch’s fixed-point theorem with measures of non-compactness. The analysis is extended to Ulam–Hyers stability, ensuring robustness under modeling perturbations. A principal contribution is the systematic classification of the system’s symmetric reductions—specifically the Riemann–Liouville, Caputo, Hadamard, and Katugampola forms—all governed by a single spectral condition dependent on σ(ς). The theoretical results are illustrated by numerical examples that highlight the sensitivity of solutions to the memory kernel and the fractional orders. This work provides a cohesive analytical tool for a broad class of fractional systems with memory, thereby unifying previously disparate fractional calculi under a single, consistent framework. Full article
(This article belongs to the Section General Mathematics, Analysis)
Show Figures

Figure 1

22 pages, 425 KB  
Article
Fractional Black–Scholes Under Memory Effects: A Sixth-Order Local RBF–FD Scheme with Integrated Multiquadric Kernels
by Yutong Li, Mingqian Zhang, Ruosong Cao, Tao Liu, Xiaoxi Hu and Yakun Li
Axioms 2026, 15(1), 24; https://doi.org/10.3390/axioms15010024 - 27 Dec 2025
Viewed by 115
Abstract
In this work, a high-order meshless framework is developed for the numerical resolution of the temporal–fractional Black–Scholes equation arising in option pricing with long-memory effects. The spatial discretization is carried out with a local radial basis function produced finite difference (RBF–FD) method on [...] Read more.
In this work, a high-order meshless framework is developed for the numerical resolution of the temporal–fractional Black–Scholes equation arising in option pricing with long-memory effects. The spatial discretization is carried out with a local radial basis function produced finite difference (RBF–FD) method on seven-node stencils. Analytical differentiation weights are constructed by employing closed-form second integrations of a variant of the inverse multiquadric kernel, which yields sparse differentiation matrices. Explicit formulas are derived for both first- and second-order operators, and a detailed truncation error analysis confirms sixth-order convergence in space. Numerical experiments for European options discuss better accuracy per spatial node than standard finite difference schemes. Full article
(This article belongs to the Special Issue Fractional Differential Equation and Its Applications)
Show Figures

Figure 1

32 pages, 5074 KB  
Article
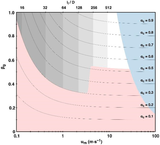
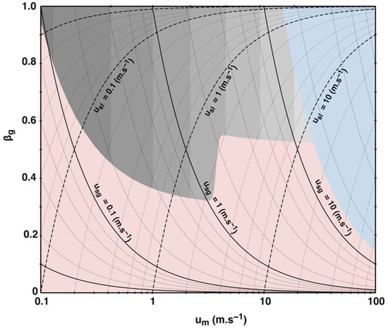
A Unified Drift–Flux Framework for Predictive Analysis of Flow Patterns and Void Fractions in Vertical Gas Lift Systems
by Omid Heydari, Sohrab Zendehboudi and Stephen Butt
Fluids 2026, 11(1), 6; https://doi.org/10.3390/fluids11010006 - 26 Dec 2025
Viewed by 119
Abstract
This study utilizes the drift–flux model to develop a new flow pattern map designed to facilitate an accurate estimation of gas void fraction (αg) in vertical upward flow. The map is parameterized by mixture velocity (um) and [...] Read more.
This study utilizes the drift–flux model to develop a new flow pattern map designed to facilitate an accurate estimation of gas void fraction (αg) in vertical upward flow. The map is parameterized by mixture velocity (um) and gas volumetric quality (βg), integrating transition criteria from the established literature. For applications characterized by significant pressure gradients, such as gas lift, these criteria were reformulated as functions of pressure, enabling direct estimation from operational data. A critical component of this methodology for the estimation of αg is the estimation of the distribution parameter (C0). An analysis of experimental data, spanning pipe diameters from 1.27 to 15 cm across the full void fraction ranges (0<αg<1), reveals a critical αg threshold beyond which C0 exhibits a distinct decreasing trend. To characterize this phenomenon, the parameter of the distribution-weighted void fraction (αc=αgC0) is introduced. This parameter, representing the dynamically effective void fraction, identifies the critical threshold at its inflection point. The proposed model subsequently defines C0 using a two-part function of αc. This generalized approach simplifies the complexity inherent in existing correlations and demonstrates superior predictive accuracy, reducing the average error in αg estimations to 5.4% and outperforming established methods. Furthermore, the model’s parametric architecture is explicitly designed to support the optimization and fine-tuning of coefficients, enabling future use of machine learning for various fluids and complex industrial cases. Full article
(This article belongs to the Special Issue Multiphase Flow for Industry Applications, 2nd Edition)
Show Figures

Figure 1

31 pages, 1151 KB  
Article
p, q, r-Fractional Fuzzy Frank Aggregation Operators and Their Application in Multi-Criteria Group Decision-Making
by Abid Khan, Ashfaq Ahmad Shah and Muhammad Zainul Abidin
Fractal Fract. 2026, 10(1), 11; https://doi.org/10.3390/fractalfract10010011 - 25 Dec 2025
Viewed by 165
Abstract
This paper presents new aggregation operators for p,q,r-fractional fuzzy sets based on the Frank t-norm and t-conorm. We introduce the p,q,r-fractional fuzzy Frank weighted average and p,q,r [...] Read more.
This paper presents new aggregation operators for p,q,r-fractional fuzzy sets based on the Frank t-norm and t-conorm. We introduce the p,q,r-fractional fuzzy Frank weighted average and p,q,r-fractional fuzzy Frank weighted geometric operators and discuss their algebraic properties, including closure, boundedness, idempotency, and monotonicity. Based on new operations, we develop a multi-criteria group decision-making framework that integrates the evaluations of multiple experts via the proposed Frank operators and ranks the alternatives under p,q,r-fractional fuzzy information. The model is applied to a cryptocurrency stability assessment problem, where four coins are evaluated with respect to six criteria. The results show that both aggregation operators yield consistent rankings with good discriminatory power among the alternatives. A sensitivity analysis is conducted to check the stability of the model under parameter variations. A comparative study further demonstrates the compatibility and advantages of the proposed method over several existing decision-making approaches. The proposed framework is well suited to decision-making scenarios in which multiple experts’ opinions must be integrated within a complex fuzzy information environment. Full article
Show Figures

Figure 1

35 pages, 2441 KB  
Article
Power Normalized and Fractional Power Normalized Least Mean Square Adaptive Beamforming Algorithm
by Yuyang Liu and Hua Wang
Electronics 2026, 15(1), 49; https://doi.org/10.3390/electronics15010049 - 23 Dec 2025
Viewed by 130
Abstract
With the rapid deployment of high-speed maglev transportation systems worldwide, the operational velocity, electromagnetic complexity, and channel dynamics have far exceeded those of conventional rail systems, imposing more stringent requirements on real-time capability, reliability, and interference robustness in wireless communication. In maglev environments [...] Read more.
With the rapid deployment of high-speed maglev transportation systems worldwide, the operational velocity, electromagnetic complexity, and channel dynamics have far exceeded those of conventional rail systems, imposing more stringent requirements on real-time capability, reliability, and interference robustness in wireless communication. In maglev environments exceeding 600 km/h, the channel becomes predominantly line-of-sight with sparse scatterers, exhibiting strong Doppler shifts, rapidly varying spatial characteristics, and severe interference, all of which significantly degrade the stability and convergence performance of traditional beamforming algorithms. Adaptive smart antenna technology has therefore become essential in high-mobility communication and sensing systems, as it enables real-time spatial filtering, interference suppression, and beam tracking through continuous weight updates. To address the challenges of slow convergence and high steady-state error in rapidly varying maglev channels, this work proposes a new Fractional Proportionate Normalized Least Mean Square (FPNLMS) adaptive beamforming algorithm. The contributions of this study are twofold. (1) A novel FPNLMS algorithm is developed by embedding a fractional-order gradient correction into the power-normalized and proportionate gain framework of PNLMS, forming a unified LMS-type update mechanism that enhances error tracking flexibility while maintaining O(L) computational complexity. This integrated design enables the proposed method to achieve faster convergence, improved robustness, and reduced steady-state error in highly dynamic channel conditions. (2) A unified convergence analysis framework is established for the proposed algorithm. Mean convergence conditions and practical step-size bounds are derived, explicitly incorporating the fractional-order term and generalizing classical LMS/PNLMS convergence theory, thereby providing theoretical guarantees for stable deployment in high-speed maglev beamforming. Simulation results verify that the proposed FPNLMS algorithm achieves significantly faster convergence, lower mean square error, and superior interference suppression compared with LMS, NLMS, FLMS, and PNLMS, demonstrating its strong applicability to beamforming in highly dynamic next-generation maglev communication systems. Full article
(This article belongs to the Special Issue 5G and Beyond Technologies in Smart Manufacturing, 2nd Edition)
Show Figures

Figure 1

42 pages, 967 KB  
Article
A Stochastic Fractional Fuzzy Tensor Framework for Robust Group Decision-Making in Smart City Renewable Energy Planning
by Muhammad Bilal, A. K. Alzahrani and A. K. Aljahdali
Fractal Fract. 2026, 10(1), 6; https://doi.org/10.3390/fractalfract10010006 - 22 Dec 2025
Viewed by 256
Abstract
Modern smart cities face increasing pressure to invest in sustainable and reliable energy systems while navigating uncertainties arising from fluctuating market conditions, evolving technology landscapes, and diverse expert opinions. Traditional multi-criteria decision-making (MCDM) approaches often fail to fully represent these uncertainties [...] Read more.
Modern smart cities face increasing pressure to invest in sustainable and reliable energy systems while navigating uncertainties arising from fluctuating market conditions, evolving technology landscapes, and diverse expert opinions. Traditional multi-criteria decision-making (MCDM) approaches often fail to fully represent these uncertainties as they typically rely on crisp inputs, lack temporal memory, and do not explicitly account for stochastic variability. To address these limitations, this study introduces a novel Stochastic Fractional Fuzzy Tensor (SFFT)-based Group Decision-Making framework. The proposed approach integrates three dimensions of uncertainty within a unified mathematical structure: fuzzy representation of subjective expert assessments, fractional temporal operators (Caputo derivative, α=0.85) to model the influence of historical evaluations, and stochastic diffusion terms (σ=0.05) to capture real-world volatility. A complete decision algorithm is developed and applied to a realistic smart city renewable energy selection problem involving six alternatives and six criteria evaluated by three experts. The SFFT-based evaluation identified Geothermal Energy as the optimal choice with a score of 0.798, followed by Offshore Wind (0.722) and Waste-to-Hydrogen (0.713). Comparative evaluation against benchmark MCDM methods—TOPSIS (Technique for Order Preference by Similarity to Ideal Solution), VIKOR (VIšekriterijumsko KOmpromisno Rangiranje), and WSM (Weighted Sum Model)—demonstrates that the SFFT approach yields more robust and stable rankings, particularly under uncertainty and model perturbations. Extensive sensitivity analysis confirms high resilience of the top-ranked alternative, with Geothermal retaining the first position in 82.4% of 5000 Monte Carlo simulations under simultaneous variations in weights, memory parameter (α[0.25,0.95]), and noise intensity (σ[0.01,0.10]). This research provides a realistic, mathematically grounded, and decision-maker-friendly tool for strategic planning in uncertain, dynamic urban environments, with strong potential for deployment in wider engineering, management, and policy applications. Full article
Show Figures

Figure 1

16 pages, 5540 KB  
Article
Comparison of Attenuation Imaging in the Rectus Femoris and Biceps Brachii Muscles with Multiecho Dixon-Based Fat Quantification and Ultrasound Echo Intensity
by Sophia Zoller, Karolina Pawlus, Catherine Paverd, Thomas Frauenfelder, Florian A. Huber and Alexander Martin
Diagnostics 2025, 15(24), 3239; https://doi.org/10.3390/diagnostics15243239 - 18 Dec 2025
Viewed by 210
Abstract
Background/Objectives: Sarcopenia, an underdiagnosed musculoskeletal disorder, is a serious cause of disability, poor quality of life, and healthcare costs in an increasingly elderly population. This study aimed to examine an ultrasound (US)-based, inexpensive, simple, and reproducible alternative to magnetic resonance imaging (MRI) [...] Read more.
Background/Objectives: Sarcopenia, an underdiagnosed musculoskeletal disorder, is a serious cause of disability, poor quality of life, and healthcare costs in an increasingly elderly population. This study aimed to examine an ultrasound (US)-based, inexpensive, simple, and reproducible alternative to magnetic resonance imaging (MRI) for assessing muscle quality. A study compared Dixon MR fat fraction with US attenuation imaging (ATI) and echo intensity (EI) in the rectus femoris (RF) and biceps brachii (BB). Methods: The US images were acquired from 34 participants who had previously received a whole-body MRI. The ATI measurements were carried out using a linear array on a Canon Aplio i800 scanner. The measurements of EI were assessed by manually tracing the cross-sectional border of the right RF and BB muscles. Corresponding T1-weighted Dixon VIBE-based fat and water images were required for the MRI fat fraction percentage (MR %FF) measurements. Results: Using Pearsons correlation coefficient, a good correlation was found between MR %FF and EI measurements. The results between operators’ measurements showed a strong correlation and were highly repeatable. Attenuation imaging revealed no correlation with MR %FF or EI. Conclusions: Echo intensity offers a low-cost, non-invasive, and widely accessible US-based imaging modality for screening patients at risk for sarcopenia. No correlation was found between the ATI and MR %FF or between the ATI and EI. Further adapted protocols and software adjustments are needed so that ATI has the potential to prove itself as an additional US-based method for assessing fat infiltration in muscles. Full article
(This article belongs to the Section Medical Imaging and Theranostics)
Show Figures

Figure 1

15 pages, 3346 KB  
Article
HDR Merging of RAW Exposure Series for All-Sky Cameras: A Comparative Study for Circumsolar Radiometry
by Paul Matteschk, Max Aragón, Jose Gomez, Jacob K. Thorning, Stefanie Meilinger and Sebastian Houben
J. Imaging 2025, 11(12), 442; https://doi.org/10.3390/jimaging11120442 - 11 Dec 2025
Viewed by 300
Abstract
All-sky imagers (ASIs) used in solar energy meteorology face an extreme intra-image dynamic range, with the circumsolar neighborhood orders of magnitude brighter than the diffuse dome. Many operational ASI pipelines address this gap with high-dynamic-range (HDR) bracketing inside the camera’s image signal processor [...] Read more.
All-sky imagers (ASIs) used in solar energy meteorology face an extreme intra-image dynamic range, with the circumsolar neighborhood orders of magnitude brighter than the diffuse dome. Many operational ASI pipelines address this gap with high-dynamic-range (HDR) bracketing inside the camera’s image signal processor (ISP), i.e., after demosaicing and color processing in a nonlinear 8-bit RGB domain. Near the Sun, such ISP-domain HDR can down-weight the shortest exposure, retain clipped or near-clipped samples from longer frames, and compress highlight contrast, thereby increasing circumsolar saturation and flattening aureole gradients. A radiance-linear HDR fusion in the sensor/RAW domain (RAW–HDR) is therefore contrasted with the vendor ISP-based HDR mode (ISP–HDR). Solar-based geometric calibration enables Sun-centered analysis. Paired, interleaved acquisitions under clear-sky and broken-cloud conditions are evaluated using two circumsolar performance criteria per RGB channel: (i) saturated-area fraction in concentric rings and (ii) a median-based radial gradient in defined arcs. All quantitative analyses operate on the radiance-linear HDR result; post-merge tone mapping is only used for visualization. Across conditions, ISP–HDR exhibits roughly double the near-saturation within 0–4° of the Sun and about a three- to fourfold weaker circumsolar radial gradient within 0–6° relative to RAW–HDR. These findings indicate that radiance-linear fusion in the RAW domain better preserves circumsolar structure than the examined ISP-domain HDR mode and thus provides more suitable input for downstream tasks such as cloud–edge detection, aerosol retrieval, and irradiance estimation. Full article
(This article belongs to the Special Issue Techniques and Applications of Sky Imagers)
Show Figures

Graphical abstract

26 pages, 1126 KB  
Article
Numerical Study of Fractional Order Burgers’-Huxley Equation Using Modified Cubic Splines Approximation
by Anita Devi, Archna Kumari, N. Parumasur, P. Singh and V. K. Kukreja
Fractal Fract. 2025, 9(12), 780; https://doi.org/10.3390/fractalfract9120780 - 1 Dec 2025
Viewed by 324
Abstract
This paper aims to explore the numerical solution of non-linear fractional-order Burgers’-Huxley equation based on Caputo’s formulation of fractional derivatives. The equation serves as a versatile tool for analyzing a wide range of physical, biological, and engineering systems, facilitating valuable insights into nonlinear [...] Read more.
This paper aims to explore the numerical solution of non-linear fractional-order Burgers’-Huxley equation based on Caputo’s formulation of fractional derivatives. The equation serves as a versatile tool for analyzing a wide range of physical, biological, and engineering systems, facilitating valuable insights into nonlinear dynamic phenomena. The fractional operator provides a comprehensive mathematical framework that effectively captures the non-locality, hereditary characteristics, and memory effects of various complex systems. The approximation of temporal differential operator is carried out through finite difference based L1 scheme, while spatial discretization is performed using modified cubic B-spline basis functions. The stability as well as convergence analysis of the approach are also presented. Additionally, some numerical test experiments are conducted to evaluate the computational efficiency of a modified fourth-order cubic B-spline (M43BS) approach. Finally, the results presented in the form of tables and graphs highlight the applicability and robustness of M43BS technique in solving fractional-order differential equations. The proposed methodology is preferred for its flexible nature, high accuracy, ease of implementation and the fact that it does not require unnecessary integration of weight functions, unlike other numerical methods such as Galerkin and spectral methods. Full article
Show Figures

Figure 1

21 pages, 347 KB  
Article
Existence Results for Resonant Functional Boundary Value Problems with Generalized Weighted Fractional Derivatives
by Bingzhi Sun, Shuqin Zhang and Shanshan Li
Fractal Fract. 2025, 9(12), 778; https://doi.org/10.3390/fractalfract9120778 - 28 Nov 2025
Viewed by 432
Abstract
In this article, we deduce the existence of a solution to the weighted fractional differential equation with functional boundary data involving an ω-weighted fractional derivative with Riemann–Liouville settings, D0+α,ψ,ω of order [...] Read more.
In this article, we deduce the existence of a solution to the weighted fractional differential equation with functional boundary data involving an ω-weighted fractional derivative with Riemann–Liouville settings, D0+α,ψ,ω of order α]n1,n[, on certain weighted Banach spaces when the nonlinear term contains the proportional delay term and fractional derivatives of order (0,1). After carefully defining a few weighted spaces and building a few weighted projection operators, we use Mawhin’s coincidence theory to derive a number of existence results at resonance. Furthermore, our method generalizes some prior results because numerous fractional differential operators are specific instances of the operator D0+α,ψ,ω and represent functional boundary conditions in a highly generic way. Lastly, we illustrate and support our theoretical results with an example. Full article
31 pages, 6234 KB  
Article
Research on Cavitation Characteristics of the Fluid Domain of the Single-Plunger Two-Dimensional Electro-Hydraulic Pump
by Xinguo Qiu, Jiahui Wang and Haodong Lu
Machines 2025, 13(12), 1100; https://doi.org/10.3390/machines13121100 - 27 Nov 2025
Viewed by 368
Abstract
A single-plunger two-dimensional electro-hydraulic pump is an integrated unit in which a two-dimensional plunger pump is embedded inside the rotor of a permanent magnet synchronous motor, significantly improving the power density and power-to-weight ratio of electro-hydraulic pumps. The pursuit of a higher power-to-weight [...] Read more.
A single-plunger two-dimensional electro-hydraulic pump is an integrated unit in which a two-dimensional plunger pump is embedded inside the rotor of a permanent magnet synchronous motor, significantly improving the power density and power-to-weight ratio of electro-hydraulic pumps. The pursuit of a higher power-to-weight ratio has made high-speed operation and high-pressure output persistent research priorities. However, during the iterative design process of electro-hydraulic pumps, cavitation has been identified as a common issue, leading to difficulties in oil suction and even severe backflow. Based on the structure and motion characteristics of the single-plunger two-dimensional electro-hydraulic pump, a CFD numerical model was established to analyze the influence of different working conditions on the cavitation characteristics inside the pump. The study shows that cavitation mainly occurs in the plunger chamber, the distribution groove, and the triangular damping groove. The location and intensity of cavitation are directly reflected by the gas volume fraction. The simulation analysis of variable operating conditions has verified that suction pressure and rotational speed have a significant impact on cavitation—an increase in suction pressure can effectively suppress cavitation, while an increase in rotational speed will exacerbate cavitation development. Specifically, the non-cavitation working boundary of this type of pump was determined through theoretical derivation, and the coupling relationship between critical suction pressure and critical speed was clarified. This work provides an important theoretical basis for the optimization design of the new integrated electro-hydraulic pump. Full article
(This article belongs to the Special Issue Unsteady Flow Phenomena in Fluid Machinery Systems)
Show Figures

Figure 1

38 pages, 601 KB  
Article
A New Laplace-Type Transform on Weighted Spaces with Applications to Hybrid Fractional Cauchy Problems
by Samten Choden, Jakgrit Sompong, Ekkarath Thailert and Sotiris K. Ntouyas
Fractal Fract. 2025, 9(11), 751; https://doi.org/10.3390/fractalfract9110751 - 20 Nov 2025
Viewed by 519
Abstract
This paper develops a generalized Laplace transform theory within weighted function spaces tailored for the analysis of fractional differential equations involving the ψ-Hilfer derivative. We redefine the transform in a weighted setting, establish its fundamental properties—including linearity, convolution theorems, and action on [...] Read more.
This paper develops a generalized Laplace transform theory within weighted function spaces tailored for the analysis of fractional differential equations involving the ψ-Hilfer derivative. We redefine the transform in a weighted setting, establish its fundamental properties—including linearity, convolution theorems, and action on δψ derivatives—and derive explicit formulas for the transforms of ψ-Riemann–Liouville, ψ-Caputo, and ψ-Hilfer fractional operators. The results provide a rigorous analytical foundation for solving hybrid fractional Cauchy problems that combine classical and fractional derivatives. As an application, we solve a hybrid model incorporating both δψ derivatives and ψ-Hilfer fractional derivatives, obtaining explicit solutions in terms of multivariate Mittag-Leffler functions. The effectiveness of the method is illustrated through a capacitor charging model and a hydraulic door closer system based on a mass-damper model, demonstrating how fractional-order terms capture memory effects and non-ideal behaviors not described by classical integer-order models. Full article
Show Figures

Figure 1

34 pages, 4008 KB  
Article
An Artificial-Intelligence-Based Predictive Maintenance Strategy Using Long Short-Term Memory Networks for Optimizing HVAC System Performance in Commercial Buildings
by Manea Almatared, Mohammed Sulaiman, Abdulaziz Alghamdi and Eman Nasrallah
Buildings 2025, 15(22), 4129; https://doi.org/10.3390/buildings15224129 - 17 Nov 2025
Viewed by 1532
Abstract
This study addresses the persistence of avoidable failures and efficiency losses in HVAC plants by introducing a field-validated predictive maintenance (PdM) framework that estimates component-level RUL from multiyear BMS telemetry and translates forecasts into schedule-aware maintenance actions. The objective was to determine whether [...] Read more.
This study addresses the persistence of avoidable failures and efficiency losses in HVAC plants by introducing a field-validated predictive maintenance (PdM) framework that estimates component-level RUL from multiyear BMS telemetry and translates forecasts into schedule-aware maintenance actions. The objective was to determine whether an LSTM ensemble with mode-aware segmentation and isotonic calibration could yield decision-quality RUL forecasts that reduce unplanned outages, downtime, and electricity use in a large Riyadh office building. Two years of 1 min BMS data from chillers, primary pumps, and AHU fans were cleaned, standardized, and segmented by operating mode; RUL labels were derived from time-stamped work orders and failure confirmations; the LSTM produced per-minute RUL estimates trained with a Huber loss, calibrated to lower quantiles, and converted to sustained triggers compared against a fixed-interval program. On the held-out test set, the model achieved a weighted MAE of 19.8 ± 2.1 h and RMSE of 29.1 ± 3.3 h, with quantile calibration error (QCE) 0.06 and lead-time accuracy (LTA; fraction of triggers whose calibrated lower-quantile RUL is the planning threshold) of 0.79 at a 10-day threshold. When deployed in counterfactual evaluation, triggers reduced unplanned outages by 47.6% (paired bootstrap p = 0.008) and total downtime by 41.3% (p = 0.012), and yielded a 10.6% reduction in HVAC electricity (95% CI: 7.7–13.2%) and a 9.7% decrease in total operating cost. The findings indicate that calibrated sequence models coupled to simple sustained triggers can convert routine BMS data into reliable maintenance schedules with quantifiable reliability and energy benefits. Practically, conservative calibration (q approximately 0.25) with thresholds of 10–12 days provided stable lead windows; future work should assess transferability across climates and facility types using transfer learning and integrate uncertainty-aware triggering with MPC for joint operational and maintenance optimization. Full article
Show Figures

Figure 1

22 pages, 350 KB  
Review
Fractional Calculus in Physics: A Brief Review of Fundamental Formalisms
by Cresus Fonseca de Lima Godinho and Ion Vasile Vancea
Mathematics 2025, 13(22), 3643; https://doi.org/10.3390/math13223643 - 13 Nov 2025
Viewed by 928
Abstract
Fractional calculus provides powerful tools for modeling nonlocality, dissipative systems, and, when defined in the time representation, provides an interesting memory effect in mathematical physics. In this paper, we review four standard fractional approaches: the Riemann–Liouville, Gerasimov–Caputo, Grünwald–Letnikov, and Riesz formulations. We present [...] Read more.
Fractional calculus provides powerful tools for modeling nonlocality, dissipative systems, and, when defined in the time representation, provides an interesting memory effect in mathematical physics. In this paper, we review four standard fractional approaches: the Riemann–Liouville, Gerasimov–Caputo, Grünwald–Letnikov, and Riesz formulations. We present their definitions, basic properties, Weyl–Marchaud, and physical interpretations. We also give a brief review of related operators that have been used recently in applications but have received less attention in the physical literature: the fractional Laplacian, conformable derivatives, and the Fractional Action-Like Variational Approach (FALVA) for variational principles with fractional action weights. Our emphasis is on how these operators are, and can be, applied in physical problems rather than on exhaustive coverage of the field. This review is intended as an accessible introduction for physicists working in diverse areas interested in fractional calculus and fractional methods. For deeper technical or domain-specific treatments, readers are encouraged to consult the works in the corresponding fields, for which the bibliography suggests a starting point. Full article
(This article belongs to the Section E4: Mathematical Physics)
31 pages, 3077 KB  
Article
Logistics Hub Location for High-Speed Rail Freight Transport—Case Ottawa–Quebec City Corridor
by Yong Lin Ren and Anjali Awasthi
Logistics 2025, 9(4), 158; https://doi.org/10.3390/logistics9040158 - 4 Nov 2025
Viewed by 1448
Abstract
Background: This paper develops a novel, interdisciplinary framework for optimizing high-speed rail (HSR) freight logistics hubs in the Ottawa–Quebec City corridor, addressing critical gaps in geospatial mismatches, static optimization limitations, and narrow sustainability scopes found in the existing literature. Methods: The research [...] Read more.
Background: This paper develops a novel, interdisciplinary framework for optimizing high-speed rail (HSR) freight logistics hubs in the Ottawa–Quebec City corridor, addressing critical gaps in geospatial mismatches, static optimization limitations, and narrow sustainability scopes found in the existing literature. Methods: The research methodology integrates a hybrid graph neural network-reinforcement learning (GNN-RL) architecture that encodes 412 nodes into a dynamic graph with adaptive edge weights, fractal accessibility (α = 1.78) derived from fractional calculus (α = 0.75) to model non-linear urban growth patterns, and a multi-criteria sustainability evaluation framework embedding shadow pricing for externalities. Methodologically, the framework is validated through global sensitivity analysis and comparative testing against classical optimization models using real-world geospatial, operational, and economic datasets from the corridor. Results: Key findings demonstrate the framework’s superiority. Empirical results show an obvious reduction in emissions and lower logistics costs compared to classical models, with Pareto-optimal hubs identified. These hubs achieve the most GDP coverage of the corridor, reconciling economic efficiency with environmental resilience and social equity. Conclusions: This research establishes a replicable methodology for mid-latitude freight corridors, advancing low-carbon logistics through the integration of GNN-RL optimization, fractal spatial analysis, and sustainability assessment—bridging economic viability, environmental decarbonization, and social equity in HSR freight network design. Full article
Show Figures

Figure 1

Back to TopTop