Sign in to use this feature.

Years

Between: -

Subjects

remove_circle_outline
remove_circle_outline
remove_circle_outline
remove_circle_outline
remove_circle_outline
remove_circle_outline
remove_circle_outline
remove_circle_outline
remove_circle_outline

Journals

remove_circle_outline
remove_circle_outline
remove_circle_outline
remove_circle_outline
remove_circle_outline
remove_circle_outline
remove_circle_outline
remove_circle_outline
remove_circle_outline
remove_circle_outline
remove_circle_outline
remove_circle_outline
remove_circle_outline
remove_circle_outline
remove_circle_outline
remove_circle_outline
remove_circle_outline
remove_circle_outline
remove_circle_outline

Article Types

Countries / Regions

remove_circle_outline
remove_circle_outline
remove_circle_outline
remove_circle_outline
remove_circle_outline
remove_circle_outline
remove_circle_outline
remove_circle_outline

Search Results (2,070)

Search Parameters:
Keywords = vulnerability mapping

Order results
Result details
Results per page
Select all
Export citation of selected articles as:
23 pages, 682 KB  
Article
What Lies Behind Diagnostic Labels? High Intra-Individual Variability Is the True Cognitive Signature of University Students with Specific Learning Disorders
by Sara Zonca, Marzia Lucia Bizzaro and Luisa Girelli
Brain Sci. 2026, 16(4), 404; https://doi.org/10.3390/brainsci16040404 - 10 Apr 2026
Abstract
Background/Objectives: Specific Learning Disorders are lifelong neurodevelopmental conditions that persist in adulthood, yet research has traditionally focused on children. In adults, there is significant heterogeneity in cognitive profiles and a lack of consensus on how to operationalize these disorders. This study aims [...] Read more.
Background/Objectives: Specific Learning Disorders are lifelong neurodevelopmental conditions that persist in adulthood, yet research has traditionally focused on children. In adults, there is significant heterogeneity in cognitive profiles and a lack of consensus on how to operationalize these disorders. This study aims to map the variability in cognitive functioning in university students with Specific Learning Disorders and investigate whether cognitive profiles differ across diagnostic categories and comorbidities. Methods: A retrospective analysis was conducted on the clinical documentation of 166 university students with a diagnosis of Specific Learning Disorders. Participants were categorized into three subgroups: predominant reading disorder, predominant arithmetic disorder, and mixed learning disorder. Cognitive functioning was assessed using Wechsler scales indices. Data were analyzed using linear mixed-effects models and Latent Profile Analysis. Results: Across the sample, reasoning abilities were significantly higher than cognitive efficiency, with working memory consistently emerging as a core weakness. The mixed-disorder group exhibited the lowest cognitive scores and the greatest working memory deficits. Latent Profile Analysis identified two distinct latent subgroups: a “Low Profile” characterized by weaker working memory and a “High Profile” characterized by stronger reasoning and balanced efficiency. Diagnostic labels were only partially aligned with these profiles; while the mixed-disorder group was overrepresented in the “Low Profile,” substantial intra-individual variability existed across all diagnostic categories. Conclusions: The findings suggest that traditional categorical labels for Specific Learning Disorders have limited explanatory power in adulthood, given the high heterogeneity of cognitive functioning. Cognitive weaknesses, particularly in working memory, persist even in high-achieving university students. Clinical and educational support should shift from a label-based approach toward a dimensional, profile-based model to better address the unique strengths and vulnerabilities of adults with Specific Learning Disorders. Full article
Show Figures

Figure 1

30 pages, 4465 KB  
Article
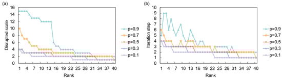
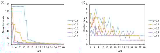
Mapping Vulnerability: Structure, Cascades, and Resilience in the Global Railway Vans Trade Network
by Lingyun Zhou, Langya Zhou, Weiwei Gong, Cheng Chen and Baojing Huang
Entropy 2026, 28(4), 421; https://doi.org/10.3390/e28040421 - 9 Apr 2026
Abstract
Global supply chains face increasing vulnerability to disruptions from geopolitical tensions, natural disasters, and demand shocks. The global trade network for railway vans, critical for transcontinental freight transport, remains understudied despite its foundational role in global logistics. This study addresses the gap in [...] Read more.
Global supply chains face increasing vulnerability to disruptions from geopolitical tensions, natural disasters, and demand shocks. The global trade network for railway vans, critical for transcontinental freight transport, remains understudied despite its foundational role in global logistics. This study addresses the gap in understanding how the railway vans trade network structure evolves and responds to different types of shocks, moving beyond static analyses to capture dynamic vulnerabilities. Using UN Comtrade data (2013–2024), multi-level network analysis examined structural evolution at macroscopic, mesoscopic, and microscopic scales. Three risk propagation models simulated supply disruption, demand shock, and cooperation disruption scenarios to assess systemic vulnerabilities. The network transformed from a polycentric to core-periphery structure, with China dominating exports (67 partners in 2024) and Germany leading European integration. Supply disruptions from Romania and Czechia affected up to 114 countries under low risk absorption capacity (α = 0.1), while demand shocks from the USA impacted 53 countries. The disruption of strategic trade links, such as China–Australia, triggered severe systemic risks. The systemic criticality of risk sources varies by shock type, requiring context-specific resilience strategies. The findings guide policymakers in identifying critical vulnerabilities and designing targeted interventions for enhancing supply chain resilience in infrastructure sectors. Full article
(This article belongs to the Special Issue Complexity of Social Networks)
Show Figures

Figure 1

22 pages, 3732 KB  
Systematic Review
Mapping Urban Socio-Economic Resilience to Climate Change: A Bibliometric Systematic Review and Thematic Analysis of Global Research (1990–2025)
by Irina Onțel, Luminița Chivu, Sorin Avram and Carmen Gheorghe
Sustainability 2026, 18(8), 3698; https://doi.org/10.3390/su18083698 - 9 Apr 2026
Abstract
Urban socio-economic resilience to climate change has emerged as a central research theme as cities increasingly confront interconnected environmental, economic, and social risks. Despite the rapidly expanding body of literature, the conceptual boundaries, thematic evolution, and analytical priorities of this field remain fragmented [...] Read more.
Urban socio-economic resilience to climate change has emerged as a central research theme as cities increasingly confront interconnected environmental, economic, and social risks. Despite the rapidly expanding body of literature, the conceptual boundaries, thematic evolution, and analytical priorities of this field remain fragmented across disciplines, and no prior study has systematically mapped the socio-economic dimension of urban resilience through a combined bibliometric and thematic analysis over a multi-decadal horizon. This study addresses that gap by providing a systematic review of global research on urban socio-economic resilience to climate change, integrating bibliometric and thematic analyses of peer-reviewed publications from 1990 to 2025. Following the PRISMA 2020 guidelines, records were retrieved from the Web of Science Core Collection and subjected to a multi-stage screening procedure that combined automated relevance scoring with mandatory manual validation of the socio-economic dimension, resulting in a final dataset of 5076 publications. The analysis examines conceptual interpretations of socio-economic resilience, dominant climate hazards affecting urban systems, methodological approaches and assessment indicators, adaptation strategies and governance responses, and emerging research gaps. The results reveal a marked acceleration of scientific output after 2015, driven by the Paris Agreement and the IPCC Special Report on Global Warming of 1.5 °C (2018). The bibliometric network analyses identify adaptation, vulnerability, flooding, and sustainability transitions as the core thematic clusters. The findings trace a paradigmatic trajectory from equilibrist recovery frameworks toward transformative, socio-economically grounded resilience models and reveal persistent gaps in the operationalization of governance, equity measurement, and geographic representation. By synthesizing three-and-a-half decades of scholarship, this review clarifies the intellectual structure of the field and proposes four specific post-2026 research pathways that emphasize longitudinal cross-city comparisons, mixed-methods assessments, sector-specific compound hazard analyses, and governance mechanism studies. Full article
(This article belongs to the Section Social Ecology and Sustainability)
Show Figures

Figure 1

25 pages, 23995 KB  
Article
Land-Use Regulations and Ecological Risk in Island Ecosystems: A GIS-Based Vulnerability–Threat Framework in the Seaflower Archipelago (Colombia)
by Andrea Yanes, Ana Carolina Torregroza-Espinosa, Laura Salas, María Margarita Sierra-Carrillo, Laura Noguera and Luana Portz
Geographies 2026, 6(2), 38; https://doi.org/10.3390/geographies6020038 - 8 Apr 2026
Abstract
The San Andrés, Providencia, and Santa Catalina archipelago, located in the Colombian Caribbean, hosts diverse ecosystems, including coral reefs, mangroves, seagrass beds, and beaches, all of which are increasingly threatened by human activities. This research proposes a spatial analysis of ecological risk that [...] Read more.
The San Andrés, Providencia, and Santa Catalina archipelago, located in the Colombian Caribbean, hosts diverse ecosystems, including coral reefs, mangroves, seagrass beds, and beaches, all of which are increasingly threatened by human activities. This research proposes a spatial analysis of ecological risk that integrates ecosystem vulnerability and anthropogenic pressures associated with land-use change to promote sustainable risk management. The vulnerability of island ecosystems was assessed by analyzing changes in cover across multiple time periods. At the same time, risks from anthropogenic pressures were determined based on marine protected area zoning and land-use planning regulations. Results show contrasting patterns: while several mangrove and beach sectors remained relatively stable, mangrove loss reached up to 65% in Providencia, and seagrass ecosystems experienced severe degradation, including a complete loss (100%) in western San Andrés. Risk maps indicate that the highest risk levels are consistently associated with Special Use Zones, where tourism infrastructure, navigation, and port activities are permitted. These findings highlight the importance of ecosystem-based risk management and adaptive governance in reducing anthropogenic pressures and preserving island ecosystem health. Full article
Show Figures

Figure 1

32 pages, 3421 KB  
Article
Sustainability Assessment of Onshore Wind Farms: A Case Study in the Region of Thessaly
by Olga Ourtzani and Dimitra G. Vagiona
Sustainability 2026, 18(8), 3656; https://doi.org/10.3390/su18083656 - 8 Apr 2026
Abstract
Renewable energy sources, and wind energy in particular, constitute a central pillar of energy policy at both national and European levels. Nevertheless, the deployment of onshore wind farms is frequently associated with spatial, environmental, and social conflicts, making the evaluation of existing projects [...] Read more.
Renewable energy sources, and wind energy in particular, constitute a central pillar of energy policy at both national and European levels. Nevertheless, the deployment of onshore wind farms is frequently associated with spatial, environmental, and social conflicts, making the evaluation of existing projects imperative. The present study aimed to assess the sustainability of existing onshore wind farms in the Region of Thessaly, with particular emphasis on their spatial planning, technical characteristics, and environmental impacts. The methodological framework consists of four distinct stages: (i) identification and spatial mapping of existing wind farms in the study area, (ii) assessment of the compliance of existing wind installations with the Specific Framework for Spatial Planning and Sustainable Development for Renewable Energy Sources (SFSPSD–RES), (iii) application of the Rapid Impact Assessment Matrix (RIAM) to enable a systematic and comparable evaluation of the impacts of wind installations on specific environmental and anthropogenic parameters, and (iv) estimation of project hazard and operational vulnerability through the application of Operational Risk Management (ORM). Geographic Information Systems (GISs) were employed for data processing and spatial analysis. The assessment showed that 40% of the evaluated wind farms fully comply with all eleven exclusion criteria of the SFSPSD-RES, whereas the remaining 60% show partial compliance, failing to meet between one and three criteria. RIAM results indicate that the most significant adverse impacts (−D and −C) during construction are associated with morphology/soils and the natural environment, mainly due to loss/fragmentation of vegetation and disturbance of fauna, and, in some cases, in areas of increased sensitivity. During operation, the main negative effects (−D and −C) relate to landscape and visual quality, as well as continued disturbance to the natural environment. At the same time, the operation generates important positive effects (+E) on the atmospheric environment through reduced CO2 emissions. The ORM analysis further shows that the most important risks for most wind farms arise during construction (ORM = 2 and 3), particularly from serious worker accidents during lifting, roadworks, and foundation activities. The study demonstrates that the sustainability of existing wind installations depends on a complex set of spatial, environmental, and technical factors. The proposed framework integrates spatial compliance screening, RIAM-based environmental impact assessment, and ORM-based risk and opportunity evaluation. This connection links the importance of impacts with their operational manageability during construction and operation phases, as well as across sustainability dimensions. Consequently, the study provides a more decision-focused approach for assessing existing wind farms and supporting policy development. Full article
Show Figures

Figure 1

16 pages, 271 KB  
Article
At the Heart of the Heartless Bureaucracy of the UK Asylum System: Refugee Women’s Experiences of the State of Limbo in Between Violence and Protection
by Emmaleena Käkelä
Soc. Sci. 2026, 15(4), 238; https://doi.org/10.3390/socsci15040238 - 7 Apr 2026
Abstract
Considerations of gender have long been overlooked in legal discourses and public debates on asylum. In more recent years, the right-wing narrative has taken a strategic U-turn, instead misappropriating gendered concerns including gender-based violence for the purposes of promoting racialised border controls on [...] Read more.
Considerations of gender have long been overlooked in legal discourses and public debates on asylum. In more recent years, the right-wing narrative has taken a strategic U-turn, instead misappropriating gendered concerns including gender-based violence for the purposes of promoting racialised border controls on the grounds of cultural incompatibilities, and by painting refugees as a threat to British values, economy and security. This paper calls out the hypocrisy of such femonationalist framings for overlooking the ways in which Western institutions sustain refugee women’s ongoing vulnerabilities. Drawing from qualitative interviews and focus groups with refugee women survivors of female genital mutilation/cutting (FGM/C), this paper examines the continuities of harm in the lives of women who have fled gender-based persecution to Britain. The paper critically maps the way prolonged state control during the asylum process perpetuates a sense of violence as ongoing, and its damaging implications on survivors striving to navigate life after flight. In doing so, the findings contribute new insights into established scholarship on asylum harms by illuminating the gendered consequences of violence of waiting, and refugee women’s subtle individual and collective strategies to struggle against violent continuums. Full article
(This article belongs to the Special Issue Conducive Contexts and Vulnerabilities to Domestic Abuse)
13 pages, 2024 KB  
Systematic Review
Remimazolam Versus Propofol for General Anesthesia in Older Adults Undergoing Colon Cancer Surgery: A Systematic Review and Meta-Analysis of Comparative Studies
by Khalid I. AlHussaini, Ibrahim Abdullah Abalhassan, Eman Toraih and Abdullah Ibrahim Alhussaini
Pharmaceutics 2026, 18(4), 448; https://doi.org/10.3390/pharmaceutics18040448 - 6 Apr 2026
Viewed by 158
Abstract
Background: Propofol is widely used for anesthesia in colorectal cancer surgery, but is frequently associated with hypotension and respiratory depression. Remimazolam, a novel ultra-short–acting benzodiazepine, may offer improved hemodynamic stability with similar anesthetic depth and recovery characteristics. However, evidence directly comparing remimazolam and [...] Read more.
Background: Propofol is widely used for anesthesia in colorectal cancer surgery, but is frequently associated with hypotension and respiratory depression. Remimazolam, a novel ultra-short–acting benzodiazepine, may offer improved hemodynamic stability with similar anesthetic depth and recovery characteristics. However, evidence directly comparing remimazolam and propofol in the setting of colon cancer surgery remains limited. Therefore, the aim of this study was to systematically evaluate the efficacy, safety, perioperative hemodynamic stability, and recovery outcomes of remimazolam versus propofol in older adults undergoing colon cancer surgery. Methods: We conducted a systematic review and meta-analysis of randomized controlled trials and comparative cohort studies evaluating remimazolam versus propofol in adult patients undergoing colon or colorectal cancer surgery. PubMed, Scopus, and Web of Science were searched from the start of each database to October 2025. Outcomes included perioperative hemodynamics (MAP and HR), recovery parameters, intraoperative remifentanil consumption, anesthesia duration, and adverse events. Random-effect models were used to calculate pooled mean differences (MDs) or risk ratios (RRs) with 95% confidence intervals (CIs). Results: Six studies involving 542 patients (remimazolam n = 276; propofol n = 266) were included. Remimazolam produced significantly higher perioperative MAP (overall MD = 2.86 mmHg, 95% CI 1.52–4.21; p < 0.0001) and slightly higher HR (MD = 2.30 bpm, 0.08–4.52; p = 0.04). Differences were largest immediately after incision and at the end of surgery. No significant differences were found in PACU stay, overall recovery duration, remifentanil consumption, or anesthesia duration. Postoperative nausea and vomiting were comparable (RR = 0.93; p = 0.86), while respiratory depression was numerically lower with remimazolam (RR = 0.49; p = 0.17). Conclusions: Remimazolam provides anesthetic efficacy comparable to propofol in colon cancer surgery while offering modest, but clinically meaningful improvements in intraoperative hemodynamic stability. Recovery times, opioid requirements, and adverse-event rates were similar between agents. Remimazolam may be particularly advantageous for elderly or hemodynamically vulnerable patients undergoing major colorectal procedures. Larger, high-quality trials are warranted to clarify long-term and oncologic outcomes. Full article
(This article belongs to the Section Clinical Pharmaceutics)
Show Figures

Figure 1

52 pages, 14386 KB  
Review
Trustworthy Intelligence: Split Learning–Embedded Large Language Models for Smart IoT Healthcare Systems
by Mahbuba Ferdowsi, Nour Moustafa, Marwa Keshk and Benjamin Turnbull
Electronics 2026, 15(7), 1519; https://doi.org/10.3390/electronics15071519 - 4 Apr 2026
Viewed by 174
Abstract
The Internet of Things (IoT) plays an increasingly central role in healthcare by enabling continuous patient monitoring, remote diagnosis, and data-driven clinical decision-making through interconnected medical devices and sensing infrastructures. Despite these advances, IoT healthcare systems remain constrained by persistent challenges related to [...] Read more.
The Internet of Things (IoT) plays an increasingly central role in healthcare by enabling continuous patient monitoring, remote diagnosis, and data-driven clinical decision-making through interconnected medical devices and sensing infrastructures. Despite these advances, IoT healthcare systems remain constrained by persistent challenges related to data privacy, computational efficiency, scalability, and regulatory compliance. Federated learning (FL) reduces reliance on centralised data aggregation but remains vulnerable to inference-based privacy risks, while edge-oriented approaches are limited by device heterogeneity and restricted computational and energy resources; the deployment of large language models (LLMs) further exacerbates concerns surrounding privacy exposure, communication overhead, and practical feasibility. This study introduces Trustworthy Intelligence (TI) as a guiding framework for privacy-preserving distributed intelligence in IoT healthcare, explicitly integrating predictive performance, privacy protection, and deployment-oriented system design. Within this framework, split learning (SL) is examined as a core architectural mechanism and extended to support split-aware LLM integration across heterogeneous devices, supported by a structured taxonomy spanning architectural configurations, system adaptation strategies, and evaluation considerations. The study establishes a systematic mapping between SL design choices and representative healthcare scenarios, including wearable monitoring, multi-modal data fusion, clinical text analytics, and cross-institutional collaboration, and analyses key technical challenges such as activation-level privacy leakage, early-round vulnerability, reconstruction risks, and communication–computation trade-offs. An energy- and resource-aware adaptive cut layer selection strategy is outlined to support efficient deployment across devices with varying capabilities. A proof-of-concept experimental evaluation compares the proposed SL–LLM framework with centralised learning (CL), federated learning (FL), and conventional SL in terms of training latency, communication overhead, model accuracy, and privacy exposure under realistic IoT constraints, providing system-level evidence for the applicability of the TI framework in distributed healthcare environments and outlining directions for clinically viable and regulation-aligned IoT healthcare intelligence. Full article
Show Figures

Figure 1

34 pages, 20370 KB  
Review
Satellite-Based Differential Radar Interferometry in Landslide Research: An Overview of Applications and Challenges
by Roberto Tomás, María I. Navarro-Hernández, Juan M. Lopez-Sanchez, Cristina Reyes-Carmona and Xiaojie Liu
Remote Sens. 2026, 18(7), 1081; https://doi.org/10.3390/rs18071081 - 3 Apr 2026
Viewed by 216
Abstract
The use of satellite Differential Synthetic Aperture Radar Interferometry (DInSAR) has transformed the analysis of landslide dynamics by enabling detailed spatiotemporal monitoring of slow and subtle ground deformations. DInSAR enables comprehensive geomorphological characterization and identification of triggering factors. Retrospective applications of DInSAR provide [...] Read more.
The use of satellite Differential Synthetic Aperture Radar Interferometry (DInSAR) has transformed the analysis of landslide dynamics by enabling detailed spatiotemporal monitoring of slow and subtle ground deformations. DInSAR enables comprehensive geomorphological characterization and identification of triggering factors. Retrospective applications of DInSAR provide valuable insights into past events and support causal analysis linked to rainfall episodes or piezometric fluctuations. Moreover, integration with numerical modeling enhances predictive capabilities and facilitates the calibration of geotechnical parameters. DInSAR is also instrumental in assessing infrastructure impacts and in the generation of susceptibility, hazard, vulnerability, and risk maps, which are key for land-use planning and risk management. Nevertheless, this technique has inherent limitations that must be carefully considered when interpreting results. Future developments, driven by the integration of artificial intelligence and enhanced computing capacities, are transforming the landscape of InSAR applications in landslide studies. These advancements, combined with upcoming satellite missions, are expected to significantly improve measurement accuracy, temporal resolution, and overall operational potential, paving the way for more robust quasi-early warning systems for landslide prevention. In this work, an overview of the current applications, future trends, and challenges of DInSAR in landslide studies is presented, with particular emphasis on the practical dimension of landslide studies and on the exploitation of DInSAR outcomes to support risk management and mitigation strategies. Full article
Show Figures

Figure 1

42 pages, 1024 KB  
Review
From Concrete to Code: A Survey of AI-Driven Transportation Infrastructure, Security, and Human Interaction
by Nuri Alperen Kose, Kubra Kose and Fan Liang
Sensors 2026, 26(7), 2219; https://doi.org/10.3390/s26072219 - 3 Apr 2026
Viewed by 390
Abstract
The transition to AI-driven Cyber–Physical Systems has fundamentally reshaped transportation, introducing systemic risks that transcend traditional physical boundaries. Unlike prior reviews focused on isolated technological domains, this survey proposes a novel “End-to-End” analytical framework that models the causal propagation of vulnerabilities from physical [...] Read more.
The transition to AI-driven Cyber–Physical Systems has fundamentally reshaped transportation, introducing systemic risks that transcend traditional physical boundaries. Unlike prior reviews focused on isolated technological domains, this survey proposes a novel “End-to-End” analytical framework that models the causal propagation of vulnerabilities from physical sensing hardware to human cognitive responses. Synthesizing 140 research contributions (2017–2025), we evaluate the paradigm shift from deterministic control to Generative AI and Large Language Models (Transportation 5.0). To substantiate our framework, we introduce a structured cross-layer threat matrix and mathematically formalize the technology–cognition cascade, explicitly mapping how physical layer perturbations, such as optical jamming, bypass digital edge security to trigger hazardous behavioral reactions in human drivers. We conclude that ensuring the resilience of next-generation infrastructure requires a unified analytical architecture that formally bounds hardware constraints, algorithmic safety, and human trust. Full article
Show Figures

Figure 1

24 pages, 1688 KB  
Article
A Green Infrastructure Prioritization Index Combining Woody Vegetation Deficits and Social Vulnerability in Temuco, Chile
by Germán Catalán, Carlos Di Bella, Camilo Matus-Olivares, Paula Meli, Francisco De La Barrera, Rosa Reyes-Riveros, Rodrigo Vargas-Gaete, Sonia Reyes-Packe and Adison Altamirano
Land 2026, 15(4), 574; https://doi.org/10.3390/land15040574 - 31 Mar 2026
Viewed by 313
Abstract
This study developed and tested a neighborhood-scale framework that integrates unmanned aerial vehicle (UAV)-based multispectral mapping and georeferenced socioeconomic data to identify inequities in urban green infrastructure and translate them into an operational prioritization tool for inclusive planning. Using object-based image analysis, impervious [...] Read more.
This study developed and tested a neighborhood-scale framework that integrates unmanned aerial vehicle (UAV)-based multispectral mapping and georeferenced socioeconomic data to identify inequities in urban green infrastructure and translate them into an operational prioritization tool for inclusive planning. Using object-based image analysis, impervious surfaces, low vegetation, and woody vegetation (trees and shrubs) were mapped across 33 Neighborhood Units in Temuco, Chile, and landscape metrics describing dominance, edge, isolation/connectivity, and diversity were derived. Socioeconomic conditions were summarized through Principal Component Analysis, and their relationships with vegetation metrics were evaluated using Generalized Additive Models. The results revealed strongly nonlinear and metric-specific associations, with the most robust relationships observed for woody-structure metrics, particularly total woody edge and built-environment isolation, whereas landscape diversity showed weaker but still significant dependence on resource-access gradients. To support inclusive planning, a dimensionless Green Infrastructure Prioritization Index (GIPI) was computed by combining standardized green deficit and standardized social vulnerability with equal weights. GIPI values ranged from 0.318 to 0.740 (median = 0.528), identifying 11 high-priority units characterized by higher social vulnerability and less favorable woody structure, including lower largest-patch dominance and greater isolation. Sensitivity analyses varying the deficit weight from 0.30 to 0.70 showed that 10 of the 11 high-priority units remained in the same class in at least 80% of weighting scenarios, indicating a stable priority set. Further classification of high-priority units according to dominant deficit type supported a staged intervention strategy, in which woody canopy is first increased in deficit nodes and subsequently reinforced through corridor-oriented greening to improve structural connectivity. These findings demonstrate the value of coupling fine-scale vegetation mapping with socioeconomic gradients to support more equitable urban green infrastructure planning. Full article
(This article belongs to the Section Land Planning and Landscape Architecture)
Show Figures

Figure 1

28 pages, 7352 KB  
Article
A Methodological Path to Assess the Out-of-Plane Vulnerability of Archaeological Walls in the Pompeii Archaeological Park
by Marco Di Ludovico, Claudia Casapulla, Francesca Ceroni, Giuseppina De Martino, Alessandra Maione, Alessandra Zambrano and Vincenzo Calvanese
Heritage 2026, 9(4), 141; https://doi.org/10.3390/heritage9040141 - 30 Mar 2026
Viewed by 289
Abstract
In archaeological contexts, isolated or poorly connected masonry elements are very common due to the absence of floors and weak connections between walls. As a result, under horizontal actions, vulnerability to out-of-plane (OOP) failures often becomes the most critical issue for their preservation. [...] Read more.
In archaeological contexts, isolated or poorly connected masonry elements are very common due to the absence of floors and weak connections between walls. As a result, under horizontal actions, vulnerability to out-of-plane (OOP) failures often becomes the most critical issue for their preservation. As is well-known, limit analysis-based approaches provide a reliable assessment of the expected OOP failure mechanisms and the associated acceleration capacity for existing masonry buildings. However, these approaches mainly refer to box-type buildings and cannot be directly applied to archaeological remains, whose morphology may differ significantly. With a specific focus on the Pompeii Archaeological Park (PAP), this study proposes a two-level classification of archaeological walls aimed at identifying their most likely OOP failure mechanisms and the most suitable analytical models available in the literature to predict their behaviour. The first level identifies recurring typologies based on the morphology of wall connections, relying on geometrical data that can be easily obtained from maps and/or on-site surveys. The second level then evaluates the effectiveness of these connections by investigating their construction techniques. The paper, therefore, proposes a general methodology for assessing the vulnerability of archaeological masonry walls to OOP failure mechanisms and discusses its application to some walls in the PAP. Full article
Show Figures

Figure 1

23 pages, 3693 KB  
Article
Spatial Assessment of Soil Properties and Soil Quality Dynamics (SFI and SQI) on Hainan Island Using Field Observations and Remote Sensing Data
by Di Zeng, Kashif Ali Solangi, Farheen Solangi, Xiqiang Song, Muhammad Anwar, Lei Liu, Jinling Zhang and Dongming Zhang
Agriculture 2026, 16(7), 762; https://doi.org/10.3390/agriculture16070762 - 30 Mar 2026
Viewed by 356
Abstract
Soil salinity and nutrient availability are major constraints affecting crop productivity, soil quality, and agroecosystem sustainability, particularly in coastal regions vulnerable to seawater intrusion. This study provides a comprehensive spatial and temporal assessment of soil properties and quality dynamics on Hainan Island by [...] Read more.
Soil salinity and nutrient availability are major constraints affecting crop productivity, soil quality, and agroecosystem sustainability, particularly in coastal regions vulnerable to seawater intrusion. This study provides a comprehensive spatial and temporal assessment of soil properties and quality dynamics on Hainan Island by integrating field observations and multi-temporal remote sensing (RS) datasets. In 2024, a total of 152 sampling sites were surveyed, with three topsoil soil samples collected at each location. Multi-year RS data (2024–2021), including soil salinity reflectance indices (SRSI and SI), the Normalized Difference Vegetation Index (NDVI), and land use and land cover (LULC), were analyzed to evaluate temporal and spatial variability. The soil fertility index was calculated using alkali-hydrolyzed nitrogen (AN), available phosphorus (AP), available potassium (AK), soil pH, and soil organic matter (SOM). The soil quality index was calculated using the same parameters with the addition of chromium (Cr) to account for potential heavy metal contamination. Furthermore, in this study the Inverse Distance Weighting (IDW) method was used for spatial distribution maps of soil properties and other indices. The results indicated that soils were predominantly acidic (pH < 6.0) with generally low electrical conductivity (0.01–0.53 mS cm−1) across inland areas, whereas higher salinity levels (2.28–5.31 mS cm−1) were observed in southern and eastern coastal zones, suggesting potential seawater intrusion. Nutrient concentrations ranged from 60.1 to 150 mg kg−1 (AN), 4 to 332 mg kg−1 (AP), and 50.1 to 100 mg kg−1 (AK). NDVI values (0.70–0.94) indicated high vegetation density over most agricultural landscapes. Significant positive correlations were observed between soil EC and the SRSI (r = 0.781) and SI (r = 0.663; p < 0.01), demonstrating the reliability of RS-derived indices for salinity assessment. The integrated indicator-based framework developed in this study provides a scientific basis for precision agriculture, soil health monitoring, and sustainable land management in coastal agroecosystems. Full article
(This article belongs to the Section Artificial Intelligence and Digital Agriculture)
Show Figures

Figure 1

34 pages, 863 KB  
Review
Secure Communication Protocols and AI-Based Anomaly Detection in UAV-GCS
by Dimitrios Papathanasiou, Evangelos Zacharakis, John Liaperdos, Theodore Kotsilieris, Ioannis E. Livieris and Konstantinos Ioannou
Appl. Sci. 2026, 16(7), 3339; https://doi.org/10.3390/app16073339 - 30 Mar 2026
Viewed by 356
Abstract
Unmanned Aerial Vehicles (UAVs) are increasingly integrated into critical applications ranging from logistics and agriculture to defence and security operations, surveillance and emergency response. At the core of these systems lies the communication link between the UAV and its ground control station (GCS), [...] Read more.
Unmanned Aerial Vehicles (UAVs) are increasingly integrated into critical applications ranging from logistics and agriculture to defence and security operations, surveillance and emergency response. At the core of these systems lies the communication link between the UAV and its ground control station (GCS), which serves as the backbone for command, control and data exchange. However, communications links remain highly vulnerable to cyber-threats, including eavesdropping, signal falsification, radio frequency interference (RFI) and hijacking. These risks highlight the urgent need for secure communication protocols and effective defence mechanisms capable of protecting data confidentiality, integrity, availability and authentication. This study performs a comprehensive survey of secure UAV-GCS communication protocols and artificial intelligence (AI)-driven intrusion detection techniques. Initially, we review widely used communication protocols, examining their security features, vulnerabilities and existing countermeasures. Accordingly, a taxonomy of UAV-GCS security threats is proposed, structured around confidentiality, integrity, availability and authentication and map these threats to relevant attacks and defences. In parallel, our study examines state-of-the-art intrusion detection systems for UAVs, while particular emphasis is placed on emerging methods such as deep learning, federated learning, tiny machine learning and explainable AI, which hold promise for lightweight and real-time threat detection. The survey concludes by identifying open challenges, including resource constraints, lack of standardised secure protocols, scarcity of UAV-specific datasets and the evolving sophistication of attackers. Finally, we outline research directions for next-generation UAV architectures that integrate secure communication protocols with AI-based anomaly detection to achieve resilient and intelligent drone ecosystems. Full article
(This article belongs to the Special Issue Integration of AI in Signal and Image Processing)
Show Figures

Figure 1

14 pages, 272 KB  
Review
Cytoskeletal Dynamics and Molecular Motor Dysfunction in Psychiatric Disorders: Insights from Schizophrenia and Autism Spectrum Disorder
by Kenyu Nakamura, Asumi Kubo, Sae Sanaka, Sara Kamiya, Kentaro Itagaki and Tetsuya Sasaki
Biology 2026, 15(7), 550; https://doi.org/10.3390/biology15070550 - 30 Mar 2026
Viewed by 310
Abstract
Elucidating the pathophysiological mechanisms of mental disorders remains a critical challenge in psychiatric research. Recent studies have highlighted the potential involvement of cytoskeletal and molecular motor abnormalities in the development of mental disorders such as schizophrenia and autism spectrum disorder (ASD). Although schizophrenia [...] Read more.
Elucidating the pathophysiological mechanisms of mental disorders remains a critical challenge in psychiatric research. Recent studies have highlighted the potential involvement of cytoskeletal and molecular motor abnormalities in the development of mental disorders such as schizophrenia and autism spectrum disorder (ASD). Although schizophrenia and ASD differ clinically, both disorders are increasingly regarded as neurodevelopmental conditions and share vulnerabilities in synapse formation and neural circuit maturation. This review synthesizes the latest findings on the relationship between cytoskeletal and molecular motor abnormalities and mental disorders. The cytoskeleton, composed of microtubules, actin filaments, and intermediate filaments, along with molecular motors such as kinesins, dyneins, and myosins, plays crucial roles in neurodevelopment, synapse formation, and neurotransmission. In schizophrenia, decreased expression of the microtubule-associated protein MAP2 and abnormalities in the DISC1 gene have been reported, potentially leading to dendritic morphological abnormalities and neurodevelopmental disorders. Additionally, abnormalities in molecular motors such as KIF17 and KIF1A have been implicated in schizophrenia pathophysiology. Myosin Id has been identified as a risk gene for ASD. Furthermore, abnormalities in actin-related proteins such as SHANK3 and CYFIP1 have been shown to cause synaptic dysfunction. These findings suggest that mental disorders arise from complex pathologies involving multiple cytoskeletal and molecular motor-related protein abnormalities. Future research should focus on elucidating the functions of individual proteins and adopting a comprehensive approach that includes glial cells. Advances in this field may deepen our understanding of the pathophysiological mechanisms of mental disorders and potentially lead to the development of novel therapeutic strategies. Full article
(This article belongs to the Special Issue Biological Foundations of Psychiatric Disorders)
Show Figures

Graphical abstract

Back to TopTop