Sign in to use this feature.

Years

Between: -

Subjects

remove_circle_outline
remove_circle_outline
remove_circle_outline
remove_circle_outline
remove_circle_outline
remove_circle_outline
remove_circle_outline
remove_circle_outline
remove_circle_outline

Journals

remove_circle_outline
remove_circle_outline
remove_circle_outline
remove_circle_outline
remove_circle_outline
remove_circle_outline
remove_circle_outline
remove_circle_outline
remove_circle_outline
remove_circle_outline
remove_circle_outline
remove_circle_outline
remove_circle_outline
remove_circle_outline
remove_circle_outline
remove_circle_outline
remove_circle_outline
remove_circle_outline

Article Types

Countries / Regions

remove_circle_outline
remove_circle_outline
remove_circle_outline
remove_circle_outline
remove_circle_outline

Search Results (1,580)

Search Parameters:
Keywords = visual angle

Order results
Result details
Results per page
Select all
Export citation of selected articles as:
24 pages, 1790 KB  
Article
Effect of the Recycled HIPS Surface Yellowing Phenomenon on Its Properties
by Benita Malinowska, Michał Chodkowski and Konrad Terpiłowski
Appl. Sci. 2026, 16(7), 3584; https://doi.org/10.3390/app16073584 - 7 Apr 2026
Abstract
The paper investigates the effect of the degree of HIPS surface yellowness on its properties: colorimetric, surface, rheological, and mechanical. In order to prepare three naturally degraded samples, about 1 kg of white HIPS flakes, semi-yellow HIPS flakes, and yellow HIPS flakes, segregation [...] Read more.
The paper investigates the effect of the degree of HIPS surface yellowness on its properties: colorimetric, surface, rheological, and mechanical. In order to prepare three naturally degraded samples, about 1 kg of white HIPS flakes, semi-yellow HIPS flakes, and yellow HIPS flakes, segregation based on colorimetric analysis was applied. Then, these samples were subjected to ATR-FTIR analysis, sessile drop contact angle measurements, and MFI analysis. These analyses were repeated for standardized specimens made of the segregated HIPS flakes. The average absorbances were determined for 50 HIPS samples of each type in the form flakes. Finally, mechanical tests were carried out on the standardized specimens. As follows from the research, yellowing of the HIPS surface affects the final color of the standardized specimens, which is confirmed by optical colorimetry. Moreover, material degradation demonstrated by yellowing of its surface and confirmed by a decrease in ATR-FTIR spectra absorbance, is associated with changes in mechanical and rheological properties, as well as in surface characteristics. The novelty of this study lies in the investigation of naturally degraded HIPS samples under laboratory conditions (the HIPS materials were not subjected to artificial aging using laboratory equipment), obtained from waste post-consumer cooling devices used in consumers’ homes, representing natural wear and tear of the material. The tests provide insight into both the visual and mechanical properties of components manufactured from recycled HIPS originating from degraded refrigeration equipment. They also constitute a valuable source of information for processors and manufacturers. Full article
(This article belongs to the Section Surface Sciences and Technology)
Show Figures

Figure 1

19 pages, 3413 KB  
Article
AI-Based Angle Map Analysis of Facial Asymmetry in Peripheral Facial Palsy
by Andreas Heinrich, Gerd Fabian Volk, Christian Dobel and Orlando Guntinas-Lichius
Bioengineering 2026, 13(4), 426; https://doi.org/10.3390/bioengineering13040426 - 6 Apr 2026
Viewed by 97
Abstract
Peripheral facial palsy (PFP) causes pronounced facial asymmetry and functional impairment, highlighting the need for reliable, objective assessment. This study presents a novel, fully automated, reference-free method for quantifying facial symmetry using artificial intelligence (AI)-based facial landmark detection. A total of 405 datasets [...] Read more.
Peripheral facial palsy (PFP) causes pronounced facial asymmetry and functional impairment, highlighting the need for reliable, objective assessment. This study presents a novel, fully automated, reference-free method for quantifying facial symmetry using artificial intelligence (AI)-based facial landmark detection. A total of 405 datasets from 198 PFP patients were analyzed, each including nine standardized facial expressions covering both resting and dynamic movements. AI detected 478 landmarks per image, from which 225 paired landmarks were used to compute local asymmetry angles. Systematic evaluation identified 91 highly informative landmark pairs, primarily around the eyes, nose and mouth, which simplified the analysis and enhanced discriminatory power, while also enabling region-specific assessment of asymmetry. Statistical evaluation included Kruskal–Wallis H-tests across clinical scores and Spearman correlations, showing moderate to strong associations (0.32–0.73, p < 0.001). The fully automated pipeline produced reproducible results and demonstrated robustness to head rotation. Intuitive full-face angle maps allowed direct assessment of asymmetry without a reference image. This AI-driven approach provides a robust, objective, and visually interpretable framework for clinical monitoring, severity classification, and treatment evaluation in PFP, combining quantitative precision with practical applicability. Full article
Show Figures

Figure 1

28 pages, 5422 KB  
Article
Vision-Guided Dual-Loop Control of a Truck-Mounted Electric Water Cannon for Autonomous Fire Suppression
by Zhiyuan Chen and Chaofeng Liu
Appl. Sci. 2026, 16(7), 3469; https://doi.org/10.3390/app16073469 - 2 Apr 2026
Viewed by 169
Abstract
Fire trucks equipped with truck-mounted electric water cannons are key mobile firefighting assets for urban and industrial fire response. However, due to the inherent mechanical inertia of the cannon body, its low-frequency motion response cannot match high-frequency control commands, making the system prone [...] Read more.
Fire trucks equipped with truck-mounted electric water cannons are key mobile firefighting assets for urban and industrial fire response. However, due to the inherent mechanical inertia of the cannon body, its low-frequency motion response cannot match high-frequency control commands, making the system prone to oscillations and control instability. To address this command–execution frequency mismatch, this paper proposes a decoupled dual closed-loop control architecture for truck-mounted electric water cannons on mobile fire trucks: the fast loop is used for fire-source tracking and rapid localization, while the slow loop is used for water-jet aiming alignment. In the fast loop, a 2-D quadrant positioning rule drives the pan–tilt unit to achieve rapid fire tracking and accurate centering. In the slow loop, Kalman-filter-based state estimation and delay-aligned prediction generate feedforward aiming commands; these commands are fused with error feedback and further processed through command limiting and trajectory optimization, ultimately producing smooth and executable angle references. The visual perception module ran at 58 FPS, satisfying the real-time requirement of the proposed system. In five repeated extinguishment tests under controlled open-site conditions, the proposed method successfully completed all trials and reduced the mean extinguishment time to 13.55 s, compared with 15.83 s for the incremental-PID baseline and 23.76 s for the coupled proportional baseline, while also showing smoother correction and less redundant oscillation. Full article
(This article belongs to the Section Mechanical Engineering)
Show Figures

Figure 1

19 pages, 1426 KB  
Article
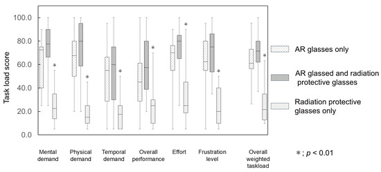
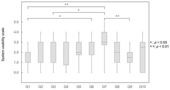
Ergonomic Evaluation of Augmented Reality-Based Visualization of Scattered Radiation Distribution During Partial-Angle CT
by Hiroaki Hasegawa
Multimodal Technol. Interact. 2026, 10(4), 37; https://doi.org/10.3390/mti10040037 - 2 Apr 2026
Viewed by 228
Abstract
Computed tomography (CT)-guided procedures require close proximity to the CT gantry or patient, increasing occupational exposure to scattered radiation. Even though radiation-protective equipment is commonly used, the optimization of CT fluoroscopic techniques remains important. Partial-angle CT (PACT) employs a limited exposure angle, producing [...] Read more.
Computed tomography (CT)-guided procedures require close proximity to the CT gantry or patient, increasing occupational exposure to scattered radiation. Even though radiation-protective equipment is commonly used, the optimization of CT fluoroscopic techniques remains important. Partial-angle CT (PACT) employs a limited exposure angle, producing cumulative scattered radiation distributions that vary with the selected angle and are difficult to estimate in advance. I aimed to develop an augmented reality (AR)-based visualization method for cumulative scattered radiation distributions during PACT and to evaluate its ergonomic feasibility as a proof of concept for occupational exposure reduction. An AR display system was developed to overlay cumulative scattered radiation distributions onto physical space using AR glasses. Workload was assessed using the NASA Task Load Index (NASA-TLX), and usability was assessed using the System Usability Scale (SUS). Compared with non-virtual conditions using radiation-protective glasses alone, AR-assisted visualization was associated with increased perceived workload, and usability scores were lower than those reported in previous AR studies. These findings indicate that, for AR display systems to support occupational exposure reduction, perceived task demands must be comparable to conventional protection strategies. Further improvements in visualization methods, user familiarity with AR environments, and ergonomic optimization are required to facilitate clinical implementation. Full article
Show Figures

Figure 1

20 pages, 3462 KB  
Article
Safety Testing of Endovascular Devices In Vitro for Interventional Neuroradiology Under 0.55 T MRI
by Adèle L. C. Mackowiak, Katerina Eyre, Stanislas Rapacchi, Jean-Baptiste Ledoux, Karolina Swierdzewska, Bruno Bartolini, Francesco Puccinelli, Guillaume Saliou, Matthias Stuber, Christopher W. Roy and Steven D. Hajdu
Neuroimaging 2026, 1(2), 7; https://doi.org/10.3390/neuroimaging1020007 - 2 Apr 2026
Viewed by 135
Abstract
Background/Objectives: MRI-guided neurovascular interventions could benefit from lower-field systems due to reduced magnetic and radiofrequency hazards. However, safety and practical visibility of commonly used neurointerventional devices at 0.55 T remain insufficiently characterized. We evaluated magnetic field interactions, RF-induced heating, and qualitative device [...] Read more.
Background/Objectives: MRI-guided neurovascular interventions could benefit from lower-field systems due to reduced magnetic and radiofrequency hazards. However, safety and practical visibility of commonly used neurointerventional devices at 0.55 T remain insufficiently characterized. We evaluated magnetic field interactions, RF-induced heating, and qualitative device visibility in 11 commercially available and commonly used neurovascular devices on a 0.55 T MRI system. Methods: Eleven devices, including stent retrievers, guidewires, catheters, and one embolization implant, were tested at 0.55 T. Magnetostatic interactions were quantified using the American Society for Testing and Materials (ASTM)-guided deflection methods for translational force (ASTM-F2052) and a two-string suspension apparatus for torque (adapted from Stoianovici et al.). RF-induced heating was measured in an in vitro perfused cerebral vessel phantom using a 15 min high-specific absorption rate spin echo sequence under static and flow conditions. Qualitative device visibility was assessed using a turbo spin echo (TSE) and balanced steady-state free precession (bSSFP) imaging on each device individually. Results: Eight of eleven devices passed the translational force test, while three devices (D, E, and G), containing significant ferromagnetic components, failed with deflection angles > 45°. Eight devices passed torque testing, remaining below the critical threshold in all rotation positions; three devices (D, G, and J) failed by exceeding the 54° criterion, including one guidewire and two devices with braided/coiled metallic structures. Under static conditions, RF-induced heating ranged from negligible to 10.4 °C (maximum in device D) and generally decreased under flow; in the flow configuration, temperature rise remained below 2 °C for 6/11 devices. Qualitative imaging performance differed by sequence, with bSSFP enabling improved delineation of device structure (best for devices A, C, and H), whereas devices D, E, F, and J produced extensive signal voids that precluded reliable visualization in both sequences. Overall, three devices satisfied all safety criteria while remaining clearly visible under MRI. Conclusions: Devices that pass safety thresholds at 0.55 T can serve as candidates for further sequence optimization and preclinical workflow development, enabling the design of low-SAR, device-compatible imaging protocols tailored for neurointerventional workflows. These results provide key safety data supporting the feasibility of MR-guided neurovascular procedures at 0.55 T. Full article
Show Figures

Figure 1

14 pages, 650 KB  
Article
Short-Term Stability of Retinal Nerve Fiber Layer and Ganglion Cell Layer Thickness Following Direct Selective Laser Trabeculoplasty in Patients with Ocular Hypertension and Glaucoma
by Dana Garzozi, Moshe Carmel, Gil Neuman, Anna Lisitsky, Zohar Bracha, Hila Givoni, Kobi Brosh, Assaf Kratz, Ahed Imtirat, David Zadok and Mordechai Goldberg
Diagnostics 2026, 16(7), 1066; https://doi.org/10.3390/diagnostics16071066 - 1 Apr 2026
Viewed by 312
Abstract
Background/Objectives: To evaluate the short-term effects of direct selective laser trabeculoplasty (DSLT) on retinal nerve fiber layer (RNFL) and ganglion cell layer (GCL) thickness in patients with ocular hypertension (OHT) and primary open-angle glaucoma (POAG). Methods: This retrospective, single-center study included [...] Read more.
Background/Objectives: To evaluate the short-term effects of direct selective laser trabeculoplasty (DSLT) on retinal nerve fiber layer (RNFL) and ganglion cell layer (GCL) thickness in patients with ocular hypertension (OHT) and primary open-angle glaucoma (POAG). Methods: This retrospective, single-center study included 45 eyes of 45 patients with OHT or POAG who underwent DSLT at Shaare Zedek Medical Center between February 2024 and February 2025. The primary outcome was the change in RNFL and GCL thickness, as measured by spectral-domain optical coherence tomography (SD-OCT) before and two months after treatment. Secondary outcomes included intraocular pressure (IOP) reduction, corrected distance visual acuity (CDVA), and safety. Only high-quality OCT scans (quality score > 25) were included in the analysis. Results: OCT analysis revealed no statistically significant changes in the inner retinal structure two months post-treatment. The mean RNFL thickness was 77.1 ± 17.2 µm at baseline and 77.4 ± 17.3 µm at follow-up (p = 0.285). The mean GCL thickness remained unchanged (42.4 ± 11.6 µm vs. 42.4 ± 11.3 µm, p = 0.750). CDVA remained stable (0.2 ± 0.4 vs. 0.2 ± 0.4 logMAR; p = 0.351), and no vision-threatening complications were observed. Mean IOP decreased significantly from 19.7 ± 4.0 mmHg at baseline to 16.2 ± 3.5 mmHg at two months (p < 0.001). The mean total laser energy delivered was 196.5 ± 10.2 mJ (range: 176–210 mJ). Conclusions: DSLT was not associated with significant short-term changes in RNFL or GCL thickness, supporting its structural safety in patients with OHT or glaucoma. Further long-term studies are warranted to determine the durability of these findings and the potential neuroprotective effects of DSLT. Full article
(This article belongs to the Section Clinical Diagnosis and Prognosis)
Show Figures

Figure 1

32 pages, 21661 KB  
Article
Robust Human-to-Robot Handover System Under Adverse Lighting
by Yifei Wang, Baoguo Xu, Huijun Li and Aiguo Song
Biomimetics 2026, 11(4), 231; https://doi.org/10.3390/biomimetics11040231 - 1 Apr 2026
Viewed by 273
Abstract
Human-to-robot (H2R) handovers are critical in human–robot interaction but are challenged by complex environments that impact robot perception. Traditional RGB-based perception methods exhibit severe performance degradation under harsh lighting (e.g., glare and darkness). Furthermore, H2R handovers occur in unstructured environments populated with fine-grained [...] Read more.
Human-to-robot (H2R) handovers are critical in human–robot interaction but are challenged by complex environments that impact robot perception. Traditional RGB-based perception methods exhibit severe performance degradation under harsh lighting (e.g., glare and darkness). Furthermore, H2R handovers occur in unstructured environments populated with fine-grained visual details, such as multi-angle hand configurations and novel object geometries, where conventional semantic segmentation and grasp generation approaches struggle to generalize. To overcome lighting disturbances, we present an H2R handover system with a dual-path perception pipeline. The system fuses perception data from a stereo RGB-D camera (eye-in-hand) and a time-of-flight (ToF) camera (fixed scene) under normal lighting, and switches to the ToF camera for reliable perception under glare and darkness. In parallel, to address the complex spatial and geometric features, we augment the Point Transformer v3 (PTv3) architecture by integrating a T-Net module and a self-attention mechanism to fuse the relative positional angle features between human and robot, enabling efficient real-time 3D semantic segmentation of both the object and the human hand. For grasp generation, we extend GraspNet with a grasp selection module optimized for H2R scenarios. We validate our approach through extensive experiments: (1) a semantic segmentation dataset with 7500 annotated point clouds covering 15 objects and 5 relative angles and tested on 750 point clouds from 15 unseen objects, where our method achieves 84.4% mIoU, outperforming Swin3D-L by 3.26 percentage points with 3.2× faster inference; (2) 250 real-world handover trials comparing our method with the baseline across 5 objects, 5 hand postures, and 5 angles, showing an improvement of 18.4 percentage points in success rate; (3) 450 trials under controlled adverse lighting (darkness and glare), where our dual-path perception method achieves 82.7% overall success, surpassing single-camera baselines by up to 39.4 percentage points; and (4) a comparative experiment against a state-of-the-art multimodal H2R handover method under identical adverse lighting, where our system achieves 75.0% success (15/20) versus the baseline’s 15.0% (3/20), further confirming the lighting robustness of our design. These results demonstrate the system’s robustness and generalization in challenging H2R handover scenarios. Full article
(This article belongs to the Special Issue Human-Inspired Grasp Control in Robotics 2025)
Show Figures

Figure 1

9 pages, 1362 KB  
Communication
Comfortable Flower Electrodes for Dry EEG in Epilepsy and Clinical Neurophysiology Diagnostics
by Dimitrios Dimitrakopoulos, Justus Marquetand, Joji Kuramatsu, Patrique Fiedler and Johannes Lang
Sensors 2026, 26(7), 2146; https://doi.org/10.3390/s26072146 - 31 Mar 2026
Viewed by 153
Abstract
Dry electroencephalography (EEG) electrodes enable rapid, gel-free setups, which are crucial for point-of-care diagnostics, but often face challenges with comfort and signal quality—especially in a clinical context. Novel “flower” dry electrodes are a special type of reusable scalp electrodes for dry EEG, featuring [...] Read more.
Dry electroencephalography (EEG) electrodes enable rapid, gel-free setups, which are crucial for point-of-care diagnostics, but often face challenges with comfort and signal quality—especially in a clinical context. Novel “flower” dry electrodes are a special type of reusable scalp electrodes for dry EEG, featuring a distinct flower-like shape with angled pins in three intertwined layers. While the new electrode design has been validated in an in vivo study on healthy volunteers, we tested its clinical applicability in a proof-of-concept study involving three patients diagnosed with epilepsy and delirium. The recordings were of high diagnostic quality, enabling the reliable identification of pathological patterns, such as generalized spike–wave complexes and intermittent delta activity, with a signal-to-noise ratio comparable to prior reports for sponge-based EEG systems (limited case series). The signal-to-noise ratio (SNR) proved to be sufficiently high for clinical diagnostic purposes, resulting in visually clear and interpretable EEG data that enabled effective assessment of patients’ neurophysiological signals. Consequently, our findings demonstrate that the comfortable flower-electrode design is a viable and effective tool for epilepsy diagnostics, extended recording, and clinical neurophysiology. It represents a significant step towards patient-centered and gel-free EEG technology, specifically in point-of-care and emergency applications, without compromising the diagnostic quality of the recordings. Full article
(This article belongs to the Section Electronic Sensors)
Show Figures

Figure 1

15 pages, 3183 KB  
Article
Morphological and Energetic Characterization of Argon Cluster Impacts on Si and Ge Single Crystals Using MD Simulation
by Ivan V. Nikolaev, Pavel V. Stishenko, Nikolay G. Korobeishchikov and Alexander B. Tolstoguzov
Coatings 2026, 16(4), 411; https://doi.org/10.3390/coatings16040411 - 28 Mar 2026
Viewed by 236
Abstract
Molecular dynamics simulations were used to study the interaction of Ar clusters with silicon and germanium single crystals at a fixed cluster size of 923 atoms and a total kinetic energy of 10 keV. A comparative analysis was conducted to examine the effects [...] Read more.
Molecular dynamics simulations were used to study the interaction of Ar clusters with silicon and germanium single crystals at a fixed cluster size of 923 atoms and a total kinetic energy of 10 keV. A comparative analysis was conducted to examine the effects of argon cluster impacts on the surface morphology of silicon and germanium as the cluster incidence angle varied from 0° to 75° with respect to the surface normal. The depth of amorphization and the height of hillocks induced in silicon and germanium after argon cluster bombardment were estimated. Angular dependences of the crater diameters along and perpendicular to the cluster incidence direction were demonstrated. Comparisons of crater characteristics and the ratios of longitudinal to transverse crater dimensions revealed material-specific features of cluster–surface interactions. At oblique incidence, a peak in the ratio of displaced atoms in the amorphous layer to those above the surface was observed. The potential energy of silicon and germanium target atoms following cluster impact was visualized and estimated. Moreover, the redistribution patterns of the cluster’s initial kinetic energy among the target, scattered cluster atoms, and sputtered target atoms were compared for silicon and germanium at incidence angles from 0° to 75°. Full article
Show Figures

Figure 1

30 pages, 135773 KB  
Article
Robust 3D Multi-Object Tracking via 4D mmWave Radar-Camera Fusion and Disparity-Domain Depth Recovery
by Yunfei Xie, Xiaohui Li, Dingheng Wang, Zhuo Wang, Shiliang Li, Jia Wang and Zhenping Sun
Sensors 2026, 26(7), 2096; https://doi.org/10.3390/s26072096 - 27 Mar 2026
Viewed by 481
Abstract
4D millimeter-wave radar provides high-precision ranging capability and exhibits strong robustness under adverse weather and low-visibility conditions, but its point clouds are relatively sparse and suffer from severe elevation-angle measurement noise. Monocular cameras, by contrast, provide rich semantic information and high recall, yet [...] Read more.
4D millimeter-wave radar provides high-precision ranging capability and exhibits strong robustness under adverse weather and low-visibility conditions, but its point clouds are relatively sparse and suffer from severe elevation-angle measurement noise. Monocular cameras, by contrast, provide rich semantic information and high recall, yet are fundamentally limited by scale ambiguity. To exploit the complementary characteristics of these two sensors, this paper proposes a radar-camera fusion 3D multi-object tracking framework that does not rely on complex 3D annotated data. First, on the radar signal-processing side, a Gaussian distribution-based adaptive angle compression method and IMU-based velocity compensation are introduced to effectively suppress measurement noise, and an improved DBSCAN clustering scheme with recursive cluster splitting and historical static-box guidance is employed to generate high-quality radar detections. Second, a disparity-domain metric depth recovery method is proposed. This method uses filtered radar points as sparse metric anchors, performs robust fitting with RANSAC, and applies Kalman filtering for temporal smoothing, thereby converting the relative depth output of the visual foundation model Depth Anything V2 into metric depth. Finally, a hierarchical fusion strategy is designed at both the detection and tracking levels to achieve stable cross-modal state association. Experimental results on a self-collected dataset show that the proposed method achieves an overall MOTA of 77.93%, outperforming single-modality baselines and other comparison methods by 11 to 31 percentage points. This study provides an effective solution for low-cost and robust environment perception in complex dynamic scenarios. Full article
(This article belongs to the Section Vehicular Sensing)
Show Figures

Figure 1

7 pages, 204 KB  
Proceeding Paper
Effect of Visual Information Manipulation on Motor Control Indicators in Waiter’s Bow Test
by Genki Adachi, Atsushi Iwashita, Junya Miyazaki and Hayato Shigeto
Eng. Proc. 2026, 129(1), 25; https://doi.org/10.3390/engproc2026129025 - 27 Mar 2026
Viewed by 213
Abstract
We investigated the effects of manipulating visual information on motor control indicators during the Waiter’s Bow Test. The results suggested that visual information occlusion reduced the maximum flexion angles of the lumbar spine and upper lumbar region. Furthermore, subjects who tested negative under [...] Read more.
We investigated the effects of manipulating visual information on motor control indicators during the Waiter’s Bow Test. The results suggested that visual information occlusion reduced the maximum flexion angles of the lumbar spine and upper lumbar region. Furthermore, subjects who tested negative under the open-eye condition tested positive under the closed-eye condition. Regarding muscle activity in the rectus abdominis and erector spinae muscles, it was suggested that this activity was not affected by visual information. These findings indicate that visual sensory feedback is one factor influencing lumbar motor control. The integration of electromyography and accelerometer systems in this study highlights the role of wearable sensor technologies in quantifying neuromuscular function in Bioengineering. By restricting visual information, a model for sensory reweighting can be established for the design of biofeedback systems, rehabilitation robotics, and assistive devices. The results of this study demonstrate how sensor-based evaluation and sensory manipulation can inform the engineering of diagnostic and therapeutic technologies for motor control assessment. Full article
21 pages, 40575 KB  
Article
Navigation Error Characteristics of LIO-, VIO-, and RIMU-Assisted INS/GNSS Multi-Sensor Fusion Schemes in a GNSS-Denied Environment
by Kai-Wei Chiang, Syun Tsai, Chi-Hsin Huang, Yang-En Lu, Surachet Srinara, Meng-Lun Tsai, Naser El-Sheimy and Mengchi Ai
Sensors 2026, 26(7), 2068; https://doi.org/10.3390/s26072068 - 26 Mar 2026
Viewed by 388
Abstract
Autonomous vehicles at level 3 and above must maintain high navigation accuracy, particularly in global navigation satellite system (GNSS)-denied environments. The main innovations of this work are threefold. First, we integrate visual inertial odometry (VIO) and light detection and ranging (LiDAR) inertial odometry [...] Read more.
Autonomous vehicles at level 3 and above must maintain high navigation accuracy, particularly in global navigation satellite system (GNSS)-denied environments. The main innovations of this work are threefold. First, we integrate visual inertial odometry (VIO) and light detection and ranging (LiDAR) inertial odometry (LIO) as external updates to mitigate the rapid drift of micro-electromechanical system (MEMS)-based industrial-grade inertial measurement units (IMUs) during long-term GNSS outages. Second, we adopt a redundant IMU (RIMU) approach that fuses multiple low-cost IMUs to reduce sensor noise and improve reliability. Third, we propose a system calibration methodology using both static and dynamic vehicle motion to estimate extrinsic parameters (boresight angles and lever arms) of the sensors, achieving an overall boresight angle root-mean-square error of 0.04 degrees in the simulation. Experiments were conducted under a 7 min GNSS-denied scenario in an underground parking lot, allowing for comparison of the error characteristics of multi-sensor fusion schemes against a navigation-grade reference. The INS/GNSS/LIO framework achieved a two-dimensional root-mean-square position error of 1.22 m (95% position error within 2.5 m), meeting the lane-level (1.5 m) accuracy requirement under a GNSS outage exceeding 7 min without prior maps. In contrast, the RINS/GNSS/VIO framework yielded a 4.71 m 2D mean position error under the same conditions. This paper provides a quantitative comparison of the baseline error characteristics of VIO-, LIO-, and RIMU-assisted INS/GNSS fusion under a GNSS-denied navigation scenario. Full article
(This article belongs to the Section Remote Sensors)
Show Figures

Figure 1

16 pages, 1730 KB  
Case Report
Neurorehabilitation and Functional Improvement in Joubert Syndrome: A 12-Month Case Report
by Łukasz Mański, Aleksandra Moluszys, Eliza Wasilewska, Agnieszka Rosa, Krzysztof Szczałuba, Jan Szumlicki, Krystyna Szymańska and Jolanta Wierzba
Children 2026, 13(4), 452; https://doi.org/10.3390/children13040452 - 26 Mar 2026
Viewed by 412
Abstract
Background: Joubert syndrome (JS) is a rare ciliopathy characterized by cerebellar and brainstem malformations and the molar tooth sign on magnetic resonance imaging. Motor impairment is primarily driven by axial hypotonia, impaired postural control, and disrupted respiratory-postural integration. Longitudinal reports describing structured neurorehabilitation [...] Read more.
Background: Joubert syndrome (JS) is a rare ciliopathy characterized by cerebellar and brainstem malformations and the molar tooth sign on magnetic resonance imaging. Motor impairment is primarily driven by axial hypotonia, impaired postural control, and disrupted respiratory-postural integration. Longitudinal reports describing structured neurorehabilitation with standardized functional outcomes remain limited. Case presentation: We report a female child with prenatally suspected vermian hypoplasia and postnatally MRI-confirmed Joubert syndrome. Subsequent molecular testing performed at the age of 3 years and 11 months identified heterozygous variants in the B9D2 gene associated with Joubert syndrome. Early development was marked by axial hypotonia, global motor delay, impaired trunk stabilization, sleep-disordered breathing, and early hip migration. At 2.5 years of age, following motor plateau under conventional therapy, a structured 12-month rehabilitation programme was introduced, combining Vojta-based reflex locomotion, respiratory therapy targeting thoraco-diaphragmatic synchronization, daily home-based practice, and supported standing. Results: After 12 months, gross motor function improved substantially, with GMFM-88 increasing from 12% to 52% (+40 percentage points). PEDI scaled scores improved across all domains, with mobility increasing from 8 to 40, self-care from 15 to 45, and social function from 25 to 50. Ataxia severity decreased from 22 to 15 on the modified Brief Ataxia Rating Scale, consistent with improved trunk stability and coordination. Postural and respiratory organization improved, reflected by a reduction in the subcostal angle from 137° to 90°, an increase in sacral slope from 5° to 10°, and increased expiratory pressure from 10 to 25 mmHg. Caregiver-reported assessment combined with structured clinical observation indicated improved functional visual performance, including enhanced visual attention, visuomotor coordination, and environmental visual interaction. Conclusions: Structured neurorehabilitation was associated with substantial functional improvement across motor, postural, and respiratory domains. These findings support the clinical relevance of mechanism-oriented neurorehabilitation and standardized longitudinal outcome assessment in Joubert syndrome. Full article
(This article belongs to the Special Issue Physical Therapy in Pediatric Developmental Disorders)
Show Figures

Figure 1

16 pages, 2452 KB  
Article
Investigations on the Performances of Corn Starch/PBAT Blends
by Wenzhuo Zhao, Rui Qiu, Miaoyi Fang, Wen Lei and Yong Chen
Polymers 2026, 18(6), 767; https://doi.org/10.3390/polym18060767 - 21 Mar 2026
Viewed by 377
Abstract
Corn starch (CS)/poly (butylene adipate-co-terephthalate) (PBAT) blends were prepared by extrusion and injection molding processes. The CS content in the blends changed between 0 and 50 wt.% in 10 wt.% steps. Melt flow rates, mechanical properties, thermal stability, melting and crystallization behavior, as [...] Read more.
Corn starch (CS)/poly (butylene adipate-co-terephthalate) (PBAT) blends were prepared by extrusion and injection molding processes. The CS content in the blends changed between 0 and 50 wt.% in 10 wt.% steps. Melt flow rates, mechanical properties, thermal stability, melting and crystallization behavior, as well as hydrophilicity of the blends were investigated. Based on these, the degradation properties of PBAT and the blend containing 50 wt.% CS (50%CS/PBAT) in water and open-air storage were comparatively studied via visual appearance observation, Shore hardness testing, and water absorption measurement. The results showed that the melt flow rates and the mechanical properties of the blends, including the tensile strength, tensile modulus, impact strength, and elongation at break, initially increased before decreasing as CS content in the blends increased, while the flexural strength and flexural modulus of the samples increased monotonously. The sample would become more thermal unstable when more CS was used. Besides these, the crystallinity and water contact angle became smaller. Immersion in water would blacken the visual appearances of PBAT and 50%CS/PBAT samples, but cracks could be found much more obviously in the blend than in neat PBAT; both the hardness and the mass of PBAT rose slightly while those of 50%CS/PBAT dropped significantly. An open-air storage would also blacken the visual appearances of PBAT and 50%CS/PBAT, and the hardness of the two samples would be decreased to almost the same extent. The results showed that the incorporation of CS in PBAT had much greater effects on the flow ability, mechanical properties, thermal stability, melt and crystallization behavior, as well as hydrophilicity of the blends. Immersion in water or being placed in air could accelerate the degradation of 50%CS/PBAT much more seriously than PBAT. Compared with PBAT, 50%CS/PBAT was of much lower cost and easier to be degraded, especially in water; it should be an ideal degradable blend for applications in packaging, agricultural mulch, and some other areas. Full article
(This article belongs to the Section Biobased and Biodegradable Polymers)
Show Figures

Figure 1

18 pages, 2594 KB  
Article
APSified Peripapillary Vessel Density in Glaucoma Suspects and Open-Angle Glaucoma
by Michael Moritz, Julia Schottenhamml, Marius Muenk, Meike Müller, Christian Mardin and Bettina Hohberger
Diagnostics 2026, 16(6), 932; https://doi.org/10.3390/diagnostics16060932 - 21 Mar 2026
Viewed by 325
Abstract
Background/Objectives: Optical coherence tomography-angiography (OCT-A) is a non-invasive method of visualizing the capillary system. As vascular dysregulation impacts glaucoma pathogenesis, the aim of this study was to evaluate APSified-BMO-based-peripapillary vessel density (VD) in patients with ocular hypertension (OHT), pre-perimetric-open-angle glaucoma, as well [...] Read more.
Background/Objectives: Optical coherence tomography-angiography (OCT-A) is a non-invasive method of visualizing the capillary system. As vascular dysregulation impacts glaucoma pathogenesis, the aim of this study was to evaluate APSified-BMO-based-peripapillary vessel density (VD) in patients with ocular hypertension (OHT), pre-perimetric-open-angle glaucoma, as well as primary (POAG) and secondary (SOAG) open-angle glaucoma in comparison to healthy controls using OCT-A. Methods: The present study included 180 eyes from 115 patients of the Erlangen Glaucoma Registry, divided into 35 eyes with OHT, 16 pre-perimetric-OAG eyes, 64 OAG eyes—which were subdivided into 37 POAG and 27 SOAG eyes—and 65 healthy controls. All subjects underwent measurements of the retinal nerve fiber layer (RNFL), inner nuclear layer (INL), retinal ganglion cell (RGC) layer, and Bruch membrane opening–minimum rim width (BMO-MRW). APSified-BMO-based-peripapillary vessel density (VD) was visualized by using OCT-A and quantified using the Erlangen Angio Tool. Results: Mean APSified-BMO-based peripapillary VD showed a significant correlation with age (p < 0.0001). Considering the age effect, mean APSified-BMO-based peripapillary VD of OAG was significantly lower compared to healthy eyes (p < 0.0001) and OHT (p = 0.016). Subgroup analysis yielded a significant difference in mean APSified-BMO-based peripapillary VD between controls and POAG (p = 0.001) and SOAG (p = 0.018), respectively. In addition, a significant difference was observed between OHT and POAG patients (p = 0.036). No significant differences were observed between the OHT, pre-perimetric-OAG, and healthy eyes, respectively. Conclusions: As peripapillary VD was significantly decreased in glaucoma patients compared to controls, the data might suggest that peripapillary VD might be useful for monitoring glaucoma progress. Full article
(This article belongs to the Section Biomedical Optics)
Show Figures

Figure 1

Back to TopTop