Sign in to use this feature.

Years

Between: -

Subjects

remove_circle_outline
remove_circle_outline
remove_circle_outline
remove_circle_outline
remove_circle_outline
remove_circle_outline

Journals

Article Types

Countries / Regions

Search Results (30)

Search Parameters:
Keywords = viscous wake model

Order results
Result details
Results per page
Select all
Export citation of selected articles as:
24 pages, 12411 KB  
Article
RANS-Based Aerothermal Database of LS89 Transonic Turbine Cascade Under Adiabatic and Cooled Wall Conditions
by Davide Fornasari, Stefano Regazzo, Ernesto Benini and Francesco De Vanna
Energies 2025, 18(19), 5321; https://doi.org/10.3390/en18195321 - 9 Oct 2025
Viewed by 648
Abstract
Modern gas turbines for aeroengines operate at ever-increasing inlet temperatures to maximize thermal efficiency, power, output and thrust, subjecting turbine blades to severe thermal and mechanical stresses. To ensure component durability, effective cooling strategies are indispensable, yet they strongly influence the underlying aerothermal [...] Read more.
Modern gas turbines for aeroengines operate at ever-increasing inlet temperatures to maximize thermal efficiency, power, output and thrust, subjecting turbine blades to severe thermal and mechanical stresses. To ensure component durability, effective cooling strategies are indispensable, yet they strongly influence the underlying aerothermal behavior, particularly in transonic regimes where shock–boundary layer interactions are critical. In this work, a comprehensive Reynolds-Averaged Navier–Stokes (RANS) investigation is carried out on the LS89 transonic turbine cascade, considering both adiabatic and cooled wall conditions. Three operating cases, spanning progressively higher outlet Mach numbers (0.84, 0.875, and 1.020), are analyzed using multiple turbulence closures. To mitigate the well-known model dependence of RANS predictions, a model-averaging strategy is introduced, providing a more robust prediction framework and reducing the uncertainty associated with single-model results. A systematic mesh convergence study is also performed to ensure grid-independent solutions. The results show that while wall pressure and isentropic Mach number remain largely unaffected by wall cooling, viscous near-wall quantities and wake characteristics exhibit a pronounced sensitivity to the wall-to-recovery temperature ratio. To support further research and model benchmarking, the complete RANS database generated in this work is released as an open-source resource and made publicly. Full article
(This article belongs to the Special Issue Advancements in Gas Turbine Aerothermodynamics)
Show Figures

Figure 1

30 pages, 6080 KB  
Article
A CFD-Based Correction for Ship Mass and Longitudinal Center of Gravity to Improve Resistance Simulation
by Ping-Chen Wu
Mathematics 2025, 13(11), 1788; https://doi.org/10.3390/math13111788 - 27 May 2025
Viewed by 1094
Abstract
In this study, a correction procedure for ship mass and its longitudinal location of center of gravity suitable for a simulation environment is proposed in OpenFOAM v6.0. The concept is implemented ensuring static equilibrium and an approximately zero-pitch moment on the ship before [...] Read more.
In this study, a correction procedure for ship mass and its longitudinal location of center of gravity suitable for a simulation environment is proposed in OpenFOAM v6.0. The concept is implemented ensuring static equilibrium and an approximately zero-pitch moment on the ship before the simulation. The viscous flow field around the ship in calm water is simulated using the VOF (Volume of Fluid) free surface two-phase and SST (Shear Stress Transport) kω turbulence models. Using static mesh, the resistance error of medium and fine grids is 4%, on average, against the experimental value. As the sinkage and trim are predicted using dynamic mesh, the increasing ship’s resistance causes larger errors, except for the container ship. Through the proposed correction, the ship’s vertical motions are significantly improved, and the resistance error decreases for the dynamic simulation. For the container ship, the error of resistance and motion achieved is less than 1%. The sinkage and trim errors improve tremendously for the tanker and bulk carrier, and the resistance errors are reduced slightly, by less than 3%. In the end, the detailed flow field is analyzed, as well as the ship wave-making pattern and the nominal wake velocity distribution, and these are compared with the measurement data available. The characteristics of the flow phenomena are successfully modeled. The resistance value for each hull form satisfies the requirement of Verification and Validation, and the uncertainty values are estimated. Full article
(This article belongs to the Special Issue Computational Fluid Dynamics: Modeling and Industrial Applications)
Show Figures

Figure 1

23 pages, 32058 KB  
Article
Stern Duct with NACA Foil Section Designed by Resistance and Self-Propulsion Simulation for Japan Bulk Carrier
by Ping-Chen Wu, Tzu-Chi Yeh and Yu-Cheng Wang
Inventions 2025, 10(2), 32; https://doi.org/10.3390/inventions10020032 - 21 Apr 2025
Viewed by 1022
Abstract
The objective of the presented work is the stern duct design for the JBC (Japan Bulk Carrier) hull form. Since the original duct only provides a 0.6% resistance reduction, an innovative duct will be proposed to improve the ship resistance and propulsion performance. [...] Read more.
The objective of the presented work is the stern duct design for the JBC (Japan Bulk Carrier) hull form. Since the original duct only provides a 0.6% resistance reduction, an innovative duct will be proposed to improve the ship resistance and propulsion performance. The duct section geometry is based on the NACA (National Advisory Committee for Aeronautics) 4-digit foil series. First, we analyze whether the wake flow field and total resistance of the ship are improved, and then we investigate the self-propulsion performance for the selected ones. The research tool is the CFD (Computational Fluid Dynamics) software OpenFOAM 9 with the viscous free surface flow field modelled by the VOF (Volume of Fluid) method and the SST (Shear Stress Transport) kω turbulence model. The propeller effect is implemented by the MRF (Multi-Reference Frame). Compared to the original duct, two ducts, namely, NACA 7908 and NACA 6.3914, show the best (2.8%) resistance reduction in the bare hull condition. By installing both ducts, the propeller thrust decreases 6 and 5% to reach the self-propulsion point, and the behind-hull efficiency increases 7 and 6%. Both ducts save the energy, i.e., effective horsepower, by 4.3%, and produce obvious flow acceleration, achieving around 10% higher effective wake factor (1 − w). The nominal and propeller wakes are improved as well. Full article
Show Figures

Figure 1

28 pages, 2798 KB  
Article
An rVPM-Based Aerodynamic Hybrid Optimization Method for Coaxial Rotor with Differentiated Upper and Lower Blades in Both Hover and High-Speed Cruising States
by Zhiwei Ding, Dengyan Duan, Chaoqun Zhang and Jianbo Li
Aerospace 2024, 11(6), 463; https://doi.org/10.3390/aerospace11060463 - 9 Jun 2024
Cited by 2 | Viewed by 1933
Abstract
To enhance the performance of rigid coaxial rotors across both hovering and high-speed cruising conditions, this study develops a novel aerodynamic optimization method that differentiates between the upper and lower rotors. Utilizing the lifting line and reformulated viscous vortex particle method (rVPM), this [...] Read more.
To enhance the performance of rigid coaxial rotors across both hovering and high-speed cruising conditions, this study develops a novel aerodynamic optimization method that differentiates between the upper and lower rotors. Utilizing the lifting line and reformulated viscous vortex particle method (rVPM), this approach models the complex wake fields of coaxial rotors and accurately assesses the aerodynamic loads on the blades. The optimization of geometric properties such as planform configuration and nonlinear twist is conducted through an innovative solver that integrates simulated annealing with the Nelder–Mead algorithm, ensuring both rapid and comprehensive optimization results. Comparative analyses demonstrate that these tailored geometric adjustments significantly enhance efficiency in both operational states, surpassing traditional methods. This research provides a strategic framework for addressing the varied aerodynamic challenges presented by different flight states in coaxial rotor design. Full article
(This article belongs to the Special Issue Advances in Aerodynamic Shape Optimisation)
Show Figures

Figure 1

15 pages, 16879 KB  
Article
Ship Flow of the Ryuko-maru Calculated by the Reynolds Stress Model Using the Roughness Function at the Full Scale
by Satoshi Matsuda and Tokihiro Katsui
J. Mar. Sci. Eng. 2024, 12(5), 783; https://doi.org/10.3390/jmse12050783 - 7 May 2024
Cited by 1 | Viewed by 1789
Abstract
The k-omega SST turbulence model is extensively employed in Reynolds-averaged Navier–Stokes (RANS)-based Computational Fluid Dynamics (CFD) calculations. However, the accuracy of the estimation of viscous resistance and companion flow distribution for full-sized vessels is not sufficient. This study conducted a computational analysis of [...] Read more.
The k-omega SST turbulence model is extensively employed in Reynolds-averaged Navier–Stokes (RANS)-based Computational Fluid Dynamics (CFD) calculations. However, the accuracy of the estimation of viscous resistance and companion flow distribution for full-sized vessels is not sufficient. This study conducted a computational analysis of the flow around the Ryuko-maru at model-scale and full-scale Reynolds numbers utilizing the Reynolds stress turbulence model (RSM). The obtained Reynolds stress distribution from the model-scale computation was compared against experimental measurements to assess the capability of the RSM. Furthermore, full-scale computations were performed, incorporating the influence of hull surface roughness, with the resulting wake distributions juxtaposed with the actual ship measurements. The full-scale calculation employed the sand-grain roughness function, and an optimal roughness length scale was determined by aligning the computed wake distribution with Ryuko-maru’s measured data. The results of this study will allow for the direct performance estimation of full-scale ships and contribute to the design technology of performance. Full article
(This article belongs to the Special Issue CFD Applications in Ship and Offshore Hydrodynamics)
Show Figures

Figure 1

19 pages, 8290 KB  
Article
Numerical Study of a Model and Full-Scale Container Ship Sailing in Regular Head Waves
by Andreea Mandru, Liliana Rusu, Adham Bekhit and Florin Pacuraru
Inventions 2024, 9(1), 22; https://doi.org/10.3390/inventions9010022 - 12 Feb 2024
Cited by 1 | Viewed by 3154
Abstract
In the present study, the added resistance, heave, and pitch of the KRISO Container Ship (KCS) in waves, at both model scale and full scale, are predicted numerically in regular head waves, for four wavelengths and three wave heights. The ISIS-CFD viscous flow [...] Read more.
In the present study, the added resistance, heave, and pitch of the KRISO Container Ship (KCS) in waves, at both model scale and full scale, are predicted numerically in regular head waves, for four wavelengths and three wave heights. The ISIS-CFD viscous flow solver, implemented in the Fidelity Fine Marine software provided by CADENCE, was employed for the numerical simulations. The spatial discretization was based on the finite volume method using an unstructured grid. The unsteady Reynolds-averaged Navier–Stokes (RANS) equations were solved numerically, with the turbulence modeled by shear stress transport (k-ω) (SST). The free-surface capturing was based on the volume-of-fluid method. The computed solutions were validated through comparisons with towing test data available in the public domain. To predict the uncertainties in the numerical solution, a systematic grid convergence study based on the Richardson extrapolation method was performed for a single wave case on three different grid resolutions. Specific attention was given to the free-surface and wake flow in the propeller plane. The purpose was to compare the numerical results from the model- and full-scale tests to examine the scale’s effect on the ship’s performance in regular head waves. The comparison between the model scale and full scale showed obvious differences, less accentuated for the free-surface topology and clearly observed in terms of boundary layer formation in the propeller’s vicinity. Full article
Show Figures

Figure 1

21 pages, 5335 KB  
Article
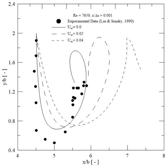
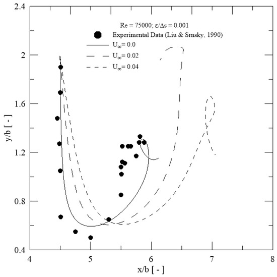
Lagrangian Vortices Interactions Using Large-Eddy Simulation (LES) and Surface Roughness Model—Application for Aircraft Wake Vortices with Crosswind
by Gabriel Ferraz Marcondes de Carvalho, Marília Fernandes Vidille, Alex Mendonça Bimbato and Luiz Antonio Alcântara Pereira
Appl. Sci. 2023, 13(22), 12336; https://doi.org/10.3390/app132212336 - 15 Nov 2023
Cited by 3 | Viewed by 1693
Abstract
A new technique for two-dimensional vortex methods is presented. The vorticity field is discretized and represented by vortex blobs. Viscosity and roughness are incorporated into vortex simulations by means of the corrected core-spreading method with LES theory. A deterministic and efficient grid-free method [...] Read more.
A new technique for two-dimensional vortex methods is presented. The vorticity field is discretized and represented by vortex blobs. Viscosity and roughness are incorporated into vortex simulations by means of the corrected core-spreading method with LES theory. A deterministic and efficient grid-free method simulates viscous effects by maintaining small vortex core sizes through a splitting algorithm that controls the consistency error. The LES theory also enables the implementation of the roughness model. The effectiveness of this method is shown in calculating vortex interactions and decay in aircraft wakes with crosswind near a rough ground plane. The numerical results of the trajectory of primary vortical structures are compared with experimental data (when possible), suggesting the validity of the method. In general, the control of the roughness height size appears as an important factor to interfere on the trajectory of primary vortical structures in the ground effect with crosswind. The effect of the relative roughness height of ε/Δs = 0.001 shows that the primary vortical structures survive the interaction with the ground plane and can attain a maximum height in the order of 0.95 h (h is the release height of the primary vortical structures) during the loop for crosswind velocity of U = 0.02 at Re = 7650. On the other hand, the combined effects of roughness ε/Δs = 0.001 and of crosswind U = 0.04 at Re = 75,000 indicate that the primary vortical structures attain a maximum height about 0.83 h during the loop, tending to leave the runway faster, with sufficient intensity to disturb a smaller aircraft operating on a parallel runway. Full article
Show Figures

Figure 1

18 pages, 11090 KB  
Article
3D Turbulent Boundary Layer Separation Control by Multi-Discharge Plasma Actuator
by Sergey Chernyshev, Gadzhi Gadzhimagomedov, Aleksandr Kuryachiy, Dmitry Sboev and Stepan Tolkachev
Aerospace 2023, 10(10), 869; https://doi.org/10.3390/aerospace10100869 - 6 Oct 2023
Cited by 3 | Viewed by 1952
Abstract
In a subsonic wind tunnel, a three-dimensional separation of a developed turbulent boundary layer was simulated on a swept wing flap model. A multi-discharge plasma actuator operating on the basis of dielectric barrier discharge was used to overcome the positive pressure gradient, leading [...] Read more.
In a subsonic wind tunnel, a three-dimensional separation of a developed turbulent boundary layer was simulated on a swept wing flap model. A multi-discharge plasma actuator operating on the basis of dielectric barrier discharge was used to overcome the positive pressure gradient, leading to a three-dimensional separation, when the ultimate streamline on the aerodynamic surface turns along the flap trailing edge. The actuator created an extended streamwise region of volume force, leading to flow acceleration near a streamlined surface. The influence of the force impact direction relative to the flap trailing edge was studied. The experiments demonstrated that the plasma actuator can significantly influence the flow structure in the separation region, leading to a decrease in both the transverse size of the viscous wake behind the flap and the total pressure losses within it. Full article
(This article belongs to the Special Issue Plasma Actuator)
Show Figures

Figure 1

23 pages, 13094 KB  
Article
Transfer Learning with Deep Neural Network toward the Prediction of Wake Flow Characteristics of Containerships
by Min-Kyung Lee and Inwon Lee
J. Mar. Sci. Eng. 2023, 11(10), 1898; https://doi.org/10.3390/jmse11101898 - 29 Sep 2023
Cited by 4 | Viewed by 2401
Abstract
In this study, deep neural network (DNN) and transfer learning (TL) techniques were employed to predict the viscous resistance and wake distribution based on the positions of flow control fins (FCFs) applied to containerships of various sizes. Both methods utilized data collected through [...] Read more.
In this study, deep neural network (DNN) and transfer learning (TL) techniques were employed to predict the viscous resistance and wake distribution based on the positions of flow control fins (FCFs) applied to containerships of various sizes. Both methods utilized data collected through computational fluid dynamics (CFD) analysis. The position of the flow control fin (FCF) and hull form information were utilized as input data, and the output data included viscous resistance coefficients and components of propeller axial velocity. The base DNN model was trained and validated using a source dataset from a 1000 TEU containership. The grid search cross-validation technique was employed to optimize the hyperparameters of the base DNN model. Then, transfer learning was applied to predict the viscous resistance and wake distribution for containerships of varying sizes. To enhance the accuracy of feature prediction with a limited amount of data, learning rate optimization was conducted. Transfer learning involves retraining and reconfiguring the base DNN model, and the accuracy was verified based on the fine-tuning method of the learning model. The results of this study can provide hull designers for containerships with performance evaluation information by predicting wake distribution, without relying on CFD analysis. Full article
(This article belongs to the Special Issue Machine Learning and Modeling for Ship Design)
Show Figures

Figure 1

15 pages, 4602 KB  
Article
Influence of Upstream Sweeping Wake Number on the Unsteady Flow Mechanism in an Integrated Aggressive Intermediate Turbine Duct
by Xiaoqing Ouyang, Zhijun Lei, Hanliu Deng, Hongrui Liu, Xingen Lu, Gang Xu and Junqiang Zhu
Machines 2023, 11(7), 728; https://doi.org/10.3390/machines11070728 - 10 Jul 2023
Viewed by 1331
Abstract
This paper focuses on the dynamic internal flow in the integrated aggressive intermediate turbine duct (AITD) with different HPT wake numbers, using CFX Solver with dynamic Reynolds-averaged Navier–Stokes equations (RANS), the shear stress transmission κ-ω turbulence model (SST) and the γ-θ transition model. [...] Read more.
This paper focuses on the dynamic internal flow in the integrated aggressive intermediate turbine duct (AITD) with different HPT wake numbers, using CFX Solver with dynamic Reynolds-averaged Navier–Stokes equations (RANS), the shear stress transmission κ-ω turbulence model (SST) and the γ-θ transition model. The HPT wakes are simulated using sweeping rods, with the number of rods ranging from 14 to 56 and a reduced frequency of 1.07. The increasing wake number reduces the radial pressure gradient in the integrated AITD, and then decelerates the radial migration and dissipation of wake vortices, so that some residual wakes can reach the integrated low-pressure turbine guide vane (LPT-GV) to enhance the suppression of flow separation to a certain extent. On the other hand, the increase in wake number can also weaken the skewness and stretching of the wake, thereby increasing the duration of flow separation suppression. When there are too many wakes, the mixing between adjacent wakes accelerates the dispersion of wake vortices, leading to increased total pressure loss and an enhanced turbulence intensity. This enhanced turbulence intensity promotes bypass transition on the suction surface of the LPT-GV in advance, thereby completely eliminating flow separation on the LPT-GV in the entire spatiotemporal domain, which is beneficial for reducing separation loss, but also increasing turbulent viscous loss. When N ≤ 28, the gross loss of the integrated AITD studied in this paper reaches a minimum value (around 0.22), as the benefits brought by the wake suppression of flow separation can offset the wake dissipation loss and the turbulent viscous loss caused by the wake-induced transition. Considering that wake loss is inherently present, using sweeping wakes to inhibit the flow separation on the integrated LPT-GV can bring certain aerodynamic benefits when the wake number is less than 28. Full article
(This article belongs to the Special Issue Aerodynamic Design and Optimization for Turbomachinery)
Show Figures

Figure 1

20 pages, 4601 KB  
Article
Time-Inclined Method for High-Fidelity Rotor/Stator Simulations
by Miguel Montiel and Roque Corral
Aerospace 2023, 10(5), 475; https://doi.org/10.3390/aerospace10050475 - 18 May 2023
Cited by 2 | Viewed by 2548
Abstract
The application of the time-inclined method in a fourth-order unstructured flux-reconstruction code for turbomachinery is demonstrated. Inviscid and viscous unsteady results due to the interaction of an incoming gust of total pressure with a linear cascade of flat plates and a linear cascade [...] Read more.
The application of the time-inclined method in a fourth-order unstructured flux-reconstruction code for turbomachinery is demonstrated. Inviscid and viscous unsteady results due to the interaction of an incoming gust of total pressure with a linear cascade of flat plates and a linear cascade of T106A low-pressure turbine airfoils are reported. The agreement between the time-inclined method and the equivalent full-annulus multipassage solution is very high for both cases. Viscous solutions at Reynolds numbers of 104 and 105 were conducted. A high degree of matching was obtained between the time-inclined and the whole annulus approaches. The limitations of the method are explored and discussed. While the evolution of the unsteady boundary layers created by the interaction with the incoming wakes was very well captured, the mixing associated with the trailing edge vortex shedding was less accurate. The critical parameter controlling the method’s accuracy is the local Strouhal number. It was demonstrated that the benefit of retaining the exact blade count in the simulations overcomes the slight differences in the mixing due to the limitation of the time-inclined method to model viscous effects accurately in all situations. Full article
(This article belongs to the Section Aeronautics)
Show Figures

Figure 1

22 pages, 6375 KB  
Article
Numerical Investigation of Aerodynamic Performances for NREL 5-MW Offshore Wind Turbine
by Qiqing Zhang and Xiuling Wang
Wind 2023, 3(2), 191-212; https://doi.org/10.3390/wind3020012 - 28 Apr 2023
Cited by 4 | Viewed by 6302
Abstract
As one of the preferred types of renewable energy, wind energy is rapidly growing. The purpose of this study is to provide a comprehensive and in-depth numerical analysis on the National Renewable Energy Lab (NREL) 5-MW offshore wind turbine to help understand the [...] Read more.
As one of the preferred types of renewable energy, wind energy is rapidly growing. The purpose of this study is to provide a comprehensive and in-depth numerical analysis on the National Renewable Energy Lab (NREL) 5-MW offshore wind turbine to help understand the wind turbine’s aerodynamic features. In this research, the preprocessing was conducted by using SolidWorks modeling, and a realizable k-ε viscous model from ANSYS/FLUENT was used as the solver in the CFD simulation. Eight test cases were developed, and fixed inlet velocity 9 m/s was set as the baseline case. After the initial mesh independent study and model validation, a detailed numerical analysis was carried out. The results of near wake flow features, torque and thrust, pressure and pressure coefficient distribution, limiting streamline along wind turbine blades, power coefficient as a function of tip speed ratio were evaluated. Whenever possible, simulation results were compared with data in the literature (numerical or experimental), and good agreement was observed. The detailed wind turbine aerodynamic analysis results are expected to provide valuable input to wind turbine design and thus to improve the effectiveness of harnessing wind energy. Research is on the way to further understanding the influence of different inflow conditions on the aerodynamic characteristics. Full article
Show Figures

Figure 1

19 pages, 9502 KB  
Article
Hydrodynamic Forces and Wake Distribution of Various Ship Shapes Calculated Using a Reynolds Stress Model
by Satoshi Matsuda and Tokihiro Katsui
J. Mar. Sci. Eng. 2022, 10(6), 777; https://doi.org/10.3390/jmse10060777 - 3 Jun 2022
Cited by 10 | Viewed by 3524
Abstract
The Reynolds-averaged Navier–Stokes (RANS)-based computational fluid dynamics (CFD) calculation using a two-equation turbulence model, such as the k–omega shear-stress transport (SST) model, is a mainstream method with sufficient accuracy for the estimation of integral hydrodynamic forces and moment at both the model-scale [...] Read more.
The Reynolds-averaged Navier–Stokes (RANS)-based computational fluid dynamics (CFD) calculation using a two-equation turbulence model, such as the k–omega shear-stress transport (SST) model, is a mainstream method with sufficient accuracy for the estimation of integral hydrodynamic forces and moment at both the model-scale and full scale. This paper confirmed that the Reynolds stress model (RSM) has sufficient estimation accuracy of viscous resistance and wake distribution at the hull design stage. Herein, the ability of RSMs to estimate the viscous resistance and wake distribution of a JBC ship is evaluated. Specifically, the verification and validation (V&V) method is employed to indicate the numerical and model uncertainties of each turbulence model used to estimate the viscous resistance. The RSMs showed higher numerical uncertainty than the k–omega SST. However, the uncertainty of the experimental measurements is generally smaller than the numerical uncertainty. Moreover, the linear pressure–strain (LPS) and the linear pressure–strain two-layer (LPST) models show less comparison error of the viscous resistance than the k–omega SST. Furthermore, the LPST and k–omega SST models are applied to twenty ships with various full and fine hull forms to calculate the viscous resistance and compare it with the experimental results. The viscous resistance of the LPST model showed a small difference when employed in experimental fluid dynamics (EFD) and CFD calculations. Using the LPST model, the viscous resistance can be estimated with high accuracy in our setting. For industrial use, this study could provide an important insight into the designing of various types of vessels. Full article
(This article belongs to the Special Issue CFD Analysis in Ocean Engineering)
Show Figures

Figure 1

44 pages, 15880 KB  
Article
Improved Prediction of Aerodynamic Loss Propagation as Entropy Rise in Wind Turbines Using Multifidelity Analysis
by Kiran Siddappaji and Mark Turner
Energies 2022, 15(11), 3935; https://doi.org/10.3390/en15113935 - 26 May 2022
Cited by 6 | Viewed by 2489
Abstract
Several physics-based enhancements are embedded in a low-fidelity general unducted rotor design analysis tool developed, py_BEM, including the local Reynolds number effect, rotational corrections to airfoil polar, stall delay model, high induction factor correction, polar at large angle of attack, exergetic efficiency calculation [...] Read more.
Several physics-based enhancements are embedded in a low-fidelity general unducted rotor design analysis tool developed, py_BEM, including the local Reynolds number effect, rotational corrections to airfoil polar, stall delay model, high induction factor correction, polar at large angle of attack, exergetic efficiency calculation and momentum-based loss. A wind turbine rotor is analyzed in high fidelity designed from py_BEM using a 3D blade generator. It is a design derived from the NREL Phase VI rotor. Three design variations are analyzed using steady 3D CFD solutions to demonstrate the effect of geometry on aerodynamics. S809 and NACA 2420 airfoil properties are used for calculating the aerodynamic loading. Momentum, vorticity and energy transport are explained in depth and connected to entropy production as a measure of performance loss. KE dissipation downstream of the rotor is shown to be a significant contributor of entropy rise. Wake analysis demonstrates mixing with the free stream flow, which begins after 3 diameters downstream of the rotor and extends to about 25 diameters until the decay is very small. Vorticity dynamics is investigated using a boundary vorticity flux technique to demonstrate the relationship between streamwise vorticity and lift generated in boundary layers. Drag components are accounted as well. It is demonstrated using rothalpy that shaft power is not only torque multiplied by rotational velocity but a viscous power loss term must also be included. A multifidelity analysis of wind turbine aerodynamics is demonstrated by capturing flow physics at several levels. Full article
(This article belongs to the Special Issue The Nexus among Sustainable Development Goals and Clean Energies)
Show Figures

Graphical abstract

30 pages, 4327 KB  
Article
A Hybrid Non-Linear Unsteady Vortex Lattice-Vortex Particle Method for Rotor Blades Aerodynamic Simulations
by Vincent Proulx-Cabana, Minh Tuan Nguyen, Sebastien Prothin, Guilhem Michon and Eric Laurendeau
Fluids 2022, 7(2), 81; https://doi.org/10.3390/fluids7020081 - 16 Feb 2022
Cited by 13 | Viewed by 6067
Abstract
This study presents a hybrid non-linear unsteady vortex lattice method-vortex particle method (NL UVLM-VPM) to investigate the aerodynamics of rotor blades hovering in and out of ground effect. The method is of interest for the fast aerodynamic prediction of helicopter and smaller rotor [...] Read more.
This study presents a hybrid non-linear unsteady vortex lattice method-vortex particle method (NL UVLM-VPM) to investigate the aerodynamics of rotor blades hovering in and out of ground effect. The method is of interest for the fast aerodynamic prediction of helicopter and smaller rotor blades. UVLM models the vorticity along the rotor blades and near field wakes with panels that are then converted into their equivalent vortex particle representations. The standard Vreman subgrid scale model is incorporated in the context of a large eddy simulation for mesh-free VPM to stabilize the wake development via particle strength exchange (PSE). The computation of the pairwise interactions in the VPM are accelerated using the fast-multipole method. Non-linear UVLM is achieved with a low computational cost viscous-inviscid alpha coupling algorithm through a stripwise 2D Reynolds-averaged Navier–Stokes (RANS) or empirical database. The aerodynamics of the scaled S76 rotor blades in and out of ground effect from the hover prediction workshop is investigated with the proposed algorithm. The results are validated with experimental data and various high-fidelity codes. Full article
Show Figures

Figure 1

Back to TopTop