Lagrangian Vortices Interactions Using Large-Eddy Simulation (LES) and Surface Roughness Model—Application for Aircraft Wake Vortices with Crosswind
Abstract
:1. Introduction
2. Problem Description
3. Theory and Numerical Method
3.1. Governing Equations
3.2. Numerical Method
- (i)
- Initial specifications of geometry including M “shedding points” (every one above the “pivotal points”) and starting flow.
- (ii)
- Construction of the pair of counter-rotating vortical structures shedding from wingtips.
- (iii)
- Creation and shedding of M vortex blobs with no roughness model to ensure the no-slip condition on all “pivotal points” including global circulation conservation.
- (iv)
- Correction for viscous core and vortex strength of all nascent vortex blobs because of surface roughness effects.
- (v)
- Computation of the velocity field at every vortex blob location in the real plan (y > 0), as sketched in Figure 1.
- (vi)
- Advection of the cluster of vortex blobs.
- (vii)
- Computation of turbulence manifestations at every vortex blob location.
- (viii)
- Vorticity diffusion using the corrected core-spreading method with LES theory.
- (ix)
- Reflection of vortex blob that accidentally migrates into the ground plane.
- (x)
- Computation of the velocity field at every “pivotal point” to ensure the no-slip condition and, consequently, to obtain a new generation of vortex blobs.
- (xi)
- Advance time by Δt.
4. Results and Discussion
4.1. Advection and Diffusion Convergence
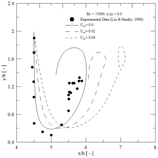
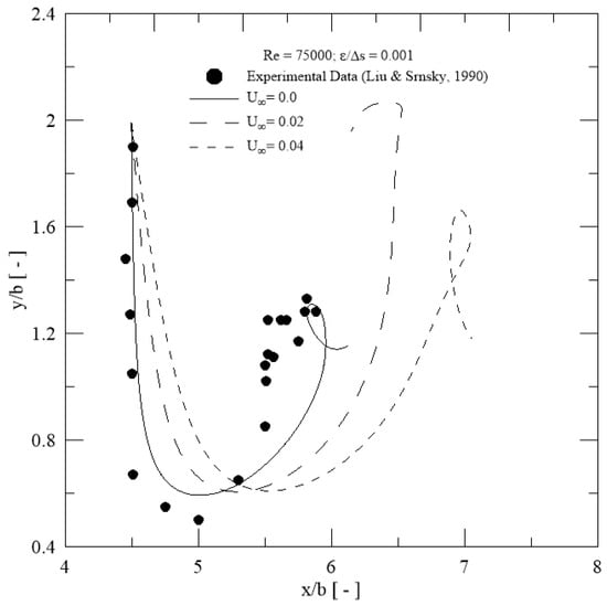
4.2. Aircraft Wake Vortices in Ground Effect with Crosswind
5. Conclusions
- (i)
- Lagrangian vortex interactions with combined effects of crosswind and surface roughness were efficient in simulating the enhanced dissipation of aircraft vortex wakes in the vicinity of a runway.
- (ii)
- The effect of aircraft wake vortices separating and rebounding upon interacting with the runway was successfully captured.
- (iii)
- The formation of the boundary layer on the ground and the subsequent generation of secondary vortical structures were the key effects responsible for the rebound; thoses phenomena were simulated in a very good physical sense.
- (iv)
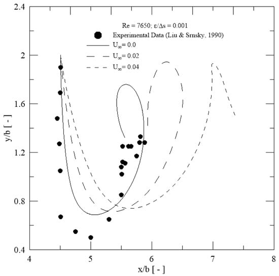
- A comparison of trajectories of primary vortical structure between experimental data and numerical results presented a good agreement at Re = 7650 (Figure 6). The experimental data included the effects of the lateral wall for the recirculation water tank.
- (v)
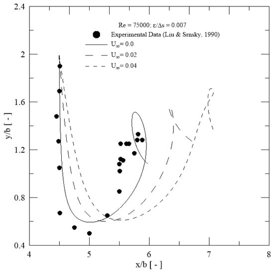
- The crosswind velocity of magnitude U∞ = 0.04 combined with relative roughness height of ε/Δs = 0.001 at Re = 75,000 caused the primary vortical structure to attain a maximum height of about 0.83 h during the loop; importantly, vortical structures tend to leave the runway faster with sufficient intensity to disturb a smaller aircraft operating on a parallel runway (Figure 11).
- (vi)
- (vii)
- The control of roughness height appeared to be a determining factor to interfere with the trajectory of primary vortices generated by a large aircraft approaching or leaving a ground plane with crosswind.
- (viii)
- The numerical results confirmed that extensive data and CFD are required to develop wake models linked with systems such as “Wake Turbulence Re-categorization or Wake RECAT” (a safe decrease in separation standards between aircrafts).
Author Contributions
Funding
Institutional Review Board Statement
Informed Consent Statement
Data Availability Statement
Conflicts of Interest
References
- Reynolds, O. An Experimental Investigation of the Circumstances Which Determine Whether the Motion of Water shall be Direct or Sinuous, and of the Law of Resistance in Parallel Channels. Proc. R. Soc. Lond. 1883, 35, 84. [Google Scholar]
- Ozkan, G.M.; Egitmen, H. Turbulent Structures in an Airfoil Wake at Ultra-Low to Low Reynolds Numbers. Exp. Therm. Fluid Sci. 2022, 134, 110622. [Google Scholar] [CrossRef]
- Sporschill, G.; Billard, F.; Mallet, M.; Manceau, R.; Bézard, H. Assessment of Reynolds-Stress Models for Aeronautical Applications. Int. J. Heat. Fluid Flow. 2022, 96, 108955. [Google Scholar] [CrossRef]
- List, B.; Chen, L.; Thuerey, N. Learned Turbulence Modelling with Differentiable Fluid Solvers: Physics-Based Loss Functions and Optimisation Horizons. J. Fluid Mech. 2022, 949, A25. [Google Scholar] [CrossRef]
- Alcântara Pereira, L.A.; Hirata, M.H.; Silveira Neto, A. Vortex Method with Turbulence Sub-grid Scale Modeling. J. Braz. Soc. Mech. Sci. Eng. 2003, 25, 140–146. [Google Scholar]
- Hirata, M.H.; Alcântara Pereira, L.A.; Recicar, J.N.; Moura, W.H. High Reynolds Number Oscillations of a Circular Cylinder. J. Braz. Soc. Mech. Sci. Eng. 2008, 30, 368. [Google Scholar] [CrossRef]
- Bimbato, A.M.; Alcântara Pereira, L.A.; Hirata, M.H. Development of a New Lagrangian Vortex Method for Evaluating Effects of Surfaces Roughness. Eur. J. Mech. B Fluids 2019, 74, 291–301. [Google Scholar] [CrossRef]
- Moraes, P.G.; Alcântara Pereira, L.A. Surface Roughness Effects on Flows past Two Circular Cylinders in Tandem Arrangement at Co-shedding Regime. Energies 2021, 14, 8237. [Google Scholar] [CrossRef]
- Kamemoto, K. On Contribution of Advanced Vortex Element Methods toward Virtual Reality of Unsteady Vortical Flows in the New Generation of CFD. J. Braz. Soc. Mech. Sci. Eng. 2004, 26, 368–378. [Google Scholar] [CrossRef]
- Mimeau, C.; Mortazavi, I. A Review of Vortex Methods and Their Applications: From Creation to Recent Advances. Fluids 2021, 6, 68. [Google Scholar] [CrossRef]
- Martensen, E. Berechnung und Simulation der Beanspruchung einer Fußbodensitzschiene einschließlich Krafteinleitung. Arch. Rat. Mech. 1959, 3, 235–270. [Google Scholar] [CrossRef]
- Chorin, A.J. Numerical Study of Slightly Viscous Flow. J. Fluid Mech. 1973, 57, 785–796. [Google Scholar] [CrossRef]
- Leonard, A. Vortex Methods for Flow Simulations. J. Comput. Phys. 1980, 37, 289–335. [Google Scholar] [CrossRef]
- Greengard, C. The Core Spreading Vortex Method Approximate the Wrong Equation. J. Comp. Phys. 1985, 61, 345–348. [Google Scholar] [CrossRef]
- Rossi, L.F. Resurrecting Core Spreading Vortex Methods: A New Scheme that is Both Deterministic and Convergent. SIAM J. Sci. Comput. 1996, 17, 370–397. [Google Scholar] [CrossRef]
- Yokota, R.; Narumi, T.; Sakamaki, R.; Kameoka, S.; Obi, S.; Yasuoka, K. Fast Multipole Methods on a Cluster of GPUs for the Meshless Simulation of Turbulence. Comput. Phys. Commun. 2009, 180, 2066–2078. [Google Scholar] [CrossRef]
- Salloum, S.; Lakkis, I. An Adaptive Error-Controlled Hybrid Fast Solver for Regularized Vortex Methods. J. Comput. Phys. 2022, 468, 111504. [Google Scholar] [CrossRef]
- Marchevsky, I.; Ryatina, E.; Kolganova, A. Fast Barnes-Hut-Based Algorithm in 2D Vortex Method of Computational Hydrodynamics. Comput. Fluids 2023, 266, 106018. [Google Scholar] [CrossRef]
- Xiong, S.; He, X.; Tong, Y.; Deng, Y.; Zhu, B. Neural Vortex Method: From Finite Lagrangian Particles to Infinite Dimensional Eulerian Dynamics. Comput. Fluids 2023, 258, 105811. [Google Scholar] [CrossRef]
- Lesieur, M.; Métais, O. New Trends in Large Eddy Simulation of Turbulence. Rev. Fluid Mech. 1996, 28, 45–82. [Google Scholar] [CrossRef]
- Liu, H.T.; Srnsky, R.A. Laboratory Investigation of Atmospheric Effects on Vortex Wakes; Report, No. 497; Flow Research, Inc.: Belleville, ON, Canada, 1990. [Google Scholar]
- Vyshinsky, V.V. Aircraft Vortex Wake and Airport Capacity. J. Aerosp. 1997, 106, 1381–1393. Available online: https://www.jstor.org/stable/44650529 (accessed on 28 September 2023).
- Bobylev, A.V.; Vyshinsky, V.V.; Soudakov, G.G.; Yaroshevsky, V.A. Aircraft Vortex Wake and Flight Safety Problems. J. Aircr. 2010, 47, 663–674. [Google Scholar] [CrossRef]
- Vechtel, D.; Stephan, A.; Holzäpfel, F. Simulation Study of Severity and Mitigation of Wake-Vortex Encounters in Ground Proximity. J. Aircr. 2017, 54, 1802–1813. [Google Scholar] [CrossRef]
- Hallock, J.N.; Holzäpfel, F. A Review of Recent Wake Vortex Research for Increasing Airport Capacity. Prog. Aerosp. Sci. 2018, 98, 27–36. [Google Scholar] [CrossRef]
- Critchley, J.B.; Foot, P.B. United Kingdom Civil Aviation Authority Wake Vortex Database; Analysis of Incidents Reported between 1982 and 1990; CAA Paper 91015; CAA: London, UK, 1991. [Google Scholar]
- Holzäpfel, F.; Strauss, L.; Schwarz, C. Assessment of Dynamic Pairwise Wake Vortex Separations for Approach and Landing at Vienna Airport. Aerosp. Sci. Technol. 2021, 112, 106618. [Google Scholar] [CrossRef]
- Xu, Z.; Li, D.; An, B.; Pan, W. Enhancement of Wake Vortex Decay by Air Blowing from the Ground. Aerosp. Sci. Technol. 2021, 118, 107029. [Google Scholar] [CrossRef]
- Xu, Z.; Li, D.; Cai, J. Long-Wave Deformation of In-Ground-Effect Wake Vortex Under Crosswind Condition. Aerosp. Sci. Technol. 2023, 142, 108697. [Google Scholar] [CrossRef]
- Moraes, P.G.; Oliveira, M.A.; Bimbato, A.M.; Alcântara Pereira, L.A. A Lagrangian Description of Buoyancy Effects on Aircraft Wake Vortices from Wing Tips near a Heated Ground Plane. Energies 2022, 15, 6995. [Google Scholar] [CrossRef]
- Kundu, P.K. Fluid Mechanics; Academic Press: Cambridge, MA, USA, 1990. [Google Scholar]
- Katz, J.; Plotkin, A. Low Speed Aerodynamics: From Wing Theory to Panel Methods; McGraw Hill Inc.: New York, NY, USA, 1991. [Google Scholar]
- Kelvin, L. On vortex motion. Trans. Roy. Soc. Edin. 1869, 25, 217–260. [Google Scholar]
- Helmholtz, H. On integrals of the hydrodynamic equations which express vortex motions. Philos. Mag. 1867, 33, 485. [Google Scholar] [CrossRef]
- Ferziger, J.H. Numerical Methods for Engineering Application; John Wiley & Sons, Inc.: Hoboken, NJ, USA, 1981. [Google Scholar]
- Batchelor, G.K. An Introduction to Fluid Dynamics; Cambridge University Press: Cambridge, UK, 2000. [Google Scholar]
- Betz, A. Behavior of Vortices Systems; NACA TM 713; trans. from ZAMM, XII, 3, June 1932; NASA: Washington, DC, USA, 1933. [Google Scholar]

















| Test Case | U∞ | ε/Δs |
|---|---|---|
| 1 | 0.0 | 0.0 |
| 2 | 0.0 | 0.001 |
| 3 | 0.0 | 0.007 |
| 4 | 0.02 | 0.0 |
| 5 | 0.02 | 0.001 |
| 6 | 0.02 | 0.007 |
| 7 | 0.04 | 0.0 |
| 8 | 0.04 | 0.001 |
| 9 | 0.04 | 0.007 |
Disclaimer/Publisher’s Note: The statements, opinions and data contained in all publications are solely those of the individual author(s) and contributor(s) and not of MDPI and/or the editor(s). MDPI and/or the editor(s) disclaim responsibility for any injury to people or property resulting from any ideas, methods, instructions or products referred to in the content. |
© 2023 by the authors. Licensee MDPI, Basel, Switzerland. This article is an open access article distributed under the terms and conditions of the Creative Commons Attribution (CC BY) license (https://creativecommons.org/licenses/by/4.0/).
Share and Cite
Carvalho, G.F.M.d.; Vidille, M.F.; Bimbato, A.M.; Alcântara Pereira, L.A. Lagrangian Vortices Interactions Using Large-Eddy Simulation (LES) and Surface Roughness Model—Application for Aircraft Wake Vortices with Crosswind. Appl. Sci. 2023, 13, 12336. https://doi.org/10.3390/app132212336
Carvalho GFMd, Vidille MF, Bimbato AM, Alcântara Pereira LA. Lagrangian Vortices Interactions Using Large-Eddy Simulation (LES) and Surface Roughness Model—Application for Aircraft Wake Vortices with Crosswind. Applied Sciences. 2023; 13(22):12336. https://doi.org/10.3390/app132212336
Chicago/Turabian StyleCarvalho, Gabriel Ferraz Marcondes de, Marília Fernandes Vidille, Alex Mendonça Bimbato, and Luiz Antonio Alcântara Pereira. 2023. "Lagrangian Vortices Interactions Using Large-Eddy Simulation (LES) and Surface Roughness Model—Application for Aircraft Wake Vortices with Crosswind" Applied Sciences 13, no. 22: 12336. https://doi.org/10.3390/app132212336
APA StyleCarvalho, G. F. M. d., Vidille, M. F., Bimbato, A. M., & Alcântara Pereira, L. A. (2023). Lagrangian Vortices Interactions Using Large-Eddy Simulation (LES) and Surface Roughness Model—Application for Aircraft Wake Vortices with Crosswind. Applied Sciences, 13(22), 12336. https://doi.org/10.3390/app132212336

