Sign in to use this feature.

Years

Between: -

Subjects

remove_circle_outline
remove_circle_outline
remove_circle_outline
remove_circle_outline
remove_circle_outline
remove_circle_outline
remove_circle_outline
remove_circle_outline
remove_circle_outline

Journals

remove_circle_outline
remove_circle_outline
remove_circle_outline
remove_circle_outline
remove_circle_outline
remove_circle_outline
remove_circle_outline
remove_circle_outline
remove_circle_outline
remove_circle_outline
remove_circle_outline
remove_circle_outline
remove_circle_outline
remove_circle_outline
remove_circle_outline
remove_circle_outline
remove_circle_outline
remove_circle_outline

Article Types

Countries / Regions

remove_circle_outline
remove_circle_outline
remove_circle_outline
remove_circle_outline
remove_circle_outline

Search Results (2,406)

Search Parameters:
Keywords = viscoelastic properties

Order results
Result details
Results per page
Select all
Export citation of selected articles as:
19 pages, 3078 KB  
Article
Synergistic Mechanisms of Surfactants and Monovalent Ions for Enhanced Oil Recovery Through Interfacial Properties and Microfluidic Study
by Xuchun Yang, Yafei Liu, Fen He, Chenlu Du, Jingdi Zheng and Desheng Zhou
Gels 2026, 12(5), 435; https://doi.org/10.3390/gels12050435 (registering DOI) - 15 May 2026
Abstract
In oil and gas development, the oil displacement efficiency of single surfactants is inherently constrained. While synergistic interactions between salt ions and surfactants can enhance displacement performance by modulating interfacial properties and wettability, the underlying mechanisms remain insufficiently understood. This study systematically investigated [...] Read more.
In oil and gas development, the oil displacement efficiency of single surfactants is inherently constrained. While synergistic interactions between salt ions and surfactants can enhance displacement performance by modulating interfacial properties and wettability, the underlying mechanisms remain insufficiently understood. This study systematically investigated the synergistic effects of two monovalent salts (NaCl, KCl) and four surfactants through macroscopic characterization of interfacial property and microfluidic displacement experiments using microfluidic device with dead-end structures. The results show that salt type and concentration significantly influence interfacial dynamics. The four selected surfactants exhibit gel-like behavior through molecular self-assembly in aqueous solutions, and their synergistic interaction with salt ions enhances oil displacement efficiency by modulating interfacial characteristics. High-salinity solutions reduce interfacial tension, with CTAB exhibiting a concentration-dependent decrease, while NP-10 behavior is governed by both surfactant and salt concentrations. The presence of Na+ generally resulted in lower IFT, improved interfacial viscoelasticity, and more favorable wettability alteration compared to K+. One-way analysis of variance confirmed that salt type is the main factor affecting recovery rate (p < 0.05). Notably, 0.2% CTAB+50,000 mg/L NaCl combination achieved the highest recovery rate owing to an optimal balance between interfacial adsorption, film viscoelasticity, and wettability alteration. This investigation elucidates the mechanisms driving surfactant–salt synergism and proposes an optimized surfactant and salt formulation to enhance oil recovery through tailored interfacial properties. Full article
(This article belongs to the Topic Advanced Technology for Oil and Nature Gas Exploration)
24 pages, 3892 KB  
Article
Effect of Non-Newtonian Lubricant Rheology on the Performance of a Grooved Rubber Hydrodynamic Journal Bearing
by Mahdi Zare Mehrjardi, Ahmad Golzar Shahri, Asghar Dashti Rahmatabadi and Mehrdad Rabani
Lubricants 2026, 14(5), 203; https://doi.org/10.3390/lubricants14050203 - 15 May 2026
Abstract
The present study provides a comprehensive investigation into the hydrodynamic performance of grooved rubber journal bearings (GRJBs) employed as shaft supports in various rotating systems, with particular emphasis on marine applications. These bearings are lubricated with non-Newtonian fluids such as modern oil containing [...] Read more.
The present study provides a comprehensive investigation into the hydrodynamic performance of grooved rubber journal bearings (GRJBs) employed as shaft supports in various rotating systems, with particular emphasis on marine applications. These bearings are lubricated with non-Newtonian fluids such as modern oil containing additives and viscoelastic water-based lubricant, which—owing to its complex composition including hydrocarbon chains, metal oxides, and impurity particles and contaminants such as salts, organic substances, microalgae, biopolymers, and microorganisms—deviates from the ideal Newtonian fluid model and demonstrates non-Newtonian rheological behavior. By examining various theories used in the analysis of non-Newtonian fluid behavior, the power-law model, which has a high degree of generality, has been employed in the present study. Also, to improve modeling accuracy, the elastic deformation of the rubber bush in this study is characterized using the Winkler foundation approach and analyzed via the finite element method (FEM). This advanced mechanical formulation, integrated with non-Newtonian lubrication modeling of lubricant using the power-law fluid model, and the parametric assessment of groove number and dimensions on steady-state bearing performance parameters, constitutes the core of this research. The investigation focuses on groove configurations of 4, 6, 8, and 10 channels. The findings indicate that increasing the groove count partitions the convergent pressure film zone into discrete segments, thereby reducing the maximum hydrodynamic pressure while intensifying the overall energy dissipation within the bearing. Additionally, the influences of rheological properties of the fluid—namely the power-law index (n) and the consistency index (m)—on key performance characteristics are thoroughly examined. An increase in both parameters enhances the effective viscosity and load carrying capacity; however, the exponential amplification due to the power-law index exhibits a more pronounced effect on load capacity and peak pressure compared to the consistency index. Full article
Show Figures

Figure 1

31 pages, 1831 KB  
Review
Hydrogen Transport, Viscoelastic Drift, and Multiscale Characterization Framework for Elastomeric Seals Under High-Pressure Hydrogen
by Nitesh Subedi, Md Monjur Hossain Bhuiyan, Alfredo Becerril Corral, Omkar Gautam, Md Ariful Islam and Zahed Siddique
Polymers 2026, 18(10), 1198; https://doi.org/10.3390/polym18101198 - 14 May 2026
Abstract
High-pressure hydrogen exposure may induce transport and diffusion–relaxation–controlled changes in elastomeric sealing materials that differ from conventional fluid aging. Hydrogen uptake through solution–diffusion processes can lead to swelling, redistribution of molecular mobility, viscoelastic evolution, and, under certain conditions, cavitation or microvoid formation during [...] Read more.
High-pressure hydrogen exposure may induce transport and diffusion–relaxation–controlled changes in elastomeric sealing materials that differ from conventional fluid aging. Hydrogen uptake through solution–diffusion processes can lead to swelling, redistribution of molecular mobility, viscoelastic evolution, and, under certain conditions, cavitation or microvoid formation during decompression, which may affect long-term sealing performance. This review compiles experimental results for commonly used elastomers, including Nitrile Butadiene Rubber (NBR), hydrogenated nitrile butadiene rubber (HNBR), Fluoroelastomer (FKM), Ethylene Propylene Diene Monomer (EPDM), and silicone, and summarizes reported ranges of hydrogen diffusivity, solubility, and permeability under high-pressure conditions. These transport characteristics are compared with mechanical and microstructural observations obtained from Dynamic Mechanical Analysis (DMA), Nuclear Magnetic Resonance (NMR), decompression testing, and micro-computed tomography (µXCT) imaging. Available evidence suggests that hydrogen-induced changes are predominantly governed by physical processes, including swelling, plasticization-like mobility changes, and constraint redistribution, while extensive chemical degradation of the polymer backbone is generally limited under clean hydrogen conditions. Materials with similar conventional mechanical properties may, therefore, exhibit different hydrogen uptake, viscoelastic response, and resistance to decompression damage. Conventional single-point mechanical tests, such as tensile measurements, may not fully capture the time-dependent viscoelastic evolution relevant to sealing performance. This work proposes a multiscale characterization framework integrating transport, viscoelastic, molecular, and microstructural analysis for more reliable evaluation of elastomers in hydrogen service, supporting improved qualification strategies for high-pressure hydrogen systems. Full article
(This article belongs to the Section Polymer Applications)
Show Figures

Figure 1

18 pages, 8526 KB  
Article
Development and Characterization of Epoxy/Titanium Carbonitride (TiCN) Nanocomposites: Structural, Thermomechanical, and Dielectric Properties
by Nikolaos Ploumis, Georgios N. Mathioudakis, Anastasios C. Patsidis and Georgios C. Psarras
J. Compos. Sci. 2026, 10(5), 265; https://doi.org/10.3390/jcs10050265 - 14 May 2026
Abstract
Nanocomposites consisting of titanium carbonitride nanoparticles (TiCN) and epoxy resin were fabricated and studied as the filler content was varied. Nanocomposites’ structural investigation was conducted via X-ray Diffraction technique (XRD), while their morphology was examined by employing Scanning Electron Microscopy (SEM). Viscoelastic mechanical [...] Read more.
Nanocomposites consisting of titanium carbonitride nanoparticles (TiCN) and epoxy resin were fabricated and studied as the filler content was varied. Nanocomposites’ structural investigation was conducted via X-ray Diffraction technique (XRD), while their morphology was examined by employing Scanning Electron Microscopy (SEM). Viscoelastic mechanical properties were assessed by Dynamic Mechanical Thermal Analysis (DMTA). Results revealed the reinforcing ability of TiCN nanoparticles. The dielectric characterization of the nanocomposites was carried out using Broadband Dielectric Spectroscopy (BDS) over a wide frequency and temperature range. Dielectric spectroscopy revealed two relaxation processes related to the polymer matrix: the α-relaxation, associated with the glass-to-rubber transition, and the β-relaxation, associated with the rearrangement of side polar groups. In addition, in the low-frequency–high-temperature region, interfacial polarization (IP) was observed. IP is related to the presence of nanoparticles and to the accumulation of unbound charges at the system’s interface and includes contributions from a dipolar process and charge migration (conductivity). Alternating current conductivity generally increases with filler content, though it is also affected by frequency and temperature. Conductivity could influence Electrode Polarization (EP), which often masks the dipolar process of IP. A simple method for removing the EP effect is formulated and tested. Full article
(This article belongs to the Section Nanocomposites)
Show Figures

Figure 1

26 pages, 6554 KB  
Article
Experimental Investigation on Thermo-Mechanical, Visco-Elastic, and Acoustic Properties of Hibiscus rosa-sinensis Plant Fiber-Reinforced Polymer Composites
by M. Ramesh, M. Tamil Selvan, L. Rajeshkumar and P. Ramya
Polymers 2026, 18(10), 1189; https://doi.org/10.3390/polym18101189 - 13 May 2026
Viewed by 88
Abstract
Our investigation into Hibiscus rosa-sinensis fibers (HRFs) for composite applications involved a multi-step process, primarily fiber extraction through water retting and subsequent surface modification by using sodium hydroxide (NaOH) and trimethoxy methyl silane (TMMS). Through the compression molding technique, untreated HRF-reinforced poly-lactic acid [...] Read more.
Our investigation into Hibiscus rosa-sinensis fibers (HRFs) for composite applications involved a multi-step process, primarily fiber extraction through water retting and subsequent surface modification by using sodium hydroxide (NaOH) and trimethoxy methyl silane (TMMS). Through the compression molding technique, untreated HRF-reinforced poly-lactic acid (PLA) composites (UHRFCs), NaOH-treated HRF-reinforced PLA composites (NHRFCs), and TMMS-treated HRF-reinforced PLA composites (THRFCs) were fabricated. The experiments were conducted, and the findings revealed a substantial increase in properties of both NHRFCs and THRFCs compared to UHRFCs. Notably, these enhancements encompassed tensile strength (13.66% and 19.39%), tensile modulus (13.41% and 20.70%), flexural strength (15.98% and 23.17%), flexural modulus (17.13% and 26.58%), impact strength (15.62% and 33.07%), Shore-D hardness (4.19% and 5.00%), storage modulus (9.88% and 13.07%), loss modulus (7.52% and 17.36%), dielectric constant at 6.5 Hz (13.22% and 23.96%), and significant improvements in the acoustic resonance frequency at 1897 Hz (79.50% and 81%). Peak thermal degradation temperatures of these composites are 420.62 ± 3.43 °C, 439.51 ± 3.54 °C, and 469.07 ± 3.11 °C, respectively, and biodegradability results showing accelerated degradation within 30 days. These findings highlight the substantial effectiveness of treatments in enhancing diverse properties, underscoring the potential applicability of these composites in various industrial sectors requiring superior performance and sustainable materials. Full article
(This article belongs to the Special Issue Fiber-Reinforced Polymer Composites: Progress and Prospects)
Show Figures

Figure 1

12 pages, 3830 KB  
Article
Lifetime of a Single Bubble at Different Liquid Surfaces
by Hao Li, Yingjie Fei and Huai Z. Li
Liquids 2026, 6(2), 19; https://doi.org/10.3390/liquids6020019 - 13 May 2026
Viewed by 67
Abstract
Bubble bursting at liquid surfaces was investigated experimentally using high-speed imaging at 25,000 fps and micro-particle image velocimetry (µ-PIV) at up to 4000 flow fields per second. Three fluids with distinct rheological properties were studied: a viscous Newtonian fluid (Emkarox, η0 = [...] Read more.
Bubble bursting at liquid surfaces was investigated experimentally using high-speed imaging at 25,000 fps and micro-particle image velocimetry (µ-PIV) at up to 4000 flow fields per second. Three fluids with distinct rheological properties were studied: a viscous Newtonian fluid (Emkarox, η0 = 0.072 Pa·s) and two non-Newtonian fluids (highly viscous Carboxymethyl Cellulose, HV CMC, η0 = 0.53 Pa·s, and viscoelastic Polyacrylamide, PAAm, η0 = 57.17 Pa·s). Bubble radii ranged from 1.2 to 4.0 mm, with corresponding lifetimes spanning from O(10−2) to O(101) s depending on fluid properties. The relationship between bubble size and lifetime at the air–liquid interface was quantified for the non-Newtonian fluids, using the Newtonian fluid as a reference. µ-PIV measurements further captured the rapid dynamics of bubble bursting beneath the interface in the liquids. These findings provide new insight into the complex interfacial mechanisms governing bubble rupture and fluid motion. Full article
(This article belongs to the Section Physics of Liquids)
Show Figures

Graphical abstract

22 pages, 7511 KB  
Article
Hyaluronic Acid Improves Stability in Ovalbumin-Tea Polyphenol Pickering Particle-Stabilized Gel-like HIPEs via Interfacial Reinforcement
by Jingchun Ma, Shenghui Bi, Xue Yang, E Zhao, Ying Zhou, Chun Ye, Yuanyuan Liu and Qiujin Zhu
Gels 2026, 12(5), 425; https://doi.org/10.3390/gels12050425 - 13 May 2026
Viewed by 96
Abstract
Protein-stabilized high-internal-phase Pickering gel-like emulsions (HIPGEs) have gained broad attention in the food industry and functional food sectors. Polyphenol–protein synergy is a common strategy to improve gel-like emulsion stability, yet issues such as insufficient interfacial viscosity persist, leading to poor long-term stability. Therefore, [...] Read more.
Protein-stabilized high-internal-phase Pickering gel-like emulsions (HIPGEs) have gained broad attention in the food industry and functional food sectors. Polyphenol–protein synergy is a common strategy to improve gel-like emulsion stability, yet issues such as insufficient interfacial viscosity persist, leading to poor long-term stability. Therefore, this study employed ovalbumin (OVA)-tea polyphenol (TP) as a composite model and introduced strongly negatively charged hyaluronic acid (HA) to construct a ternary Pickering gel-like emulsion with enhanced interfacial viscosity. We investigated the microstructure, physicochemical properties, stability mechanism, and simulated digestion behavior of the system. Results show that HA interacts with proteins and polyphenols via hydrogen bonding, strengthening the hydrogen-bond network and markedly improving gel-like emulsion stability. Moreover, HA stabilizes the oil–water interface by enhancing the viscoelasticity of the system. At 0.8% HA, centrifugal stability reached 99.52%, rheological properties were optimal, and droplets were more uniform and tightly packed. In vitro digestion revealed that 0.8% HA increased the final retention of lutein to 35.16% and reduced free fatty acid release to 0.31 μmol, demonstrating excellent protective and controlled-release potential. This study confirms that HA can significantly improve the stability and digestively controlled release of OVA-TP Pickering gel-like emulsions, providing theoretical support for polysaccharides in enhancing protein–polyphenol composite Pickering systems. Full article
(This article belongs to the Special Issue Development of Gels and Gelatin in Food Products)
Show Figures

Figure 1

23 pages, 3872 KB  
Article
Comparison of the Structure and Properties of Hydroxypropyl Starch/Carrageenan Blends with Different Amylose/Amylopectin Contents
by Xingxing Zhu, Di Wu, Juanjuan Wu, Jinglong Zhao, Yunhe Lian and Yunkai Lv
Gels 2026, 12(5), 423; https://doi.org/10.3390/gels12050423 - 12 May 2026
Viewed by 174
Abstract
To compare the structure and properties of hydroxypropyl starch/carrageenan blends with different amylose/amylopectin contents, two types of hydroxypropyl starch—a high-amylose type (amylose content > 70%) and a high-amylopectin type (amylopectin content > 95%)—were used. These starches had similar molecular weights, degrees of hydroxypropyl [...] Read more.
To compare the structure and properties of hydroxypropyl starch/carrageenan blends with different amylose/amylopectin contents, two types of hydroxypropyl starch—a high-amylose type (amylose content > 70%) and a high-amylopectin type (amylopectin content > 95%)—were used. These starches had similar molecular weights, degrees of hydroxypropyl substitution, and other properties, differing only in their amylose and amylopectin contents. Each starch was blended with carrageenan via a solution blending method, and the resulting blends were systematically characterized by Fourier transform infrared spectroscopy (FTIR), X-ray diffraction (XRD), thermogravimetric analysis, rheological tests, texture analysis, mechanical property tests, contact angle analysis, and UV-Vis spectrophotometry. The results showed that, upon blending with carrageenan, the hydroxypropyl starch transformed from a weak viscoelastic solution into an elastic, strong gel. FTIR and XRD analyses confirmed that the hydroxypropyl starch and carrageenan formed a homogeneous, compact, three-dimensional network via hydrogen bonding. This significantly enhanced the mechanical strength and stability of the blends. The influence of starch molecular structure on the blend system’s properties exhibited a pronounced state dependence. In the gel state, hydroxypropyl amylopectin effectively filled the carrageenan network due to its high swelling capacity, thereby improving the thermal stability and textural properties of the blends. However, in the film state, hydroxypropyl amylose with higher crystallinity and denser molecular packing contributed to superior tensile strength, hydrophobicity and light transmittance. Furthermore, the optimal mass ratio of hydroxypropyl starch to carrageenan was found to be in the range of 2:1 to 4:1. With this ratio, excessive cross-linking and poor compatibility could be avoided, resulting in improved mechanical performance, hydrophobicity, and light transmittance. This study reveals the relationship between starch molecular structure, system state and macroscopic properties, providing a theoretical basis for the rational design and regulation of the properties of hydroxypropyl starch/carrageenan blends. Full article
(This article belongs to the Section Gel Analysis and Characterization)
Show Figures

Figure 1

30 pages, 3625 KB  
Article
Quality and Processing Behavior of Egg White and Yolk from Commercial Free-Range and Barn-Laid Eggs: Physical, Compositional and Rheological Assessment in Raw and Heat-Treated (Grilled) States
by María Dolores Álvarez, Victor G. Almendro-Vedia and Beatriz Herranz
Foods 2026, 15(10), 1682; https://doi.org/10.3390/foods15101682 - 12 May 2026
Viewed by 189
Abstract
This study evaluated how two commercial egg types (free-range and barn-laid) influence the physical, compositional, and rheological properties of egg white and yolk in raw and grilled states. Free-range eggs showed stronger correlations between external dimensions and internal composition, suggesting potential for nondestructive [...] Read more.
This study evaluated how two commercial egg types (free-range and barn-laid) influence the physical, compositional, and rheological properties of egg white and yolk in raw and grilled states. Free-range eggs showed stronger correlations between external dimensions and internal composition, suggesting potential for nondestructive grading, whereas barn eggs exhibited heavier shells but weaker morphometric–composition relationships. Haugh units differentiated production systems, and yolk redness was the only color parameter clearly associated with free-range origin. Mechanical tests revealed that barn eggs had shells capable of absorbing more energy during rupture. Rheological measurements showed matrix-dependent behaviors: in raw samples, egg white behaved as a weakly structured viscoelastic fluid, while yolk exhibited characteristics of a concentrated lipoprotein emulsion. Stress, frequency, and temperature sweeps revealed contrasting behaviors between the two commercial egg types: barn-laid eggs displayed a stronger egg-white protein network, whereas free-range eggs showed a more reinforced yolk lipoprotein matrix under the conditions evaluated. Yolk behavior fitted the weak gel model with excellent accuracy (R2 ≈ 1), while egg white did not. Steady shear and three-step tests confirmed pronounced shear thinning and thixotropic behavior in both matrices, with barn eggs showing higher viscosities but lower structural recovery. Thermal treatment reduced the strong rheological differences between raw egg white and yolk, yet production system effects persisted. All grilled samples behaved as weak gels, with barn egg whites forming stiffer networks and free-range yolks generating more elastic, cohesive, and energy-absorbing gels. A trend toward higher MUFA levels was observed in raw free-range yolks. Microscopy further clarified how production system shapes the structural and functional behavior of egg matrices. Full article
(This article belongs to the Special Issue Quality of Eggs, Poultry Meat and Egg Products)
Show Figures

Figure 1

29 pages, 2044 KB  
Review
Vaccine Adjuvants and Delivery Systems: A Comprehensive Review
by Alexis Hipólito García and Juan Bautista De Sanctis
Int. J. Mol. Sci. 2026, 27(10), 4271; https://doi.org/10.3390/ijms27104271 - 11 May 2026
Viewed by 137
Abstract
Adjuvants play a crucial role in increasing vaccination efficacy. While aluminum salts have historically been the most common adjuvants, recent research has turned to new compounds with enhanced adjuvant properties and improved safety. Cutting-edge nanotechnology, leveraging nanoformulations and novel delivery systems, has enhanced [...] Read more.
Adjuvants play a crucial role in increasing vaccination efficacy. While aluminum salts have historically been the most common adjuvants, recent research has turned to new compounds with enhanced adjuvant properties and improved safety. Cutting-edge nanotechnology, leveraging nanoformulations and novel delivery systems, has enhanced efficacy while reducing adverse effects. Microparticles, emulsions, and immunostimulants are now essential tools due to their significant potential for vaccine production. Additionally, advanced drug delivery systems (DDSs) have been developed using sophisticated technologies to expedite and optimize drug and vaccine delivery to specific target sites, thereby maximizing therapeutic efficacy and minimizing systemic accumulation. The latest DDSs offer numerous advantages over conventional drug delivery systems, including heightened performance, precision, and efficiency. These DDSs, comprising nanomaterials or miniaturized devices, feature multifunctional components that are biocompatible and biodegradable, with high viscoelasticity, thereby extending their circulating half-life. This review aims to provide an in-depth and up-to-date overview of adjuvants and technological advancements in vaccine delivery systems. Full article
16 pages, 1542 KB  
Review
From Axonal Growth to Neurodegeneration: The Dual Role of Neurofilament Dynamics in Health and Disease
by Yikang An, Hongying Lan, Jialong Xiong, Ruoyan Jing, Dongjin Gu, Haoyang Zhang, Xinping Liu, Qi Zhao and Feng Wang
NeuroSci 2026, 7(3), 58; https://doi.org/10.3390/neurosci7030058 (registering DOI) - 9 May 2026
Viewed by 245
Abstract
Neurofilaments (NFs) are the predominant type IV intermediate filaments in differentiated neurons, functioning not just as static scaffolds, but as active drivers of radial axonal growth and nerve conduction velocity. While their physical properties are well characterized, a critical gap remains in synthesizing [...] Read more.
Neurofilaments (NFs) are the predominant type IV intermediate filaments in differentiated neurons, functioning not just as static scaffolds, but as active drivers of radial axonal growth and nerve conduction velocity. While their physical properties are well characterized, a critical gap remains in synthesizing how their dynamic assembly and developmental subunit switching directly dictate neurodegenerative outcomes. This review breaks down the molecular architecture and stepwise kinetic assembly of NFs, detailing their role in polarized transport and the formation of a protective viscoelastic gel network within axons. We specifically highlight the physiological expression switching of early subunits, such as alpha-internexin and peripherin, during neuronal maturation, a process often overlooked in traditional structural reviews. By examining how specific gene mutations and aberrant hyperphosphorylation trigger axonal transport jams and protein aggregation, we map the direct pathways leading to amyotrophic lateral sclerosis (ALS) and Charcot–Marie–Tooth (CMT) disease. Finally, we emphasize that a precise mechanistic decoding of NF structural dynamics and their pathological disruption is essential for understanding the fundamental etiology of these neurodegenerative conditions. Full article
Show Figures

Figure 1

31 pages, 65897 KB  
Review
Tuning Photonic and Acoustic Jets Using Composite and Layered Scatterers
by Nikolay Mukhin
J. Compos. Sci. 2026, 10(5), 254; https://doi.org/10.3390/jcs10050254 - 8 May 2026
Viewed by 582
Abstract
Photonic and acoustic jets are subwavelength wave localization phenomena formed in the near field of dielectric or elastic scatterers, enabling spatial resolution beyond classical diffraction limits and motivating applications in sensing, imaging, and wave–matter interaction control. This review places photonic and acoustic jets [...] Read more.
Photonic and acoustic jets are subwavelength wave localization phenomena formed in the near field of dielectric or elastic scatterers, enabling spatial resolution beyond classical diffraction limits and motivating applications in sensing, imaging, and wave–matter interaction control. This review places photonic and acoustic jets in a unified wave-physics framework and focuses on how composite and layered elements can be used to tune their properties. In photonic systems, refractive index contrast, layer thickness, and optical losses play key roles, while in acoustic systems, acoustic impedance mismatch, dispersion, and viscoelastic damping are critical. Models and numerical approaches, and experimental realizations in both optical and acoustic regimes, are reviewed and summarized to describe jet formation and to analyze the influence of material parameters and geometry. The main findings show that layered and composite scatterers, such as core–shell particles, multilayer spheres and cylinders, and graded-parameter metamaterials, provide additional degrees of freedom for controlling jet intensity, length, focal position, and directionality compared to homogeneous elements. Composite jet-forming elements offer a versatile platform for advanced wave localization and hold promise for metastructures, high-resolution sensing, integration into photonic and acoustic devices, and lab-on-chip technologies. Full article
Show Figures

Figure 1

23 pages, 3832 KB  
Article
Calibration of a 3D-FE Model with Non-Contact Laser Doppler Vibrometer (LDV) Measurements of Pavement Deflection Velocity Under Accelerated Pavement Testing
by Ernesto Urbaez, Gerardo Flintsch, Bilin Tong, Samer Katicha and Brian Diefenderfer
Appl. Sci. 2026, 16(10), 4611; https://doi.org/10.3390/app16104611 - 7 May 2026
Viewed by 375
Abstract
This research utilizes Laser Doppler Vibrometer (LDV) technology to measure pavement deflection velocity under heavy moving loads at the Virginia DOT Accelerated Pavement Testing (VDOT APT) facility. While LDVs are typically integrated into Traffic Speed Deflectometers (TSDs) for measuring deflection velocities, this research [...] Read more.
This research utilizes Laser Doppler Vibrometer (LDV) technology to measure pavement deflection velocity under heavy moving loads at the Virginia DOT Accelerated Pavement Testing (VDOT APT) facility. While LDVs are typically integrated into Traffic Speed Deflectometers (TSDs) for measuring deflection velocities, this research employs a standalone, tripod-mounted LDV to capture highly repeatable data under controlled Heavy Vehicle Simulator (HVS) loading. A three-dimensional viscoelastic finite element (3D-FE) model was developed in Abaqus (version 2016) and calibrated using the LDV-measured deflection velocities and site-specific material properties. The model incorporates asphalt viscoelasticity, three-dimensional nonlinear contact stresses, and continuous loading conditions. Results demonstrate very good agreement between the calibrated 3D-FE model and observed responses, with calculated percentage differences of 0.6% and 3.4% for the maximum and minimum deflection velocity peaks, respectively. These findings, along with a 10% ratio between the standard deviation of the error and the measured signal, validate the model’s accuracy and the effectiveness of LDV instrumentation. This stand-alone application of a TSD-type LDV at an APT facility, to directly measure pavement deflection velocity under a moving load to calibrate a 3D-FE model, represents a key innovative aspect and addresses an identified gap in the literature on LDV-based pavement evaluation techniques. It should be noted that the proposed framework is calibrated for a single pavement structure under controlled loading and environmental conditions, and is applicable to the initial, undamaged state of the pavement. Further validation across different material configurations, environmental gradients, and damage stages is required to generalize the approach. Full article
(This article belongs to the Section Transportation and Future Mobility)
Show Figures

Figure 1

23 pages, 7407 KB  
Article
Technological Properties and Quality Characteristics of Non-Gluten Biscuits Based on Sorghum Flour and Enriched with Sesame and Moringa
by Edwige Bahanla Oboulbiga, Fidèle Wend-bénédo Tapsoba, Ancuţa Petraru, Florin Ursachi, Charles Parkouda and Georgiana Gabriela Codină
Foods 2026, 15(9), 1593; https://doi.org/10.3390/foods15091593 - 4 May 2026
Viewed by 359
Abstract
The development of gluten-free biscuits with high nutritional value presents a challenge for the food industry. This study evaluated the dough behavior and quality characteristics of gluten-free biscuits obtained using the raw materials sorghum flour, sesame paste, and Moringa oleifera leaf powder. Ten [...] Read more.
The development of gluten-free biscuits with high nutritional value presents a challenge for the food industry. This study evaluated the dough behavior and quality characteristics of gluten-free biscuits obtained using the raw materials sorghum flour, sesame paste, and Moringa oleifera leaf powder. Ten formulations were developed, including a control sample without moringa, using a mixture design that generated different combinations between sorghum flour, sesame paste, and powdered moringa. Moringa-enriched biscuits showed significant nutritional improvements, with protein increasing by 40% (12.07–16.93%), fiber by 92% (2.78–5.34%), polyphenols more than twofold (52.88–120.66 mg GAE/100 g), and flavonoids more than threefold (110.44–335.30 mg QE/100 20 g). Technological properties such as rheology, texture, color, and water activity varied with formulation. Moringa addition darkened biscuits (L* 35.61–49.74) and increased hardness by 62% (20.53–33.19 N). All doughs exhibited dominant viscoelastic behavior (G′ > G″), with higher sorghum levels leading to increased viscoelasticity. FTIR analysis confirmed characteristic functional groups of carbohydrates, lipids, and proteins across samples. Sensory evaluation indicated good overall acceptance, with a preference for the control sample and the sorghum-rich formulation (F4), which contained the lowest amounts of sesame paste and powdered moringa. Overall, Moringa oleifera enhances both nutritional and technological properties of gluten-free biscuits; therefore, it can contribute to the development of functional products from local resources. Full article
Show Figures

Figure 1

27 pages, 6364 KB  
Article
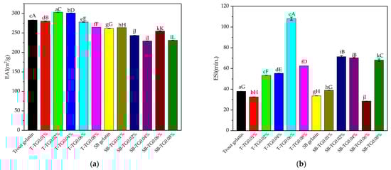
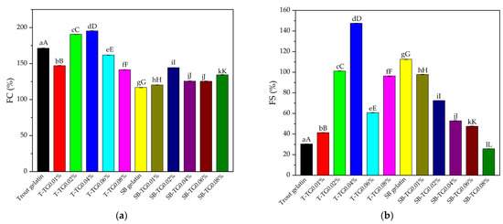
Sonication–Freezing–Assisted Extraction of Chia Seed Mucilage: Functional and Structure–Rheology Relationships and Molecular Weight Determination
by Monserrat Sanpedro-Díaz, Esteban F. Medina-Bañuelos, Ma. de la Paz Salgado-Cruz, Benjamín M. Marín-Santibáñez, Alitzel Belem García-Hernández, Ana Luisa Gómez-Gómez and Diana Maylet Hernández-Martínez
Gels 2026, 12(5), 394; https://doi.org/10.3390/gels12050394 - 2 May 2026
Viewed by 254
Abstract
Chia seed mucilage (CSM) is a promising plant-derived hydrocolloid characterized by unique physicochemical and functional properties that are strongly influenced by the extraction methodology. In this research, an optimized sonication–freezing-assisted extraction (SFAE) process was developed to obtain mucilage while preserving its structural integrity. [...] Read more.
Chia seed mucilage (CSM) is a promising plant-derived hydrocolloid characterized by unique physicochemical and functional properties that are strongly influenced by the extraction methodology. In this research, an optimized sonication–freezing-assisted extraction (SFAE) process was developed to obtain mucilage while preserving its structural integrity. Results indicate that the extracted mucilage has a high total dietary fiber content of 75.87% and a moderate protein level of 8.71%. Fourier transform infrared spectroscopy (FTIR) confirmed the presence of hydroxyl and ionized carboxylate (COO) groups associated with uronic acids, highlighting the anionic and polyelectrolyte nature of the system. Rheological characterization of optimized-CSM revealed Newtonian behavior in dilute solutions, indicating minimal intermolecular interactions and permitting accurate measurement of intrinsic viscosity and viscosity-average molecular weight. A critical overlap concentration (c** ≈ 0.2% w/v) was identified, marking the transition to semi-dilute regimes, chain entanglement, and the onset of shear-thinning and viscoplastic behavior. Functionally, the optimized-CSM exhibited high water holding capacity and competitive emulsifying properties (emulsion activity index (EAI): 62.50%; emulsion stability index (ESI): 49.32%), attributed to synergistic interactions between proteins and polysaccharides. Overall, this work provides new insights into how processing conditions influence the chemical composition and molecular structure, which fundamentally govern the rheological and functional performance of CSM. These findings underscore its potential as a versatile hydrocolloid for food and biomedical applications. Full article
(This article belongs to the Special Issue Food Gels: Structure and Properties (3rd Edition))
Back to TopTop