Sign in to use this feature.

Years

Between: -

Subjects

remove_circle_outline
remove_circle_outline
remove_circle_outline
remove_circle_outline
remove_circle_outline
remove_circle_outline
remove_circle_outline
remove_circle_outline
remove_circle_outline

Journals

remove_circle_outline
remove_circle_outline
remove_circle_outline
remove_circle_outline
remove_circle_outline
remove_circle_outline
remove_circle_outline
remove_circle_outline
remove_circle_outline

Article Types

Countries / Regions

remove_circle_outline
remove_circle_outline
remove_circle_outline
remove_circle_outline

Search Results (542)

Search Parameters:
Keywords = viscoelastic flows

Order results
Result details
Results per page
Select all
Export citation of selected articles as:
29 pages, 2724 KB  
Article
Volumetric Control vs. Pneumatic Pressure: A Comparative Analysis of Extrusion in 3D Bioprinting
by Doru-Daniel Cristea, Eduard Liciu, Andreea Trifan and Corneliu Bălan
Micromachines 2026, 17(5), 521; https://doi.org/10.3390/mi17050521 (registering DOI) - 24 Apr 2026
Abstract
Extrusion-based bioprinting faces significant challenges in achieving the shape fidelity and internal porosity necessary for cell viability, often hindered by subjective assessment methods. This study investigated the relationship between rheological properties and print quality using a natural polymer biomaterial ink composed of 12% [...] Read more.
Extrusion-based bioprinting faces significant challenges in achieving the shape fidelity and internal porosity necessary for cell viability, often hindered by subjective assessment methods. This study investigated the relationship between rheological properties and print quality using a natural polymer biomaterial ink composed of 12% gelatin, 5% alginate, and 1% carboxymethylcellulose. We conducted a comparative analysis between traditional pneumatic systems and screw-driven volumetric extrusion, utilizing a suite of quantitative metrics: Spreading Ratio (SR), Printability Index (Pr), Uniformity Ratio (UF), Collapse Angle (θ), and evaluated porosity. Our results demonstrate that the screw-driven system’s positive displacement mechanism provides superior control over filament morphology by enabling precise volumetric modulation. While the pneumatic system exhibited a high SR of 1.82 and the lowest porosity at 59.92%, the screw-driven system allowed for “under-extrusion” to compensate for viscoelastic die swell. Reducing the flow rate to 50% in the screw system lowered the SR to 1.09, nearly matching the nozzle diameter, and increased porosity to 76.46%. Furthermore, the screw-driven system achieved an ideal Pr of 1.0, whereas the pneumatic system produced distorted, rounded pores with a Pr of 1.57. The findings indicate that screw-driven extruders can decouple line complex rheology from the printing process, allowing for finer spatial resolution and better pore interconnectivity. Full article
22 pages, 5365 KB  
Article
Design, Performance and Mechanisms of Asphalt Modified with Polyurethane and Hydroxylated Crumb Rubber
by Jun Xie, Junpeng Lin, Shaopeng Wu, Quantao Liu, Chao Li, Shibo Zhang, Huan Wang, Fusong Wang and Zoujun Wan
Materials 2026, 19(8), 1654; https://doi.org/10.3390/ma19081654 - 21 Apr 2026
Viewed by 197
Abstract
Under long-term heavy load and complex service environments, polyurethane-modified asphalt (PUMA) struggles to simultaneously satisfy the requirements of rutting and cracking resistance of asphalt pavements, as cyclic stress loading reduces the elastic recovery and low-temperature toughness of polyurethane (PU). To address this issue, [...] Read more.
Under long-term heavy load and complex service environments, polyurethane-modified asphalt (PUMA) struggles to simultaneously satisfy the requirements of rutting and cracking resistance of asphalt pavements, as cyclic stress loading reduces the elastic recovery and low-temperature toughness of polyurethane (PU). To address this issue, this study employed hydroxylated crumb rubber (HCR), which is obtained by activating the surface of crumb rubber (CR) and can chemically crosslink with PU in asphalt to form a crosslinked network structure. The aim was to enhance the rutting and cracking resistance of PUMA by utilizing the elasticity and low-temperature toughness of CR. An orthogonal design was employed to systematically design a modified asphalt formulation with PU and HCR (PU/HCRMA) by controlling the isocyanate index and the contents of PU and HCR. The basic properties, rheological properties, and viscoelastic properties of PU/HCRMA were systematically investigated. The results demonstrate that the rutting and cracking resistance of PU/HCRMA are substantially enhanced, with an improvement of 28.91% in the rutting factor at 64 °C compared to PUMA and a reduction of 49.93 MPa in the stiffness modulus at −24 °C. Simultaneously, incorporating HCR in PUMA enhances its viscosity and flow resistance while reducing temperature susceptibility. Furthermore, by providing load-bearing sites, HCR endows PU/HCRMA with exceptional elastic recovery and deformation resistance. Results from FTIR and FM confirm the reaction between isocyanate groups in the PU prepolymer and the hydroxyl groups on the surface of HCR and the formation of HCR-PU crosslinked networks. Finally, PU/HCRMA asphalt mixtures demonstrate significant improvements in both rutting and cracking resistance. This research outcome provides a new direction for the development of high-performance road asphalt materials. Full article
Show Figures

Figure 1

23 pages, 9355 KB  
Article
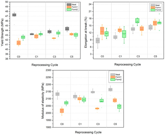
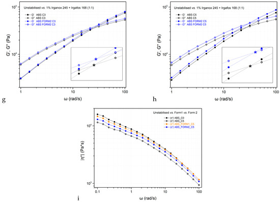
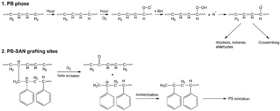
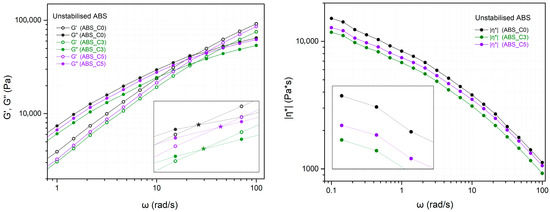
Enhancing Stability of Reprocessed Acrylonitrile–Butadiene–Styrene (ABS) Polymers from Sorted WEEE Streams for Filament Extrusion
by Christina Podara, Christos Panagiotopoulos, Dionysia Kouranou, Christos Tsirogiannis, Melpo Karamitrou, Tatjana Kosanovic Milickovic, Stamatina Vouyiouka and Costas Charitidis
Polymers 2026, 18(8), 971; https://doi.org/10.3390/polym18080971 - 16 Apr 2026
Viewed by 218
Abstract
The mechanical recycling of styrenic polymers from waste electrical and electronic equipment (WEEE) is often limited by thermomechanical degradation occurring during repeated processing. In this work, the degradation behaviour of acrylonitrile–butadiene–styrene (ABS) recovered from sorted WEEE streams was systematically investigated through multiple extrusion [...] Read more.
The mechanical recycling of styrenic polymers from waste electrical and electronic equipment (WEEE) is often limited by thermomechanical degradation occurring during repeated processing. In this work, the degradation behaviour of acrylonitrile–butadiene–styrene (ABS) recovered from sorted WEEE streams was systematically investigated through multiple extrusion cycles, and the effectiveness of antioxidant stabilization was evaluated. Progressive degradation was assessed by chemical structure, rheological, thermal and mechanical testing, and colorimetric analysis. Repeated processing resulted in increased melt flow, altered viscoelastic behaviour, molecular weight reduction, deterioration of mechanical properties, and discoloration. To mitigate these effects, antioxidant-stabilized compounds were prepared and subjected to identical reprocessing pathways. The addition of antioxidants effectively reduced chain scission, stabilized rheological properties, and limited colour changes during reprocessing. Furthermore, the processability of the optimized recycled ABS is demonstrated through filament extrusion for fused filament fabrication, highlighting its potential for high-value additive manufacturing applications. These results demonstrate that appropriate stabilization strategies can significantly enhance the process stability and recyclability of styrenic polymers from WEEE streams, supporting their use in higher-value applications within a circular economy framework. Full article
(This article belongs to the Special Issue Additive Manufacturing of Polymer Based Materials)
Show Figures

Figure 1

23 pages, 2789 KB  
Article
Formulation and Characterization of Edible Bigel Inks for Structuring Fat Alternatives in 3D-Printed Foods
by Konstantina Zampouni, Theocharis Salamandrakis, Triantafyllia Biza, Thomas Moschakis and Eugenios Katsanidis
Gels 2026, 12(3), 254; https://doi.org/10.3390/gels12030254 - 18 Mar 2026
Cited by 1 | Viewed by 403
Abstract
Bigels (BGs) are promising biphasic systems for extrusion-based 3D food printing inks. In this study, BG inks were formulated by combining a 6% beeswax—4% monoglycerides oleogel (OG) with a 4% gelatin—1% guar gum hydrogel (HG). The BGs were formulated at OG:HG ratios of [...] Read more.
Bigels (BGs) are promising biphasic systems for extrusion-based 3D food printing inks. In this study, BG inks were formulated by combining a 6% beeswax—4% monoglycerides oleogel (OG) with a 4% gelatin—1% guar gum hydrogel (HG). The BGs were formulated at OG:HG ratios of 10:90 up to 50:50. The effect of the OG:HG ratio on appearance, microstructure, extrusion, rheological and thermal characteristics was investigated to assess printability and shape fidelity. All formulations showed no signs of phase separation during storage, while changes in color were observed with increasing OG content, suggesting modifications in phase distribution and light-scattering behavior. Increasing the OG content induced a transition from OG-in-HG systems to a bicontinuous structure at a 50:50 ratio. All inks showed shear-thinning behavior (G′ > G″) and viscoelastic properties suitable for 3D printing. BG with intermediate OG contents displayed moderate extrusion forces (7.27–9.00 N) and improved structural recovery (up to ≈60%), consistent with desirable printability and appropriate yield/flow points to ensure shape fidelity after deposition. Thermal analysis further confirmed the coexistence of OG and HG phases, ensuring structural integrity at printing temperature. These findings demonstrate the potential of BG as tunable, fat-reduced inks for 3D food structuring. Full article
(This article belongs to the Special Issue Food Hydrocolloids and Hydrogels: Rheology and Texture Analysis)
Show Figures

Figure 1

23 pages, 2145 KB  
Article
Stability Analysis of Navier–Stokes–Voigt Fluids in Porous Media with Slippery Effect
by Jing Shi, Jiayu Zhang, Quansheng Liu, Zhaodong Ding and Ruigang Zhang
Nanomaterials 2026, 16(6), 367; https://doi.org/10.3390/nano16060367 - 17 Mar 2026
Viewed by 411
Abstract
This paper investigates the linear stability of Navier–Stokes–Voigt (NSV) fluid flow in a channel filled with a homogeneous porous medium under general asymmetric slip boundary conditions. This study bridges the research gap between idealized theoretical models (uniform coating) and realistic engineering surfaces in [...] Read more.
This paper investigates the linear stability of Navier–Stokes–Voigt (NSV) fluid flow in a channel filled with a homogeneous porous medium under general asymmetric slip boundary conditions. This study bridges the research gap between idealized theoretical models (uniform coating) and realistic engineering surfaces in superhydrophobic channels. In practice, manufacturing defects often lead to non-uniform slip distributions. By solving the generalized eigenvalue problem using the Chebyshev spectral collocation method, we quantify the sensitivity of the critical Reynolds number to symmetry breaking. The results reveal that symmetric slip achieves optimal stability, whereas symmetry breaking causes a significant destabilizing effect. Energy analysis clarifies the physical origin of this instability. Furthermore, we find that increasing the porous medium permeability parameter or the Voigt regularization parameter effectively counteracts the slip-induced instability. Specifically, flow stability can be restored even under highly asymmetric slip conditions if the porous damping or the viscoelastic regularization effect is sufficiently strong. This implies that inevitable manufacturing defects in engineering can be compensated for by optimizing the porous medium matrix. Full article
(This article belongs to the Section Theory and Simulation of Nanostructures)
Show Figures

Figure 1

30 pages, 2504 KB  
Article
Different Cell Wall Compositions of ESKAPE Isolates on Glass Surfaces Impact Adhesion Adaptability to Dynamic Shear Stress
by Zhuoyi Cui, Anje M. Slomp, Alesia V. Quiroga, Jelly Atema-Smit, Hans J. Kaper and Brandon W. Peterson
Microorganisms 2026, 14(3), 623; https://doi.org/10.3390/microorganisms14030623 - 10 Mar 2026
Viewed by 814
Abstract
Although many studies have focused on the initial adhesion of bacteria, there have been few that looked at responses to changing environmental conditions. To more closely examine the viscoelastic nature of initial adhesion, surface-associated bacteria were quantified and monitored for their Brownian motion [...] Read more.
Although many studies have focused on the initial adhesion of bacteria, there have been few that looked at responses to changing environmental conditions. To more closely examine the viscoelastic nature of initial adhesion, surface-associated bacteria were quantified and monitored for their Brownian motion vibrations. This study used a flow chamber to observe the surface association of Enterobacter cloacae BS 1037, Staphylococcus aureus ATCC 12600, Klebsiella pneumoniae–1, Acinetobacter baumannii–1, Pseudomonas aeruginosa PA O1, and Enterococcus faecalis 1396 to glass under dynamic shear rates of 7–15–30 s−1, 15–30–60 s−1, and 30–15–7 s−1. Comparing increasing and decreasing shear rates, information about retention and recovery became apparent. Coccoid bacteria primarily reacted to directional changes in shear rates with changes in either surface-associated bacterial densities or surface-associated strength independently. A. baumannii and E. faecalis did not change their associated strength, whereas S. aureus did not change its associated density. Bacillus bacteria demonstrated differences in both associations with directional changes in shear rates. We demonstrate that retention and recovery are different methods of adaptation to environmental conditions utilised by different bacterial species. These adaptations may form the basis of upregulation and downregulation responses used for survival. Full article
(This article belongs to the Section Environmental Microbiology)
Show Figures

Graphical abstract

22 pages, 6941 KB  
Article
Study on the Impact of Viscoelastic Surfactants on the Reaction-Retarding Performance of Carbonate Reservoir Acidizing
by Wenhao Tian, Juan Du, Yaochen Li and Jinlong Li
Processes 2026, 14(5), 873; https://doi.org/10.3390/pr14050873 - 9 Mar 2026
Viewed by 403
Abstract
Conventional hydrochloric acid (HCl) acidizing in carbonate reservoirs is often limited by excessively rapid acid–rock reactions and preferential flow through high-permeability paths, resulting in shallow penetration and inefficient stimulation. Viscoelastic surfactant (VES)-based diverting acids have been widely applied to address these challenges; however, [...] Read more.
Conventional hydrochloric acid (HCl) acidizing in carbonate reservoirs is often limited by excessively rapid acid–rock reactions and preferential flow through high-permeability paths, resulting in shallow penetration and inefficient stimulation. Viscoelastic surfactant (VES)-based diverting acids have been widely applied to address these challenges; however, the intrinsic relationship between reaction retardation and diversion efficiency, particularly under varying shear conditions, remains insufficiently clarified. In this study, a VES-based diverting acid system formulated with erucamidopropyl hydroxysultaine (EH50) was systematically investigated through multiscale experiments, including rotating disk reaction kinetics, rheological characterization, porous core flooding, and fracture-scale plate flow tests. The results reveal a pronounced shear-dependent transition in the governing mechanism of the system. Under low-shear conditions, the VES system significantly reduces the apparent acid–rock reaction rate, with a maximum reduction of 77.3%, and exhibits a synergistic retardation effect in the presence of Ca2+, indicating mass transfer limitation. However, under high-shear porous media flow, the intrinsic retarding effect is substantially weakened due to partial disruption of the viscoelastic structure. Despite this attenuation of chemical retardation, effective diversion performance persists under dynamic flow conditions, manifested by pressure plateau behavior, enhanced flow redistribution, more distributed wormhole networks, and greater overall dissolution. Fracture-scale experiments further demonstrate that the diversion acid suppresses excessive inlet etching and promotes spatially distributed etching patterns favorable for fracture conductivity maintenance. These findings clarify that reaction retardation and diversion are distinct yet dynamically coupled mechanisms, whose relative dominance depends on shear intensity and ionic environment. The proposed shear-responsive mechanism framework provides new insight into the design and optimization of VES diverting acid systems for carbonate reservoir stimulation. Full article
(This article belongs to the Topic Advanced Technology for Oil and Nature Gas Exploration)
Show Figures

Figure 1

14 pages, 1716 KB  
Article
Anisotropic Extrudate Swell from a Slit Die: A Velocity-Centre Hypothesis and Numerical Verification
by Guangdong Zhang, Xinyu Hao and Linzhen Zhou
Polymers 2026, 18(5), 652; https://doi.org/10.3390/polym18050652 - 7 Mar 2026
Viewed by 419
Abstract
While anisotropic extrudate swell in polymer processing is fundamentally driven by physical viscoelastic recovery, this paper proposes a theoretical framework to explicitly isolate and map the purely geometric and kinematic components of this phenomenon. Serving as a mathematical proof-of-concept, a multi-velocity-centre hypothesis is [...] Read more.
While anisotropic extrudate swell in polymer processing is fundamentally driven by physical viscoelastic recovery, this paper proposes a theoretical framework to explicitly isolate and map the purely geometric and kinematic components of this phenomenon. Serving as a mathematical proof-of-concept, a multi-velocity-centre hypothesis is proposed. By introducing a semi-empirical, lumped material-flow calibration parameter, the macroscopic diameter swell ratio is mathematically extended to the discrete local flow field of a rectangular slit die. To evaluate its validity, the analytical framework is subjected to a numerical test for kinematic consistency utilizing isothermal, inelastic power-law fluid CFD simulations, thereby separating geometric mapping from complex viscoelastic stress relaxation. Results indicate that analytical predictions show good agreement with CFD data (error < 5%) strictly within the core zone of high-aspect-ratio dies. However, due to the infinite-slit assumption, 3D flow kinematics near die edges induce velocity decay, leading to local deviations that require future empirical corrections. Although comprehensive physical extrusion experiments and non-isothermal viscoelastic coupling are required for industrial deployment, this semi-empirical kinematic mapping provides a foundational mathematical basis that could potentially inform future inverse die-profile design and shape distortion compensation. Full article
(This article belongs to the Section Polymer Processing and Engineering)
Show Figures

Figure 1

22 pages, 397 KB  
Article
A Boundary Control Problem for the Stationary Darcy–Brinkman–Jeffreys System
by Evgenii S. Baranovskii, Mikhail A. Artemov, Sergey V. Ershkov and Alexander V. Yudin
Mathematics 2026, 14(5), 843; https://doi.org/10.3390/math14050843 - 1 Mar 2026
Viewed by 408
Abstract
This paper deals with a boundary control problem for the Darcy–Brinkman–Jeffreys system describing 3D (or 2D) steady-state flows of an incompressible viscoelastic fluid through a porous medium. Applying the elliptic regularization method and arguments from the topological degree theory, we prove a theorem [...] Read more.
This paper deals with a boundary control problem for the Darcy–Brinkman–Jeffreys system describing 3D (or 2D) steady-state flows of an incompressible viscoelastic fluid through a porous medium. Applying the elliptic regularization method and arguments from the topological degree theory, we prove a theorem about the weak solvability of the corresponding boundary value problem under an inhomogeneous Dirichlet boundary condition. Using this theorem, we obtain sufficient conditions for the existence of optimal weak solutions minimizing a given cost function. Moreover, it is shown that the set of all optimal weak solutions is bounded and sequentially weakly closed in an appropriate function space. Full article
(This article belongs to the Special Issue Mathematical Dynamic Flow Models, 2nd Edition)
Show Figures

Figure 1

19 pages, 8375 KB  
Article
Hybrid Control on 3D Crustal Deformation Around the Qinghai Lake Basin–Range System: Insights from GPS Observations and Finite-Element Modeling
by Haoqing Liu, Shiming Liang, Keliang Zhang, Ling Zhang and Weijun Gan
Remote Sens. 2026, 18(5), 712; https://doi.org/10.3390/rs18050712 - 27 Feb 2026
Viewed by 475
Abstract
The mechanisms driving the uplift and outward expansion of the Tibetan Plateau remain debated. The Qinghai Lake region at the plateau front, characterized by pronounced basin–range differential uplift, provides a key natural laboratory. Here, we first predict vertical deformation induced by the horizontal [...] Read more.
The mechanisms driving the uplift and outward expansion of the Tibetan Plateau remain debated. The Qinghai Lake region at the plateau front, characterized by pronounced basin–range differential uplift, provides a key natural laboratory. Here, we first predict vertical deformation induced by the horizontal GPS velocity field and then construct a three-dimensional (3D) viscoelastic finite-element model to evaluate how lithospheric rheology shapes present-day 3D deformation. Horizontal GPS velocities predict higher uplift in the Songpan–Ganzi Terrane and the Qilian Orogen and lower values in the intervening basins, capturing the first-order basin–range pattern; the predicted uplift in the Qilian Orogen is ~1.0 mm/yr and agrees with observations, indicating that its dominant mechanism is crustal shortening and thickening. However, horizontal constraints alone leave vertical-velocity residuals of ~0.8–1.5 mm/yr in several localized areas, including the West Qinling Orogen, the southern Elashan region, the Qinghai–Nanshan region, and areas south of the Lenglongling Fault. Lateral rheological heterogeneity in the mid–lower crust, acting under mantle-flow drag, can better account for these residuals and more accurately reproduce the present 3D velocity field in the basin–range system. We further propose northeastward mid–lower crustal flow along a weak channel; when the flow is impeded by rigid domains (e.g., the Gonghe Basin and the Qinghai Lake Basin), it promotes material accumulation and localized deformation. These results support a hybrid mechanism that combines crustal shortening and mid–lower crustal flow for the Qinghai Lake basin–range system. Full article
(This article belongs to the Section Remote Sensing in Geology, Geomorphology and Hydrology)
Show Figures

Figure 1

15 pages, 1388 KB  
Article
Rheological Behavior and Molecular Interactions in Concentrated Polycarbosilane Solutions in Linear and Cyclic Hydrocarbon Solvents
by Mikhail S. Kuzin, Maria F. Lobanova, Pavel S. Gerasimenko, Maria V. Mironova, Sergey A. Legkov and Ivan Yu. Skvortsov
Polymers 2026, 18(5), 550; https://doi.org/10.3390/polym18050550 - 25 Feb 2026
Viewed by 531
Abstract
Concentrated solutions of polycarbosilane (PCS) are critically important for the development of continuous SiC precursor fibers, where solvent–polymer interactions govern rheology, viscoelastic stability, and spinnability. In this work, PCS solutions in two nonpolar hydrocarbon solvents with different molecular architectures as linear n-heptadecane [...] Read more.
Concentrated solutions of polycarbosilane (PCS) are critically important for the development of continuous SiC precursor fibers, where solvent–polymer interactions govern rheology, viscoelastic stability, and spinnability. In this work, PCS solutions in two nonpolar hydrocarbon solvents with different molecular architectures as linear n-heptadecane and bicyclic decalin were systematically investigated over a wide concentration range, with emphasis on the semi-dilute entangled and concentrated regimes relevant to solution-based fiber spinning. A combined experimental approach involving steady and oscillatory rheometry and Fourier transform infrared (FTIR) spectroscopy was used to elucidate the influence of solvent structure on solvation, viscoelastic response, microstructural organization, and local intermolecular interactions. Despite similar dilute-solution interaction parameters, the concentrated regimes exhibit pronounced solvent-dependent differences in elasticity and flow behavior. For the first time, linear heptadecane is identified as a viable and technologically promising solvent for PCS, enabling the formation of thermostable homogeneous concentrated solutions with enhanced deformability. This behavior opens a realistic pathway toward a new solution-based fiber-spinning route based on elasticity-controlled processing. The results demonstrate that solvent molecular geometry governs the structure–rheology–processability relationship of concentrated PCS systems rather than solubility parameters alone, providing a new framework for solvent selection in SiC precursor fiber technologies. Full article
(This article belongs to the Special Issue Silicon-Based Polymers: From Synthesis to Applications)
Show Figures

Figure 1

19 pages, 5047 KB  
Article
Rheology and Molecular Mechanisms of Fracturing Fluids: A Comparison of Three Thickener Types—A Case Study
by Ke Xu, Jing Long, Xu Liang, Dingwei Weng, Pinhong Zhu, Yonghang Yi, Yingxing Chen and Cunchuan Zheng
Gels 2026, 12(2), 172; https://doi.org/10.3390/gels12020172 - 14 Feb 2026
Viewed by 542
Abstract
To address the lack of systematic comparison regarding rheological properties and the unclear structure–property relationships among three core fracturing fluid materials including synthetic polymers, vegetable gums, and microbial polysaccharides, this study selected acrylamide-based polymers, hydroxypropyl guar gum and xanthan gum as the representative [...] Read more.
To address the lack of systematic comparison regarding rheological properties and the unclear structure–property relationships among three core fracturing fluid materials including synthetic polymers, vegetable gums, and microbial polysaccharides, this study selected acrylamide-based polymers, hydroxypropyl guar gum and xanthan gum as the representative systems. The steady-state viscosity, rheological curves, thixotropy, viscoelasticity, and temperature-shear resistance of the three samples were systematically characterized at concentrations ranging from 0.1 to 0.7 wt% using an MCR301 rotational rheometer. The outcomes indicate that the structural strength values of all three materials increase with rising concentration, but their rheological behaviors and stability differ significantly due to distinct molecular structures. The acrylamide-based copolymer forms a temporary network via weak hydrogen bonds (amide-carboxyl or amide-amide) and physical entanglements, exhibiting thixotropy and a stress pre-elastic response. The most significant effects occur at 0.7 wt%, with a thixotropic loop area of 2.874 Pa·s−1 and a stress overshoot of 4.97 Pa.; hydroxypropyl guar gum has insufficient thermal stability and poor heat resistance. Its viscosity retention rate is as low as 31%, and it always exhibits a solution-type rheological property of G′ < G″; the xanthan gum exhibits elastic gel properties with tanδ < 1 due to its double-helix molecular structure. It has excellent temperature shear tolerance and the viscosity retention value can reach up to 98.6 mPa·s. Two mathematical models were established and demonstrated strong applicability: a modified Carreau model for flow curve fitting yielded a coefficient of determination (R2) greater than 0.95, enabling accurate description of fluid-type transitions; a four-parameter equation for temperature–shear resistance curves also achieved an R2 above 0.95, effectively characterizing viscosity evolution with temperature. Full article
(This article belongs to the Section Gel Analysis and Characterization)
Show Figures

Figure 1

18 pages, 3414 KB  
Article
Capillary–Viscoelastic Coupling and Multiscale Imbibition Dynamics in Tight Conglomerate Rocks
by Xiaodong Guo, Shicheng Zhang, Jingchen Zhang, Yi Wan, Xiangrui Xi and Chengsheng Zhang
Processes 2026, 14(4), 625; https://doi.org/10.3390/pr14040625 - 11 Feb 2026
Viewed by 350
Abstract
Tight conglomerate reservoirs exhibit strong pore-scale heterogeneity and extremely low permeability, in which spontaneous imbibition is primarily governed by capillary and viscoelastic effects. In this study, the imbibition dynamics of four representative fracturing fluid systems, including slickwater, 3% potassium chloride (KCl) brine, hydrolyzed [...] Read more.
Tight conglomerate reservoirs exhibit strong pore-scale heterogeneity and extremely low permeability, in which spontaneous imbibition is primarily governed by capillary and viscoelastic effects. In this study, the imbibition dynamics of four representative fracturing fluid systems, including slickwater, 3% potassium chloride (KCl) brine, hydrolyzed polyacrylamide (HPAM) viscoelastic fluid, and a nanoemulsion (NE), were investigated using a temperature-controlled nuclear magnetic resonance (NMR) monitoring system. This approach enables real-time quantification of fluid uptake and pore-scale redistribution through time-resolved T2 spectral analysis. The experimental results reveal a three-stage imbibition process consisting of rapid capillary-driven uptake, viscoelastic-retarded transition, and final equilibrium. Among the four fracturing fluid systems, the nanoemulsion exhibits the lowest interfacial tension (1.72 mN/m), the strongest wettability alteration, and the highest equilibrium recovery (0.76), which is nearly 80% greater than that of slickwater. Based on these observations, a multiscale capillary–viscoelastic coupling model was developed by extending the Lucas–Washburn framework to incorporate pore-size distribution, time-dependent wettability evolution, and viscoelastic damping. The model fits the experimental data well (R2 > 0.90) and identifies viscosity as the most influential parameter controlling the imbibition rate (sensitivity = 0.78). Energy analysis further indicates that capillary energy dominates the early stage, whereas viscoelastic energy storage sustains fluid transport during the later stage. SEM observations were further used to qualitatively corroborate pore heterogeneity and pore–mineral associations, supporting the NMR-based pore-scale interpretation. This study provides a quantitative framework for describing non-Newtonian capillary flow in tight conglomerate rocks and enhances the understanding of capillary–viscoelastic interactions relevant to multiphase fluid migration. Full article
Show Figures

Figure 1

16 pages, 5956 KB  
Article
Functional Properties and Rheological Performance of Cassava (Manihot esculenta) Hydrocolloids: Influence of Extraction pH on Technological Characteristics
by Valentina Osorio-Comendador, Luis A. García-Zapateiro and Somaris E. Quintana
Polysaccharides 2026, 7(1), 21; https://doi.org/10.3390/polysaccharides7010021 - 7 Feb 2026
Viewed by 459
Abstract
This research focused on the systematic engineering of processing parameters to obtain novel hydrocolloids from cassava (Manihot esculenta), specifically investigating how extraction pH controls their functional and physicochemical properties. Hydrocolloids were obtained across a range of pH conditions, followed by rigorous [...] Read more.
This research focused on the systematic engineering of processing parameters to obtain novel hydrocolloids from cassava (Manihot esculenta), specifically investigating how extraction pH controls their functional and physicochemical properties. Hydrocolloids were obtained across a range of pH conditions, followed by rigorous analysis of their chemical composition, flow behavior, viscoelasticity, and technological capacity, including water and oil holding capacity (WHC and OHC). The study established that hydrocolloids yield can be decoupled from extreme pH constraints, as high yields were successfully attained in both acidic and alkaline environments, thereby identifying a critical and flexible processing window for scalable production. Compositionally, the extracts confirmed their potential as functional additives due to a high carbohydrate content and minimal fat. Crucially, the extracted hydrocolloids exhibited strong structural performance, displaying high water and oil retention capacity—metrics essential for emulsion stability and shelf life—while consistently confirming desirable shear-thinning behavior across all effective extraction conditions. In conclusion, these results demonstrate that hydrocolloids derived from cassava are versatile stabilizers whose robust structural performance is maintained across varying processing pH levels, positioning them as promising, cost-effective alternatives for developing resilient, stable food matrices. Full article
Show Figures

Figure 1

20 pages, 4750 KB  
Article
Comprehensive Characterisation of Photocurable PEGDA/Gelatine Hydrogels for Extrusion-Based 3D Printing
by Corona Morató-Cecchini, David Rodríguez-González, Lucía Celada, Lucía Sánchez-Suárez, Manuel Alejandro Fernández, Enrique Aguilar and Helena Herrada-Manchón
Gels 2026, 12(2), 137; https://doi.org/10.3390/gels12020137 - 2 Feb 2026
Viewed by 878
Abstract
The development of photocurable hydrogel biomaterial inks with suitable rheology, low cytotoxicity, and tuneable mechanical properties is essential for reliable biofabrication. This study aimed to formulate PEGDA–gelatine–collagen inks using lithium phenyl-2,4,6-trimethylbenzoylphosphinate (LAP) as photoinitiator. Rheological characterisation and flow-model fitting were performed, mechanical stiffness [...] Read more.
The development of photocurable hydrogel biomaterial inks with suitable rheology, low cytotoxicity, and tuneable mechanical properties is essential for reliable biofabrication. This study aimed to formulate PEGDA–gelatine–collagen inks using lithium phenyl-2,4,6-trimethylbenzoylphosphinate (LAP) as photoinitiator. Rheological characterisation and flow-model fitting were performed, mechanical stiffness modulation under different light intensities was evaluated, complex structures were printed using direct extrusion and FRESH methodologies, and PEGDA/LAP extractables were quantified by NMR after controlled washing procedures. In vitro assays assessed cell viability and proliferation on the resulting scaffolds. The Herschel–Bulkley model best described the flow behaviour across formulations; while viscoelastic measurements showed that increasing light intensity progressively enhanced hydrogel stiffness, enabling fine control over final mechanical properties. NMR analysis showed that washing removed a substantial fraction of residual LAP, in agreement with the biological findings: fibroblasts failed to survive on unwashed scaffolds but exhibited robust proliferation and recovered their characteristic elongated morphology on washed constructs. Among all inks, PeGeCol_10_2 provided the best combination of shear-thinning behaviour, structural integrity, low residual photoinitiator, and tuneable mechanics. Using this formulation, we successfully printed large anatomical models with high fidelity and excellent handling properties, underscoring its potential for soft-tissue prosthetics and broader tissue-engineering applications. Full article
(This article belongs to the Special Issue Application of Hydrogels in 3D Bioprinting for Tissue Engineering)
Show Figures

Graphical abstract

Back to TopTop