Sign in to use this feature.

Years

Between: -

Subjects

remove_circle_outline
remove_circle_outline
remove_circle_outline
remove_circle_outline
remove_circle_outline
remove_circle_outline
remove_circle_outline

Journals

Article Types

Countries / Regions

Search Results (14)

Search Parameters:
Keywords = varietal thiols

Order results
Result details
Results per page
Select all
Export citation of selected articles as:
26 pages, 3209 KB  
Article
Sensory-Driven Characterisation of the Lugana DOC White Wines Aging Ability Through Odour Activity Value, Aroma Vectors, and Clustering Approaches
by Micaela Boido, Maria Alessandra Paissoni, Davide Camoni, Riccardo Severi, Stefano Ferrari, Beatrice Cordero, Simone Giacosa, Luca Rolle and Susana Río Segade
Beverages 2026, 12(1), 13; https://doi.org/10.3390/beverages12010013 - 14 Jan 2026
Viewed by 187
Abstract
Lugana DOC is an Italian PDO white wine from the south coast of Lake Garda, produced with ‘Trebbiano di Lugana’ grapes (synonym of ‘Trebbiano di Soave’ and ‘Verdicchio bianco’) and characterised by tropical fruit, citrus, and balsamic notes due to the presence of [...] Read more.
Lugana DOC is an Italian PDO white wine from the south coast of Lake Garda, produced with ‘Trebbiano di Lugana’ grapes (synonym of ‘Trebbiano di Soave’ and ‘Verdicchio bianco’) and characterised by tropical fruit, citrus, and balsamic notes due to the presence of volatile thiols and methyl salicylate, respectively. To deepen the knowledge of the aromatic profile of these wines and to study how they evolve during aging, the chemical and sensory profile of 12 Lugana DOC wines from the same winery in different consecutive vintages (2008–2019, evaluated in 2023) were analysed. Sensory analysis data were subjected to hierarchical cluster analysis, identifying four main groups that appropriately distinguished the aged wines from the young wines. Younger wines had a greenish yellow colour and were characterised mainly by fruity, citrus, floral, and flinty notes related to thiol compound contribution. Older wines, divided into three different clusters, shifted colour towards orange and were characterised by descriptors related to oxidative aging (e.g., cooked fruit, marsala-like, figs, nuts) or retained pleasant varietal and evolutionary notes (e.g., citrus, white flowers, flint, vanilla) confirmed by their chemical markers detected by GC-MS and LC-MS. Full article
Show Figures

Graphical abstract

15 pages, 660 KB  
Article
A Deep Analytical Investigation of the Aroma Chemistry of Incrocio Bruni 54 and Its Differentiation from Italian White Varieties
by Maurizio Piergiovanni, Martina Moretton, Domenico Masuero and Silvia Carlin
Fermentation 2025, 11(10), 590; https://doi.org/10.3390/fermentation11100590 - 14 Oct 2025
Viewed by 1098
Abstract
Incrocio Bruni 54 is a little-known white grape variety developed in the Marche region (Italy) from a cross between Verdicchio and Sauvignon Blanc to combine aromatic freshness with structure. In light of the growing interest in minor and autochthonous cultivars, this study provides [...] Read more.
Incrocio Bruni 54 is a little-known white grape variety developed in the Marche region (Italy) from a cross between Verdicchio and Sauvignon Blanc to combine aromatic freshness with structure. In light of the growing interest in minor and autochthonous cultivars, this study provides the first comprehensive chemical characterization of the aroma profile of Incrocio Bruni 54 wines. Seventeen commercial wines were analyzed for varietal compounds, such as terpenes, norisoprenoids, volatile thiols, methyl salicylate and its glycosides, and fermentative compounds, including esters, alcohols, acids, phenols, aldehydes, and ketones, using GC-MS/MS and LC-MS/MS. Odor activity value (OAV) calculations revealed an aroma profile dominated by ethyl esters, such as ethyl caproate and isopentyl acetate, β-damascenone, 4-vinylguaiacol, TDN, and the volatile thiols 3MH and 4MMP, imparting fruity, floral, spicy, and tropical notes. Comparison with datasets of 246 Italian monovarietal white wines and related sub-datasets composed of Verdicchio and Lugana showed significantly higher concentrations of 3MH and free methyl salicylate in Incrocio Bruni 54, but markedly lower levels of glycosylated methyl salicylate forms, suggesting a greater expression of this odorant in young wines balanced by a lower potential over aging. These findings highlight the distinctive aromatic fingerprint of Incrocio Bruni 54, combining parental traits with unique sensory potential, and support its knowledge and valorization in wine production. Full article
(This article belongs to the Special Issue Wine and Beer Fermentation, 2nd Edition)
Show Figures

Graphical abstract

18 pages, 1287 KB  
Article
Oenological Performances of New White Grape Varieties
by Aécio Luís de Sousa Dias, Charlie Guittin-Leignadier, Amélie Roy, Somaya Sachot, Faïza Maçna, Damien Flores, Emmanuelle Meudec, Jean-Claude Boulet, Nicolas Sommerer, Aurélie Roland, Marie-Agnès Ducasse and Jean-Roch Mouret
Beverages 2025, 11(3), 90; https://doi.org/10.3390/beverages11030090 - 11 Jun 2025
Cited by 1 | Viewed by 2058
Abstract
The wine industry aims to reduce pesticide use by utilizing disease-resistant grape varieties, although their oenological potential remains underexplored. This study aimed to evaluate their oenological potential compared to traditional ones. Musts from resistant (Souvignier Gris, Sauvignac, Voltis, and Floreal) and traditional (Chardonnay, [...] Read more.
The wine industry aims to reduce pesticide use by utilizing disease-resistant grape varieties, although their oenological potential remains underexplored. This study aimed to evaluate their oenological potential compared to traditional ones. Musts from resistant (Souvignier Gris, Sauvignac, Voltis, and Floreal) and traditional (Chardonnay, Sauvignon Blanc, and Viognier) varieties were fermented at laboratory scale with online CO2 monitoring, and two yeasts were used to study varietal responses to yeast impact. Wines were analyzed for metabolites from central carbon metabolism, aromas (varietal thiols, ethyl esters, acetate esters, and higher alcohols), and phenolic compounds (hydroxybenzoic acids, hydroxycinnamic acids, flavan-3-ols, and flavonols) using (U)HPLC methods. Principal component analysis (PCA) of all variables revealed Souvignier Gris grouped with a Sauvignon Blanc sample, partially due to varietal thiols. PCA of aromas (PC1: 37.7%, PC2: 17.8%) showed that Souvignier Gris and Sauvignac exhibited similar behavior to Sauvignon Blanc. The heat map of 19 phenolics showed Sauvignac and Sauvignon Blanc clustered, with lower phenolic abundance. This preliminary work contributes to a detailed characterization of the oenological potential of these new varieties and constitutes an essential step in identifying which traditional and well-known varieties they resemble. This will then enable the recommendation of cellar itineraries adapted to their profile. Full article
(This article belongs to the Section Wine, Spirits and Oenological Products)
Show Figures

Graphical abstract

14 pages, 1963 KB  
Review
Pre-Fermentative Cryogenic Treatments: The Effect on Aroma Compounds and Sensory Properties of Sauvignon Blanc and Chenin Blanc Wine—A Review
by Valmary M. van Breda, Francois P. van Jaarsveld and Jessy van Wyk
Appl. Sci. 2024, 14(4), 1483; https://doi.org/10.3390/app14041483 - 12 Feb 2024
Cited by 4 | Viewed by 3316
Abstract
Low-temperature treatments preceding alcoholic fermentation are becoming increasingly popular and have been used in winemaking as a tool to improve wine colour, aroma, and quality. Additionally, the pre-fermentative treatment of grapes with cryogenic agents protects the grape juice (must) from oxidation by reducing [...] Read more.
Low-temperature treatments preceding alcoholic fermentation are becoming increasingly popular and have been used in winemaking as a tool to improve wine colour, aroma, and quality. Additionally, the pre-fermentative treatment of grapes with cryogenic agents protects the grape juice (must) from oxidation by reducing the diffusion of atmospheric oxygen into the liquid phase during the winemaking process. Resultant wines were reported to have enhanced varietal aromas, increased complexity, and higher thiol levels. Indications are that increased contact time between skin and juice improves the extraction of the compounds and/or precursors. Recently, there has been considerable interest in the production of wines with enhanced varietal aromas and improved quality by applying innovative winemaking technologies. This review aims to provide an overview of the aroma and organoleptic quality of Sauvignon blanc and Chenin blanc wines produced from grapes that were subjected to pre-fermentative cryogenic treatments including the impact aroma compounds, i.e., volatile thiols and methoxypyrazines. Full article
(This article belongs to the Special Issue Novel Approaches for Food Processing and Preservation)
20 pages, 3940 KB  
Article
The Effect of Yeast Inoculation Methods on the Metabolite Composition of Sauvignon Blanc Wines
by Farhana R. Pinu, Lily Stuart, Taylan Topal, Abby Albright, Damian Martin and Claire Grose
Fermentation 2023, 9(8), 759; https://doi.org/10.3390/fermentation9080759 - 14 Aug 2023
Cited by 5 | Viewed by 6870 | Correction
Abstract
Evidence from the literature suggests that different inoculation strategies using either active dry yeast (ADY) or freshly prepared yeast cultures affect wine yeast performance, thus altering biomass and many primary and secondary metabolites produced during fermentation. Here, we investigated how different inoculation methods [...] Read more.
Evidence from the literature suggests that different inoculation strategies using either active dry yeast (ADY) or freshly prepared yeast cultures affect wine yeast performance, thus altering biomass and many primary and secondary metabolites produced during fermentation. Here, we investigated how different inoculation methods changed the fermentation behaviour and metabolism of a commercial wine yeast. Using a commercial Sauvignon blanc (SB) grape juice, fermentation was carried out with two different inoculum preparation protocols using Saccharomyces cerevisiae X5: rehydration of commercial ADY and preparation of pre-inoculum in a rich laboratory medium. We also determined the effect of different numbers of yeast cells inoculation (varying from 1 × 106 to 1 × 1012) and successive inoculation on fermentation and end-product formation. The yeast inoculation method and number of cells significantly affected the fermentation time. Principal component analysis (PCA) using 60 wine metabolites showed a separation pattern between wines produced from the two inoculation methods. Inoculation methods influenced the production of amino acids and different aroma compounds, including ethyl and acetate esters. Varietal thiols, 3-mercaptohexanol (3MH), and 4-methyl-4-mercaptopentan-2-one (4MMP) in the wines were affected by the inoculation methods and numbers of inoculated cells, while little impact was observed on 3-mercaptohexyl acetate (3MHA) production. Pathway analysis using these quantified metabolites allowed us to identify the most significant pathways, most of which were related to central carbon metabolism, particularly metabolic pathways involving nitrogen and sulphur metabolism. Altogether, these results suggest that inoculation method and number of inoculated cells should be considered in the production of different wine styles. Full article
Show Figures

Figure 1

12 pages, 958 KB  
Article
The Influence of Grape Clone and Yeast Strain on Varietal Thiol Concentrations and Sensory Properties of Graševina Wines
by Marina Tomašević, Katarina Lukić, Natka Ćurko, Ana-Marija Jagatić Korenika, Darko Preiner, Valentina Tuščić, Ana Jeromel and Karin Kovačević Ganić
Foods 2023, 12(5), 985; https://doi.org/10.3390/foods12050985 - 26 Feb 2023
Cited by 5 | Viewed by 2306
Abstract
Varietal thiol concentration in wine is influenced by numerous factors, of which grape variety and winemaking practices are often highlighted as the most important. Therefore, the aim of this work was to study the effects of grape clone and yeast strain (Saccharomyces [...] Read more.
Varietal thiol concentration in wine is influenced by numerous factors, of which grape variety and winemaking practices are often highlighted as the most important. Therefore, the aim of this work was to study the effects of grape clone and yeast strain (Saccharomyces and non-Saccharomyces) on the varietal thiols concentrations and sensory characteristics of Graševina (Vitis vinifera L.) white wines. Two grape clones were evaluated (OB-412 and OB-445) along with three different commercial yeast strains (Saccharomyces cerevisiae Lalvin Sensy and Sauvy, and Metschnikowia pulcherrima Flavia). The results showed that the concentration of varietal thiols in Graševina wines amounted up to a total of 226 ng/L. The clone OB-412 was characterized by its significantly higher concentrations, especially of 3-sulfanylhexanol (3SH) and 3-sulfanylhexyl acetate (3SHA). Moreover, alcoholic fermentation with pure S. cerevisiae Sauvy yeasts generally resulted in higher thiol concentrations, while sequential fermentation involving M. pulcherrima positively affected only the 4-methyl-4-sulfanyl-pentan-2-one (4MSP) concentration. Finally, sensory analysis showed that fermentation with pure S. cerevisiae Sauvy yeast also produced more desirable wines. The results suggest that clonal, and especially yeast strain, selections are important modulators of the aroma and sensory properties of wine. Full article
(This article belongs to the Special Issue From Grapes to Wine: Trend of 2022)
Show Figures

Figure 1

19 pages, 612 KB  
Review
Varietal Aromas of Sauvignon Blanc: Impact of Oxidation and Antioxidants Used in Winemaking
by Pei-Chin Tsai, Leandro Dias Araujo and Bin Tian
Fermentation 2022, 8(12), 686; https://doi.org/10.3390/fermentation8120686 - 28 Nov 2022
Cited by 16 | Viewed by 7190
Abstract
Key varietal characteristics of Sauvignon Blanc, including the descriptors of ‘green’ and ‘tropical fruit’, are mostly attributed to methoxypyrazines and volatile thiols, while monoterpenes, higher alcohols, esters, fatty acids, and other volatile compounds also add complexity and fruity notes to the wines. During [...] Read more.
Key varietal characteristics of Sauvignon Blanc, including the descriptors of ‘green’ and ‘tropical fruit’, are mostly attributed to methoxypyrazines and volatile thiols, while monoterpenes, higher alcohols, esters, fatty acids, and other volatile compounds also add complexity and fruity notes to the wines. During the winemaking and ageing period, oxidation decreases the concentrations of these compounds and diminishes the flavours derived from this aromatic grape variety. Therefore, antioxidants, such as sulfur dioxide, are commonly utilized in Sauvignon Blanc wine production for better preservation of those beneficial primary aromas. This review focuses on key varietal aromas in Sauvignon Blanc wine and how they are influenced by oxidation, and SO2 alternatives, including ascorbic acid, glutathione, and glutathione-enriched inactivated dry yeasts, that can be used in winemaking as antioxidants. Full article
(This article belongs to the Special Issue Wine Aromas)
Show Figures

Figure 1

16 pages, 1741 KB  
Article
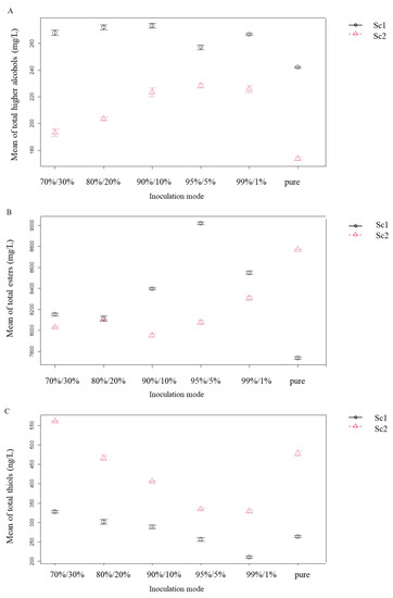
Effect of Saccharomyces cerevisiae and Saccharomyces pastorianus Co-Inoculation on Alcoholic Fermentation Behavior and Aromatic Profile of Sauvignon Blanc Wine
by Maria Dimopoulou, Elli Goulioti, Vicky Troianou, Chrisavgi Toumpeki, Spiros Paramithiotis, Yves Gosselin, Etienne Dorignac, Georgios Papadopoulos and Yorgos Kotseridis
Fermentation 2022, 8(10), 539; https://doi.org/10.3390/fermentation8100539 - 14 Oct 2022
Cited by 9 | Viewed by 3830
Abstract
Enhancing the sensory profile of wines by exposing the aromas of the grape variety through the involvement of microorganisms has always been a challenge in winemaking. The aim of our work was to evaluate the impact of different fermentation schemes by using mixed [...] Read more.
Enhancing the sensory profile of wines by exposing the aromas of the grape variety through the involvement of microorganisms has always been a challenge in winemaking. The aim of our work was to evaluate the impact of different fermentation schemes by using mixed and pure cultures of different Saccharomyces species to Sauvignon blanc wine chemical composition and sensory profile. The Sauvignon blanc must has been inoculated with mixed and pure cultures of S. pastorianus and S. cerevisiae strains. For the mixed fermentation schemes, one strain of S. pastorianus has been inoculated with different proportions of S. cerevisiae (S. pastorianus to S. cerevisiae: 99%–1%, 95%–5%, 90%–10%, 80%–20% and 70%–30% w/w) in co-inoculation with two commercial strains of S. cerevisiae. A total of 13 fermentations trials, three monocultures and 10 mixed cultures were performed in biological triplicate. The fermentation kinetics have been controlled by density measurement and classical oenological analyses were performed based on the International Organisation of Vine and Wine (OIV) analytical methods. The population dynamics were evaluated by the specific interdelta PCR reaction of the Saccharomyces species at the beginning and at the end of the fermentation process. The volatile compounds of the wine aroma, such as the esters, higher alcohols and thiols were analyzed by GC/MS. Sensory assessment by trained panel was carried out for all produced wines. Complete depletion of the sugars was achieved between 10 and 13 days for all the fermentation trials. The population dynamics analysis revealed that the S. cerevisiae strain was the most predominant at the end of the fermentation process in all inoculation ratios that were tested. The wines that were fermented with S. pastorianus, either in pure or mixed cultures, were characterized by significantly lower acetic acid production and higher malic acid degradation when compared to the wines that were fermented only with S. cerevisiae strains. The aroma profile of the produced wines was highly affected by both inoculation ratio and the S. cerevisiae strain that was used. The presence of S. pastorianus strain enhanced the production of the varietal thiols when compared to the samples that were fermented with the S. cerevisiae pure cultures. The mixed inoculation cultures of Saccharomyces species could lead to wines with unique character which can nicely express the varietal character of the grape variety. Full article
(This article belongs to the Section Fermentation for Food and Beverages)
Show Figures

Figure 1

31 pages, 1249 KB  
Article
Diversity among Traditional Minority Red Grape Varieties According to Their Aromatic Profile
by Ángela Díaz-Fernández, Emilia Díaz-Losada and Sandra Cortés-Diéguez
Agronomy 2022, 12(8), 1799; https://doi.org/10.3390/agronomy12081799 - 29 Jul 2022
Cited by 8 | Viewed by 2192
Abstract
Free and glycosidically-bound aromatic characterization of 21 minority red grapevine varieties was carried out, along three consecutive vintages, using solid phase microextraction followed by gas chromatography-mass spectrometry methodology (SPME-GC-MS). The two main study aims were to evaluate the possibility of aromatically differentiated varieties [...] Read more.
Free and glycosidically-bound aromatic characterization of 21 minority red grapevine varieties was carried out, along three consecutive vintages, using solid phase microextraction followed by gas chromatography-mass spectrometry methodology (SPME-GC-MS). The two main study aims were to evaluate the possibility of aromatically differentiated varieties based on their origin and to test the aromatic profile for being used as a chemotaxonomic tool. Based on the results obtained in this research, it would be also interesting to verify in future studies if this varietal diversity could translate into a diversification of quality products in the current globalized wine market. A volatile profile was established grouping aroma compounds into thirteen families: acids, alcohols, esters, C6 compounds, thiols, ketones, aldehydes, phenols, terpenes, C13-norisoprenoids, lactones, polycyclic aromatic hydrocarbons (PAHs), and sesquiterpenes. Significant differences were found among varieties for esters, phenols, terpenes, and total compounds in the free fraction and for alcohols, acids, C6 compounds, C13-norisoprenoids, terpenes, sesquiterpenes, and total compounds in the glycosidically-bound fraction. Subtle differentiation between different groups of varieties with common genetic origin was achieved by free aromatic profile (PCA) component analysis. Nevertheless, more in-depth studies are considered necessary to confirm the usefulness of the aromatic profile as a chemotaxonomic tool. Full article
Show Figures

Figure 1

28 pages, 4886 KB  
Article
Terroir Traceability in Grapes, Musts and Gewürztraminer Wines from the South Tyrol Wine Region
by Carlo G. Ferretti and Stefano Febbroni
Horticulturae 2022, 8(7), 586; https://doi.org/10.3390/horticulturae8070586 - 28 Jun 2022
Cited by 10 | Viewed by 4793
Abstract
This study arose from the need to relate specific terroir aspects with experienced sensory properties of Gewürztraminer wines from Tramin (northern Italy). A multidisciplinary approach was used to investigate seven vineyards’ ecological characteristics, including geology and geographical features. A geopedological method using Vineyard [...] Read more.
This study arose from the need to relate specific terroir aspects with experienced sensory properties of Gewürztraminer wines from Tramin (northern Italy). A multidisciplinary approach was used to investigate seven vineyards’ ecological characteristics, including geology and geographical features. A geopedological method using Vineyard Geological Identity (VGI) and Solar Radiation Identity (SRI) for topoclimatic classification, as well as multi-parameter measuring stations of air and soils, elicited analytical data for qualitative and quantitative terroir characterisations. Furthermore, wide-ranging and targeted oenological and chemical analyses were conducted on grapes, musts and wines to correlate their biochemical compositions with the measured terroir conditions. The study identified strong connections between vineyard geo-identity and wine mineral fingerprint, confirming mineral traceability of Rb/Sr ratio and of some minerals common to the local geology, such as Ba, Rb, Mn and Be. In particular, the most differing geo-mineral and physical soil conditions of two studied vineyards are apparent in the oenological components, flavours and aromas of their musts and finished wines. Amino acids, primary varietal aromas and polyphenols, thiol compounds with tropical scents, phenolic compounds with spicy notes and terpenic compounds, such as geraniol and citronellol, were related differently between fine-textured, more siliceous soils of glacial origin and coarser-textured, more dolomitic soils of local debris flow origin. Full article
Show Figures

Graphical abstract

15 pages, 1417 KB  
Review
High Potential of Pichia kluyveri and Other Pichia Species in Wine Technology
by Javier Vicente, Fernando Calderón, Antonio Santos, Domingo Marquina and Santiago Benito
Int. J. Mol. Sci. 2021, 22(3), 1196; https://doi.org/10.3390/ijms22031196 - 26 Jan 2021
Cited by 117 | Viewed by 10300
Abstract
The surfaces of grapes are covered by different yeast species that are important in the first stages of the fermentation process. In recent years, non-Saccharomyces yeasts such as Torulaspora delbrueckii, Lachancea thermotolerans, Metschnikowia pulcherrima, and Pichia kluyveri have become [...] Read more.
The surfaces of grapes are covered by different yeast species that are important in the first stages of the fermentation process. In recent years, non-Saccharomyces yeasts such as Torulaspora delbrueckii, Lachancea thermotolerans, Metschnikowia pulcherrima, and Pichia kluyveri have become popular with regard to winemaking and improved wine quality. For that reason, several manufacturers started to offer commercially available strains of these non-Saccharomyces species. P. kluyveri stands out, mainly due to its contribution to wine aroma, glycerol, ethanol yield, and killer factor. The metabolism of the yeast allows it to increase volatile molecules such as esters and varietal thiols (aroma-active compounds), which increase the quality of specific varietal wines or neutral ones. It is considered a low- or non-fermentative yeast, so subsequent inoculation of a more fermentative yeast such as Saccharomyces cerevisiae is indispensable to achieve a proper fermented alcohol. The impact of P. kluyveri is not limited to the grape wine industry; it has also been successfully employed in beer, cider, durian, and tequila fermentation, among others, acting as a promising tool in those fermentation processes. Although no Pichia species other than P. kluyveri is available in the regular market, several recent scientific studies show interesting improvements in some wine quality parameters such as aroma, polysaccharides, acid management, and color stability. This could motivate yeast manufacturers to develop products based on those species in the near future. Full article
(This article belongs to the Special Issue Biotechnology of Non-conventional Yeasts)
Show Figures

Figure 1

17 pages, 1970 KB  
Article
Impact of Copper Fungicide Use in Hop Production on the Total Metal Content and Stability of Wort and Dry-Hopped Beer
by Benjamin J. Chrisfield, Helene Hopfer and Ryan J. Elias
Beverages 2020, 6(3), 48; https://doi.org/10.3390/beverages6030048 - 3 Aug 2020
Cited by 12 | Viewed by 8217
Abstract
Transition metals, including copper, iron, and manganese, are known to catalyze the generation of reactive oxygen species (ROS) in beer leading to reduced product stability. Metals in beer are generally derived from raw ingredients. The present study aims to evaluate the impact of [...] Read more.
Transition metals, including copper, iron, and manganese, are known to catalyze the generation of reactive oxygen species (ROS) in beer leading to reduced product stability. Metals in beer are generally derived from raw ingredients. The present study aims to evaluate the impact of brewing and dry-hopping using hops treated with copper-based fungicides (CBFs) on the final transition metal content of model buffer solutions and pilot-scale systems of wort and beer. Copper levels in model wort and beer solutions were elevated (105.6% and 230.4% increase, respectively) when CBF-treated hops were used. In laboratory-prepared wort, elevated copper concentrations were not observed when CBF-treated hops were used for boiling. Dry hopping of beer using CBF-treated hops led to significant increases in total copper content (ca. 75 µg/kg vs. ca. 40–50 µg/kg in the control-hopped beer) when yeast was absent from the treated beer, but not when yeast was present. It was observed that manganese levels were significantly elevated in all hopped beers (ca. 495–550 µg/kg vs. 90–125 µg/kg in the unhopped control), regardless of hop treatment. A hop varietal thiol, 4-Mercapto-4-methylpentan-2-one, was spiked into treated beers, and the rate of oxidative loss was monitored during aging. Rates of thiol loss in treated beer samples did not differ across CBF treatments but were significantly lower in unhopped controls in the absence of yeast (p < 0.0001) and correlated significantly with total manganese content of the beers (R2 = 0.4228, p = 0.0006). The rate of staling in hopped beers as measured by the rate of 1-hydroxyethyl radical generation did not differ among hop treatments, suggesting that excess copper content contributed from the hops does not negatively impact the oxidative stability of the beers. These findings suggest that brewers can use CBF-treated hops without any negative implications for the shelf stability of their beers and do not contraindicate the use of CBF in hops production when necessary. Full article
(This article belongs to the Special Issue Beer Quality and Flavour)
Show Figures

Graphical abstract

10 pages, 1050 KB  
Article
Measuring Thiols in Single Cultivar South African Red Wines Using 4,4-Dithiodipyridine (DTDP) Derivatization and Ultraperformance Convergence Chromatography-Tandem Mass Spectrometry
by Mpho Mafata, Maria A. Stander, Baptiste Thomachot and Astrid Buica
Foods 2018, 7(9), 138; https://doi.org/10.3390/foods7090138 - 30 Aug 2018
Cited by 21 | Viewed by 6907
Abstract
Wine varietal thiols are important contributors to wine aroma. The chemical nature of thiols makes them difficult to measure due to low concentrations, high sensitivity to oxidation, and low ionization. Methods for the measurement of thiols usually consist of multiple steps of sample [...] Read more.
Wine varietal thiols are important contributors to wine aroma. The chemical nature of thiols makes them difficult to measure due to low concentrations, high sensitivity to oxidation, and low ionization. Methods for the measurement of thiols usually consist of multiple steps of sample preparation followed by instrumental measurement. Studies have collected large datasets of thiols in white wine but not in red wine, due to the lack of availability of suitable methods. In this study, for the first time, convergence chromatography was used to measure thiols in red wine at ultratrace levels with improved sensitivity compared to previous methods. Performance parameters (selectivity, linearity, limits of detection, precision, accuracy) were tested to demonstrate the suitability of the method for the proposed application. Red wine thiols were measured in South African Pinotage, Shiraz, and Cabernet Sauvignon wines (n = 16 each). Cultivar differentiation using the thiol profile was demonstrated. Full article
(This article belongs to the Special Issue Wine Composition and Quality Analysis)
Show Figures

Figure 1

20 pages, 2270 KB  
Article
Quantification of Polyfunctional Thiols in Wine by HS-SPME-GC-MS Following Extractive Alkylation
by Lauren E. Musumeci, Imelda Ryona, Bruce S. Pan, Natalia Loscos, Hui Feng, Michael T. Cleary and Gavin L. Sacks
Molecules 2015, 20(7), 12280-12299; https://doi.org/10.3390/molecules200712280 - 6 Jul 2015
Cited by 25 | Viewed by 9193
Abstract
Analyses of key odorous polyfunctional volatile thiols in wines (3-mercaptohexanol (3-MH), 3-mercaptohexylacetate (3-MHA), and 4-mercapto-4-methyl-2-pentanone (4-MMP)) are challenging due to their high reactivity and ultra-trace concentrations, especially when using conventional gas-chromatography electron impact mass spectrometry (GC-EI-MS). We describe a method in which thiols [...] Read more.
Analyses of key odorous polyfunctional volatile thiols in wines (3-mercaptohexanol (3-MH), 3-mercaptohexylacetate (3-MHA), and 4-mercapto-4-methyl-2-pentanone (4-MMP)) are challenging due to their high reactivity and ultra-trace concentrations, especially when using conventional gas-chromatography electron impact mass spectrometry (GC-EI-MS). We describe a method in which thiols are converted to pentafluorobenzyl (PFB) derivatives by extractive alkylation and the organic layer is evaporated prior to headspace solid phase microextraction (HS-SPME) and GC-EI-MS analysis. Optimal parameters were determined by response surface area modeling. The addition of NaCl solution to the dried SPME vials prior to extraction resulted in up to less than fivefold improvement in detection limits. Using 40 mL wine samples, limits of detection for 4-MMP, 3-MH, and 3-MHA were 0.9 ng/L, 1 ng/L, and 17 ng/L, respectively. Good recovery (90%–109%) and precision (5%–11% RSD) were achieved in wine matrices. The new method was used to survey polyfunctional thiol concentrations in 61 commercial California and New York State wines produced from V. vinifera (Riesling, Gewürztraminer, Cabernet Sauvignon, Sauvignon blanc and non-varietal rosé wines), V. labruscana (Niagara), and Vitis spp. (Cayuga White). Mean 4-MMP concentrations in New York Niagara (17 ng/L) were not significantly different from concentrations in Sauvignon blanc, but were significantly higher than 4-MMP in other varietal wines. Full article
(This article belongs to the Collection Wine Chemistry)
Show Figures

Figure 1

Back to TopTop