error_outline You can access the new MDPI.com website here. Explore and share your feedback with us.
 
 
Sign in to use this feature.

Years

Between: -

Subjects

remove_circle_outline
remove_circle_outline
remove_circle_outline
remove_circle_outline
remove_circle_outline
remove_circle_outline
remove_circle_outline
remove_circle_outline
remove_circle_outline

Journals

Article Types

Countries / Regions

Search Results (38)

Search Parameters:
Keywords = vaccine trade-off

Order results
Result details
Results per page
Select all
Export citation of selected articles as:
16 pages, 4826 KB  
Article
Formulation-Driven Optimization of PEG-Lipid Content in Lipid Nanoparticles for Enhanced mRNA Delivery In Vitro and In Vivo
by Wei Liu, Meihui Zhang, Huiyuan Lv and Chuanxu Yang
Pharmaceutics 2025, 17(8), 950; https://doi.org/10.3390/pharmaceutics17080950 - 22 Jul 2025
Cited by 3 | Viewed by 5062
Abstract
Background: Lipid nanoparticles (LNPs) represent one of the most effective non-viral vectors for nucleic acid delivery and have demonstrated clinical success in siRNA therapies and mRNA vaccines. While considerable research has focused on optimizing ionizable lipids and helper lipids, the impact of [...] Read more.
Background: Lipid nanoparticles (LNPs) represent one of the most effective non-viral vectors for nucleic acid delivery and have demonstrated clinical success in siRNA therapies and mRNA vaccines. While considerable research has focused on optimizing ionizable lipids and helper lipids, the impact of PEGylated lipid content on LNP-mediated mRNA delivery, especially in terms of in vitro transfection efficiency and in vivo performance, remains insufficiently understood. Methods: In this study, LNPs were formulated using a self-synthesized ionizable lipid and varying molar ratios of DMG-PEG2000. Nanoparticles were prepared via nanoprecipitation, and their physicochemical properties, mRNA encapsulation efficiency, cellular uptake, and transfection efficiency were evaluated in HeLa and DC2.4 cells. In vivo delivery efficiency and organ distribution were assessed in mice following intravenous administration. Results: The PEGylated lipid content exerted a significant influence on both the in vitro and in vivo performance of LNPs. A bell-shaped relationship between PEG content and transfection efficiency was observed: 1.5% DMG-PEG2000 yielded optimal mRNA transfection in vitro, while 5% DMG-PEG2000 resulted in the highest transgene expression in vivo. This discrepancy in optimal PEG content may be attributed to the trade-off between cellular uptake and systemic circulation: lower PEG levels enhance cellular internalization, whereas higher PEG levels improve stability and in vivo bioavailability at the expense of cellular entry. Furthermore, varying the PEG-lipid content enabled the partial modulation of organ distribution, offering a formulation-based strategy to influence biodistribution without altering the ionizable lipid structure. Conclusions: This study highlights the critical role of PEGylated lipid content in balancing nanoparticle stability, cellular uptake, and in vivo delivery performance. Our findings provide valuable mechanistic insights and suggest a straightforward formulation-based strategy to optimize LNP/mRNA systems for therapeutic applications. Full article
Show Figures

Graphical abstract

22 pages, 618 KB  
Article
Dynamics of a Symmetric Seasonal Influenza Model with Variable Recovery, Treatment, and Fear Effects
by Rubayyi T. Alqahtani, Abdelhamid Ajbar and Manal Alqhtani
Symmetry 2025, 17(6), 803; https://doi.org/10.3390/sym17060803 - 22 May 2025
Viewed by 935
Abstract
This study proposes and examines the dynamics of a susceptible–exposed–infectious–recovered (SEIR) model for the spread of seasonal influenza. The population is categorized into four distinct groups: susceptible (S), exposed (E), infectious (I), and recovered (R) individuals. The symmetric model integrates a bilinear incidence [...] Read more.
This study proposes and examines the dynamics of a susceptible–exposed–infectious–recovered (SEIR) model for the spread of seasonal influenza. The population is categorized into four distinct groups: susceptible (S), exposed (E), infectious (I), and recovered (R) individuals. The symmetric model integrates a bilinear incidence rate alongside a nonlinear recovery rate that depends on the quality of healthcare services. Additionally, it accounts for the impact of fear related to the disease and includes a constant vaccination rate as well as a nonlinear treatment function. The model advances current epidemiological frameworks by simultaneously accounting for these interrelated mechanisms, which are typically studied in isolation. We derive the expression for the basic reproduction number and analyze the essential stability properties of the model. Key analytical results demonstrate that the system exhibits rich dynamic behavior, including backward bifurcation (where stable endemic equilibria persist even when the basic reproduction number is less than one) and Hopf bifurcation. These phenomena emerge from the interplay between fear-induced suppression of transmission, treatment saturation, and healthcare quality. Numerical simulations using Saudi Arabian demographic and epidemiological data quantify how increased fear perception shrinks the bistability region, facilitating eradication. Healthcare capacity improvements, on the other hand, reduce the critical reproduction number threshold while treatment accessibility suppresses infection loads. The model’s practical significance lies in its ability to identify intervention points where small parameter changes yield disproportionate control benefits and evaluate trade-offs between pharmaceutical (vaccination/treatment) and non-pharmaceutical (fear-driven distancing) strategies. This work establishes a versatile framework for public health decision making and the integrated approach offers policymakers a tool to simulate combined intervention scenarios and anticipate nonlinear system responses that simpler models cannot capture. Full article
(This article belongs to the Special Issue Three-Dimensional Dynamical Systems and Symmetry)
Show Figures

Figure 1

18 pages, 3872 KB  
Article
Prevalence, Molecular Characterization, and Antimicrobial Resistance Profile of Enterotoxigenic Escherichia coli Isolates from Pig Farms in China
by Jiajia Zhu, Zewen Liu, Siyi Wang, Ting Gao, Wei Liu, Keli Yang, Fangyan Yuan, Qiong Wu, Chang Li, Rui Guo, Yongxiang Tian and Danna Zhou
Foods 2025, 14(7), 1188; https://doi.org/10.3390/foods14071188 - 28 Mar 2025
Cited by 4 | Viewed by 1297
Abstract
Enterotoxigenic Escherichia coli (ETEC) poses a critical threat to livestock health and food safety, particularly in regard to misuse of antimicrobial agents, which have accelerated the evolution of multidrug-resistant (MDR) ETEC strains, reshaping their virulence landscapes and epidemiological trajectories. In this study, 24 [...] Read more.
Enterotoxigenic Escherichia coli (ETEC) poses a critical threat to livestock health and food safety, particularly in regard to misuse of antimicrobial agents, which have accelerated the evolution of multidrug-resistant (MDR) ETEC strains, reshaping their virulence landscapes and epidemiological trajectories. In this study, 24 ETEC isolates from porcine diarrheal samples undergo genomic and phenotypic profiling, including virulence genotyping, bacterial adhesion, and antimicrobial resistance (AMR) analysis. Results show that multi-locus sequence typing (MLST) outputs (ST88, ST100) and serotypes (O9:H19, O116:H11, O149:H10) exhibited enhanced virulence, with F18ab-fimbriated strains carrying Shiga toxin genes (stx2A) demonstrating higher cytotoxicity than non-stx strains. There exists a significant negative correlation between bacterial growth rates and intestinal epithelial adhesion, with the expression of ETEC adhesion and virulence genes being growth-time-dependent. These relationships suggest evolutionary trade-offs favoring either rapid proliferation or virulence. Among these isolates, 95.8% were MDR, with alarming resistance to quinolones and aminoglycosides. Geospatial analysis identified region-specific AMR gene clusters, notably oqxB-aac(3) co-occurrence networks in 79% of ETEC isolates. These results highlight the urgent need for precision interventions, including vaccines targeting epidemic serotypes and AMR monitoring systems to disrupt resistance propagation across swine production networks. By underscoring the importance of current virulence and AMR profiles, this study provides actionable strategies to mitigate ETEC-associated threats to both animal welfare and meat safety ecosystems. Full article
Show Figures

Figure 1

17 pages, 2141 KB  
Article
Long-Term Protection in Atlantic Salmon (Salmo salar) to Pancreas Disease (PD) Can Be Achieved Through Immunization with Genetically Modified, Live Attenuated Salmonid Alphavirus 3
by Stine Braaen, Øystein Wessel, Håvard Bjørgen and Espen Rimstad
Vaccines 2025, 13(2), 190; https://doi.org/10.3390/vaccines13020190 - 15 Feb 2025
Cited by 1 | Viewed by 1456
Abstract
Background: Pancreas disease (PD) is a serious disease in European salmonid aquaculture caused by salmonid alphavirus (SAV), of which six genotypes (SAV1–6) have been described. The use of inactivated virus and DNA PD vaccines is common in marine salmonid aquaculture and has [...] Read more.
Background: Pancreas disease (PD) is a serious disease in European salmonid aquaculture caused by salmonid alphavirus (SAV), of which six genotypes (SAV1–6) have been described. The use of inactivated virus and DNA PD vaccines is common in marine salmonid aquaculture and has contributed to a reduction of the occurrence of disease; however, outbreaks are still frequent. Methods: In this study, we compared the long-term protection after immunization of Atlantic salmon (Salmo salar) with three different clones of attenuated infectious SAV3. The clones were made by site-directed mutagenesis targeting the glycoprotein E2 to disrupt the viral attachment and/or nuclear localization signal (NLS) of the capsid protein to disrupt the viral suppression of cellular nuclear-cytosol trafficking. The resulting clones (Clones 1–3) were evaluated after injection of Atlantic salmon for infection dynamics, genetic stability, transmission, and protection against a subsequent SAV3 challenge. Results: Attenuated clones demonstrated reduced virulence, as indicated by lower viral RNA loads, diminished transmission to cohabitant fish, and minimal clinical symptoms compared to the virulent wild-type virus. The clones mutated in both capsid and E2 exhibited the most attenuation, observed as rapid clearing of the infection and showing little transmission, while the clone with glycoprotein E2 mutations displayed greater residual virulence but provided stronger protection, seen as reduced viral loads upon subsequent challenge with SAV3. Despite their attenuation, all viral clones caused significant reductions in weight gain. Conclusions: Despite promising attenuation and protection, this study highlights the trade-offs between virulence and immunogenicity in live vaccine design. Concerns over environmental risks, such as the shedding of genetically modified virus, necessitate further evaluation. Future efforts should optimize vaccine candidates to balance attenuation, immunogenicity, and minimal side effects. Full article
Show Figures

Figure 1

16 pages, 277 KB  
Article
Health Preferences in Transition: Differences from Pandemic to Post-Pandemic in Valuation of COVID-19 and RSV Illness in Children and Adults
by Kerra R. Mercon, Angela M. Rose, Christopher J. Cadham, Acham Gebremariam, Jamison Pike, Eve Wittenberg and Lisa A. Prosser
Children 2025, 12(2), 181; https://doi.org/10.3390/children12020181 - 31 Jan 2025
Cited by 1 | Viewed by 1304
Abstract
Objective: This study aimed to measure changes in preferences regarding health-related quality of life associated with COVID-19 and RSV illness in children and adults from 2021 (during the COVID-19 pandemic) to 2023 (post-pandemic). Methods: A stated-preference survey elicited time trade-off (TTO) values from [...] Read more.
Objective: This study aimed to measure changes in preferences regarding health-related quality of life associated with COVID-19 and RSV illness in children and adults from 2021 (during the COVID-19 pandemic) to 2023 (post-pandemic). Methods: A stated-preference survey elicited time trade-off (TTO) values from US adults in spring 2021 (n = 1014) and summer 2023 (n = 1186). Respondents were asked to indicate how much time they would hypothetically be willing to trade from the end of their life to avoid the effects of varying severities of COVID-19 and RSV illness for: (1) children; (2) parents of an ill child (family spillover); and (3) adults. Attitudes relating to COVID-19 vaccination and data on experience with COVID-19 or RSV illness were also collected. The primary outcome measure was the loss in quality-adjusted life years (QALYs). Changes in preferences over the time period from 2021 to 2023 were evaluated using regression analysis. Results: QALY losses increased with disease severity and were highest for Long COVID. Across all COVID-19 and RSV health states, QALY losses associated with child health states were higher than family spillover or adult health states. In the regression analysis, QALY losses reported in the 2023 survey were significantly lower than 2021 QALY losses for COVID-19, but not RSV. Conclusions: Preferences may change over time in a pandemic context and therefore, economic analyses of pandemic interventions should consider the timeframe of health preference data collection to determine whether they are suitable to include in an economic evaluation. Even with the impacts on health-related quality of life attenuated over time, childhood illnesses still had a measurable impact on caregivers’ quality of life. Full article
(This article belongs to the Section Pediatric Infectious Diseases)
9 pages, 3277 KB  
Article
Congenital Rubella Syndrome Does Not Increase with Introduction of Rubella-Containing Vaccine
by Kurt Frey
Vaccines 2024, 12(7), 811; https://doi.org/10.3390/vaccines12070811 - 22 Jul 2024
Cited by 3 | Viewed by 3074
Abstract
Rubella infection is typically mild or asymptomatic except when infection occurs during pregnancy. Infection in early pregnancy can cause miscarriage, stillbirth, or congenital rubella syndrome. Only individuals that are still susceptible to rubella infection during child-bearing age are vulnerable to this burden. Rubella-containing [...] Read more.
Rubella infection is typically mild or asymptomatic except when infection occurs during pregnancy. Infection in early pregnancy can cause miscarriage, stillbirth, or congenital rubella syndrome. Only individuals that are still susceptible to rubella infection during child-bearing age are vulnerable to this burden. Rubella-containing vaccine (RCV) is safe and effective, providing life-long immunity. However, average age-at-infection increases with increasing vaccination coverage, which could potentially lead to increased disease burden if the absolute risk of infection during child-bearing age increases. The dynamics of rubella transmission were explored using EMOD, a software tool for building stochastic, agent-based infection models. Simulations of pre-vaccine, endemic transmission of rubella virus introduced RCV at varying levels of coverage to determine the expected future trajectories of disease burden. Introducing RCV reduces both rubella virus transmission and disease burden for a period of around 15 years. Increased disease burden is only possible more than a decade post-introduction, and only for contexts with persistently high transmission intensity. Low or declining rubella virus transmission intensity is associated with both greater burden without vaccination and greater burden reduction with vaccination. The risk of resurgent burden due to incomplete vaccination only exists for locations with persistently high infectivity, high connectivity, and high fertility. A trade-off between the risk of a small, future burden increase versus a large, immediate burden decrease strongly favors RCV introduction. Full article
Show Figures

Figure 1

17 pages, 521 KB  
Article
Optimal Social and Vaccination Control in the SVIR Epidemic Model
by Alessandro Ramponi and Maria Elisabetta Tessitore
Mathematics 2024, 12(7), 933; https://doi.org/10.3390/math12070933 - 22 Mar 2024
Cited by 10 | Viewed by 3386
Abstract
In this paper, we introduce an approach to the management of infectious disease diffusion through the formulation of a controlled compartmental SVIR (susceptible–vaccinated–infected–recovered) model. We consider a cost functional encompassing three distinct yet interconnected dimensions: the social cost, the disease cost, and the [...] Read more.
In this paper, we introduce an approach to the management of infectious disease diffusion through the formulation of a controlled compartmental SVIR (susceptible–vaccinated–infected–recovered) model. We consider a cost functional encompassing three distinct yet interconnected dimensions: the social cost, the disease cost, and the vaccination cost. The proposed model addresses the pressing need for optimized strategies in disease containment, incorporating both social control measures and vaccination campaigns. Through the utilization of advanced control theory, we identify optimal control strategies that mitigate disease proliferation while considering the inherent trade-offs among social interventions and vaccination efforts. Finally, we present the results from a simulation-based study employing a numerical implementation of the optimally controlled system through the forward–backward sweep algorithm. The baseline model considered incorporates parameters representative of typical values observed during the recent pandemic outbreak. Full article
(This article belongs to the Special Issue Statistical and Mathematical Modelling of Infectious Diseases)
Show Figures

Figure 1

9 pages, 1521 KB  
Communication
National Immunization Program Decision Making Using the CAPACITI Decision-Support Tool: User Feedback from Indonesia and Ethiopia
by Maarten Jansen, Dijana Spasenoska, Mardiati Nadjib, Desalegn Ararso, Raymond Hutubessy, Anna-Lea Kahn and Philipp Lambach
Vaccines 2024, 12(3), 337; https://doi.org/10.3390/vaccines12030337 - 20 Mar 2024
Cited by 6 | Viewed by 2721
Abstract
To ensure that limited domestic resources are invested in the most effective interventions, immunization programs in low- and middle-income countries (LMICs) must prioritize a growing number of new vaccines while considering opportunities to optimize the vaccine portfolio, as well as other components of [...] Read more.
To ensure that limited domestic resources are invested in the most effective interventions, immunization programs in low- and middle-income countries (LMICs) must prioritize a growing number of new vaccines while considering opportunities to optimize the vaccine portfolio, as well as other components of the health system. There is a strong impetus for immunization decision-making to engage and coordinate various stakeholders across the health system in prioritization. To address this, national immunization program decision-makers in LMICs collaborated with WHO to structure deliberation among stakeholders and document an evidence-based, context-specific, and transparent process for prioritization or selection among multiple vaccination products, services, or strategies. The output of this effort is the Country-led Assessment for Prioritization on Immunization (CAPACITI) decision-support tool, which supports using multiple criteria and stakeholder perspectives to evaluate trade-offs affecting health interventions, taking into account variable data quality. Here, we describe the user feedback from Indonesia and Ethiopia, two initial countries that piloted the CAPACITI decision-support tool, highlighting enabling and constraining factors. Potential immunization program benefits and lessons learned are also summarized for consideration in other settings. Full article
(This article belongs to the Special Issue Estimating Vaccines' Value and Impact)
40 pages, 59561 KB  
Article
Real-Time Epidemiology and Acute Care Need Monitoring and Forecasting for COVID-19 via Bayesian Sequential Monte Carlo-Leveraged Transmission Models
by Xiaoyan Li, Vyom Patel, Lujie Duan, Jalen Mikuliak, Jenny Basran and Nathaniel D. Osgood
Int. J. Environ. Res. Public Health 2024, 21(2), 193; https://doi.org/10.3390/ijerph21020193 - 7 Feb 2024
Cited by 5 | Viewed by 2893
Abstract
COVID-19 transmission models have conferred great value in informing public health understanding, planning, and response. However, the pandemic also demonstrated the infeasibility of basing public health decision-making on transmission models with pre-set assumptions. No matter how favourably evidenced when built, a model with [...] Read more.
COVID-19 transmission models have conferred great value in informing public health understanding, planning, and response. However, the pandemic also demonstrated the infeasibility of basing public health decision-making on transmission models with pre-set assumptions. No matter how favourably evidenced when built, a model with fixed assumptions is challenged by numerous factors that are difficult to predict. Ongoing planning associated with rolling back and re-instituting measures, initiating surge planning, and issuing public health advisories can benefit from approaches that allow state estimates for transmission models to be continuously updated in light of unfolding time series. A model being continuously regrounded by empirical data in this way can provide a consistent, integrated depiction of the evolving underlying epidemiology and acute care demand, offer the ability to project forward such a depiction in a fashion suitable for triggering the deployment of acute care surge capacity or public health measures, and support quantitative evaluation of tradeoffs associated with prospective interventions in light of the latest estimates of the underlying epidemiology. We describe here the design, implementation, and multi-year daily use for public health and clinical support decision-making of a particle-filtered COVID-19 compartmental model, which served Canadian federal and provincial governments via regular reporting starting in June 2020. The use of the Bayesian sequential Monte Carlo algorithm of particle filtering allows the model to be regrounded daily and adapt to new trends within daily incoming data—including test volumes and positivity rates, endogenous and travel-related cases, hospital census and admissions flows, daily counts of dose-specific vaccinations administered, measured concentration of SARS-CoV-2 in wastewater, and mortality. Important model outputs include estimates (via sampling) of the count of undiagnosed infectives, the count of individuals at different stages of the natural history of frankly and pauci-symptomatic infection, the current force of infection, effective reproductive number, and current and cumulative infection prevalence. Following a brief description of the model design, we describe how the machine learning algorithm of particle filtering is used to continually reground estimates of the dynamic model state, support a probabilistic model projection of epidemiology and health system capacity utilization and service demand, and probabilistically evaluate tradeoffs between potential intervention scenarios. We further note aspects of model use in practice as an effective reporting tool in a manner that is parameterized by jurisdiction, including the support of a scripting pipeline that permits a fully automated reporting pipeline other than security-restricted new data retrieval, including automated model deployment, data validity checks, and automatic post-scenario scripting and reporting. As demonstrated by this multi-year deployment of the Bayesian machine learning algorithm of particle filtering to provide industrial-strength reporting to inform public health decision-making across Canada, such methods offer strong support for evidence-based public health decision-making informed by ever-current articulated transmission models whose probabilistic state and parameter estimates are continually regrounded by diverse data streams. Full article
(This article belongs to the Special Issue Machine Learning and Public Health)
Show Figures

Figure 1

27 pages, 2837 KB  
Article
Modeling Supply and Demand Dynamics of Vaccines against Epidemic-Prone Pathogens: Case Study of Ebola Virus Disease
by Donovan Guttieres, Charlot Diepvens, Catherine Decouttere and Nico Vandaele
Vaccines 2024, 12(1), 24; https://doi.org/10.3390/vaccines12010024 - 25 Dec 2023
Cited by 4 | Viewed by 4492
Abstract
Health emergencies caused by epidemic-prone pathogens (EPPs) have increased exponentially in recent decades. Although vaccines have proven beneficial, they are unavailable for many pathogens. Furthermore, achieving timely and equitable access to vaccines against EPPs is not trivial. It requires decision-makers to capture numerous [...] Read more.
Health emergencies caused by epidemic-prone pathogens (EPPs) have increased exponentially in recent decades. Although vaccines have proven beneficial, they are unavailable for many pathogens. Furthermore, achieving timely and equitable access to vaccines against EPPs is not trivial. It requires decision-makers to capture numerous interrelated factors across temporal and spatial scales, with significant uncertainties, variability, delays, and feedback loops that give rise to dynamic and unexpected behavior. Therefore, despite progress in filling R&D gaps, the path to licensure and the long-term viability of vaccines against EPPs continues to be unclear. This paper presents a quantitative system dynamics modeling framework to evaluate the long-term sustainability of vaccine supply under different vaccination strategies. Data from both literature and 50 expert interviews are used to model the supply and demand of a prototypical Ebolavirus Zaire (EBOV) vaccine. Specifically, the case study evaluates dynamics associated with proactive vaccination ahead of an outbreak of similar magnitude as the 2018–2020 epidemic in North Kivu, Democratic Republic of the Congo. The scenarios presented demonstrate how uncertainties (e.g., duration of vaccine-induced protection) and design criteria (e.g., priority geographies and groups, target coverage, frequency of boosters) lead to important tradeoffs across policy aims, public health outcomes, and feasibility (e.g., technical, operational, financial). With sufficient context and data, the framework provides a foundation to apply the model to a broad range of additional geographies and priority pathogens. Furthermore, the ability to identify leverage points for long-term preparedness offers directions for further research. Full article
(This article belongs to the Special Issue Vaccination Strategies for Global Public Health)
Show Figures

Figure 1

13 pages, 969 KB  
Article
The Interplay of Perceived Risks and Benefits in Deciding to Become Vaccinated against COVID-19 While Pregnant or Breastfeeding: A Cross-Sectional Study in Italy
by Teresa Gavaruzzi, Marta Caserotti, Roberto Bonaiuti, Paolo Bonanni, Giada Crescioli, Mariarosaria Di Tommaso, Niccolò Lombardi, Lorella Lotto, Claudia Ravaldi, Enrico Rubaltelli, Alessandra Tasso, Alfredo Vannacci and Paolo Girardi
J. Clin. Med. 2023, 12(10), 3469; https://doi.org/10.3390/jcm12103469 - 15 May 2023
Cited by 2 | Viewed by 3182
Abstract
The present study examined the role of the perception of risks and benefits for the mother and her babies in deciding about the COVID-19 vaccination. In this cross-sectional study, five hypotheses were tested using data from a convenience sample of Italian pregnant and/or [...] Read more.
The present study examined the role of the perception of risks and benefits for the mother and her babies in deciding about the COVID-19 vaccination. In this cross-sectional study, five hypotheses were tested using data from a convenience sample of Italian pregnant and/or breastfeeding women (N = 1104, July–September 2021). A logistic regression model estimated the influence of the predictors on the reported behavior, and a beta regression model was used to evaluate which factors influenced the willingness to become vaccinated among unvaccinated women. The COVID-19 vaccination overall risks/benefits tradeoff was highly predictive of both behavior and intention. Ceteris paribus, an increase in the perception of risks for the baby weighed more against vaccination than a similar increase in the perception of risks for the mother. Additionally, pregnant women resulted in being less likely (or willing) to be vaccinated in their status than breastfeeding women, but they were equally accepting of vaccination if they were not pregnant. COVID-19 risk perception predicted intention to become vaccinated, but not behavior. In conclusion, the overall risks/benefits tradeoff is key in predicting vaccination behavior and intention, but the concerns for the baby weigh more than those for the mother in the decision, shedding light on this previously neglected aspect. Full article
Show Figures

Figure 1

17 pages, 1004 KB  
Article
Assessing COVID-19 Vaccine Booster Hesitancy Using the Modified 5C Scale in Zhejiang Province, China: A Cross-Sectional Study
by Xuan Deng, Yuchen Zhao, Shenyu Wang, Hanqing He, Zhiping Chen, Yang Zhou, Rui Yan, Xuewen Tang, Yao Zhu and Xiaoping Xu
Vaccines 2023, 11(3), 706; https://doi.org/10.3390/vaccines11030706 - 21 Mar 2023
Cited by 11 | Viewed by 3155
Abstract
Following the rollout of a booster campaign to promote immunity against COVID-19 in China, this study aimed to assess booster hesitancy among adults who were fully vaccinated with primary doses across Zhejiang Province. Firstly, the modified 5C scale developed by a German research [...] Read more.
Following the rollout of a booster campaign to promote immunity against COVID-19 in China, this study aimed to assess booster hesitancy among adults who were fully vaccinated with primary doses across Zhejiang Province. Firstly, the modified 5C scale developed by a German research team was assessed for reliability and validity via a pre-survey in Zhejiang Province. Then, a 30-item questionnaire was established to conduct online and offline surveys during 10 November to 15 December 2021. Demographic characteristics and information on previous vaccination experience, vaccine type of primary doses, attitudes towards booster doses and awareness of SARS-CoV-2 infection were collected. Chi-square tests, pairwise comparison and multivariate logistic regression were performed in data analysis. In total, 4039 valid questionnaires were analyzed, with booster hesitancy of 14.81%. Dissatisfaction with previous vaccination experience of primary doses (ORs = 1.771~8.025), less confidence in COVID-19 vaccines (OR = 3.511, 95%CI: 2.874~4.310), younger age compared to the elderly aged 51–60 years old (2.382, 1.274~4.545), lower education level (ORs = 1.707~2.100), weaker awareness of social responsibility of prevention and control of COVID-19 (1.587, 1.353~1.859), inconvenience of booster vaccination (1.539, 1.302~1.821), complacency regarding vaccine efficacy as well as self-health status (1.224, 1.056~1.415) and excessive trade-offs before vaccination (1.184, 1.005~1.398) were positively associated with booster hesitancy. Therefore, intelligent means should be strengthened to optimize vaccination services. More influential experts and other significant figures should be supported to promote timely evidence-based information via various media platforms to reduce public hesitancy and increase booster uptake. Full article
Show Figures

Figure 1

18 pages, 4087 KB  
Article
Modeling the Spread of COVID-19 with the Control of Mixed Vaccine Types during the Pandemic in Thailand
by Tanatorn Intarapanya, Apichat Suratanee, Sittiporn Pattaradilokrat and Kitiporn Plaimas
Trop. Med. Infect. Dis. 2023, 8(3), 175; https://doi.org/10.3390/tropicalmed8030175 - 16 Mar 2023
Cited by 1 | Viewed by 3991
Abstract
COVID-19 is a respiratory disease that can spread rapidly. Controlling the spread through vaccination is one of the measures for activating immunization that helps to reduce the number of infected people. Different types of vaccines are effective in preventing and alleviating the symptoms [...] Read more.
COVID-19 is a respiratory disease that can spread rapidly. Controlling the spread through vaccination is one of the measures for activating immunization that helps to reduce the number of infected people. Different types of vaccines are effective in preventing and alleviating the symptoms of the disease in different ways. In this study, a mathematical model, SVIHR, was developed to assess the behavior of disease transmission in Thailand by considering the vaccine efficacy of different vaccine types and the vaccination rate. The equilibrium points were investigated and the basic reproduction number R0 was calculated using a next-generation matrix to determine the stability of the equilibrium. We found that the disease-free equilibrium point was asymptotically stable if, and only if, R0<1, and the endemic equilibrium was asymptotically stable if, and only if, R0>1. The simulation results and the estimation of the parameters applied to the actual data in Thailand are reported. The sensitivity of parameters related to the basic reproduction number was compared with estimates of the effectiveness of pandemic controls. The simulations of different vaccine efficacies for different vaccine types were compared and the average mixing of vaccine types was reported to assess the vaccination policies. Finally, the trade-off between the vaccine efficacy and the vaccination rate was investigated, resulting in the essentiality of vaccine efficacy to restrict the spread of COVID-19. Full article
(This article belongs to the Special Issue Response Strategies for Emerging Infectious Diseases)
Show Figures

Figure 1

26 pages, 1004 KB  
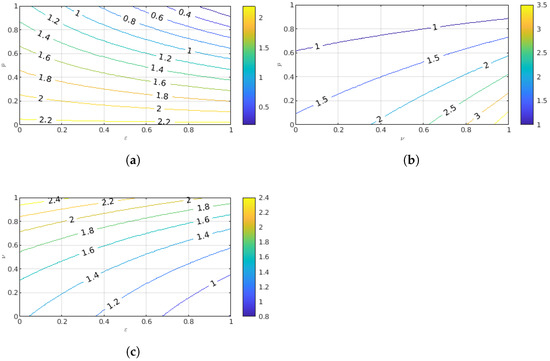
Article
Impact of Imperfect Vaccine, Vaccine Trade-Off and Population Turnover on Infectious Disease Dynamics
by Hetsron L. Nyandjo Bamen, Jean Marie Ntaganda, Aurelien Tellier and Olivier Menoukeu Pamen
Mathematics 2023, 11(5), 1240; https://doi.org/10.3390/math11051240 - 4 Mar 2023
Cited by 3 | Viewed by 2764
Abstract
Vaccination is an essential tool for the management of infectious diseases. However, many vaccines are imperfect, having only a partial protective effect in decreasing disease transmission and/or favouring recovery of infected individuals and possibly exhibiting a trade-off between these two properties. Furthermore, the [...] Read more.
Vaccination is an essential tool for the management of infectious diseases. However, many vaccines are imperfect, having only a partial protective effect in decreasing disease transmission and/or favouring recovery of infected individuals and possibly exhibiting a trade-off between these two properties. Furthermore, the success of vaccination also depends on the population turnover, and the rate of entry to and exit from the population. We here investigate by means of a mathematical model the interplay between these factors to predict optimal vaccination strategies. We first compute the basic reproduction number and study the global stability of the equilibria. We then assess the most influential parameters determining the total number of infected over time using a sensitivity analysis. We derive conditions for the vaccination coverage and efficiency to achieve disease eradication, assuming different intensities of population turnover (weak and strong), vaccine properties (transmission and/or recovery) and the trade-off between the latter. We show that the minimum vaccination coverage increases with lower population turnover decreases with higher vaccine efficiency (transmission or recovery) and is increased/decreased by up to 15% depending on the vaccine trade-off. We conclude that the coverage target for vaccination campaigns should be evaluated based on the interplay between these factors. Full article
(This article belongs to the Section E3: Mathematical Biology)
Show Figures

Figure 1

19 pages, 2105 KB  
Article
How Does Digital Media Search for COVID-19 Influence Vaccine Hesitancy? Exploring the Trade-off between Google Trends, Infodemics, Conspiracy Beliefs and Religious Fatalism
by Jiayue Gao, Syed Hassan Raza, Muhammad Yousaf, Amjad Ali Shah, Iltaf Hussain and Aqdas Malik
Vaccines 2023, 11(1), 114; https://doi.org/10.3390/vaccines11010114 - 3 Jan 2023
Cited by 14 | Viewed by 4265
Abstract
Digital media has remained problematic during COVID-19 because it has been the source of false and unverified facts. This was particularly evident in the widespread misinformation and confusion regarding the COVID-19 vaccine. Past research suggested infodemics, conspiracy beliefs, and religious fatalism as potential [...] Read more.
Digital media has remained problematic during COVID-19 because it has been the source of false and unverified facts. This was particularly evident in the widespread misinformation and confusion regarding the COVID-19 vaccine. Past research suggested infodemics, conspiracy beliefs, and religious fatalism as potential threats to public COVID-19 vaccine hesitancy. However, the literature is primarily void of empirical evidence associating demographic attributes with efforts to build vaccine hesitancy. Therefore, this research uses two studies: (Study 1) Google Trends and (Study 2) survey method to provide inclusive empirical insight into public use of digital media during COVID-19 and the detrimental effects of infodemics, conspiracy beliefs, and religious fatalism as they were related to building COVID-19 vaccine hesitancy. Using Google Trends based on popular keywords the public searched over one year, Study 1 explores public digital media use during COVID-19. Drawing on this exploration, Study 2 used a cross-sectional national representative survey of 2120 adult Pakistanis to describe the influence of potential hazards such as infodemics on public vaccine hesitancy. Study 2 revealed that infodemics, conspiracy beliefs, and religious fatalism predict vaccine hesitancy. In addition, gender moderates the relationship between infodemics and conspiracy beliefs and vaccine hesitancy. This implies that there is a dispositional effect of the infodemics and conspiracy beliefs spread digitally. This study’s findings benefit health and other concerned authorities to help them reduce religious fatalism, vaccine hesitancy, and conspiracy theories with targeted communication campaigns on digital media. Full article
Show Figures

Figure 1

Back to TopTop