Sign in to use this feature.

Years

Between: -

Subjects

remove_circle_outline
remove_circle_outline
remove_circle_outline
remove_circle_outline
remove_circle_outline
remove_circle_outline
remove_circle_outline
remove_circle_outline
remove_circle_outline

Journals

remove_circle_outline
remove_circle_outline
remove_circle_outline
remove_circle_outline
remove_circle_outline
remove_circle_outline
remove_circle_outline
remove_circle_outline
remove_circle_outline
remove_circle_outline
remove_circle_outline
remove_circle_outline
remove_circle_outline
remove_circle_outline

Article Types

Countries / Regions

remove_circle_outline
remove_circle_outline
remove_circle_outline
remove_circle_outline
remove_circle_outline

Search Results (1,020)

Search Parameters:
Keywords = unimodality

Order results
Result details
Results per page
Select all
Export citation of selected articles as:
23 pages, 14603 KB  
Article
A Multi-Modal Decision-Level Fusion Framework for Hypervelocity Impact Damage Classification in Spacecraft
by Kuo Zhang, Chun Yin, Pengju Kuang, Xuegang Huang and Xiao Peng
Sensors 2026, 26(3), 969; https://doi.org/10.3390/s26030969 (registering DOI) - 2 Feb 2026
Abstract
During on-orbit service, spacecraft are subjected to hypervelocity impacts (HVIs) from micrometeoroids and space debris, causing diverse damage types that challenge structural health assessment. Unimodal approaches often struggle with similar damage patterns due to mechanical noise and imaging distance variations. To overcome these [...] Read more.
During on-orbit service, spacecraft are subjected to hypervelocity impacts (HVIs) from micrometeoroids and space debris, causing diverse damage types that challenge structural health assessment. Unimodal approaches often struggle with similar damage patterns due to mechanical noise and imaging distance variations. To overcome these physical limitations, this study proposes a physics-informed multimodal fusion framework. Innovatively, we integrate a distance-aware infrared enhancement strategy with vibration spectral subtraction to align heterogeneous data qualities while employing a dual-stream ResNet coupled with Dempster–Shafer (D-S) evidence theory to rigorously resolve inter-modal conflicts at the decision level. Experimental results demonstrate that the proposed strategy achieves a mean accuracy of 99.01%, significantly outperforming unimodal baselines (92.96% and 97.11%). Notably, the fusion mechanism corrects specific misclassifications in micro-cracks and perforation, ensuring a precision exceeding 96.9% across all categories with high stability (standard deviation 0.74%). These findings validate the efficacy of multimodal fusion for precise on-orbit damage assessment, offering a robust solution for spacecraft structural health monitoring. Full article
(This article belongs to the Topic Advances in Non-Destructive Testing Methods, 3rd Edition)
21 pages, 2562 KB  
Article
Drug–Target Interaction Prediction via Dual-Interaction Fusion
by Xingyang Li, Zepeng Li, Bo Wei and Yuni Zeng
Molecules 2026, 31(3), 498; https://doi.org/10.3390/molecules31030498 - 31 Jan 2026
Viewed by 67
Abstract
Accurate prediction of drug–target interaction (DTI) is crucial for modern drug discovery. However, experimental assays are costly, and many existing computational models still face challenges in capturing multi-scale features, fusing cross-modal information, and modeling fine-grained drug–protein interactions. To address these challenges, We propose [...] Read more.
Accurate prediction of drug–target interaction (DTI) is crucial for modern drug discovery. However, experimental assays are costly, and many existing computational models still face challenges in capturing multi-scale features, fusing cross-modal information, and modeling fine-grained drug–protein interactions. To address these challenges, We propose Gated-Attention Dual-Fusion Drug–Target Interaction (GADFDTI), whose core contribution is a fusion module that constructs an explicit atom–residue similarity field, refines it with a lightweight 2D neighborhood operator, and performs gated bidirectional aggregation to obtain interaction-aware representations. To provide strong and width-aligned unimodal inputs to this fusion module, we integrate a compact multi-scale dense GCN for drug graphs and a masked multi-scale self-attention protein encoder augmented by a narrow 1D-CNN branch for local motif aggregation. Experiments on two benchmarks, Human and C. elegans, show that GADFDTI consistently outperforms several recently proposed DTI models, achieving AUC values of 0.986 and 0.996, respectively, with corresponding gains in precision and recall. A SARS-CoV-2 case study further demonstrates that GADFDTI can reliably prioritize clinically supported antiviral agents while suppressing inactive compounds, indicating its potential as an efficient in silico prescreening tool for lead-target discovery. Full article
19 pages, 1913 KB  
Article
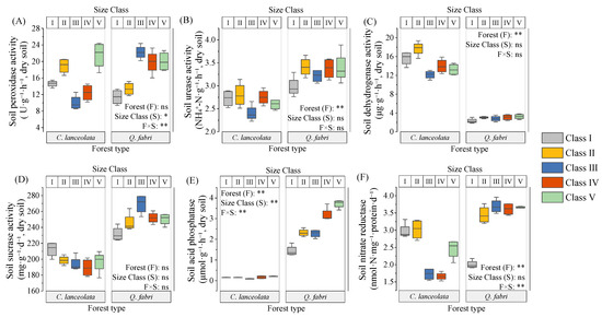
Diameter Class-Dependent Species-Specific Tree–Soil Feedback Linked to Soil Quality Between Cunninghamia lanceolata (Lamb.) Hook. and Quercus fabri Hance in Subtropical Forests
by Gang Lei, Yang Yang, Wenting Li, Tian Chen and Lianghua Qi
Plants 2026, 15(3), 402; https://doi.org/10.3390/plants15030402 - 28 Jan 2026
Viewed by 158
Abstract
The coupling between tree biomass and soil microhabitats is central to subtropical forest soil functioning, yet species- and stage-specific tree–soil interactions remain understudied. This study quantified these interactions in two dominant species—Cunninghamia lanceolata (Lamb.) Hook. (C. lanceolata) and Quercus fabri [...] Read more.
The coupling between tree biomass and soil microhabitats is central to subtropical forest soil functioning, yet species- and stage-specific tree–soil interactions remain understudied. This study quantified these interactions in two dominant species—Cunninghamia lanceolata (Lamb.) Hook. (C. lanceolata) and Quercus fabri Hance (Q. fabri)—across five diameter at breast height (DBH) classes (5–10, 10–15, 15–20, 20–25, 25–30 cm). Soil quality was characterized via the Soil Quality Index (SQI) based on 16 physicochemical and enzyme activity parameters, while random forest models identified biomass importance. Soil properties and enzyme activities varied with diameter class (p < 0.05): C. lanceolata showed a unimodal pattern (minimum at 15–20 cm DBH), whereas Q. fabri increased consistently (peaking at 20–30 cm DBH). The diameter class × species interaction significantly influenced SQI (p < 0.01): Q. fabri showed higher SQI than C. lanceolata at larger DBH, and vice versa at smaller DBH. Aboveground biomass dominated SQI variation in C. lanceolata (weight = 0.57), whereas belowground biomass dominated in Q. fabri (weight = 0.52; model R2 > 0.75). These findings demonstrate that DBH size and species identity jointly shape soil microenvironments, providing a mechanistic basis for informed subtropical forest management. Full article
(This article belongs to the Special Issue Chemical Properties of Soils and its Impact on Plant Growth)
Show Figures

Figure 1

18 pages, 1230 KB  
Article
Radiosensitivity Prediction of Tumor Patient Based on Deep Fusion of Pathological Images and Genomics
by Xuecheng Wu, Ruifen Cao, Zhiyong Tan, Pijing Wei, Yansen Su and Chunhou Zheng
Bioengineering 2026, 13(2), 142; https://doi.org/10.3390/bioengineering13020142 - 27 Jan 2026
Viewed by 218
Abstract
The radiosensitivity of cancer patients determines the efficacy of radiotherapy, and patients with low radiosensitivity cannot benefit from radiotherapy. Therefore, accurately predicting radiosensitivity before treatment is essential for personalized and precise radiotherapy. However, most existing studies rely solely on genomic and clinical features, [...] Read more.
The radiosensitivity of cancer patients determines the efficacy of radiotherapy, and patients with low radiosensitivity cannot benefit from radiotherapy. Therefore, accurately predicting radiosensitivity before treatment is essential for personalized and precise radiotherapy. However, most existing studies rely solely on genomic and clinical features, neglecting the tumor microenvironmental information embedded in histopathological images, which limits prediction accuracy. To address this issue, we propose Resfusion, a deep multimodal fusion framework that integrates patient-level gene expression profiles, clinical records, and histopathological images for tumor radiosensitivity prediction. Specifically, the pre-trained large-scale pathology model is used as an image encoder to extract global representations from whole-slide pathological image. Radiosensitivity-related genes are selected using an autoencoder combined with univariate Cox regression, while clinically relevant variables are manually curated. The three modalities are first concatenated and then refined through a self-attention-based module, which captures inter-feature dependencies within the fused representation and highlights complementary information across modalities. The model was evaluated using five-fold cross-validation on two common tumor datasets suitable for radiotherapy: the Breast Invasive Carcinoma (BRCA) dataset (282 patients in total, with each fold partitioned into 226 training samples and 56 validation samples) and the Head and Neck Squamous Cell Carcinoma (HNSC) dataset (200 patients in total, with each fold partitioned into 161 training samples and 39 validation samples). The average AUC values obtained from the five-fold cross-validation reached 76.83% and 79.49%, respectively. Experimental results demonstrate that the Resfusion model significantly outperforms unimodal methods and existing multimodal fusion methods, verifying its effectiveness in predicting the radiosensitivity of tumor patients. Full article
(This article belongs to the Section Biosignal Processing)
Show Figures

Figure 1

17 pages, 2324 KB  
Article
Influence of Hydrological and Physico-Chemical Variability on Length-Based Recruitment Signals of Abramis brama (Linnaeus, 1758) in the Lower Danube River (2021–2025)
by Angelica Dobre, Maria D. Stroe and Floricel M. Dima
Sustainability 2026, 18(3), 1260; https://doi.org/10.3390/su18031260 - 27 Jan 2026
Viewed by 122
Abstract
This study investigates the population dynamics of the freshwater bream (Abramis brama) in the Lower Danube River between 2021 and 2025, focusing on growth parameters, mortality rates, length-based recruitment estimates, and the influence of hydrological and water physico-chemical factors. A total [...] Read more.
This study investigates the population dynamics of the freshwater bream (Abramis brama) in the Lower Danube River between 2021 and 2025, focusing on growth parameters, mortality rates, length-based recruitment estimates, and the influence of hydrological and water physico-chemical factors. A total of 685 individuals were collected, with an average total length of 31–32 cm and a balanced sex ratio. Growth parameters estimated using the von Bertalanffy Growth Function (VBGF) revealed an asymptotic length (L∞) ranging from 39.9 cm (2021) to 55.7 cm (2024) and growth coefficients (k) between 0.80 and 1.40 year−1. The total mortality (Z) varied from 2.19 to 5.24 year−1, while the exploitation rate (E) reached a maximum of 0.73 in 2025, indicating increased fishing pressure. Length-based recruitment analyses showed a unimodal seasonal pattern, with peak recruitment occurring between June and October and maximum monthly values recorded in September 2025 (29.89%). Pearson correlations indicated that recruitment was positively related to water temperature (r = 0.65) and negatively to average water level (r = –0.63). Recruitment estimates are derived from length-frequency back-calculation and reflect proxies of cohort entry into the exploited stock rather than direct juvenile abundance. These results indicate a consistent seasonal pattern of cohort entry within the exploited component of the population and highlight the role of temperature and river discharge in modulating length-based recruitment signals under variable hydrological conditions. Full article
(This article belongs to the Special Issue Sustainable Fisheries Management and Ecological Protection)
Show Figures

Figure 1

19 pages, 3108 KB  
Article
Enhancing Broiler Weight Prediction via Preprocessed Kernel Density Estimation
by Sangmin Yoo, Yumi Oh and Juwhan Song
Agriculture 2026, 16(2), 279; https://doi.org/10.3390/agriculture16020279 - 22 Jan 2026
Viewed by 108
Abstract
Accurate broiler weight estimation in commercial farms is hindered by noisy scale data and multi-broiler occupancy. To address this challenge, we propose a KDE-based framework enhanced with systematic preprocessing, including coefficient of variation (CV), relative change (ROC), and absolute change (AC). In this [...] Read more.
Accurate broiler weight estimation in commercial farms is hindered by noisy scale data and multi-broiler occupancy. To address this challenge, we propose a KDE-based framework enhanced with systematic preprocessing, including coefficient of variation (CV), relative change (ROC), and absolute change (AC). In this study, kernel density estimation (KDE) is employed not as a predictive model, but as a distributional tool to robustly extract representative flock weight from noisy, high-frequency scale measurements under commercial farm conditions. In the absence of physical ground-truth, our evaluation focused on the framework’s ability to consistently detect the single, representative peak in the KDE distribution. Weekly thresholds were empirically optimized for the preprocessing filters. Results show that the combined ROC + AC method consistently produced unimodal peak distributions and improved the Peak Detection Rate (PDR) from 91.2% (raw data) to 97.9%. Single-Entity Filtering, assisted by cameras, further mitigated density distortions caused by prolonged occupancy, while CV-only and ROC-only filtering yielded less stable representative values. These findings demonstrate that rigorous preprocessing is essential for reliable KDE-based weight estimation under real-world farm conditions. The proposed framework not only improves data quality and stabilizes distributions but also provides a practical foundation for real-time monitoring and AI-driven precision livestock farming models. Full article
(This article belongs to the Section Farm Animal Production)
Show Figures

Figure 1

20 pages, 20223 KB  
Article
Integrating Morphological, Molecular, and Climatic Evidence to Distinguish Two Cryptic Rice Leaf Folder Species and Assess Their Potential Distributions
by Qian Gao, Zhiqian Li, Jihong Tang, Jingyun Zhu, Yan Wu, Baoqian Lyu and Gao Hu
Insects 2026, 17(1), 126; https://doi.org/10.3390/insects17010126 - 22 Jan 2026
Viewed by 184
Abstract
The larvae and damage symptoms of Cnaphalocrocis medinalis and Cnaphalocrocis patnalis exhibit a high degree of similarity, which often leads to confusion between the two species. This has posed challenges for research on their population dynamics and the development of effective control measures. [...] Read more.
The larvae and damage symptoms of Cnaphalocrocis medinalis and Cnaphalocrocis patnalis exhibit a high degree of similarity, which often leads to confusion between the two species. This has posed challenges for research on their population dynamics and the development of effective control measures. To better understand their morphological and damage characteristics, population dynamics, species identification based on COI gene fragments, and potential future distribution, a searchlight trap monitoring program was conducted for C. medinalis and its closely related species C. patnalis across four sites in Longhua, Haitang, and Yazhou districts in Hainan Province from 2021 to 2023. The MaxEnt model was utilized to predict the potential global distribution of both species, incorporating known occurrence points and climate variables. The trapping results revealed that both species reached peak abundance between April and June, with a maximum of 1500 individuals captured in May at Beishan Village, Haitang District. Interannual population fluctuations of both species generally followed a unimodal pattern. Genetic analyses revealed distinct differences in the mitochondrial COI gene fragment, confirming that C. medinalis and C. patnalis are closely related yet distinct species. The population peak of C. patnalis occurred slightly earlier than that of C. medinalis, and its field damage was more severe. Infestations during the booting to heading stages of rice significantly reduced seed-setting rates and overall yield. Model predictions indicated that large areas of southern Eurasia are suitable for the survival of both species, with precipitation during the wettest month identified as the primary environmental factor shaping their potential distributions. At present, moderately and highly suitable habitats for C. medinalis account for 2.50% and 2.27% of the global land area, respectively, whereas those for C. patnalis account for 2.85% and 1.19%. These results highlight that climate change is likely to exacerbate the damage caused by both rice leaf-roller pests, particularly the emerging threat posed by C. patnalis. Overall, this study provides a scientific basis for invasion risk assessment and the development of integrated management strategies targeting the combined impacts of C. medinalis and C. patnalis. Full article
(This article belongs to the Section Insect Pest and Vector Management)
Show Figures

Figure 1

32 pages, 4159 KB  
Article
APT Malware Detection Model Based on Heterogeneous Multimodal Semantic Fusion
by Chaosen Pu and Liang Wan
Appl. Sci. 2026, 16(2), 1083; https://doi.org/10.3390/app16021083 - 21 Jan 2026
Viewed by 172
Abstract
In recent years, Advanced Persistent Threat (APT) malware, with its high stealth, has made it difficult for unimodal detection methods to accurately identify its disguised malicious behaviors. To address this challenge, this paper proposes an APT Malware Detection Model based on Heterogeneous Multimodal [...] Read more.
In recent years, Advanced Persistent Threat (APT) malware, with its high stealth, has made it difficult for unimodal detection methods to accurately identify its disguised malicious behaviors. To address this challenge, this paper proposes an APT Malware Detection Model based on Heterogeneous Multimodal Semantic Fusion (HMSF-ADM). By integrating the API call sequence features of APT malware in the operating system and the RGB image features of PE files, the model constructs multimodal representations with stronger discriminability, thus achieving efficient and accurate identification of APT malicious behaviors. First, the model employs two encoders, namely a Transformer encoder equipped with the DPCFTE module and a CAS-ViT encoder, to encode sequence features and image features, respectively, completing local–global collaborative context modeling. Then, the sequence encoding results and image encoding results are interactively fused via two cross-attention mechanisms to generate fused representations. Finally, a TextCNN-based classifier is utilized to perform classification prediction on the fused representations. Experimental results on two APT malware datasets demonstrate that the proposed HMSF-ADM model outperforms various mainstream multimodal comparison models in core metrics such as accuracy, precision, and F1-score. Notably, the F1-score of the model exceeds 0.95 for the vast majority of APT malware families, and its accuracy and F1-score both remain above 0.986 in the task of distinguishing between ordinary malware and APT malware. Full article
Show Figures

Figure 1

23 pages, 13473 KB  
Article
Automatic Threshold Selection Guided by Maximizing Homologous Isomeric Similarity Under Unified Transformation Toward Unimodal Distribution
by Yaobin Zou, Wenli Yu and Qingqing Huang
Electronics 2026, 15(2), 451; https://doi.org/10.3390/electronics15020451 - 20 Jan 2026
Viewed by 1214
Abstract
Traditional thresholding methods are often tailored to specific histogram patterns, making it difficult to achieve robust segmentation across diverse images exhibiting non-modal, unimodal, bimodal, or multimodal distributions. To address this limitation, this paper proposes an automatic thresholding method guided by maximizing homologous isomeric [...] Read more.
Traditional thresholding methods are often tailored to specific histogram patterns, making it difficult to achieve robust segmentation across diverse images exhibiting non-modal, unimodal, bimodal, or multimodal distributions. To address this limitation, this paper proposes an automatic thresholding method guided by maximizing homologous isomeric similarity under a unified transformation toward unimodal distribution. The primary objective is to establish a generalized selection criterion that functions independently of the input histogram’s pattern. The methodology employs bilateral filtering, non-maximum suppression, and Sobel operators to transform diverse histogram patterns into a unified, right-skewed unimodal distribution. Subsequently, the optimal threshold is determined by maximizing the normalized Renyi mutual information between the transformed edge image and binary contour images extracted at varying levels. Experimental validation on both synthetic and real-world images demonstrates that the proposed method offers greater adaptability and higher accuracy compared to representative thresholding and non-thresholding techniques. The results show a significant reduction in misclassification errors and improved correlation metrics, confirming the method’s effectiveness as a unified thresholding solution for images with non-modal, unimodal, bimodal, or multimodal histogram patterns. Full article
(This article belongs to the Special Issue Image Processing and Pattern Recognition)
Show Figures

Figure 1

14 pages, 1468 KB  
Article
Patterns of Vocal Activity of the Chinese Bamboo Partridge Using BirdNET Analyzer
by Jinjuan Mei, Lingna Li, Wenwen Zhang, Jie Shi, Shengjun Zhao, Fan Yong, Xiaomin Ge, Wenjun Tong, Xu Zhou and Peng Cui
Animals 2026, 16(2), 303; https://doi.org/10.3390/ani16020303 - 19 Jan 2026
Viewed by 233
Abstract
Passive acoustic monitoring (PAM) is an automatic and non-invasive method for long-term monitoring of bird vocal activity. PAM generates a large amount of data, and the automatic recognition of data poses significant challenges. BirdNET is a free-to-use sound algorithm. We evaluated the effectiveness [...] Read more.
Passive acoustic monitoring (PAM) is an automatic and non-invasive method for long-term monitoring of bird vocal activity. PAM generates a large amount of data, and the automatic recognition of data poses significant challenges. BirdNET is a free-to-use sound algorithm. We evaluated the effectiveness of BirdNET in identifying the vocalizations of Chinese Bamboo Partridge (a Chinese endemic species) and proposed a random forest (RF) method to improve the result based on the detection of BirdNET. The diurnal and seasonal patterns of calling activity were described based on the identification results. The results showed that the recall of BirdNET-Analyzer was 16.6%, the precision of BirdNET-Analyzer-XHS was 50.8%, and the recall and precision of the RF model were 75.2% and 74.4%, respectively. The diurnal vocal activity of the Chinese Bamboo Partridge showed a bimodal pattern, with peaks around sunrise and sunset and low vocal activity during the central hours of the day. The seasonal vocal activity displayed a unimodal pattern, with a peak in vocal activity during April and May. This study used the Chinese Bamboo Partridge as an example and proposes an improved RF model, built on BirdNET recognition results, for species identification, providing a practical approach for recognizing the vocalizations of regional species. Full article
(This article belongs to the Section Birds)
Show Figures

Figure 1

20 pages, 1496 KB  
Article
Comparative Performance of Multimodal and Unimodal Large Language Models Versus Multicenter Human Clinical Experts in Aortic Dissection Management
by Evren Ekingen and Mete Ucdal
Diagnostics 2026, 16(2), 323; https://doi.org/10.3390/diagnostics16020323 - 19 Jan 2026
Viewed by 248
Abstract
Background: Multimodal large language models (MLLMs) integrating multiple AI systems and unimodal large language models (LLMs) represent distinct approaches to clinical decision support. Their comparative performance against human clinical experts in complex cardiovascular emergencies remains inadequately characterized. Objective: To compare the performance of [...] Read more.
Background: Multimodal large language models (MLLMs) integrating multiple AI systems and unimodal large language models (LLMs) represent distinct approaches to clinical decision support. Their comparative performance against human clinical experts in complex cardiovascular emergencies remains inadequately characterized. Objective: To compare the performance of a combined MLLM system (GPT-4V + Med-PaLM 2 + BioGPT), a unimodal LLM (ChatGPT-5.2), and human physicians from multiple centers (radiologists, emergency medicine specialists, cardiovascular surgeons) on aortic dissection clinical questions across diagnosis, treatment, and complication management domains. Methods: This multicenter cross-sectional study was conducted across five tertiary care centers in Turkey (Elazığ, Ankara, Antalya). A total of 25 validated multiple-choice questions were categorized into three domains: diagnosis (n = 8), treatment (n = 9), and complication management (n = 8). Questions were administered to the MLLM, ChatGPT-5.2 (Unimodal), and nine physicians from five centers: radiologists (n = 3), emergency medicine specialists (n = 3), and cardiovascular surgeons (n = 3). Statistical comparisons utilized chi-square tests. Results: Overall accuracy was 92.0% for the MLLM and 96.0% for ChatGPT-5.2 (Unimodal). Among human physicians, cardiovascular surgeons achieved 96.0%, radiologists 92.0%, and emergency medicine specialists 89.3%. The MLLM excelled in diagnosis (100%) but showed lower performance in treatment (88.9%) and complication management (87.5%). No significant differences were observed between AI models and human physician groups (all p > 0.05). Conclusions: Both the MLLM and unimodal ChatGPT-5.2 demonstrated performance within the range of human clinical experts in this controlled assessment of aortic dissection scenarios, though definitive conclusions regarding equivalence require larger-scale validation. These findings support further investigation of complementary roles for different AI architectures in clinical decision support. Full article
(This article belongs to the Section Clinical Diagnosis and Prognosis)
Show Figures

Graphical abstract

13 pages, 455 KB  
Article
Eye Gaze Detection Using a Hybrid Multimodal Deep Learning Model for Assistive Technology
by Verdzekov Emile Tatinyuy, Noumsi Woguia Auguste Vigny, Mvogo Ngono Joseph, Fono Louis Aimé and Wirba Pountianus Berinyuy
Appl. Sci. 2026, 16(2), 986; https://doi.org/10.3390/app16020986 - 19 Jan 2026
Viewed by 358
Abstract
This paper presents a novel hybrid multimodal deep learning model for robust and real-time eye gaze estimation. Accurate gaze tracking is essential for advancing human–computer interaction (HCI) and assistive technologies, but existing methods often struggle with environmental variations, require extensive calibration, and are [...] Read more.
This paper presents a novel hybrid multimodal deep learning model for robust and real-time eye gaze estimation. Accurate gaze tracking is essential for advancing human–computer interaction (HCI) and assistive technologies, but existing methods often struggle with environmental variations, require extensive calibration, and are computationally intensive. Our proposed model, GazeNet-HM, addresses these limitations by synergistically fusing features from RGB, depth, and infrared (IR) imaging modalities. This multimodal approach allows the model to leverage complementary information: RGB provides rich texture, depth offers invariance to lighting and aids pose estimation, and IR ensures robust pupil detection. Furthermore, we introduce a personalized adaptation module that dynamically fine-tunes the model to individual users with minimal calibration data. To ensure practical deployment, we employ advanced model compression techniques, enabling real-time inference on resource-constrained embedded systems. Extensive evaluations on public datasets (MPIIGaze, EYEDIAP, Gaze360) and our collected M-Gaze dataset demonstrate that GazeNet-HM achieves state-of-the-art performance, reducing the mean angular error by up to 27.1% compared to leading unimodal methods. After model compression, the system achieves a real-time inference speed of 32 FPS on an embedded Jetson Xavier NX platform. Ablation studies confirm the contribution of each modality and component, highlighting the effectiveness of our holistic design. Full article
Show Figures

Figure 1

21 pages, 5686 KB  
Article
Analysis of Spatiotemporal Characteristics of Lightning Activity in the Beijing-Tianjin-Hebei Region Based on a Comparison of FY-4A LMI and ADTD Data
by Yahui Wang, Qiming Ma, Jiajun Song, Fang Xiao, Yimin Huang, Xiao Zhou, Xiaoyang Meng, Jiaquan Wang and Shangbo Yuan
Atmosphere 2026, 17(1), 96; https://doi.org/10.3390/atmos17010096 - 16 Jan 2026
Viewed by 240
Abstract
Accurate lightning data are critical for disaster warning and climate research. This study systematically compares the Fengyun-4A Lightning Mapping Imager (FY-4A LMI) satellite and the Advanced Time-of-arrival and Direction (ADTD) lightning location network in the Beijing-Tianjin-Hebei (BTH) region (April–August, 2020–2023) using coefficient of [...] Read more.
Accurate lightning data are critical for disaster warning and climate research. This study systematically compares the Fengyun-4A Lightning Mapping Imager (FY-4A LMI) satellite and the Advanced Time-of-arrival and Direction (ADTD) lightning location network in the Beijing-Tianjin-Hebei (BTH) region (April–August, 2020–2023) using coefficient of variation (CV) analysis, Welch’s independent samples t-test, Pearson correlation analysis, and inverse distance weighting (IDW) interpolation. Key results: (1) A significant systematic discrepancy exists between the two datasets, with an annual mean ratio of 0.0636 (t = −5.1758, p < 0.01); FY-4A LMI shows higher observational stability (CV = 5.46%), while ADTD excels in capturing intense lightning events (CV = 28.01%). (2) Both datasets exhibit a consistent unimodal monthly pattern peaking in July (moderately strong positive correlation, r = 0.7354, p < 0.01) but differ distinctly in diurnal distribution. (3) High-density lightning areas of both datasets concentrate south of the Yanshan Mountains and east of the Taihang Mountains, shaped by topography and water vapor transport. This study reveals the three-factor (climatic background, topographic forcing, technical characteristics) coupled regulatory mechanism of data discrepancies and highlights the complementarity of the two datasets, providing a solid scientific basis for satellite-ground data fusion and regional lightning disaster defense. Full article
(This article belongs to the Section Atmospheric Techniques, Instruments, and Modeling)
Show Figures

Figure 1

23 pages, 835 KB  
Review
Prehabilitation in Adult Cancer Patients Undergoing Chemotherapy or Radiotherapy: A Scoping Review
by Dylan Kwan, Wesley Kwan, Anchal Badwal, Tuti Puol, Justin Zou Deng, Raymond Wang, Saad Ahmed, Alexandria Mansfield, Rouhi Fazelzad and Jennifer Jones
Cancers 2026, 18(2), 286; https://doi.org/10.3390/cancers18020286 - 16 Jan 2026
Viewed by 532
Abstract
Purpose: The effectiveness and feasibility of cancer prehabilitation have been well-validated in surgical settings, but its role in non-surgical treatments, such as chemotherapy and radiotherapy (RT), remains unclear. This scoping review aims to systematically explore the existing literature on prehabilitation programs for [...] Read more.
Purpose: The effectiveness and feasibility of cancer prehabilitation have been well-validated in surgical settings, but its role in non-surgical treatments, such as chemotherapy and radiotherapy (RT), remains unclear. This scoping review aims to systematically explore the existing literature on prehabilitation programs for non-surgical cancer treatments. Methods: Following the scoping review methodology developed by the Joanna Briggs Institute, seven databases were systematically searched from their inception to October 2024 for peer-reviewed studies involving prehabilitation prior to non-surgical treatment. Data were extracted and reported adhering to PRISMA-ScR guidelines, using a convergent synthesis design to present qualitative and quantitative evidence. No formal risk-of-bias or quality appraisal was conducted. Results: Of 22,122 studies, 39 met the inclusion criteria, yielding a combined sample of 6073 patients and thirty-four unique interventions. Sample sizes ranged from 9 to 1992, with randomized control trials being the most common (16). Head and neck cancer was the most frequently studied, followed by breast, esophageal/gastric, and lung cancer. Of the included interventions, 23 were unimodal and 16 were multimodal. Exercise was the most common component (30), with nutrition (13), psychosocial (10), and educational (8) components also present. Most efficacy studies (84%) reported improved outcomes and nearly all (93%) feasibility studies found prehabilitation acceptable and implementable. Conclusions: This review highlights a growing body of literature examining prehabilitation prior to chemotherapy or RT in adult cancer patients, with studies suggesting potential benefits and feasibility. However, long-term trials, especially in diverse cancers and older populations, remain scarce. Our results provide insight into future implementation, evaluation of outcomes, and directions for future prehabilitation research. Full article
Show Figures

Figure 1

15 pages, 1857 KB  
Article
Patterns and Drivers of Mountain Meadow Communities Along an Altitudinal Gradient on the Southern Slope of Wutai Mountain, Northern China
by Xiaolong Zhang, Xianmeng Liu, Dingrou Yao, Yongji Wang, Junjie Niu and Yinbo Zhang
Ecologies 2026, 7(1), 9; https://doi.org/10.3390/ecologies7010009 - 15 Jan 2026
Cited by 1 | Viewed by 248 | Correction
Abstract
Understanding how plant community characteristics and soil properties vary along altitudinal gradients is essential for ecosystem conservation, restoration, and for predicting ecosystem responses to global environmental change. This study investigated altitudinal patterns and their potential drivers in mountain meadow communities on the southern [...] Read more.
Understanding how plant community characteristics and soil properties vary along altitudinal gradients is essential for ecosystem conservation, restoration, and for predicting ecosystem responses to global environmental change. This study investigated altitudinal patterns and their potential drivers in mountain meadow communities on the southern slope of Wutai Mountain, Northern China. Community characteristics and soil physicochemical properties were measured along an altitudinal gradient ranging from 1800 to 3000 m a.s.l. Most community characteristics exhibited clear altitudinal trends. Species richness, Shannon–Wiener index, Simpson index, aboveground biomass and average plant height all declined significantly with increasing altitude. In contrast, vegetation cover showed a unimodal pattern, initially decreasing and then increasing at higher elevations. Soil physicochemical properties also varied significantly along the altitudinal gradient and were closely associated with changes in community characteristics. Variation partitioning analysis revealed that environmental factors, including altitude and soil properties, explained 71.9% of the total variation in mountain meadow communities. Altitude alone contributed more to community variation than soil factors, indicating its dominant role in shaping community structure. Nevertheless, specific soil properties, particularly soil depth, soil bulk density and soil pH, also exerted significant influences on community characteristics. Overall, our results demonstrate that altitude is a key driver of both vegetation and soil variation in mountain meadows on the southern slope of Wutai Mountain. In addition to altitudinal effects, soil physicochemical properties should be considered when developing conservation and management strategies for mountain meadow ecosystems. Full article
Show Figures

Graphical abstract

Back to TopTop