Sign in to use this feature.

Years

Between: -

Subjects

remove_circle_outline
remove_circle_outline
remove_circle_outline
remove_circle_outline
remove_circle_outline

Journals

Article Types

Countries / Regions

Search Results (32)

Search Parameters:
Keywords = underactuated surface vessel

Order results
Result details
Results per page
Select all
Export citation of selected articles as:
28 pages, 16333 KB  
Article
Autonomous Navigation Control and Collision Avoidance Decision-Making of an Under-Actuated ASV Based on Deep Reinforcement Learning
by Yiting Wang, Zhiyao Li, Lei Wang and Xuefeng Wang
J. Mar. Sci. Eng. 2025, 13(11), 2108; https://doi.org/10.3390/jmse13112108 - 6 Nov 2025
Viewed by 371
Abstract
For efficient and safe navigation for an autonomous surface vehicle (ASV), this paper proposes an autonomous navigation behavior framework that integrates deep reinforcement learning (DRL) to achieve autonomous decision-making and low-level control actions in path following and collision avoidance. By controlling both the [...] Read more.
For efficient and safe navigation for an autonomous surface vehicle (ASV), this paper proposes an autonomous navigation behavior framework that integrates deep reinforcement learning (DRL) to achieve autonomous decision-making and low-level control actions in path following and collision avoidance. By controlling both the propeller speed and the rudder angle, the policy of each behavior pattern is trained with the soft actor–critic (SAC) algorithm. Moreover, a dynamic obstacle trajectory predictor based on the Kalman filter and the long short-term memory module is developed for obstacle avoidance. Simulations and physical experiments using an under-actuated very large crude carrier (VLCC) model indicate that our DRL-based method produces appreciable performance gains in ASV autonomous navigation under environmental disturbances, which enables forecasting of the expected state of a vessel over a future time and improves the operational efficiency of the navigation process. Full article
(This article belongs to the Special Issue Advanced Control Strategies for Autonomous Maritime Systems)
Show Figures

Figure 1

22 pages, 4713 KB  
Article
Fixed-Time Adaptive Integral Sliding Mode Control for Unmanned Vessel Path Tracking Based on Nonlinear Disturbance Observer
by Qianqiang Chen, Minjie Zheng, Guoquan Chen and Luling Zeng
Appl. Sci. 2025, 15(19), 10368; https://doi.org/10.3390/app151910368 - 24 Sep 2025
Viewed by 436
Abstract
This paper addresses the path tracking problem of underactuated unmanned surface vessels (USVs) in the presence of unknown external disturbances. A fixed-time adaptive integral sliding mode control (AISMC) method, incorporating a nonlinear disturbance observer (NDO), is proposed. Initially, a three-degree-of-freedom dynamic model of [...] Read more.
This paper addresses the path tracking problem of underactuated unmanned surface vessels (USVs) in the presence of unknown external disturbances. A fixed-time adaptive integral sliding mode control (AISMC) method, incorporating a nonlinear disturbance observer (NDO), is proposed. Initially, a three-degree-of-freedom dynamic model of the USV is developed, accounting for external disturbances and model uncertainties. Based on the vessel’s longitudinal and transverse dynamic position errors, a virtual control law is designed to ensure fixed-time convergence, thereby enhancing the position error convergence speed. Next, a fixed-time NDO is introduced to estimate real-time external perturbations, such as wind, waves, and currents. The observed disturbances are fed back into the control system for compensation, thereby improving the system’s disturbance rejection capability. Furthermore, a sliding mode surface is designed using a symbolic function to address the issue of sliding mode surface parameter selection, leading to the development of the adaptive integral sliding mode control strategy. Finally, compared with traditional SMC and PID, the proposed AISMC-NDO offers higher accuracy, faster convergence, and improved robustness in complex marine environments. Full article
(This article belongs to the Section Marine Science and Engineering)
Show Figures

Figure 1

17 pages, 1877 KB  
Article
Obstacle Avoidance Tracking Control of Underactuated Surface Vehicles Based on Improved MPC
by Chunyu Song, Qi Qiao and Jianghua Sui
J. Mar. Sci. Eng. 2025, 13(9), 1603; https://doi.org/10.3390/jmse13091603 - 22 Aug 2025
Viewed by 566
Abstract
This paper addresses the issue of the poor collision avoidance effect of underactuated surface vehicles (USVs) during local path tracking. A virtual ship group control method is suggested by using Freiner coordinates and a model predictive control (MPC) algorithm. We track the planned [...] Read more.
This paper addresses the issue of the poor collision avoidance effect of underactuated surface vehicles (USVs) during local path tracking. A virtual ship group control method is suggested by using Freiner coordinates and a model predictive control (MPC) algorithm. We track the planned path using the MPC algorithm according to the known vessel state and build a hierarchical weighted cost function to handle the state of the virtual vessel, to ensure that the vessel avoids obstacles while tracking the path. In addition, the control system incorporates an Extended Kalman Filter (EKF) algorithm to minimize the state estimation error by continuously updating the ship state and providing more accurate state estimation for the system in a timely manner. In order to validate the anti-interference and robustness of the control system, the simulation experiment is carried out with the “Yukun” as the research object by adding the interference of wind and wave of level 6. The outcome shows that the algorithm suggested in this paper can accurately perform the trajectory-tracking task and make collision avoidance decisions under six levels of external interference. Compared with the original MPC algorithm, the improved MPC algorithm reduces the maximum rudder angle output value by 58%, the integral absolute error by 46%, and the root mean square error value by 46%. The control method provides a new technical choice for trajectory tracking and collision avoidance of USVs in complex marine environments, with a reliable theoretical basis and practical application value. Full article
(This article belongs to the Special Issue Control and Optimization of Ship Propulsion System)
Show Figures

Figure 1

25 pages, 12171 KB  
Article
Multi-Strategy Fusion Path Planning Algorithm for Autonomous Surface Vessels with Dynamic Obstacles
by Yongshun Xie, Chengyong Liu, Yixiong He, Yong Ma and Kang Liu
J. Mar. Sci. Eng. 2025, 13(7), 1357; https://doi.org/10.3390/jmse13071357 - 17 Jul 2025
Viewed by 754
Abstract
Considering the complexity and variability inherent in maritime environments, path planning algorithms for navigation have consistently been a subject of intense research interest. Nonetheless, single-algorithm approaches often exhibit inherent limitations. Consequently, this study introduces a path planning algorithm for autonomous surface vessels (ASVs) [...] Read more.
Considering the complexity and variability inherent in maritime environments, path planning algorithms for navigation have consistently been a subject of intense research interest. Nonetheless, single-algorithm approaches often exhibit inherent limitations. Consequently, this study introduces a path planning algorithm for autonomous surface vessels (ASVs) that integrates an improved fast marching method (FMM) with the dynamic window approach (DWA) for underactuated ASVs. The enhanced FMM improves the overall optimality and safety of the determined path in comparison to the conventional approach. Concurrently, it effectively merges the local planning strengths of the DWA algorithm, addressing the safety re-planning needs of the global path when encountering dynamic obstacles, thus augmenting path tracking accuracy and navigational stability. The efficient hybrid algorithm yields notable improvements in the path planning success rate, obstacle avoidance efficacy, and path smoothness compared with the isolated employment of either FMM or DWA, demonstrating superiority and practical applicability in maritime scenarios. Through a comprehensive analysis of its control output, the proposed integrated algorithm accomplishes efficient obstacle avoidance via agile control of angular velocity while preserving navigational stability and achieves path optimization through consistent acceleration adjustments, thereby asserting its superiority and practical worth in challenging maritime environments. Full article
(This article belongs to the Section Ocean Engineering)
Show Figures

Figure 1

20 pages, 6408 KB  
Article
Constrained Nonlinear MPC with Rudder-Roll Stabilization for Integrated Path Following and Collision Avoidance in Underactuated Surface Vessels
by Wei Li and Hanyun Zhou
J. Mar. Sci. Eng. 2025, 13(3), 468; https://doi.org/10.3390/jmse13030468 - 27 Feb 2025
Viewed by 781
Abstract
This study develops a constrained nonlinear model predictive control (NMPC) framework, integrating rudder roll stabilization to address coupled path-following and collision avoidance challenges for underactuated surface vessels (USVs). The compact state-space model integrates both navigational states and roll dynamics through augmentation, facilitating real-time [...] Read more.
This study develops a constrained nonlinear model predictive control (NMPC) framework, integrating rudder roll stabilization to address coupled path-following and collision avoidance challenges for underactuated surface vessels (USVs). The compact state-space model integrates both navigational states and roll dynamics through augmentation, facilitating real-time optimization of the trade-off between safety margins for roll movements and path-following accuracy. Given that excessive roll movement during obstacle avoidance in the USV path following can readily lead to USV capsizing, the NMPC approach is employed to explicitly address multiple constraints, including obstacle avoidance constraint, roll movement safety, and control input rudder angle constraints, thereby achieving precise path following for the rudder-roll reduction control system. Different from traditional methods that adhere to a pre-planned obstacle avoidance path, the proposed NMPC approach formulates obstacle avoidance as a nonlinear inequality constraint, significantly enhancing the maneuverability of the USV during obstacle avoidance. To validate the effectiveness of the proposed algorithm, the stability and optimality of the rudder-roll reduction control system are analyzed. The advantages of the proposed algorithm are ultimately demonstrated through both theoretical analysis and simulation results. Full article
(This article belongs to the Section Ocean Engineering)
Show Figures

Figure 1

25 pages, 6353 KB  
Article
Fractional-Order Controller for the Course Tracking of Underactuated Surface Vessels Based on Dynamic Neural Fuzzy Model
by Guangyu Li, Yanxin Li, Xiang Li, Mutong Liu, Xuesong Zhang and Hua Jin
Fractal Fract. 2024, 8(12), 720; https://doi.org/10.3390/fractalfract8120720 - 5 Dec 2024
Cited by 3 | Viewed by 1079
Abstract
Aiming at the uncertainty problem caused by the time-varying modeling parameters associated with ship speed in the course tracking control of underactuated surface vessels (USVs), this paper proposes a control algorithm based on the dynamic neural fuzzy model (DNFM). The DNFM simultaneously adjusts [...] Read more.
Aiming at the uncertainty problem caused by the time-varying modeling parameters associated with ship speed in the course tracking control of underactuated surface vessels (USVs), this paper proposes a control algorithm based on the dynamic neural fuzzy model (DNFM). The DNFM simultaneously adjusts the structure and parameters during learning and fully approximates the inverse dynamics of ships. Online identification and modeling lays the model foundation for ship motion control. The trained DNFM, serving as an inverse controller, is connected in parallel with the fractional-order PIλDμ controller to be used for the tracking control of the ship’s course. Moreover, the weights of the model can be further adjusted during the course tracking. Taking the actual ship data of a 5446 TEU large container ship, simulation experiments are conducted, respectively, for course tracking, course tracking under wind and wave interferences, and comparison with five different controllers. This proposed controller can overcome the influence of the uncertainty of modeling parameters, tracking the desired course quickly and effectively. Full article
(This article belongs to the Special Issue Applications of Fractional-Order Systems to Automatic Control)
Show Figures

Figure 1

20 pages, 8044 KB  
Article
Distributed Improved RILOS Guidance-Based Formation Control of Underactuated ASVs for Cooperative Maritime Search
by Weili Guo, Cheng Liu, Feng Xu and Ting Sun
J. Mar. Sci. Eng. 2024, 12(11), 1911; https://doi.org/10.3390/jmse12111911 - 25 Oct 2024
Cited by 1 | Viewed by 1090
Abstract
A distributed improved robust integral line-of-sight (RILOS) guidance-based sliding mode controller is designed for multiple underactuated autonomous surface vessels (ASVs) to perform cooperative maritime search operations. First, a parallel circle search pattern is designed based on the detection range of ASVs, which can [...] Read more.
A distributed improved robust integral line-of-sight (RILOS) guidance-based sliding mode controller is designed for multiple underactuated autonomous surface vessels (ASVs) to perform cooperative maritime search operations. First, a parallel circle search pattern is designed based on the detection range of ASVs, which can provide the reference formation shape. Second, an improved RILOS method is presented by introducing an integral term into the improved robust LOS method, which can counteract the disadvantageous effect of the unknown sideslip angle and kinematic discrepancy simultaneously. Third, distributed improved RILOS guidance is presented by integrating the extended second-order consensus algorithm into the improved RILOS method; then, the desired heading angle and desired velocity are generated for the control system simultaneously. Finally, the fuzzy logic system is integrated into the sliding mode control (SMC) method to approximate the unknown nonlinear function; then, a distributed improved RILOS guidance-based SMC controller is presented for multiple ASVs. The closed-loop signals are proved to be stable by the Lyapunov theory. The effectiveness of the presented method is verified by multiple simulations. Full article
(This article belongs to the Special Issue Optimal Maneuvering and Control of Ships—2nd Edition)
Show Figures

Figure 1

19 pages, 5629 KB  
Article
A Model-Free Adaptive Positioning Control Method for Underactuated Unmanned Surface Vessels in Unknown Ocean Currents
by Zihe Qin, Feng Zhang, Wenlin Xu, Yu Chen and Jinyu Lei
J. Mar. Sci. Eng. 2024, 12(10), 1801; https://doi.org/10.3390/jmse12101801 - 9 Oct 2024
Viewed by 1318
Abstract
Aiming to address the problem of underactuated unmanned surface vehicles (USVs) performing fixed-point operations at sea without dynamic positioning control systems, this paper introduces an original approach to positioning control: the virtual anchor control method. This method is applicable in environments with currents [...] Read more.
Aiming to address the problem of underactuated unmanned surface vehicles (USVs) performing fixed-point operations at sea without dynamic positioning control systems, this paper introduces an original approach to positioning control: the virtual anchor control method. This method is applicable in environments with currents that change slowly and does not require prior knowledge of current information or vessel motion model parameters, thus offering convenient usability. This method comprises four steps. First, a concise linear motion model with unknown disturbances is proposed. Then, a motion planning law is designed by imitating underlying principles of ship anchoring. Next, an adaptive disturbance observer is proposed to estimate uncertainties in the motion model. In the last step, based on the observer, a sliding-mode method is used to design a heading control law, and a thrust control law is also designed by applying the Lyapunov method. Numerical simulation experiments with significant disturbances and tidal current variations are conducted, which demonstrate that the proposed method has a good control effect and is robust. Full article
Show Figures

Figure 1

20 pages, 3696 KB  
Article
Quasi-Infinite Horizon Model Predictive Control with Fixed-Time Disturbance Observer for Underactuated Surface Vessel Path Following
by Wei Li, Hanyun Zhou and Jun Zhang
J. Mar. Sci. Eng. 2024, 12(6), 967; https://doi.org/10.3390/jmse12060967 - 8 Jun 2024
Cited by 2 | Viewed by 1431
Abstract
As a flexible, autonomous and intelligent motion platform, underactuated surface vessels (USVs) are expected to be an ideal means of transport in dangerous and complex marine environments. The success and efficiency of maritime missions performed by USVs depend on their ability to accurately [...] Read more.
As a flexible, autonomous and intelligent motion platform, underactuated surface vessels (USVs) are expected to be an ideal means of transport in dangerous and complex marine environments. The success and efficiency of maritime missions performed by USVs depend on their ability to accurately follow paths and remain robust against wind and wave disturbances. To this end, this paper focuses on accurate and robust path following control for USVs under wave disturbances. Model predictive control with a quasi-infinite horizon is proposed which converts the objective function from an infinite horizon to an approximate finite horizon, providing the convergence performance in long prediction horizons and reducing the computation load explicitly. To enhance robustness against disturbances, a fixed-time disturbance observer is applied to estimate the time-varying and bounded disturbances. The estimated value is provided to the controller input to form a robust control framework with disturbance feedforward compensation and predictive control feedback correction, which is substantially different from existing works. The convergence and optimality of the proposed algorithm are presented mathematically. Finally, we demonstrate the advantages of the algorithm in both theory and simulation. Full article
(This article belongs to the Section Ocean Engineering)
Show Figures

Figure 1

19 pages, 3219 KB  
Article
The Non-Singular Terminal Sliding Mode Control of Underactuated Unmanned Surface Vessels Using Biologically Inspired Neural Network
by Donghao Xu, Zelin Li, Ping Xin and Xueqian Zhou
J. Mar. Sci. Eng. 2024, 12(1), 112; https://doi.org/10.3390/jmse12010112 - 7 Jan 2024
Cited by 10 | Viewed by 1894
Abstract
Underactuated Unmanned Surface Vessels (USVs) are widely used in civil and military fields due to their small size and high flexibility, and trajectory tracking control is a critical research area for underactuated USVs. This paper proposes a trajectory tracking control strategy using the [...] Read more.
Underactuated Unmanned Surface Vessels (USVs) are widely used in civil and military fields due to their small size and high flexibility, and trajectory tracking control is a critical research area for underactuated USVs. This paper proposes a trajectory tracking control strategy using the Biologically Inspired Neural Network (BINN) for USVs to improve tracking speed and accuracy. A virtual control law is designed to obtain the required virtual velocity for trajectory tracking control, in which the velocity error is calibrated to ensure that the position error converges to zero. To observe and compensate for unknown and complex environmental disturbances such as wind, waves, and currents, a nonlinear extended state observer (NESO) is designed. Then, a controller based on Non-singular Terminal Sliding Mode (NTSM) is designed to resolve the problems of singular value and controller chattering and to improve the controller response speed. A BINN is introduced to simplify the process of differentiation, reduce the input values of the initial state, and solve the problem of thruster input saturation. Finally, the Lyapunov stability theory is utilized to analyze the stability of the proposed algorithm. The simulation results show that the proposed algorithm has a higher trajectory tracking accuracy and speed than traditional methods. Full article
(This article belongs to the Section Ocean Engineering)
Show Figures

Figure 1

18 pages, 3385 KB  
Article
Model Predictive Control Based on State Space and Risk Augmentation for Unmanned Surface Vessel Trajectory Tracking
by Wei Li, Jun Zhang, Fang Wang and Hanyun Zhou
J. Mar. Sci. Eng. 2023, 11(12), 2283; https://doi.org/10.3390/jmse11122283 - 30 Nov 2023
Cited by 9 | Viewed by 2552
Abstract
The underactuated unmanned surface vessel (USV) has been identified as a promising solution for future maritime transport. However, the challenges of precise trajectory tracking and obstacle avoidance remain unresolved for USVs. To this end, this paper models the problem of path tracking through [...] Read more.
The underactuated unmanned surface vessel (USV) has been identified as a promising solution for future maritime transport. However, the challenges of precise trajectory tracking and obstacle avoidance remain unresolved for USVs. To this end, this paper models the problem of path tracking through the first-order Nomoto model in the Serret–Frenet coordinate system. A novel risk model has been developed to depict the association between USVs and obstacles based on SFC. Combined with an artificial potential field that accounts for environmental obstacles, model predictive control (MPC) based on state space is employed to achieve the optimal control sequence. The stability of the designed controller is demonstrated by means of the Lyapunov method and zero-pole analysis. Through simulation, it has been demonstrated that the controller is asymptotically stable concerning track error deviation, heading angle deviation, and heading angle speed, and its good stability and robustness in the presence of multiple risks are verified. Full article
(This article belongs to the Section Ocean Engineering)
Show Figures

Figure 1

16 pages, 3193 KB  
Article
Neural Network-Based Adaptive Sigmoid Circular Path-Following Control for Underactuated Unmanned Surface Vessels under Ocean Disturbances
by Yi Ren, Lei Zhang, Wenbin Huang and Xi Chen
J. Mar. Sci. Eng. 2023, 11(11), 2160; https://doi.org/10.3390/jmse11112160 - 13 Nov 2023
Cited by 5 | Viewed by 1824
Abstract
This study describes a circular curve path-following controller for an underactuated unmanned surface vessel (USV) experiencing unmodeled dynamics and external disturbances. Initially, a three degrees of freedom kinematic model of the USV is proposed for marine environmental disturbances and internal model parameter deterrence. [...] Read more.
This study describes a circular curve path-following controller for an underactuated unmanned surface vessel (USV) experiencing unmodeled dynamics and external disturbances. Initially, a three degrees of freedom kinematic model of the USV is proposed for marine environmental disturbances and internal model parameter deterrence. Then, the circular path guidance law and controller are designed to ensure that the USV can move along the desired path. During the design process, a proportional derivative (PD)-based sigmoid fuzzy function is applied to adjust the guidance law. To accommodate unknown system dynamics and perturbations, a radial basis function neural network and adaptive updating laws are adopted to design the surge motion and yaw motion controllers, estimating the unmodeled hydrodynamic coefficients and external disturbances. Theoretical analysis shows that tracking errors are uniformly ultimately bounded (UUB), and the closed-loop system is asymptotically stable. Finally, the simulation results show that the proposed controller can achieve good control effects while ensuring tracking accuracy and demonstrating satisfactory disturbance rejection capability. Full article
Show Figures

Figure 1

23 pages, 8041 KB  
Article
Affine Formation Maneuver Control for Multi-Heterogeneous Unmanned Surface Vessels in Narrow Channel Environments
by Yeye Liu, Xiaogong Lin and Chao Zhang
J. Mar. Sci. Eng. 2023, 11(9), 1811; https://doi.org/10.3390/jmse11091811 - 16 Sep 2023
Cited by 11 | Viewed by 2345
Abstract
This paper investigates the affine formation maneuver control for multi-heterogeneous unmanned surface vessels (USV), aiming to enable them to navigate through narrow channels in the near-sea environment. The approach begins with implementing an affine transformation to facilitate flexible configuration adjustments within the formation [...] Read more.
This paper investigates the affine formation maneuver control for multi-heterogeneous unmanned surface vessels (USV), aiming to enable them to navigate through narrow channels in the near-sea environment. The approach begins with implementing an affine transformation to facilitate flexible configuration adjustments within the formation system. The affine transformation of the entire formation is achieved by controlling the leaders’ positions. Second, this article introduces an anti-perturbation formation tracking controller for the underactuated vessels, which assume the role of leaders, to accurately follow the arbitrary formation transformation. Third, the followers consist of fully actuated vessels with the same kinematic model as the leaders but different dynamic models. This paper utilizes the affine localizability theorem to derive an expected virtual time-varying trajectory based on the leaders’ trajectory. The followers achieve the desired formation maneuver control by tracking this expected virtual time-varying trajectory through an anti-perturbation formation tracking controller. Finally, the efficacy of the introduced control law is confirmed and supported by the results obtained from rigorous simulation experiments. Full article
(This article belongs to the Section Ocean Engineering)
Show Figures

Figure 1

20 pages, 4739 KB  
Article
Event-Triggered Finite-Time Formation Control of Underactuated Multiple ASVs with Prescribed Performance and Collision Avoidance
by Xuehong Tian, Jianfei Lin, Haitao Liu and Xiuying Huang
Sensors 2023, 23(15), 6756; https://doi.org/10.3390/s23156756 - 28 Jul 2023
Cited by 2 | Viewed by 1604
Abstract
In this paper, an event-triggered finite-time controller is proposed for solving the formation control problems of underactuated multiple autonomous surface vessels (ASVs), including asymmetric mass matrix, collision avoidance, maintaining communication distances and prescribed performance. First, to not only avoid collisions between the follower [...] Read more.
In this paper, an event-triggered finite-time controller is proposed for solving the formation control problems of underactuated multiple autonomous surface vessels (ASVs), including asymmetric mass matrix, collision avoidance, maintaining communication distances and prescribed performance. First, to not only avoid collisions between the follower and leader but also maintain an effective communication distance, a desired tracking distance is designed to be maintained. Second, an improved barrier Lyapunov function (BLF) is proposed to implement the tracking error constraint. In addition, the relative threshold event-triggering strategy effectively solves the communication pressure problem and greatly saves communication resources. Finally, based on coordinate transformation, line of sight (LOS) and dynamic surface control (DSC), a comprehensive finite-time formation control method is proposed to avoid collisions and maintain communication distance. All the signals of the proposed control system can be stabilized in finite time (PFS). The numerical simulation results verify the effectiveness of the proposed control system. Full article
(This article belongs to the Section Sensors and Robotics)
Show Figures

Figure 1

26 pages, 5547 KB  
Article
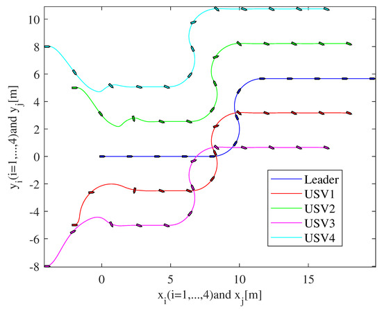
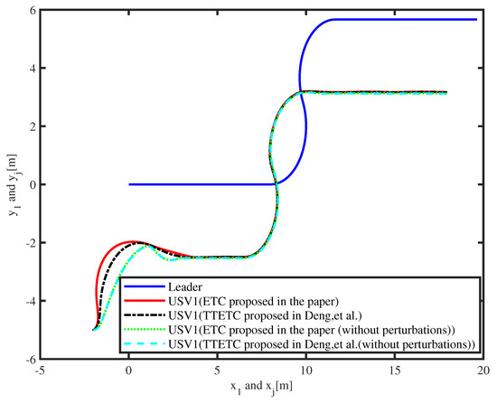
Leader–Follower Formation Tracking Control of Underactuated Surface Vehicles Based on Event-Trigged Control
by Xiaoming Xia, Zhaodi Yang and Tianxiang Yang
Appl. Sci. 2023, 13(12), 7156; https://doi.org/10.3390/app13127156 - 15 Jun 2023
Cited by 6 | Viewed by 1729
Abstract
This paper investigates the leader–follower formation tracking control of underactuated surface vessels (USVs) with input saturation. Each vessel is subject to the uncertainties induced by model uncertainties and environmental disturbances. First, an event-triggered extended-state observer (ETESO) is used to recover the velocity, yaw [...] Read more.
This paper investigates the leader–follower formation tracking control of underactuated surface vessels (USVs) with input saturation. Each vessel is subject to the uncertainties induced by model uncertainties and environmental disturbances. First, an event-triggered extended-state observer (ETESO) is used to recover the velocity, yaw rate and uncertainties. Then, an estimator is used to estimate the velocity of the leader. An event-triggered controller (ETC) is constructed based on the estimator, the observer and extra variables. Specifically, extra variables are used to solve the problems of underactuation and input saturation. Stability analysis of the control system is conducted to prove that all signals are bounded. Simulations demonstrate that the ETESO can accurately estimate the uncertainties, velocity and yaw rate, and the ETC can largely reduce the action times of actuator. Full article
(This article belongs to the Section Marine Science and Engineering)
Show Figures

Figure 1

Back to TopTop