Quasi-Infinite Horizon Model Predictive Control with Fixed-Time Disturbance Observer for Underactuated Surface Vessel Path Following
Abstract
1. Introduction
- (1)
- In this paper, a state-of-the-art state space control model considering time-varying wave disturbances is established for USV path following, in which the states of tracking error, heading angle, heading angular velocity and disturbance are taken into account.
- (2)
- A QiH-MPC is proposed that provides convergence performance in long prediction horizons, and it explicitly reduces the computational burden due to the fact that it converts the objective function from an infinite horizon to an approximate finite horizon. Moreover, the convergence of the proposed algorithm is given mathematically.
- (3)
- Through the application of the fixed-time disturbance observer, the disturbance estimation is compensated in the controller input to form a robust control framework with disturbance feedforward compensation and predictive control feedback correction, which differs significantly from previous state-of-the-art works. This is of great value for the determination of optimal control actions for robust USV path following.
2. System Modeling
2.1. Path following Description of USV
2.2. State Space Model of USV Path Following
2.3. QiH-MPC with Disturbance Compensation Framework
- (1)
- The feedback control strategy with QiH-MPC aims to obtain the optimal control law for USV path following. Specifically, the terminal cost term of finite time domain optimization in conventional MPC is re-constructed based on the linear quadratic regulator optimization. This approximation maintains the predictive performance of conventional MPC and reduces the amount of online computation significantly.
- (2)
- To improve the accuracy of the prediction model and the ability to suppress the wave disturbance, a fixed-time observer is proposed to estimate aggregate disturbances efficiently. The prediction model incorporates the estimation of aggregate disturbances, encompassing time-varying wave and nonlinear convolution terms of heading angle velocity, to improve the system’s resilience within a fixed time frame.
3. QiH-MPC for USV Path Following
4. Fixed-Time Observer (FTO) for Disturbance Estimation
5. Convergence Analysis
6. Simulations
6.1. Performance of QiH-MPC for USV Path Following
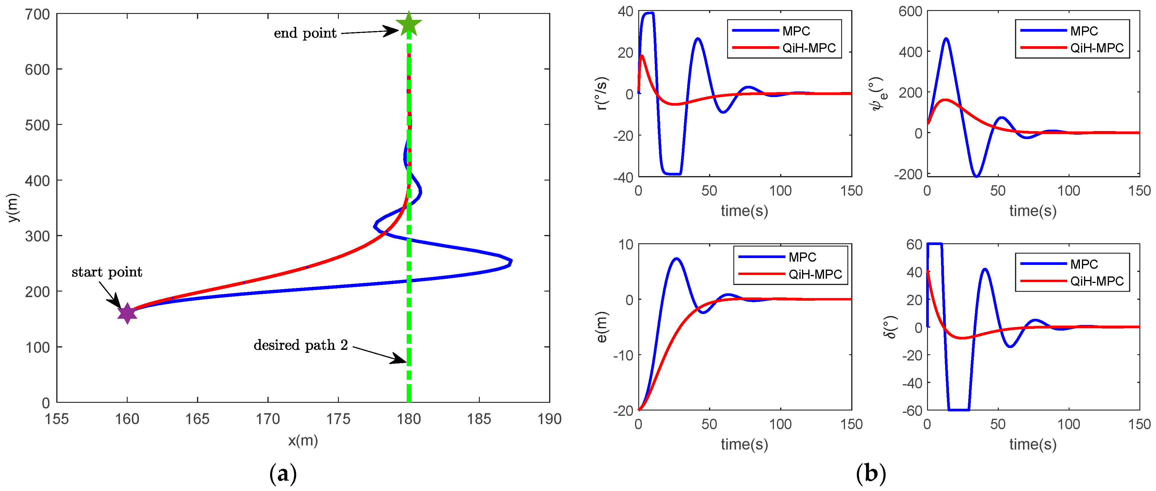
6.2. Comparisons between Proposed Algorithm and Conventional MPC
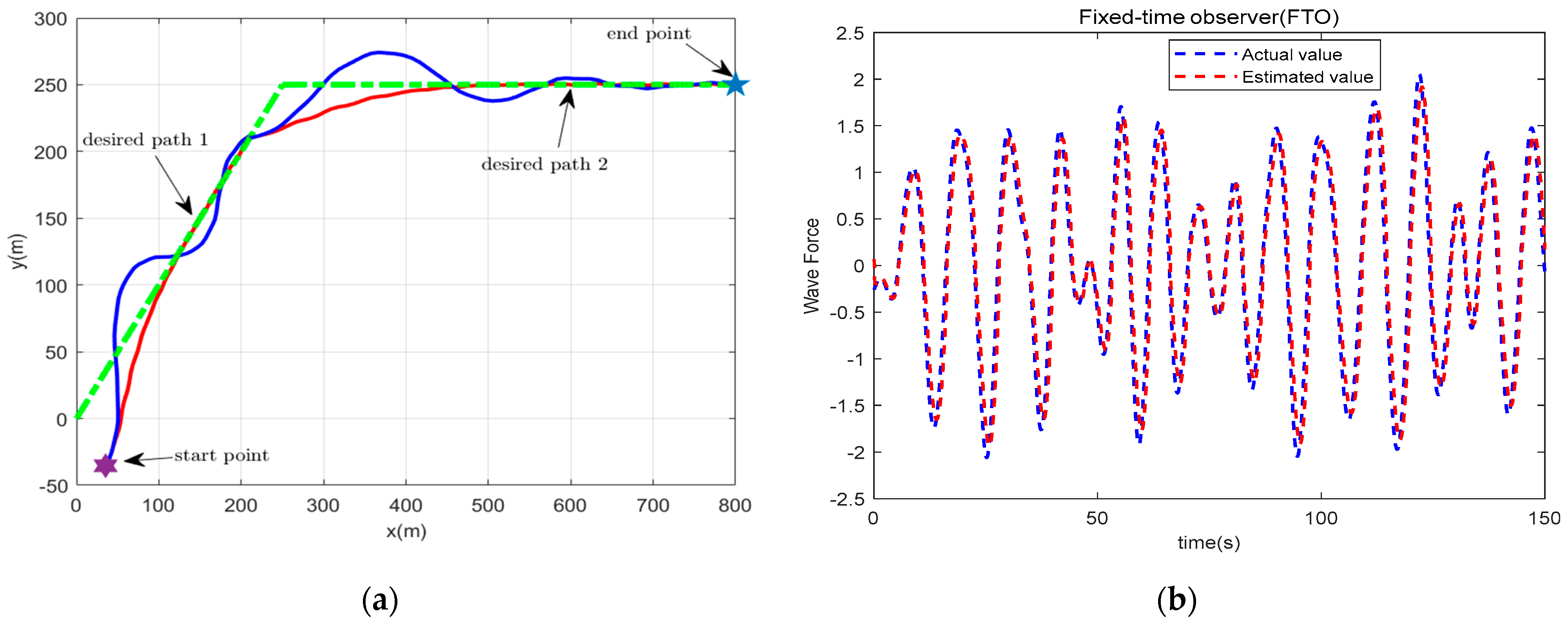
6.3. Performance of QiH-MPC with and without FTO for USV Path Following
7. Conclusions
Author Contributions
Funding
Institutional Review Board Statement
Informed Consent Statement
Data Availability Statement
Acknowledgments
Conflicts of Interest
References
- Luo, M.; Sung, S.H. Half-century research developments in maritime accidents: Future directions. Accid. Anal. Prev. 2019, 123, 448–460. [Google Scholar] [CrossRef]
- De Jiri, V.; Robert, G.H.; Osiris, A.V.B. The impact of autonomous ships on safety at sea—A statistical analysis. Reliab. Eng. Syst. Safe. 2021, 210, 107558. [Google Scholar]
- Wang, N.; Karimi, H.R.; Li, H.; Su, S. Accurate path following of disturbed surface vehicles: A finite-time control approach. IEEE Trans. Mechatron. 2019, 24, 1064–1074. [Google Scholar] [CrossRef]
- Fossen, T.; Breivik, M.; Skjetne, R. Line-of-sight path following of underactuated marine craft. IFAC Proc. Vol. 2003, 36, 211–216. [Google Scholar] [CrossRef]
- Gu, N.; Wang, D.; Peng, Z.; Wang, J.; Han, Q.L. Advances in line-of-sight guidance for path following of autonomous marine vehicles: An overview. IEEE Trans. Syst. Man Cyber. Syst. 2023, 53, 12–28. [Google Scholar] [CrossRef]
- Brhaug, E.; Pavlov, A.; Pettersen, K.Y. Integral LOS control for path following of underactuated marine surface vessels in the presence of constant ocean currents. In Proceedings of the 47th IEEE Conference on Decision and Control, Cancun, Mexico, 9–11 December 2008; pp. 4984–4991. [Google Scholar]
- Paramesh, S.; Rajendran, S. A unified seakeeping and maneuvering model with a PID controller for path following of a KVLCC2 tanker in regular waves. Appl. Ocean Res. 2021, 116, 102860. [Google Scholar]
- Qiu, B.; Wang, G.; Fan, Y.; Mu, D.; Sun, X. Adaptive sliding mode path following control for unmanned surface vehicle with modeling uncertainties and input saturation. Appl. Sci. 2019, 9, 1240. [Google Scholar] [CrossRef]
- Li, D.; Deng, H.; Pan, Z.; Yang, X. Collaborative obstacle avoidance algorithm of multiple bionic snake robots in fluid based on ib-lbm. ISA Trans. 2022, 122, 271–280. [Google Scholar] [CrossRef]
- Chen, H.; Wang, X.; Shen, L.; Yu, Y. Coordinated path following control of fixed wing unmanned aerial vehicles in wind. ISA Trans. 2022, 122, 260–270. [Google Scholar] [CrossRef] [PubMed]
- Gao, Y.; Wang, N.; Zhang, W. Disturbance observer based finite-time trajectory tracking control of unmanned surface vehicles with unknown dead-zones. In Proceedings of the 32nd Youth Academic Annual Conference of Chinese Association of Automation (YAC), Hefei, China, 19–21 May 2017; pp. 263–268. [Google Scholar]
- Han, J. From pid to active disturbance rejection control. IEEE Trans. Ind. Electron. 2009, 56, 900–906. [Google Scholar] [CrossRef]
- Naghdi, M.; Sadrnia, M.A. A novel fuzzy extended state observer. ISA Trans. 2020, 102, 1–11. [Google Scholar] [CrossRef]
- Li, M.; Guo, C.; Yu, H. Filtered extended state observer based line-of-sight guidance for path following of unmanned surface vehicles with unknown dynamics and disturbances. IEEE Access 2019, 7, 178401–178412. [Google Scholar] [CrossRef]
- Seongik, H. Predefined-Time and prescribed-performance control methods combined with second-order terminal sliding mode control for an unmanned planning hull system with input delay and unknown disturbance. J. Mar. Sci. Eng. 2023, 11, 2191. [Google Scholar]
- Wei, L.; Fang, W.; Jie, B.; Han, Z. Model Predictive Control with Disturbance Observer for Unmanned Surface Vessels Path following. In Proceedings of the 8th IEEE International Conference on Advanced Robotics and Mechatronics, Sanya, China, 8–10 July 2023. [Google Scholar]
- Wei, L.; Jun, Z.; Wen, X. High-speed multihull anti-pitching control based on heave velocity and pitch angular velocity estimation. ISA Trans. 2024, 146, 380–391. [Google Scholar]
- Fu, M.; Wang, L. Disturbance observer based path following control of unmanned surface vessel with time-varying current. In Proceedings of the 2019 Chinese Control Conference (CCC), Guangzhou, China, 27–30 July 2019; pp. 370–375. [Google Scholar]
- Liu, Y.; Li, C.; Wang, N. Nonlinear disturbance observer based backstepping finite-time sliding mode tracking control of underwater vehicles with system uncertainties and external disturbances. Nonlinear Dyn. 2017, 88, 465–476. [Google Scholar] [CrossRef]
- Fukushima, H.; Kon, K.; Matsuno, F. Model Predictive Formation Control Using Branch-and-Bound Compatible with Collision Avoidance Problems. IEEE Trans. Robot. 2013, 29, 1308–1317. [Google Scholar] [CrossRef]
- Ji, J.; Khajepour, A.; Melek, W.W.; Huang, Y. Path Planning and Tracking for Vehicle Collision Avoidance Based on Model 397 Predictive Control With Multi-constraints. IEEE Trans. Veh. Technol. 2017, 66, 952–964. [Google Scholar] [CrossRef]
- Gu, N.; Wang, D.; Peng, Z.; Liu, L. Observer-based finite-time control for distributed path maneuvering of underactuated unmanned surface vehicles with collision avoidance and connectivity preservation. IEEE Trans. Sys. Man and Cyber. Sys. 2021, 51, 5105–5115. [Google Scholar] [CrossRef]
- Skjetne, R.; Fossen, T. Nonlinear maneuvering and control of surface vessels. In Proceedings of the MTS/IEEE Oceans, Honolulu, HI, USA, 5–8 November 2001. [Google Scholar]
- Ren, R.Y.; Zou, Z.J.; Wang, Y.D. Adaptive Nomoto model used in the trajectory tracking problem of ships. J. Mar. Sci. Technol. 2018, 23, 888–898. [Google Scholar] [CrossRef]
- Li, R.; Huang, J.; Pan, X.; Hu, Q.; Huang, Z. Trajectory tracking of underactuated surface ships based on model predictive control with neural network. Int. J. Adv. Robot. Syst. 2020, 17, 172–185. [Google Scholar] [CrossRef]
- Greer, W.; Sultan, C. Infinite horizon model predictive control tracking application to helicopters. Aerosp. Sci. Technol. 2020, 98, 105675. [Google Scholar] [CrossRef]
- Vargas, F.J.; González, R.A. On the existence of a stabilizing solution of modified algebraic Riccati equations in terms of standard algebraic Riccati equations and linear matrix inequalities. IEEE Control Syst. Lett. 2020, 4, 91–96. [Google Scholar] [CrossRef]
- Tuffaha, A. The Stochastic Linear Quadratic Optimal Control Problem on Hilbert Spaces: The Case of Non-analytic Systems. Appl. Math. Optim. 2023, 87, 58. [Google Scholar] [CrossRef]
- Shun, A.; Longjin, W.; Yan, H. Robust fixed-time tracking control for underactuated AUVs based on fixed-time disturbance observer. Ocean Eng. 2022, 266, 112567. [Google Scholar]
- Liang, L.H.; Wen, Y. Rudder roll stabilization with disturbance compensation model predictive control. J. Mar. Sci. Tech. 2019, 24, 249–259. [Google Scholar] [CrossRef]









| Index | Parameter |
|---|---|
| Size | 1.05 m (Length) × 0.55 m (Width) |
| Weight | 15 kg |
| Load Capacity | 10 kg |
| Maximum Speed | 5 m/s |
| Communication Distance | Remote control: 1 km Base station: 2 km |
| Turning Radius | 227 mm |
| Mode of advancement | Jet Pump |
| Wave Resistance | Force 3 winds Waves 0.5 m |
| Maneuverability parameter | |
| Followability parameter |
| Variables | r(°/s) | e(m) | ||||||||||
| Algorithms | MPC | QiH-MPC | performance | MPC | QiH-MPC | performance | MPC | QiH-MPC | performance | MPC | QiH-MPC | performance |
| Maximum difference (absolute value) | 77.5557 | 32.5149 | 58.08%↓ | 953.5068 | 243.5468 | 74.45%↓ | 43.3451 | 30.0922 | 30.57%↓ | 120 | 68.242 | 43.13%↓ |
| Standard deviation | 21.8243 | 5.1822 | 76.25%↓ | 192.5823 | 78.6287 | 59.17%↓ | 8.5027 | 7.9198 | 6.85%↓ | 34.5431 | 8.6243 | 75.03%↓ |
| Regulation time (sec) | 142.2 | 77.8 | 45.21%↓ | 140.7 | 77.5 | 44.91%↓ | 106.9 | 59.75 | 44.1%↓ | 144.1 | 79.7 | 44.69%↓ |
| Variables | r(°/s) | e(m) | ||||||||||
| Algorithms | MPC | QiH-MPC | performance | MPC | QiH-MPC | performance | MPC | QiH-MPC | performance | MPC | QiH-MPC | performance |
| Maximum difference (absolute value) | 77.5525 | 23.3469 | 69.89%↓ | 677.6342 | 161.8532 | 76.11%↓ | 27.3171 | 20.0642 | 26.55%↓ | 120 | 48.9403 | 59.21%↓ |
| Standard deviation | 17.4187 | 3.7445 | 78.5%↓ | 130.879 | 52.168 | 60.14%↓ | 5.0674 | 4.3694 | 13.77%↓ | 27.6849 | 6.2359 | 77.47%↓ |
| Regulation time (sec) | 119 | 75.2 | 36.8%↓ | 132.6 | 100.4 | 24.28%↓ | 85.8 | 58.3 | 32.05%↓ | 119.5 | 77.5 | 35.14%↓ |
| Variables | r(°/s) | e(m) | ||||||||||
| Algorithms | QiH-MPC | QiH-MPC +FTO | performance | QiH-MPC | QiH-MPC +FTO | performance | QiH-MPC | QiH-MPC +FTO | performance | QiH-MPC | QiH-MPC +FTO | performance |
| Maximum difference (absolute value) | 183.0536 | 121.8055 | 33.45%↓ | 1415.872 | 478.0977 | 66.23%↓ | 80.95 | 51.016 | 36.97%↓ | 100 | 76.9652 | 23.03%↓ |
| Standard deviation | 41.6379 | 31.5932 | 24.12%↓ | 334.748 | 112.2367 | 66.47%↓ | 20.6361 | 15.5204 | 24.79%↓ | 42.7789 | 13.9504 | 67.39%↓ |
| Variables | r(°/s) | e(m) | ||||||||||
| Algorithms | QiH-MPC | QiH-MPC +FTO | Performance | QiH-MPC | QiH-MPC +FTO | Performance | QiH-MPC | QiH-MPC +FTO | Performance | QiH-MPC | QiH-MPC +FTO | Performance |
| Maximum difference (absolute value) | 174.386 | 128.5276 | 25.99%↓ | 1227.289 | 418.103 | 65.93%↓ | 64.1968 | 40.9477 | 36.21%↓ | 100 | 51.5565 | 48.44%↓ |
| Standard deviation | 39.9568 | 31.1563 | 22.02%↓ | 281.7829 | 99.0569 | 64.84%↓ | 14.5054 | 11.4749 | 20.89%↓ | 38.9469 | 11.1136 | 71.46%↓ |
Disclaimer/Publisher’s Note: The statements, opinions and data contained in all publications are solely those of the individual author(s) and contributor(s) and not of MDPI and/or the editor(s). MDPI and/or the editor(s) disclaim responsibility for any injury to people or property resulting from any ideas, methods, instructions or products referred to in the content. |
© 2024 by the authors. Licensee MDPI, Basel, Switzerland. This article is an open access article distributed under the terms and conditions of the Creative Commons Attribution (CC BY) license (https://creativecommons.org/licenses/by/4.0/).
Share and Cite
Li, W.; Zhou, H.; Zhang, J. Quasi-Infinite Horizon Model Predictive Control with Fixed-Time Disturbance Observer for Underactuated Surface Vessel Path Following. J. Mar. Sci. Eng. 2024, 12, 967. https://doi.org/10.3390/jmse12060967
Li W, Zhou H, Zhang J. Quasi-Infinite Horizon Model Predictive Control with Fixed-Time Disturbance Observer for Underactuated Surface Vessel Path Following. Journal of Marine Science and Engineering. 2024; 12(6):967. https://doi.org/10.3390/jmse12060967
Chicago/Turabian StyleLi, Wei, Hanyun Zhou, and Jun Zhang. 2024. "Quasi-Infinite Horizon Model Predictive Control with Fixed-Time Disturbance Observer for Underactuated Surface Vessel Path Following" Journal of Marine Science and Engineering 12, no. 6: 967. https://doi.org/10.3390/jmse12060967
APA StyleLi, W., Zhou, H., & Zhang, J. (2024). Quasi-Infinite Horizon Model Predictive Control with Fixed-Time Disturbance Observer for Underactuated Surface Vessel Path Following. Journal of Marine Science and Engineering, 12(6), 967. https://doi.org/10.3390/jmse12060967
