Sign in to use this feature.

Years

Between: -

Subjects

remove_circle_outline
remove_circle_outline
remove_circle_outline
remove_circle_outline
remove_circle_outline
remove_circle_outline
remove_circle_outline
remove_circle_outline
remove_circle_outline

Journals

Article Types

Countries / Regions

Search Results (155)

Search Parameters:
Keywords = uncrewed aerial vehicle

Order results
Result details
Results per page
Select all
Export citation of selected articles as:
24 pages, 10131 KB  
Article
A Cooperative UAV Hyperspectral Imaging and USV In Situ Sampling Framework for Rapid Chlorophyll-a Retrieval
by Zixiang Ye, Xuewen Chen, Lvxin Qian, Chaojun Lin and Wenbin Pan
Drones 2026, 10(1), 39; https://doi.org/10.3390/drones10010039 - 7 Jan 2026
Viewed by 115
Abstract
Traditional water quality monitoring methods are limited in providing timely chlorophyll-a (Chl-a) assessments in small inland reservoirs. This study presents a rapid Chl-a retrieval approach based on a cooperative unmanned aerial vehicle–uncrewed surface vessel (UAV–USV) framework that integrates UAV [...] Read more.
Traditional water quality monitoring methods are limited in providing timely chlorophyll-a (Chl-a) assessments in small inland reservoirs. This study presents a rapid Chl-a retrieval approach based on a cooperative unmanned aerial vehicle–uncrewed surface vessel (UAV–USV) framework that integrates UAV hyperspectral imaging, machine learning algorithms, and synchronized USV in situ sampling. We carried out a three-day cooperative monitoring campaign in the Longhu Reservoir of Fujian Province, during which high-frequency hyperspectral imagery and water samples were collected. An innovative median-based correction method was developed to suppress striping noise in UAV hyperspectral data, and a two-step band selection strategy combining correlation analysis and variance inflation factor screening was used to determine the input features for the subsequent inversion models. Four commonly used machine-learning-based inversion models were constructed and evaluated, with the random forest model achieving the highest accuracy and stability across both training and testing datasets. The generated Chl-a maps revealed overall good water quality, with localized higher concentrations in weakly hydrodynamic zones. Overall, the cooperative UAV–USV framework enables synchronized data acquisition, rapid processing, and fine-scale mapping, demonstrating strong potential for fast-response and emergency water-quality monitoring in small inland drinking-water reservoirs. Full article
(This article belongs to the Section Drones in Ecology)
Show Figures

Figure 1

10 pages, 2505 KB  
Proceeding Paper
Flight Test Performance Assessment of a Machine-Learning Software-Enhanced Inertial Navigation System
by Matthew Starkey, Carl Sequeira, Conrad Rider, Gabriel Furse and Dylan Palmer-Jorge
Eng. Proc. 2025, 88(1), 79; https://doi.org/10.3390/engproc2025088079 - 6 Jan 2026
Viewed by 129
Abstract
In this paper, Flare Bright presents flight test results gathered using a ~2m fixed wingspan drone to demonstrate the capability that has been achieved using an Inertial Navigation System (INS) augmented by Machine Learning tuned software. INSs, using Inertial Measurement Units (IMUs), are [...] Read more.
In this paper, Flare Bright presents flight test results gathered using a ~2m fixed wingspan drone to demonstrate the capability that has been achieved using an Inertial Navigation System (INS) augmented by Machine Learning tuned software. INSs, using Inertial Measurement Units (IMUs), are invaluable for position estimation in GNSS-compromised environments as no external information is required. However, with no absolute measurement of a vehicle’s position or attitude, INSs suffer from significant drift over time. The results from a robust flight test programme, over multiple vehicles, terrains and flight paths, show how Flare Bright combined a low cost and low SWaP (space, weight and power) IMU, with their patent-pending software-only techniques, to boost INS performance to the degree of besting a ‘tactical grade’ IMU in ~20 min. These results credibly demonstrate the value of Flare Bright’s solution as an effective, low-cost and low-weight INS for extended flight operations of small uncrewed aerial systems in GNSS-compromised environments, with performance comparable to heavier, more expensive high-end IMUs. Full article
(This article belongs to the Proceedings of European Navigation Conference 2024)
Show Figures

Figure 1

32 pages, 8850 KB  
Article
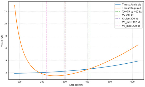
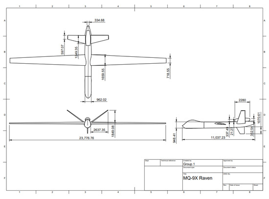
Improving the Design and Performance of MQ-9 Aircraft to Provide Pervasive High-Altitude Maritime Protection Capability
by Alan Reitsma, Patrick Dunstone, Lachlan W. Medway, Nicholas O’Neill, Rishabh Tenneti, Jackson Tenhave, Keith Francis Joiner, Malcolm G. Tutty and Keirin J. Joyce
Aerospace 2026, 13(1), 44; https://doi.org/10.3390/aerospace13010044 - 31 Dec 2025
Viewed by 383
Abstract
Due to emerging strategic demands, this article presents a comprehensive conceptual design investigation into enhancing the MQ-9A Uncrewed Aerial Vehicle (UAV). Motivated by the need for persistent long-range protection and surveillance capabilities, the research study proposes three primary modifications to create an aircraft [...] Read more.
Due to emerging strategic demands, this article presents a comprehensive conceptual design investigation into enhancing the MQ-9A Uncrewed Aerial Vehicle (UAV). Motivated by the need for persistent long-range protection and surveillance capabilities, the research study proposes three primary modifications to create an aircraft titled the MQ-9X Raven. First, the existing turboprop engine was replaced with the widely used Williams FJ44-4A turbofan for reduced fuel consumption and excess power at 50,000 ft, with a range of approximately 8000 nm. Second, the wing design was updated with a 79 ft wing for a greater aspect ratio and a new LRN1015 airfoil to enable high-altitude, long-endurance standoff of around 24 h. Third and finally, the conceptual redesign included integration of a releasable store for maritime interdiction (AGM-184). The project follows a rigorous methodology beginning with a redefinition of mission requirements, aerodynamic, thrust, and stability analysis, and then verification with flight simulation, computational fluid dynamics, and wind tunnel experiments. Our analysis shows the MQ-9X Raven is highly suitable for the task of pervasive high-altitude standoff maritime protection. Full article
(This article belongs to the Section Aeronautics)
Show Figures

Figure 1

26 pages, 5218 KB  
Article
A System-Level Approach to Pixel-Based Crop Segmentation from Ultra-High-Resolution UAV Imagery
by Aisulu Ismailova, Moldir Yessenova, Gulden Murzabekova, Jamalbek Tussupov and Gulzira Abdikerimova
Appl. Syst. Innov. 2026, 9(1), 3; https://doi.org/10.3390/asi9010003 - 22 Dec 2025
Viewed by 275
Abstract
This paper proposed a two-level hybrid stacking model for the classification of crops—wheat, soybean, and barley—based on multispectral orthomosaics obtained from uncrewed aerial vehicles. The proposed method unites gradient boosting algorithms (LightGBM, XGBoost, CatBoost) and tree ensembles (RandomForest, ExtraTrees, Attention-MLP deep neural network), [...] Read more.
This paper proposed a two-level hybrid stacking model for the classification of crops—wheat, soybean, and barley—based on multispectral orthomosaics obtained from uncrewed aerial vehicles. The proposed method unites gradient boosting algorithms (LightGBM, XGBoost, CatBoost) and tree ensembles (RandomForest, ExtraTrees, Attention-MLP deep neural network), whose predictions fuse at the meta-level using ExtraTreesClassifier. Spectral channels, along with a wide range of vegetation indices and their statistical characteristics, are used to construct the feature space. Experiments on an open dataset showed that the proposed model achieves high classification accuracy (Accuracy ≈ 95%, macro-F1 ≈ 0.95) and significantly outperforms individual algorithms across all key metrics. An analysis of the seasonal dynamics of vegetation indices confirmed the feasibility of monitoring phenological phases and early detection of stress factors. Furthermore, spatial segmentation of orthomosaics achieved approximately 99% accuracy in constructing crop maps, making the developed approach a promising tool for precision farming. The study’s results showed the high potential of hybrid ensembles for scaling to other crops and regions, as well as for integrating them into digital agricultural information systems. Full article
(This article belongs to the Section Information Systems)
Show Figures

Figure 1

33 pages, 7760 KB  
Article
Automated Calculation of Rice-Lodging Rates Within a Parcel Area in a Mobile Environment Using Aerial Imagery
by Sooho Jung, Seonhyeong Kim, Dongkil Kang, Heegon Kim, Kyoung Sub Park, Hyung-Geun Ahn, Juhwan Choi and Keunho Park
Remote Sens. 2026, 18(1), 21; https://doi.org/10.3390/rs18010021 - 22 Dec 2025
Viewed by 387
Abstract
Rice lodging, a common physiological issue that occurs during rice growth and development, is a major factor contributing to a decline in rice production. Current techniques for the extraction of rice lodging are subjective and require considerable time and labor. In this paper, [...] Read more.
Rice lodging, a common physiological issue that occurs during rice growth and development, is a major factor contributing to a decline in rice production. Current techniques for the extraction of rice lodging are subjective and require considerable time and labor. In this paper, we propose a fully automated method in an end-to-end format to objectively calculate the rice-lodging rate based on remote sensing data captured by a drone under field conditions. An image post-processing method was applied to enhance the semantic-segmentation results of an operable lightweight model on an embedded board. The area of interest within the parcel was preserved based on these results, and the lodging occurrence rate was calculated in a fully automated manner without external intervention. Five models were compared based on the U-Net and lite-reduced atrous spatial pyramid pooling (LR-ASPP) models with MobileNet versions 1–3 as the backbones. The final model, MobileNetV1_U-Net, performed the best with an RMSE of 11.75 and R2 of 0.875, and MobileNetV3_LR-ASPP (small) achieved the shortest processing time of 4.9844 s. This study provides an effective method for monitoring large-scale rice lodging, accurate extraction of areas of interest, and calculating lodging occurrence rates. Full article
Show Figures

Figure 1

24 pages, 2210 KB  
Article
Deep Transfer Learning for UAV-Based Cross-Crop Yield Prediction in Root Crops
by Suraj A. Yadav, Yanbo Huang, Kenny Q. Zhu, Rayyan Haque, Wyatt Young, Lorin Harvey, Mark Hall, Xin Zhang, Nuwan K. Wijewardane, Ruijun Qin, Max Feldman, Haibo Yao and John P. Brooks
Remote Sens. 2025, 17(24), 4054; https://doi.org/10.3390/rs17244054 - 17 Dec 2025
Viewed by 564
Abstract
Limited annotated data often constrain accurate yield prediction in underrepresented crops. To address this challenge, we developed a cross-crop deep transfer learning (TL) framework that leverages potato (Solanum tuberosum L.) as the source domain to predict sweet potato (Ipomoea batatas L.) [...] Read more.
Limited annotated data often constrain accurate yield prediction in underrepresented crops. To address this challenge, we developed a cross-crop deep transfer learning (TL) framework that leverages potato (Solanum tuberosum L.) as the source domain to predict sweet potato (Ipomoea batatas L.) yield using multi-temporal uncrewed aerial vehicle (UAV)-based multispectral imagery. A hybrid convolutional–recurrent neural network (CNN–RNN–Attention) architecture was implemented with a robust parameter-based transfer strategy to ensure temporal alignment and feature-space consistency across crops. Cross-crop feature migration analysis showed that predictors capturing canopy vigor, structure, and soil–vegetation contrast exhibited the highest distributional similarity between potato and sweet potato. In comparison, pigment-sensitive and agronomic predictors were less transferable. These robustness patterns were reflected in model performance, as all architectures showed substantial improvement when moving from the minimal 3 predictor subset to the 5–7 predictor subsets, where the most transferable indices were introduced. The hybrid CNN–RNN–Attention model achieved peak accuracy (R20.64 and RMSE ≈ 18%) using time-series data up to the tuberization stage with only 7 predictors. In contrast, convolutional neural network (CNN), bidirectional gated recurrent unit (BiGRU), and bidirectional long short-term memory (BiLSTM) baseline models required 11–13 predictors to achieve comparable performance and often showed reduced or unstable accuracy at higher dimensionality due to redundancy and domain-shift amplification. Two-way ANOVA further revealed that cover crop type significantly influenced yield, whereas nitrogen rate and the interaction term were not significant. Overall, this study demonstrates that combining robustness-aware feature design with hybrid deep TL model enables accurate, data-efficient, and physiologically interpretable yield prediction in sweet potato, offering a scalable pathway for applying TL in other underrepresented root and tuber crops. Full article
(This article belongs to the Special Issue Application of UAV Images in Precision Agriculture)
Show Figures

Graphical abstract

28 pages, 15281 KB  
Article
Development and Validation of a Custom Stochastic Microscale Wind Model for Urban Air Mobility Applications
by D S Nithya, Francesca Monteleone, Giuseppe Quaranta, Man Liang and Vincenzo Muscarello
Drones 2025, 9(12), 863; https://doi.org/10.3390/drones9120863 - 15 Dec 2025
Viewed by 446
Abstract
Urban air mobility operations, such as flying Uncrewed Aerial Vehicles (UAVs) and small passenger aircraft in and around cities, will be inherently susceptible to the turbulent wind conditions in urban environments. Therefore, understanding UAM aircraft performance under microscale wind disturbances is critical. Gaining [...] Read more.
Urban air mobility operations, such as flying Uncrewed Aerial Vehicles (UAVs) and small passenger aircraft in and around cities, will be inherently susceptible to the turbulent wind conditions in urban environments. Therefore, understanding UAM aircraft performance under microscale wind disturbances is critical. Gaining such insight is non-trivial due to the lack of sufficient UAM aircraft operational data and the complexities involved in flight testing UAM aircraft. A viable solution to overcome this hindrance is through simulation-based flight testing, data collection, and performance assessment. To support this effort, the present paper establishes a custom Stochastic microscale Wind Model (SWM) capable of efficiently generating high-resolution, spatio-temporally varying urban wind fields. The SWM is validated against wind tunnel test data, and subsequently, the findings are employed to guide targeted refinements of urban wake simulation. Furthermore, to incorporate realistic atmospheric conditions and demonstrate the ability to generate location-specific wind fields, the SWM is coupled with the mesoscale Weather Research and Forecasting (WRF) model. This integrated approach is demonstrated through a case study focused on a potential vertiport site in Milan, Italy, illustrating its utility for assessing operational area-specific UAM aircraft performance and vertiport emplacement. Full article
(This article belongs to the Special Issue Urban Air Mobility Solutions: UAVs for Smarter Cities)
Show Figures

Figure 1

32 pages, 8121 KB  
Article
Numerical Investigation of the Wind Field Disturbance Around Small Rotorcraft Uncrewed Aerial Vehicles
by Garrison C. Page and Sean C. C. Bailey
Drones 2025, 9(12), 857; https://doi.org/10.3390/drones9120857 - 13 Dec 2025
Viewed by 398
Abstract
Accurate in situ wind measurements from rotorcraft uncrewed aerial vehicles (UAVs) can be impacted by the disturbed flow generated by the rotors. However, the extent of this disturbance depends on flight mode, ambient wind, and vehicle configuration, making optimal sensor placement or devising [...] Read more.
Accurate in situ wind measurements from rotorcraft uncrewed aerial vehicles (UAVs) can be impacted by the disturbed flow generated by the rotors. However, the extent of this disturbance depends on flight mode, ambient wind, and vehicle configuration, making optimal sensor placement or devising appropriate corrections nontrivial. This study uses steady-state Reynolds-averaged Navier–Stokes (RANS) simulations with an actuator disk model to characterize the flow field around representative quadcopter, hexacopter, and octocopter UAVs under conditions representing hover, ascent, and descent, for different thrust, and with and without crosswind of different magnitude. The results show that the size and shape of the disturbance field vary strongly with flight mode, with descent producing the largest region of disturbed air around the vehicle and ascent the smallest. Crosswinds advect and distort the disturbance region and reduce its vertical extent by sweeping the rotor wash downstream. The disturbance field geometry was found to scale primarily with overall aircraft size and was largely independent of rotor configuration. The effect of differing the rotor thrust was found to approximately scale using a length scale based on the volume flow rate of air through the the rotor plane. Based on these results, to maintain measurement errors below 0.5 m/s, recommended anemometer locations are at least 2.5 aircraft radii from the UAV central axis for hovering conditions when the weight of the aircraft relative to the area swept by the rotors is near 10 kg per square meter. This recommended distance is expected to scale linearly with this ratio, and will reduce under crosswind conditions or when measurements are made during ascent. Full article
(This article belongs to the Section Drone Design and Development)
Show Figures

Graphical abstract

21 pages, 4172 KB  
Article
OCC-Based Positioning Method for Autonomous UAV Navigation in GNSS-Denied Environments: An Offshore Wind Farm Simulation Study
by Ju-Hyun Kim and Sung-Yoon Jung
Sensors 2025, 25(24), 7569; https://doi.org/10.3390/s25247569 - 12 Dec 2025
Viewed by 493
Abstract
Precise positioning is critical for autonomous uncrewed aerial vehicle (UAV) navigation, especially in GNSS-denied environments where radio-based signals are unreliable. This study presents an optical camera communication (OCC)-based positioning method that enables real-time 3D coordinate estimation using aviation obstruction light-emitting diodes (LEDs) as [...] Read more.
Precise positioning is critical for autonomous uncrewed aerial vehicle (UAV) navigation, especially in GNSS-denied environments where radio-based signals are unreliable. This study presents an optical camera communication (OCC)-based positioning method that enables real-time 3D coordinate estimation using aviation obstruction light-emitting diodes (LEDs) as optical transmitters and a UAV-mounted camera as the receiver. In the proposed system, absolute positional identifiers are encoded into color-shift-keying-modulated optical signals emitted by fixed LEDs and captured by the UAV camera. The UAV’s 3D position is estimated by integrating the decoded LED information with geometric constraints through the Perspective-n-Point algorithm, eliminating the need for satellite or RF-based localization infrastructure. A virtual offshore wind farm, developed in Unreal Engine, was used to experimentally evaluate the feasibility and accuracy of the method. Results demonstrate submeter localization precision over a 50,000 cm flight path, confirming the system’s capability for reliable, real-time positioning. These findings indicate that OCC-based positioning provides a cost-effective and robust alternative for UAV navigation in complex or communication-restricted environments. The offshore wind farm inspection scenario further highlights the method’s potential for industrial operation and maintenance tasks and underscores the promise of integrating optical wireless communication into autonomous UAV systems. Full article
(This article belongs to the Special Issue Smart Sensor Systems for Positioning and Navigation)
Show Figures

Figure 1

27 pages, 8729 KB  
Article
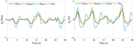
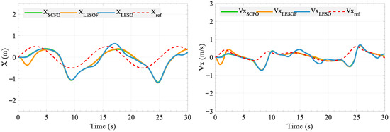
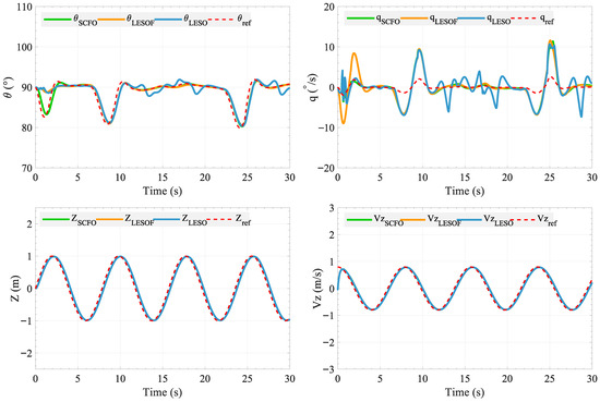
Anti-Disturbance for ST-VTOL UAV via Sliding Mode Control with Enhanced Observer
by Jiahui Zhang, Jinwu Xiang, Daochun Li, Gang Yang, Weicheng Di, Ligang Zhang and Zhan Tu
Drones 2025, 9(12), 843; https://doi.org/10.3390/drones9120843 - 8 Dec 2025
Viewed by 460
Abstract
As a classical disturbance observation method, the extended state observer (ESO) is commonly used in controllers for disturbance estimation and feedback control. However, the ESO relies mainly on input–output signals and does not fully utilize information from system derivatives and the system’s dynamic [...] Read more.
As a classical disturbance observation method, the extended state observer (ESO) is commonly used in controllers for disturbance estimation and feedback control. However, the ESO relies mainly on input–output signals and does not fully utilize information from system derivatives and the system’s dynamic structure. This underuse limits its effectiveness for vertical take-off and landing (VTOL) uncrewed aerial vehicles (UAVs). This limitation is especially problematic in small tailless VTOL UAVs (ST-VTOL UAVs). While these UAVs can switch modes and operate in confined spaces, they are highly susceptible to disturbances such as wind. To address this issue, this paper applies a novel disturbance rejection controller to an ST-VTOL UAV. Specifically, the controller replaces the traditional linear ESO with an enhanced state compensation function observer (SCFO) and integrates it with an equivalent sliding mode controller (ESMC). Simulation results demonstrate that the SCFO achieves substantially higher disturbance-estimation accuracy than both the classical ESO and its fal–function–enhanced variant. Flight experiments on the ST-VTOL UAV confirm that the proposed method reduces tracking error compared with a conventional PID controller and maintains stable hovering under external disturbances. Full article
Show Figures

Figure 1

22 pages, 10906 KB  
Article
Correction of Refraction Effects on Unmanned Aerial Vehicle Structure-from-Motion Bathymetric Survey for Coral Reef Roughness Characterisation
by Marion Jaud, Mila Geindre, Stéphane Bertin, Yoan Benoit, Emmanuel Cordier, France Floc’h, Emmanuel Augereau and Kévin Martins
Remote Sens. 2025, 17(23), 3846; https://doi.org/10.3390/rs17233846 - 27 Nov 2025
Viewed by 499
Abstract
Coral reefs play a crucial role in tropical coastal ecosystems, even though these environments are difficult to monitor due to their diversity and morphological complexity and due to their shallowness in some cases. This study used two approaches for acquiring very-high-resolution bathymetric data: [...] Read more.
Coral reefs play a crucial role in tropical coastal ecosystems, even though these environments are difficult to monitor due to their diversity and morphological complexity and due to their shallowness in some cases. This study used two approaches for acquiring very-high-resolution bathymetric data: underwater structure-from-motion (SfM) photogrammetry collected from a low-cost platform and unmanned/uncrewed aerial vehicle (UAV)-based SfM photogrammetry. While underwater photogrammetry avoids the distortions caused by refraction at air/water interface, it remains limited in spatial coverage (about 0.04 ha in 1 h of survey). In contrast, UAV photogrammetry allows for covering extensive areas (more than 20 ha/h) but requires applying refraction correction in order to accurately compute bathymetry and roughness values. An analytical approach based on Snell laws and an empirical approach based on linear regression (calibrated using a batch of points whose depths are representative of the depth range of the surveyed areas) are tested to correct the apparent depth on the raw UAV digital elevation model (DEM). Comparison to underwater photogrammetry shows that correcting refraction reduces the root mean square error (RMSE) by more than 50% (up to 62%) on bathymetric models, with RMSE lower than 0.13 m for the analytical approach and down to 0.09 m for the regression method. The linear-regression-based refraction correction proved most effective in restoring accurate seabed roughness, with a mean error on roughness lower than 17% (vs. 30% for analytical refraction correction and 48% for apparent bathymetry). Full article
Show Figures

Figure 1

26 pages, 5890 KB  
Article
Research on Accurate Weed Identification and a Variable Application Method in Maize Fields Based on an Improved YOLOv11n Model
by Xiaoan Chen, Hongze Zhang, Xingcheng Liu, Zhonghui Guo, Wei Zheng and Yingli Cao
Agriculture 2025, 15(23), 2456; https://doi.org/10.3390/agriculture15232456 - 27 Nov 2025
Viewed by 410
Abstract
Uniform spraying by conventional plant protection drones often results in low herbicide utilization efficiency and environmental contamination, both of which are critical issues in agricultural production. To address these challenges, this study proposed a precision weed management system for maize fields that combines [...] Read more.
Uniform spraying by conventional plant protection drones often results in low herbicide utilization efficiency and environmental contamination, both of which are critical issues in agricultural production. To address these challenges, this study proposed a precision weed management system for maize fields that combines an improved YOLOv11n-OSAW detection model with DJI drones for variable-rate herbicide application. The YOLOv11n-OSAW model was enhanced with Omni-dimensional Dynamic Convolution (OD-Conv), the SEAM attention mechanism, a lightweight ADown module, and the Wise-IoU (WIoU) loss function, aiming to improve the detection accuracy of small and occluded weeds in maize fields. When the model was deployed on an uncrewed aerial vehicle (UAV) operating at 5 m altitude, it achieved mean Average Precision mAP@0.5 values of 97.8% and 97.0% for gramineous and broad-leaved weeds, respectively—representing increases of 2.9 and 1.6 percentage points over the baseline YOLOv11n model. Weed distribution maps generated from the detection results were used to develop site-specific herbicide prescription maps, guiding the drone to implement targeted spraying. Water-sensitive paper analysis verified that the system ensured effective droplet deposition and uniform coverage across different application rate areas. This integrated workflow, covering UAV image acquisition, weed detection, variable-rate application, and effect assessment, reduced herbicide consumption by 20.25% compared with conventional uniform spraying (450 L/ha) while maintaining excellent weed control efficiency and reducing environmental risks. The findings demonstrate that the proposed system provides a practical and sustainable solution for weed management in maize fields. Full article
Show Figures

Figure 1

24 pages, 22867 KB  
Article
Post-Little Ice Age Shrinkage of the Tsaneri–Nageba Glacier System and Recent Proglacial Lake Evolution in the Georgian Caucasus
by Levan G. Tielidze, Akaki Nadaraia, Roman M. Kumladze, Simon J. Cook, Mikheil Lobjanidze, Qiao Liu, Irakli Megrelidze, Andrew N. Mackintosh and Guram Imnadze
Water 2025, 17(22), 3209; https://doi.org/10.3390/w17223209 - 10 Nov 2025
Cited by 1 | Viewed by 2252
Abstract
Mountain glaciers are sensitive indicators of climate variability, and their retreat since the end of the Little Ice Age (LIA) has strongly reshaped alpine environments worldwide. In the Greater Caucasus, glacier shrinkage has accelerated over the past century, yet detailed multi-temporal reconstructions remain [...] Read more.
Mountain glaciers are sensitive indicators of climate variability, and their retreat since the end of the Little Ice Age (LIA) has strongly reshaped alpine environments worldwide. In the Greater Caucasus, glacier shrinkage has accelerated over the past century, yet detailed multi-temporal reconstructions remain limited for many glaciers. Here, we reconstruct the post-LIA evolution of Tsaneri–Nageba Glacier, one of largest ice bodies in the Georgian Caucasus, and document the development of its newly formed proglacial lake. Using a combination of geomorphological mapping, historical maps, multi-temporal satellite imagery, Uncrewed Aerial Vehicle (UAV) photogrammetry, and sonar bathymetry, we quantify glacier change from ~1820 to 2025 and provide the first direct measurements of a proglacial lake in the Tsaneri–Nageba system—and indeed in the Georgian Caucasus as a whole. Our results reveal that Tsaneri–Nageba Glacier has shrunk from ~48 km2 at its LIA maximum to ~30.6 km2 in 2025, a loss of −43.5% (or −0.21% yr−1). The pace of shrinkage intensified after 2000, with the steepest losses recorded between 2014 and 2025. Terminus positions shifted up-valley by nearly 3.9 km (Tsaneri) and 4.3 km (Nageba), accompanied by fragmentation of the former compound valley glacier into smaller ice bodies. Long-term meteorological records confirm strong climatic forcing, with pronounced summer warming since the 1990s and declining winter precipitation. A proglacial lake started to form in mid-summer 2015, which by 03/09/15 had a surface area of ~14,366 m2, expanding to ~106,945 m2 by 10/07/2025. The lake is in contact with glacier ice and is thus prone to calving. It is dammed by unconsolidated moraines and bounded by steep, active slopes, making it susceptible to generating a glacial lake outburst flood (GLOF). By providing the first quantitative measurements of a proglacial lake in the region, this study establishes a baseline for future monitoring and risk assessment. The findings highlight the urgency of integrating glaciological, geomorphological, and hazard studies to support community safety and water resource planning in the Caucasus. Full article
(This article belongs to the Section Water and Climate Change)
Show Figures

Figure 1

30 pages, 2612 KB  
Article
Uncrewed Aerial Vehicle (UAV)-Based High-Throughput Phenotyping of Maize Silage Yield and Nutritive Values Using Multi-Sensory Feature Fusion and Multi-Task Learning with Attention Mechanism
by Jiahao Fan, Jing Zhou, Natalia de Leon and Zhou Zhang
Remote Sens. 2025, 17(21), 3654; https://doi.org/10.3390/rs17213654 - 6 Nov 2025
Viewed by 873
Abstract
Maize (Zea mays L.) silage’s forage quality significantly impacts dairy animal performance and the profitability of the livestock industry. Recently, using uncrewed aerial vehicles (UAVs) equipped with advanced sensors has become a research frontier in maize high-throughput phenotyping (HTP). However, extensive existing [...] Read more.
Maize (Zea mays L.) silage’s forage quality significantly impacts dairy animal performance and the profitability of the livestock industry. Recently, using uncrewed aerial vehicles (UAVs) equipped with advanced sensors has become a research frontier in maize high-throughput phenotyping (HTP). However, extensive existing studies only consider a single sensor modality and models developed for estimating forage quality are single-task ones that fail to utilize the relatedness between each quality trait. To fill the research gap, we propose MUSTA, a MUlti-Sensory feature fusion model that utilizes MUlti-Task learning and the Attention mechanism to simultaneously estimate dry matter yield and multiple nutritive values for silage maize breeding hybrids in the field environment. Specifically, we conducted UAV flights over maize breeding sites and extracted multi-temporal optical- and LiDAR-based features from the UAV-deployed hyperspectral, RGB, and LiDAR sensors. Then, we constructed an attention-based feature fusion module, which included an attention convolutional layer and an attention bidirectional long short-term memory layer, to combine the multi-temporal features and discern the patterns within them. Subsequently, we employed multi-head attention mechanism to obtain comprehensive crop information. We trained MUSTA end-to-end and evaluated it on multiple quantitative metrics. Our results showed that it is capable of practical quality estimation results, as evidenced by the agreement between the estimated quality traits and the ground truth data, with weighted Kendall’s tau coefficients (τw) of 0.79 for dry matter yield, 0.74 for MILK2006, 0.68 for crude protein (CP), 0.42 for starch, 0.39 for neutral detergent fiber (NDF), and 0.51 for acid detergent fiber (ADF). Additionally, we implemented a retrieval-augmented method that enabled comparable prediction performance, even without certain costly features available. The comparison experiments showed that the proposed approach is effective in estimating maize silage yield and nutritional values, providing a digitized alternative to traditional field-based phenotyping. Full article
Show Figures

Figure 1

17 pages, 5150 KB  
Article
Combination of UAV Imagery and Deep Learning to Estimate Vegetation Height over Fluvial Sandbars
by Yiwei Guo, Michael Nones, Yuexia Zhou, Runye Zhu and Wenfeng Ding
Water 2025, 17(21), 3160; https://doi.org/10.3390/w17213160 - 4 Nov 2025
Cited by 1 | Viewed by 712
Abstract
Vegetation colonizing fluvial sandbars provides many noteworthy functions in river and floodplain systems, but it also influences hydrodynamic processes, mainly during flooding events. Numerical modelling is generally used to evaluate the impact of floods, but its reliability is very much connected with the [...] Read more.
Vegetation colonizing fluvial sandbars provides many noteworthy functions in river and floodplain systems, but it also influences hydrodynamic processes, mainly during flooding events. Numerical modelling is generally used to evaluate the impact of floods, but its reliability is very much connected with the accuracy of the bed and bank roughness, which is eventually altered by the presence of vegetation and its height. However, for the sake of simplicity, most models tend to ignore how the sandbar roughness varies over space and time, as a function of the local vegetation dynamics (spatial distribution and height). To determine the long-term dynamic vegetation condition using remote sensing multispectral indexes, this study leverages a deep-learning method to establish a relationship between vegetation height (h), a critical parameter for vegetation roughness estimation, and vegetation indexes (VIs) collected by an uncrewed aerial vehicle (UAV). A field campaign was performed in October 2024 covering the Baishazhou sandbar, located along a straight section of the Wuhan reach of the Changjiang River Basin, China. The results show that the R2 and RMSE between the real and predicted vegetation height by the trained Fully Connected Neural Network (FCNN) are 0.85, 1.10 m, and the relative error reaches a maximum of 17.2%, meaning that the trained FCNN model performs rather well. Despite being tested on a single case study, the workflow presented here demonstrates the opportunity to use UAVs for depicting vegetation characteristics such as height over large areas, eventually using them to inform numerical models that consider sandbar roughness. Full article
(This article belongs to the Special Issue Machine Learning Applications in the Water Domain)
Show Figures

Figure 1

Back to TopTop