Sign in to use this feature.

Years

Between: -

Subjects

remove_circle_outline
remove_circle_outline
remove_circle_outline
remove_circle_outline
remove_circle_outline
remove_circle_outline
remove_circle_outline
remove_circle_outline
remove_circle_outline

Journals

remove_circle_outline
remove_circle_outline

Article Types

Countries / Regions

Search Results (144)

Search Parameters:
Keywords = two-type branching processes

Order results
Result details
Results per page
Select all
Export citation of selected articles as:
39 pages, 9342 KB  
Review
Monitoring and Control of the Direct Energy Deposition (DED) Additive Manufacturing Process Using Deep Learning Techniques: A Review
by Yonghui Liu, Haonan Ren, Qi Zhang, Peng Yuan, Hui Ma, Yanfeng Li, Yin Zhang and Jiawei Ning
Materials 2026, 19(1), 89; https://doi.org/10.3390/ma19010089 - 25 Dec 2025
Viewed by 171
Abstract
Directed Energy Deposition (DED), as a core branch of additive manufacturing, encompasses two typical processes: laser directed energy deposition (LDED) and wire and arc additive manufacturing (WAAM), which are widely used in manufacturing aerospace engine blades and core components of high-end equipment. In [...] Read more.
Directed Energy Deposition (DED), as a core branch of additive manufacturing, encompasses two typical processes: laser directed energy deposition (LDED) and wire and arc additive manufacturing (WAAM), which are widely used in manufacturing aerospace engine blades and core components of high-end equipment. In recent years, with the increasing adoption of deep learning (DL) technologies, the research focus in DED has gradually shifted from traditional “process parameter optimization” to “AI-driven process optimization” and “online real-time monitoring”. Given the complex and distinct influence mechanisms of key parameters (such as laser power/arc current, scanning/travel speed) on melt pool behavior and forming quality in the two processes, the introduction of artificial intelligence to address both common and specific issues has become particularly necessary. This review systematically summarizes the application of DL techniques in both types of DED processes. It begins by outlining DL frameworks, such as artificial neural networks (ANNs), recurrent neural networks (RNNs), convolutional neural networks (CNNs), and reinforcement learning (RL), and their compatibility with DED data. Subsequently, it compares the application scenarios, monitoring accuracy, and applicability of AI in DED process monitoring across multiple dimensions, including process parameters, optical, thermal fields, acoustic signals, and multi-sensor fusion. The review further explores the potential and value of DL in closed-loop parameter adjustment and reinforcement learning control. Finally, it addresses current bottlenecks such as data quality and model interpretability, and outlines future research directions, aiming to provide theoretical and engineering references for the intelligent upgrade and quality improvement of both DED processes. Full article
Show Figures

Graphical abstract

18 pages, 6636 KB  
Article
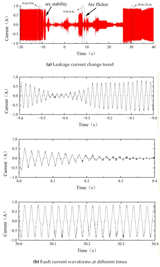
Research on Arc Discharge Characteristics of 10 kV Distribution Line Tree Line
by Qianqiu Shao, Songhai Fan and Zhengzheng Fu
Eng 2026, 7(1), 7; https://doi.org/10.3390/eng7010007 - 25 Dec 2025
Viewed by 108
Abstract
Many studies have investigated tree-contact arcing ground faults. However, the effects of branch moisture content and wind speed are still not fully understood. Therefore, this paper addresses the wildfire risk caused by tree-contact arc grounding faults in distribution networks. A 10 kV distribution-line [...] Read more.
Many studies have investigated tree-contact arcing ground faults. However, the effects of branch moisture content and wind speed are still not fully understood. Therefore, this paper addresses the wildfire risk caused by tree-contact arc grounding faults in distribution networks. A 10 kV distribution-line tree-contact arcing fault test platform is built. A two-dimensional multi-physics plasma model is also developed based on magnetohydrodynamics. Experiments and simulations are combined. The effects of wind speed, branch moisture content, and conductor type on arc evolution and fault characteristics are systematically studied. The results show that higher wind speed causes stronger arc-column deformation. The fault current contains more high-frequency components and sharp spikes. At 9 m/s and 16 m/s, the fault current shows strong disturbances and much lower stability. Higher moisture content increases the branch conductivity indirectly. It strengthens the carbonized conductive path and helps sustain stable arcing. For the high-moisture sample (64%), the current waveform is smooth, and its amplitude increases monotonically with fault development. For the low-moisture sample (30%), the current amplitude decreases, and spikes become more frequent. The arc tends to extinguish and reignite repeatedly, which indicates an unstable discharge process. The simulations further reveal the coupling between the arc-root temperature field and the airflow field under different wind speeds and conductivities. They also show clear differences in temperature evolution between bare conductors and insulated conductors. These findings provide experimental evidence and simulation support for identifying wildfires initiated by tree-contact arcing faults. Full article
(This article belongs to the Section Electrical and Electronic Engineering)
Show Figures

Figure 1

22 pages, 18986 KB  
Article
Influence of Environmental Factors on the Starch Quality of Sorghum: A Multifaceted Analysis of Structural, Nutritional, and Functional Profiles
by Fulai Ke, Baizhi Chen, Kuangye Zhang, Jiaxu Wang, Linlin Yang, Zeyang Zhao, Fei Zhang, Han Wu, Zhipeng Zhang, Feng Lu, Yanqiu Wang, Youhou Duan, Zhiqiang Liu, Jianqiu Zou and Kai Zhu
Foods 2025, 14(24), 4204; https://doi.org/10.3390/foods14244204 - 7 Dec 2025
Viewed by 254
Abstract
Understanding how environmental factors modulate starch structure and functionality in sorghum is critical for optimizing its application in the food processing and fermentation industries. In this study, two sorghum cultivars with distinct starch types—Liaonian 3 (LN3, waxy) and Liaoza 82 (LZ82, non-waxy)—were cultivated [...] Read more.
Understanding how environmental factors modulate starch structure and functionality in sorghum is critical for optimizing its application in the food processing and fermentation industries. In this study, two sorghum cultivars with distinct starch types—Liaonian 3 (LN3, waxy) and Liaoza 82 (LZ82, non-waxy)—were cultivated across four major ecological regions in China to systematically investigate the combined effects of temperature and precipitation on grain composition, starch molecular structure, and processing properties. Comprehensive analyses, including scanning electron microscopy, molecular weight profiling, chain-length distribution, crystallinity, molecular order, and thermal/pasting behaviors, demonstrated that precipitation is the predominant environmental factor driving starch biosynthesis and structural assembly. High precipitation levels promoted amylopectin accumulation, shorter chain formation, increased branching degree, and higher crystallinity and molecular order, ultimately enhancing starch thermal stability and paste consistency. Genotypic differences further modulated starch structural patterns and environmental responsiveness, with LN3 consistently exhibiting higher amylopectin content, crystallinity, double-helix proportion, and gelatinization enthalpy compared to LZ82. Correlation analyses revealed genotype-dependent regulatory relationships linking environmental cues to starch structure and processing functionality. These findings provide a comprehensive framework elucidating the environmental regulation of starch structure–function relationships in sorghum, offering theoretical insights for climate-resilient breeding and functional starch development. Full article
(This article belongs to the Section Grain)
Show Figures

Figure 1

19 pages, 2391 KB  
Article
Investigating the Cracking Processes and Bearing Performance of Fissured Concrete SCB Specimens via DEM-Based Mesoscopic Modeling Considering Fissure Angle, Aggregate Content and Porosity
by Qinrong Li, Suyi Liu, Yifei Li, Mingyue Qiu, Ruitong Zhang, Cheng Chen and Shuyang Yu
Materials 2025, 18(22), 5140; https://doi.org/10.3390/ma18225140 - 12 Nov 2025
Viewed by 412
Abstract
To reveal the mesoscopic fracture mechanism of fissured concrete, this study employed the discrete element method (DEM) and adopted the parallel bond model (PBM) within the two-dimensional particle flow code (PFC2D) to construct a mesoscopic model of concrete semi-circular bending (SCB) specimens with [...] Read more.
To reveal the mesoscopic fracture mechanism of fissured concrete, this study employed the discrete element method (DEM) and adopted the parallel bond model (PBM) within the two-dimensional particle flow code (PFC2D) to construct a mesoscopic model of concrete semi-circular bending (SCB) specimens with prefabricated fissures. Three sets of schemes were designed by varying prefabricated fissure angles (0–45°), aggregate contents (30–45%), and porosities (3–6%), and numerical simulations of three-point bending loads were conducted to explore the effects of each parameter on the crack propagation law and load-bearing performance of the specimens. Validation was performed by comparing the simulated load–displacement curves with the typical quasi-brittle mechanical characteristics of concrete (exhibiting “linear elastic rise–pre-peak stress fluctuation–nonlinear decline”) and verifying that the DEM could accurately capture the entire process from microcrack initiation at the aggregate–mortar interface, crack deflection/bifurcation induced by pores, to macroscopic fracture penetration—consistent with the known mesoscopic damage evolution law of concrete. The results indicate that the crack propagation mode evolves from straight extension to tortuous branching as parameters change. Moreover, the peak strength first increases and then decreases with the increase in each parameter: when the fissure angle is 15°, the aggregate content is 35%, and the porosity is 4%, the specimens achieve an optimal balance between crack propagation resistance and energy dissipation, resulting in the best load-bearing performance. Specifically, the prefabricated fissure angle dominates the stress type (tension–shear transition); aggregates regulate crack resistance through a “blocking–diverting” effect; and pores, acting as defects, influence stress concentration. This study verifies the reliability of DEM in simulating concrete fracture behavior, enriches the mesoscopic fracture theory of concrete, and provides reliable references for the optimization of concrete material proportioning (e.g., aggregate–porosity ratio adjustment) and anti-cracking design of infrastructure (e.g., pavement, tunnel linings) in engineering practices. Full article
Show Figures

Figure 1

30 pages, 11826 KB  
Article
Expression of Dystroglycanopathy-Related Enzymes, POMGNT2 and POMGNT1, in the Mammalian Retina and 661W Cone-like Cell Line
by Cristina Quereda, Violeta Gómez-Vicente, Mercedes Palmero and José Martín-Nieto
Biomedicines 2025, 13(11), 2759; https://doi.org/10.3390/biomedicines13112759 - 11 Nov 2025
Viewed by 716
Abstract
Background. Dystroglycanopathies (DGPs) constitute a set of recessive, neuromuscular congenital dystrophies that result from impaired glycosylation of dystroglycan (DG). These disorders typically course with CNS alterations, which, alongside gradual muscular dystrophy, may include brain malformations, intellectual disability and a panoply of ocular defects. [...] Read more.
Background. Dystroglycanopathies (DGPs) constitute a set of recessive, neuromuscular congenital dystrophies that result from impaired glycosylation of dystroglycan (DG). These disorders typically course with CNS alterations, which, alongside gradual muscular dystrophy, may include brain malformations, intellectual disability and a panoply of ocular defects. In this process, the protein products of 22 genes, collectively dubbed DGP-associated genes, directly or indirectly participate sequentially along a complex, branched biosynthetic pathway. POMGNT2 and POMGNT1 are two enzymes whose catalytic activity consists of transferring the same substrate, a molecule of N-acetylglucosamine (GlcNAc) to a common substrate, the O-mannosylated α subunit of DG. Despite their presumptive role in retinal homeostasis, there are currently no reports describing their expression pattern or function in this tissue. Purpose. This work focuses on POMGNT2 and POMGNT1 expression in the mammalian retina, and on the characterization of their distribution across retinal layers, and in the 661W photoreceptor cell line. Methods. The expression of POMGNT2 protein in different mammalian species’ retinas, including those of mice, rats, cows and monkeys, was assessed by immunoblotting. Additionally, POMGNT2 and POMGNT1 distribution profiles were analyzed using immunofluorescence confocal microscopy in retinal sections of monkeys and mice, and in 661W cultured cells. Results. Expression of POMGNT2 was detected in the neural retina of all species studied, being present in both cytoplasmic and nuclear fractions of the monkey and mouse, and in 661W cells. In the cytoplasm, POMGNT2 was concentrated in the endoplasmic reticulum (ER) and/or Golgi complex, depending on the species and cell type, whereas POMGNT1 accumulated only in the Golgi complex in both monkey and mouse retinas. Additionally, both proteins were present in the nucleus of the 661W cells, concentrating in the euchromatin and heterochromatin, as well as in nuclear PML and Cajal bodies, and nuclear speckles. Conclusions. Our results are indicative that POMGNT2 and POMGNT1 participate in the synthesis of O-mannosyl glycans added to α-dystroglycan in the ER and/or Golgi complex in the cytoplasm of mammalian retinal cells. Also, they could play a role in the modulation of gene expression at the mRNA level, which remains to be established, in a number of nuclear compartments in transformed retinal neurons. Full article
Show Figures

Graphical abstract

18 pages, 1408 KB  
Article
Storm-Induced Wind Damage to Urban Trees and Residents’ Perceptions: Quantifying Species and Placement to Change Best Practices
by Attila Molnár V., Szabolcs Kis, Henrietta Bak, Timea Nagy, Attila Takács, Mark C. Mainwaring and Jenő Nagy
Plants 2025, 14(21), 3366; https://doi.org/10.3390/plants14213366 - 3 Nov 2025
Viewed by 731
Abstract
Tree-covered urban green spaces, including streets, parks, and other public areas, are vital for urban sustainability and people’s well-being. However, such trees face threats from the occurrence of extreme weather. In this study, we investigated wind damage to urban trees in the city [...] Read more.
Tree-covered urban green spaces, including streets, parks, and other public areas, are vital for urban sustainability and people’s well-being. However, such trees face threats from the occurrence of extreme weather. In this study, we investigated wind damage to urban trees in the city of Debrecen, Hungary, during two severe windstorms in July 2025. Field surveys were conducted across three distinct urban zones, covering approximately 515,000 m2 in total. We assessed 201 damaged and 325 undamaged trees and recorded the species, size, damage type, and contextual landscape features associated with them being damaged or not. Damage type to trees consisted primarily of broken branches, whilst uprooting and trunk breakage were recorded less often. Most tree characteristics (trunk circumference, height, systematic position, nativity) and the proximity and height of buildings upwind of focal trees were significant predictors of their vulnerability to windstorms. In addition, we surveyed 150 residents in person and received comments from 54 people via online questionnaires and explored their perceptions of storm frequency, the causes of storms, and mitigation measures. Most respondents noted increased storm frequency and attributed that to climate change, and they suggested mitigation measures focused on urban tree management and environmental protection. Some people expressed scepticism about the presence of climate change and/or their ability to address such damage on an individual basis. Our study is the first to integrate assessments of storm-related impacts on urban trees with the opinions of residents living in proximity to them. Our findings highlight the need for climate-adaptive and mechanically robust urban forestry planning and offer insights that guide the management of trees in urban areas globally. Specifically, we propose to undertake the following: (1) Prioritise structurally resilient, stress-tolerant tree species adapted to extreme weather conditions when planting new trees. (2) Integrate wind dynamics, microclimatic effects and artificial stabilisation techniques into urban design processes to optimise tree placement and their long-term stability. Urban planners, builders, developers, and homeowners should be informed about these stabilising practices and incorporate the needs of trees early in the design process, rather than as decorative additions. (3) Develop regionally calibrated risk models and early-warning systems to support proactive and data-driven tree management and public safety. (4) Promote climate literacy and public participation to strengthen collective stewardship and resilience of urban trees. Full article
(This article belongs to the Special Issue Sustainable Plants and Practices for Resilient Urban Greening)
Show Figures

Figure 1

18 pages, 2908 KB  
Article
Intelligent Fault Diagnosis for Rotating Machinery Utilizing Gramian Angular Field-Parallel Convolutional Neural Network and Gated Recurrent Unit Networks
by Yuxiang Hu, Shengyi Cheng and Xianjun Du
Appl. Sci. 2025, 15(16), 9217; https://doi.org/10.3390/app15169217 - 21 Aug 2025
Cited by 2 | Viewed by 844
Abstract
To address the limitations of traditional fault diagnosis methods for rotating machinery, which heavily rely on single-dimensional vibration data and fail to fully exploit the deep features of time-series data, this study proposes an innovative diagnostic model that integrates Gramian Angular Field-Parallel Convolutional [...] Read more.
To address the limitations of traditional fault diagnosis methods for rotating machinery, which heavily rely on single-dimensional vibration data and fail to fully exploit the deep features of time-series data, this study proposes an innovative diagnostic model that integrates Gramian Angular Field-Parallel Convolutional Neural Network (GAF-PCNN) with Gated Recurrent Units (GRU). Specifically, one-dimensional vibration signals are first transformed into Gramian angular and difference fields as image representations using Gramian Angular Field (GAF). These two types of images are then input into parallel-configured PCNN modules for feature learning. The features extracted by the two CNN branches are weighted and fused to construct a combined feature sequence. This sequence is subsequently fed into the GRU network to capture temporal dependencies and perform deep feature extraction. In this process, an integrated self-attention mechanism is applied to dynamically select key features. The proposed method is validated using two publicly available datasets, including comparative and noise interference experiments. The results demonstrate that the proposed model excels in diagnostic accuracy, model generalization, and robustness against noise interference. Full article
Show Figures

Figure 1

17 pages, 11097 KB  
Article
Experimental Study on Single-Particle Combustion Characteristics of Large-Sized Wheat Straw in a Drop Tube Furnace
by Haoteng Zhang, Lihui Yu, Cuina Qin, Shuo Jiang and Chunjiang Yu
Energies 2025, 18(15), 3968; https://doi.org/10.3390/en18153968 - 24 Jul 2025
Viewed by 631
Abstract
Co-firing large-sized straw biomass in pulverized coal boilers is a potential pathway for carbon emission reduction in China’s thermal power plants. However, experimental data on large-sized straw combustion under pulverized coal boiler combustion conditions are critically lacking. This study selected typical large-sized wheat [...] Read more.
Co-firing large-sized straw biomass in pulverized coal boilers is a potential pathway for carbon emission reduction in China’s thermal power plants. However, experimental data on large-sized straw combustion under pulverized coal boiler combustion conditions are critically lacking. This study selected typical large-sized wheat straw particles. Employing a two-mode experimental setup in a drop tube furnace (DTF) system simulating pulverized coal boiler conditions, we systematically investigated the combustion behavior and alkali metal release characteristics of this large-sized straw biomass, with combustion processes summarized for diverse particle types. The findings reveal asynchronous combustion progression across particle surfaces due to heterogeneous mass transfer and gas diffusion; unique behaviors distinct from denser woody biomass, including bending deformation, fiber branching, and fragmentation, occur; significant and morphology-specific deformations occur during devolatilization; fragmentation universally produces particles of varied shapes (needle-like, flaky, blocky, semi-tubular) during char combustion; and potassium release exceeds 35% after complete devolatilization and surpasses 50% at a burnout degree exceeding 80%. This work provides essential experimental data on the fundamental combustion characteristics and alkali metal release of large-sized wheat straw particles under pulverized coal boiler combustion conditions, offering engineering application guidance for the direct co-firing of large-sized flexible straw biomass in pulverized coal boilers. Full article
(This article belongs to the Section A4: Bio-Energy)
Show Figures

Figure 1

30 pages, 1106 KB  
Review
Transcription-Coupled Nucleotide Excision Repair: A Faster Solution or the Only Option?
by Andriy Khobta and Leen Sarmini
Biomolecules 2025, 15(7), 1026; https://doi.org/10.3390/biom15071026 - 16 Jul 2025
Cited by 1 | Viewed by 2413
Abstract
A branch of the nucleotide excision repair (NER) pathway, transcription-coupled repair (TCR or TC-NER) specifically operates on the template DNA strand of actively transcribed genes. Initiated by stalling of elongating RNA polymerase complexes at damaged sites, TC-NER has historically been viewed as “accelerated [...] Read more.
A branch of the nucleotide excision repair (NER) pathway, transcription-coupled repair (TCR or TC-NER) specifically operates on the template DNA strand of actively transcribed genes. Initiated by stalling of elongating RNA polymerase complexes at damaged sites, TC-NER has historically been viewed as “accelerated repair”, arguably necessary for the maintenance of vital transcription function. Conversely, the conventional “global genome” (GG-NER) mechanism, operating throughout the genome, is usually regarded as a much slower process, even though it has long been found that differences in repair kinetics between transcribed DNA and the rest of the genome are not manifested for all structural types of DNA damage. Considering that damage detection is the rate-limiting step of overall repair reactions in most cases and that the mechanisms of the initial recognition of modified DNA structure are fundamentally different between TC-NER and GG-NER, it is suggestive to attribute the observed kinetic differences to different damage spectra recognized by the two pathways. This review summarizes current knowledge on the differential requirements of TC-NER and GG-NER towards specific damage types, based on their structural rather than spatial characteristics, and highlights some common features of DNA modifications repaired preferentially or exclusively by TC-NER, while evading other repair mechanisms. Full article
(This article belongs to the Special Issue Molecular Mechanisms in DNA and RNA Damage and Repair)
Show Figures

Figure 1

19 pages, 1306 KB  
Article
Root Cause Analysis of Cast Product Defects with Two-Branch Reasoning Network Based on Continuous Casting Quality Knowledge Graph
by Xiaojun Wu, Xinyi Wang, Yue She, Mengmeng Sun and Qi Gao
Appl. Sci. 2025, 15(13), 6996; https://doi.org/10.3390/app15136996 - 20 Jun 2025
Cited by 1 | Viewed by 1149
Abstract
A variety of cast product defects may occur in the continuous casting process. By establishing a Continuous Casting Quality Knowledge Graph (C2Q-KG) focusing on the causes of cast product defects, enterprises can systematically sort out and express the relations between various production factors [...] Read more.
A variety of cast product defects may occur in the continuous casting process. By establishing a Continuous Casting Quality Knowledge Graph (C2Q-KG) focusing on the causes of cast product defects, enterprises can systematically sort out and express the relations between various production factors and cast product defects, which makes the reasoning process for the causes of cast product defects more objective and comprehensive. However, reasoning schemes for general KGs often use the same processing method to deal with different types of relations, without considering the difference in the number distribution of the head and tail entities in the relation, leading to a decrease in reasoning accuracy. In order to improve the reasoning accuracy of C2Q-KGs, this paper proposes a model based on a two-branch reasoning network. Our model classifies the continuous casting triples according to the number distribution of the head and tail entities in the relation and connects a two-branch reasoning network consisting of one connection layer and one capsule layer behind the convolutional layer. The connection layer is used to deal with the sparsely distributed entity-side reasoning task in the triple, while the capsule layer is used to deal with the densely distributed entity-side reasoning task in the triple. In addition, the Graph Attention Network (GAT) is introduced to enable our model to better capture the complex information hidden in the neighborhood of each entity and improve the overall reasoning accuracy. The experimental results show that compared with other cutting-edge methods on the continuous casting data set, our model significantly improves performance and infers more accurate root causes of cast product defects, which provides powerful guidance for enterprise production. Full article
Show Figures

Figure 1

18 pages, 8075 KB  
Article
Kinetic Aspects of Chrysotile Asbestos Thermal Decomposition Process
by Robert Kusiorowski, Anna Gerle, Magdalena Kujawa and Andrea Bloise
Minerals 2025, 15(6), 609; https://doi.org/10.3390/min15060609 - 5 Jun 2025
Cited by 2 | Viewed by 1376
Abstract
Growing requirements in the field of environmental protection and waste management result in the need to search for new and effective methods of recycling various types of waste. From the perspective of technical and natural sciences, the disposal of hazardous waste, which can [...] Read more.
Growing requirements in the field of environmental protection and waste management result in the need to search for new and effective methods of recycling various types of waste. From the perspective of technical and natural sciences, the disposal of hazardous waste, which can lead to environmental degradation, is of utmost importance. A particularly hazardous waste is asbestos, used until recently in many branches of the economy and industry. Despite the ban on the production and use of asbestos introduced in many countries, products containing it are still present in the environment and pose a real threat. This paper presents the results of research related to the process of asbestos neutralization, especially the chrysotile variety, by the thermal decomposition method. Changes in the mineralogical characteristics of asbestos waste were studied using the following methods: TG-DTA-EGA, XRD, SEM-EDS and XRF. The characteristics of the chrysotile asbestos sample were determined before and after thermal treatment at selected temperatures. The second part of the study focuses on the kinetic aspect of this process, where the chrysotile thermal decomposition process was measured by two techniques: ex situ and in situ. This study showed that the chrysotile structure collapsed at approximately 600–800 °C through dehydroxylation, and then the fibrous chrysotile asbestos was transformed into new mineral phases, such as forsterite and enstatite. The formation of forsterite was observed at temperatures below 1000 °C, while enstatite was created above this temperature. From the kinetic point of view, the chrysotile thermal decomposition process could be described by the Avrami–Erofeev model, and the calculated activation energy values were ~180 kJ mol−1 and ~220 kJ mol−1 for ex situ and in situ processes, respectively. The obtained results indicate that the thermal method can be successfully used to detoxify hazardous chrysotile asbestos fibers. Full article
Show Figures

Graphical abstract

18 pages, 8552 KB  
Article
Application of a Rational Crystal Contact Engineering Strategy on a Poly(ethylene terephthalate)-Degrading Cutinase
by Brigitte Walla, Anna-Maria Dietrich, Edwin Brames, Daniel Bischoff, Stefanie Fritzsche, Kathrin Castiglione, Robert Janowski, Dierk Niessing and Dirk Weuster-Botz
Bioengineering 2025, 12(6), 561; https://doi.org/10.3390/bioengineering12060561 - 23 May 2025
Viewed by 1205
Abstract
Industrial biotechnology offers a potential ecological solution for PET recycling under relatively mild reaction conditions via enzymatic degradation, particularly using the leaf branch compost cutinase (LCC) quadruple mutant ICCG. To improve the efficient downstream processing of this biocatalyst after heterologous gene expression with [...] Read more.
Industrial biotechnology offers a potential ecological solution for PET recycling under relatively mild reaction conditions via enzymatic degradation, particularly using the leaf branch compost cutinase (LCC) quadruple mutant ICCG. To improve the efficient downstream processing of this biocatalyst after heterologous gene expression with a suitable production host, protein crystallization can serve as an effective purification/capture step. Enhancing protein crystallization was achieved in recent studies by introducing electrostatic (and aromatic) interactions in two homologous alcohol dehydrogenases (Lb/LkADH) and an ene reductase (NspER1-L1,5) produced with Escherichia coli. In this study, ICCG, which is difficult to crystallize, was utilized for the application of crystal contact engineering strategies, resulting in ICCG mutant L50Y (ICCGY). Previously focused on the Lys-Glu interaction for the introduction of electrostatic interactions at crystal contacts, the applicability of the engineering strategy was extended here to an Arg-Glu interaction to increase crystallizability, as shown for ICCGY T110E. Furthermore, the rationale of the engineering approach is demonstrated by introducing Lys and Glu at non-crystal contacts or sites without potential interaction partners as negative controls. These resulting mutants crystallized comparably but not superior to the wild-type protein. As demonstrated by this study, crystal contact engineering emerges as a promising approach for rationally enhancing protein crystallization. This advancement could significantly streamline biotechnological downstream processing, offering a more efficient pathway for research and industry. Full article
(This article belongs to the Section Biochemical Engineering)
Show Figures

Figure 1

16 pages, 6172 KB  
Article
A Novel Dual-Channel Hybrid Attention Model for Wind Turbine Misalignment Fault Diagnosis
by Tong Tong, Xiang Liu, Jia Zhang, Dian Long, Teng Fan and Xiangyang Zheng
Machines 2025, 13(5), 368; https://doi.org/10.3390/machines13050368 - 29 Apr 2025
Viewed by 602
Abstract
Aiming at the problems of inaccurate feature extraction, slow convergence, and low diagnostic accuracy of wind turbine misalignment fault diagnosis under complex working conditions, this paper proposes an innovative diagnostic method based on two channels of U-Net and ResNet50. The model innovatively introduces [...] Read more.
Aiming at the problems of inaccurate feature extraction, slow convergence, and low diagnostic accuracy of wind turbine misalignment fault diagnosis under complex working conditions, this paper proposes an innovative diagnostic method based on two channels of U-Net and ResNet50. The model innovatively introduces the multi-head attention mechanism (MHA) in the jump connection of the U-Net architecture to form hybrid U-Net and optimizes the feature fusion process with dynamically learnable weights, which significantly enhances the ability to capture local details and key fault features. In the ResNet50 branch, deep global features are fully mined for extraction. To further achieve the co-optimization of global and local information, a shared hybrid expert attention (SHEA) module is proposed. This module achieves efficient integration of features by adaptively fusing the multi-scale local features output from the hybrid U-Net decoder with the deep global features extracted from the ResNet50 backbone network through a dynamic weighting and expert selection mechanism. The multi-scale features optimized by the SHEA module are fed into the classifier for fault type determination. The experimental results show that the method demonstrates excellent convergence speed and 99.64% classification accuracy under complex working conditions, providing an effective solution for the intelligent diagnosis of wind turbine misalignment faults. Full article
(This article belongs to the Special Issue Condition Monitoring and Fault Diagnosis)
Show Figures

Figure 1

15 pages, 17211 KB  
Article
Impact of Heterogeneity in Low-Permeability Reservoirs on Self-Diverting Acid Wormhole Formation and Acidizing Parameter Optimization
by Jun Luo, Chunlin Liu, An Liu, Xuchen Zhang and Fajian Nie
Processes 2025, 13(4), 1029; https://doi.org/10.3390/pr13041029 - 30 Mar 2025
Viewed by 667
Abstract
Carbonate rocks typically exhibit strong heterogeneity, which can have a significant impact on the effectiveness of acidification processes, and different types of acids are needed in the field to achieve various acidizing goals. This article develops a self-diverting acidizing program based on the [...] Read more.
Carbonate rocks typically exhibit strong heterogeneity, which can have a significant impact on the effectiveness of acidification processes, and different types of acids are needed in the field to achieve various acidizing goals. This article develops a self-diverting acidizing program based on the two-scale continuum model and open-source software FMOT, and investigates the influence of heterogeneity intensity on wormhole morphology and acidizing process parameters. The results indicate that different heterogeneity intensities significantly affected the morphology of the wormhole. At low intensity, the shape of the wormhole is close to a straight line, while at high intensity, it becomes tree-like. The reason for the significant impact is that the higher the heterogeneity intensity, the more obvious the dominant path within the rock, the more uneven the high viscosity zone formed, and the more obvious the turning of spent acid flow. The optimal injection rate of self-diverting acid increases with the increase in temperature. At lower injection rates, the self-diverting acid can produce more branching wormholes, and low temperatures enhance this effect, especially at high heterogeneity. Whether at a higher or lower acid injection rate, increasing the acid injection temperature appropriately is helpful to improve the acidizing efficiency. The acid injection rate and temperature should be adjusted to adapt to the pore heterogeneity of different intensities. Full article
(This article belongs to the Special Issue Advanced Strategies in Enhanced Oil Recovery: Theory and Technology)
Show Figures

Figure 1

18 pages, 2772 KB  
Article
Evaluation of Additive Neuroprotective Effect of Combination Therapy for Parkinson’s Disease Using In Vitro Models
by Alexander Shtilbans, Elise Esneault, Florian Simon, Joseph R. Mazzulli, Drew J. Quiriconi, Dror Rom, Wolfgang E. Reintsch, Andrea I. Krahn and Thomas M. Durcan
Antioxidants 2025, 14(4), 396; https://doi.org/10.3390/antiox14040396 - 27 Mar 2025
Cited by 2 | Viewed by 2471
Abstract
Background: All the processes leading to neurodegeneration cannot be addressed with just one medication. Combinations of drugs affecting various disease mechanisms concurrently could demonstrate improved effect in slowing the course of Parkinson’s disease (PD). Objective: This was a drug-repurposing experiment designed to assess [...] Read more.
Background: All the processes leading to neurodegeneration cannot be addressed with just one medication. Combinations of drugs affecting various disease mechanisms concurrently could demonstrate improved effect in slowing the course of Parkinson’s disease (PD). Objective: This was a drug-repurposing experiment designed to assess several combinations of nine drugs for possible added or synergistic efficacy using in vitro models of PD. Methods: We evaluated 44 combinations of the nine medications (sodium phenylbutyrate, terazosin, exenatide, ambroxol, deferiprone, coenzyme-Q10, creatine, dasatinib and tauroursodeoxycholic acid) selected for their previously demonstrated evidence of their impact on different targets, showing neuroprotective properties in preclinical models of PD. We utilized wild-type induced pluripotent stem-cell-derived human dopaminergic neurons treated with 1-methyl-4-phenylpyridinium for initial screening. We retested some combinations using an idiopathic PD patient-derived induced pluripotent stem cell line and alpha-synuclein triplication line. We assessed anti-neuroinflammatory effects using human microglia cells. As metrics, we evaluated neurite length, number of branch points per mm2, the number of live neurons, neurofilament heavy chain and pro-inflammatory cytokines. Results: We have identified four combinations of two to three drugs that showed an additive protective effect in some endpoints. Only the combination of sodium phenylbutyrate, exenatide and tauroursodeoxycholic acid showed improvement in four endpoints studied. Conclusions: We demonstrated that some of the medications, used in combination, can exert an additive neuroprotective effect in preclinical models of PD that is superior to that of each of the compounds individually. This project can lead to the development of the first treatment for PD that can slow or prevent its progression. Full article
(This article belongs to the Special Issue Oxidative Stress Mechanisms and Parkinson's Disease Treatment)
Show Figures

Figure 1

Back to TopTop