Sign in to use this feature.

Years

Between: -

Subjects

remove_circle_outline
remove_circle_outline
remove_circle_outline
remove_circle_outline
remove_circle_outline
remove_circle_outline

Journals

Article Types

Countries / Regions

Search Results (17)

Search Parameters:
Keywords = tsunami bore

Order results
Result details
Results per page
Select all
Export citation of selected articles as:
25 pages, 7039 KB  
Article
Evaluating the Influence of Vegetation Breakage on Tsunami-Induced Structural Forces: An Experimental Study
by Ranasinghege Nipuni Udarika and Norio Tanaka
Geosciences 2025, 15(9), 339; https://doi.org/10.3390/geosciences15090339 - 2 Sep 2025
Viewed by 970
Abstract
This study experimentally investigated the influence of vegetation integrity, vertical architecture and morphology, flexibility, and patch length on tsunami bore attenuation and structural force reduction, using Pandanus odoratissimus (screwpine) as a model species. A key aspect of the experimental design was [...] Read more.
This study experimentally investigated the influence of vegetation integrity, vertical architecture and morphology, flexibility, and patch length on tsunami bore attenuation and structural force reduction, using Pandanus odoratissimus (screwpine) as a model species. A key aspect of the experimental design was the simulation of vegetation breakage, defined as occurring when the tsunami water depth exceeded 80% of tree height, a critical threshold for structural failure. Results showed that vegetation under non-breaking conditions significantly attenuated water levels and hydrodynamic forces, with maximum tsunami force reductions of up to 70% for rigid and 66.5% for flexible vegetation, particularly when the patch extended further inland (i.e., longer vegetation length). In contrast, vegetation breakage led to a notable decline in protective performance, with horizontal and uplift force reductions dropping between 10.1–45.2% and 10.7–16.7%, respectively, in short patches. Flexible vegetation exhibited the greatest loss of effectiveness due to structural collapse. However, longer vegetation patches played a compensatory role, maintaining higher force reduction even under breaking conditions. Notably, broken P. odoratissimus still contributes to energy dissipation through its intact dense aerial roots that resist flow near the bed. These findings highlight the importance of maintaining vegetation integrity for effective tsunami mitigation, while also recognizing that partially damaged vegetation retains some protective function, particularly when configured in extended patches. Full article
(This article belongs to the Section Natural Hazards)
Show Figures

Figure 1

17 pages, 5499 KB  
Article
An Experimental Investigation of Tsunami Bore Impact on Coastal Structures
by Kutsi S. Erduran, Yahya E. Akansu, Uğur Ünal and Olusola O. Adekoya
Hydrology 2024, 11(9), 131; https://doi.org/10.3390/hydrology11090131 - 23 Aug 2024
Cited by 1 | Viewed by 3059
Abstract
This experimental study focused on the measurement and analysis of the impact force caused by a tsunami bore on a coastal structure. The bore wave was produced by a dam break mechanism. The water depth in the reservoir and the location of the [...] Read more.
This experimental study focused on the measurement and analysis of the impact force caused by a tsunami bore on a coastal structure. The bore wave was produced by a dam break mechanism. The water depth in the reservoir and the location of the coastal structures were varied to simulate different impact scenarios. The time history of the force resulting from the impact of the bore wave on the coastal structure was measured. The propagation of the bore wave along the flume was recorded and the video recordings were converted into digital data using an image-processing technique in order to determine the flow depth variations with time. The hydrostatic forces and the corresponding depth and time-averaged hydrodynamic forces as well as the maximum hydrodynamic forces were acquired for each scenario. The ratio of hydrodynamic to hydrostatic forces were obtained, and it was observed that the calculated averaged ratio was within the recommended design ratio. The results indicate that an increase in the reservoir level caused an increase in the magnitude and intensity of the impact forces, however, the relationship was non-linear. Moreover, it was found that the location of the structure did not play a significant role on the intensity of the impact forces. Full article
(This article belongs to the Special Issue Climate Change Effects on Coastal Management)
Show Figures

Figure 1

19 pages, 13622 KB  
Article
Tsunami Inundation Modelling in a Built-In Coastal Environment with Adaptive Mesh Refinement: The Onagawa Benchmark Test
by Morhaf Aljber, Han Soo Lee, Jae-Soon Jeong and Jonathan Salar Cabrera
J. Mar. Sci. Eng. 2024, 12(1), 177; https://doi.org/10.3390/jmse12010177 - 17 Jan 2024
Viewed by 3396
Abstract
In tsunami studies, understanding the intricate dynamics in the swash area, characterised by the shoaling effect, remains a challenge. In this study, we employed the adaptive mesh refinement (AMR) method to model tsunami inundation and propagation in the Onagawa town physical flume experiment. [...] Read more.
In tsunami studies, understanding the intricate dynamics in the swash area, characterised by the shoaling effect, remains a challenge. In this study, we employed the adaptive mesh refinement (AMR) method to model tsunami inundation and propagation in the Onagawa town physical flume experiment. Using the open-source flow solver Basilisk, we implemented the Saint-Venant (SV) equations, Serre–Green–Naghdi (SGN) equations, and a nonhydrostatic multilayer (ML) extension of the SGN equations. A hydraulic bore tsunami-like wave was used as the input boundary condition. The objective was to assess the efficiency of the AMR method with nonhydrostatic tsunami models in overcoming limitations in 2D and quasi-3D models in flume experiments, particularly with respect to improving accuracy in arrival time and run-up detection. The results indicate improved performance of the SGN and SV models in determining tsunami arrival times. The ML model demonstrated enhanced wave run-up simulations on complex built-in terrain. The refined roughness coefficient determined using the ML solver captured the arrival time well in the northern section of the Onagawa model, albeit with a 1 s delay. The AMR method offered a computationally stable solution with an 86.3% reduction in computational time compared to a constant grid. While effective, the nonhydrostatic models entail the use of a great deal of computational resources. Full article
(This article belongs to the Section Coastal Engineering)
Show Figures

Figure 1

21 pages, 3385 KB  
Article
On Solitary Wave Breaking and Impact on a Horizontal Deck
by Jiaqi Liu and Masoud Hayatdavoodi
J. Mar. Sci. Eng. 2023, 11(5), 1033; https://doi.org/10.3390/jmse11051033 - 12 May 2023
Cited by 9 | Viewed by 2162
Abstract
The impact of waves and bores generated by broken solitary waves on horizontal decks of coastal structures was studied by solving the Navier–Stokes equations. Solitary waves of different amplitudes were considered, and submerged ramps were used to bring the waves to the breaking [...] Read more.
The impact of waves and bores generated by broken solitary waves on horizontal decks of coastal structures was studied by solving the Navier–Stokes equations. Solitary waves of different amplitudes were considered, and submerged ramps were used to bring the waves to the breaking point. The horizontal fixed deck was located downwave of the ramp and placed at various elevations above and below the still-water level. The results include the surface elevation of the wave and the bore-induced horizontal and vertical forces on the deck. The results were compared with laboratory measurements and those due to the bore generated by breaking a reservoir, and a discussion is provided on the relative magnitude of the loads. It is found that breaking solitary waves and dam-break provide reasonable loading conclusions for tsunamis events. Full article
(This article belongs to the Section Ocean Engineering)
Show Figures

Figure 1

16 pages, 7805 KB  
Article
Accelerating Tsunami Modeling for Evacuation Studies through Modification of the Manning Roughness Values
by Giovanni Cárdenas and Patricio A. Catalán
GeoHazards 2022, 3(4), 492-507; https://doi.org/10.3390/geohazards3040025 - 26 Oct 2022
Cited by 8 | Viewed by 3473
Abstract
The role of the Manning roughness coefficient in modifying a tsunami time series of flow depth inundation was studied in Iquique, Chile, using a single synthetic earthquake scenario. A high-resolution digital surface model was used as a reference configuration, and several bare land [...] Read more.
The role of the Manning roughness coefficient in modifying a tsunami time series of flow depth inundation was studied in Iquique, Chile, using a single synthetic earthquake scenario. A high-resolution digital surface model was used as a reference configuration, and several bare land models using constant roughness were tested with different grid resolutions. As previously reported, increasing the Manning n value beyond the standard values is essential to reproduce mean statistics such as the inundated area extent and maximum flow depth. The arrival time showed to be less sensitive to changes in the Manning n value, at least in terms of the magnitude of the error. However, increasing the Manning n value too much leads to a critical change in the characteristics of the flow, which departs from its bore-like structure to a more gradual and persistent inundation. It was found that it is possible to find a Manning n value that resembles most features of the reference flow using less resolution in the numerical grids. This allows us to speed up inundation tsunami modeling, which could be useful when multiple inundation simulations are required. Full article
(This article belongs to the Special Issue Modelling and Numerical Simulation of Tsunami)
Show Figures

Figure 1

25 pages, 6188 KB  
Article
Tsunami-Induced Bores Propagating over a Canal, Part II: Numerical Experiments Using the Standard k-ε Turbulence Model
by Nuri Elsheikh, Amir H. Azimi, Ioan Nistor and Abdolmajid Mohammadian
Fluids 2022, 7(7), 214; https://doi.org/10.3390/fluids7070214 - 22 Jun 2022
Cited by 2 | Viewed by 2097
Abstract
This companion paper presents the results of a series of numerical experiments examining the effects of a mitigation canal on the hydrodynamics of a tsunami-like turbulent bore proceeding over a horizontal bed. The hydraulic bores were generated by a dam-break setup which employed [...] Read more.
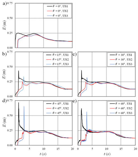
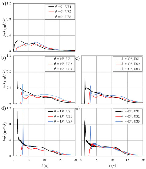
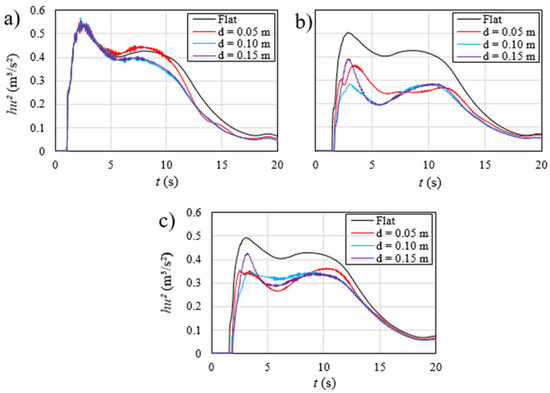
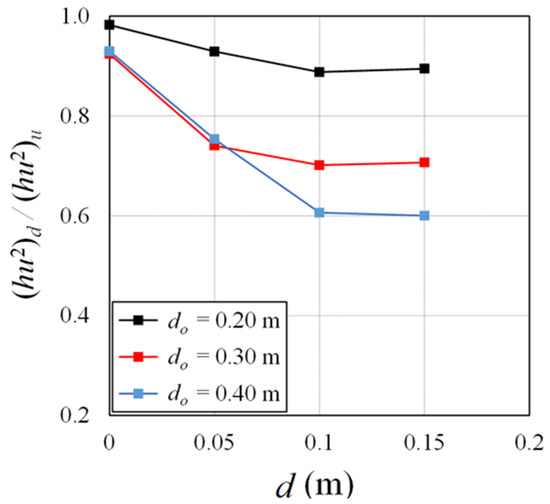
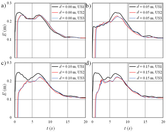
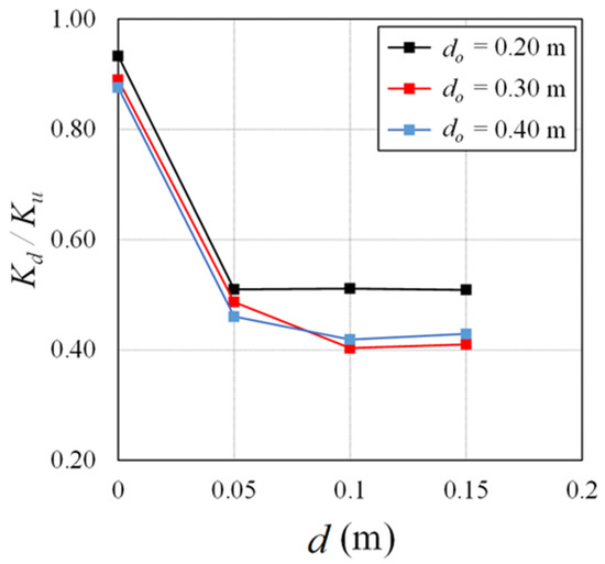
This companion paper presents the results of a series of numerical experiments examining the effects of a mitigation canal on the hydrodynamics of a tsunami-like turbulent bore proceeding over a horizontal bed. The hydraulic bores were generated by a dam-break setup which employed impoundment depths of do = 0.20 m, 0.30 m, and 0.40 m. The bore propagated downstream of the impoundments in the flume and interacted with a canal with varying geometry located downstream. The bore then left the flume through a drain located further downstream of the canal. In this study, the effect of the canal depth on the specific momentum and specific energy of hydraulic bores passing over a rectangular canal is numerically studied. The canal width was kept constant, at w = 0.6 m, while the canal depths were varied as follows: d = 0.05 m, 0.10 m, and 0.15 m. The time history of mean flow energy during the bore’s passing over the mitigation canal indicates that the jet stream of the maximum mean flow energy is controlled by the canal depth. The time required to dissipate the jet stream of the maximum vorticity, the turbulent kinetic energy, and the energy dissipation rate all increased as the canal depth decreased. The effect of canal orientation on the bore hydrodynamics was also numerically investigated, and it was found that the impulsive momentum and specific energy reached the highest values for canal orientations of 45 and 60 degrees. For the same canal depth, the highest peak specific momentum occurred with the highest degree of canal orientation (θ = 60°). Full article
Show Figures

Figure 1

24 pages, 4860 KB  
Article
Tsunami-Induced Bore Propagating over a Canal—Part 1: Laboratory Experiments and Numerical Validation
by Nuri Elsheikh, Ioan Nistor, Amir H. Azimi and Abdolmajid Mohammadian
Fluids 2022, 7(7), 213; https://doi.org/10.3390/fluids7070213 - 22 Jun 2022
Cited by 7 | Viewed by 2664
Abstract
This companion paper investigates the hydrodynamics of turbulent bores that propagate on a horizontal plane and have a striking resemblance to dam break waves and tsunami-like hydraulic bores. The focus of this paper is on the propagation of a turbulent bore over a [...] Read more.
This companion paper investigates the hydrodynamics of turbulent bores that propagate on a horizontal plane and have a striking resemblance to dam break waves and tsunami-like hydraulic bores. The focus of this paper is on the propagation of a turbulent bore over a mitigation canal using both laboratory experiments and numerical simulations. In the first part of this paper, the effects of canal depth on the time histories of wave height and velocity were experimentally investigated, and the experimental results were used for the validation of the numerical model. The rapid release of water from an impoundment reservoir at depths of do = 0.30 m and 0.40 m generated bores analogous to tsunami-induced inundations. The time histories of the wave heights and velocities were measured at 0.2 m upstream and at 0.2 m and 0.58 m downstream of the canal to study the energy dissipation effect of the mitigation canal. The recorded time series of the water surface levels and velocities were compared with simulation outputs, and good agreement was found between the experimental and numerical water surface profiles, with a Root Mean Square Error (RMSE) of less than 6.7% and a relative error of less than 8.4%. Three turbulence models, including the standard k-ε, Realizable k-ε, and RNG k-ε, were tested, and it was found that all these models performed well, with the standard k-ε model providing the highest accuracy. The velocity contour plots of the mitigation canal with different depths showed jet streams of different sizes in the shallow, medium-depth, and deep canals. The energy dissipation and air bubble entrainment of the bore as it plunged downward into the canal increased as the canal depth increased, and the jet stream of the maximum bore velocity decreased as the canal depth increased. It was found that the eye of the vortex created by the bore in the canal moved in the downstream direction and plunged downward in the middle of the canal, where it then began to separate into two smaller vortices. Full article
Show Figures

Figure 1

18 pages, 7236 KB  
Article
Deformation Anomalies Accompanying Tsunami Origination
by Grigory Dolgikh and Stanislav Dolgikh
J. Mar. Sci. Eng. 2021, 9(10), 1144; https://doi.org/10.3390/jmse9101144 - 18 Oct 2021
Cited by 12 | Viewed by 2598
Abstract
Basing on the analysis of data on variations of deformations in the Earth’s crust, which were obtained with a laser strainmeter, we found that deformation anomalies (deformation jumps) occurred at the time of tsunami generation. Deformation jumps recorded by the laser strainmeter were [...] Read more.
Basing on the analysis of data on variations of deformations in the Earth’s crust, which were obtained with a laser strainmeter, we found that deformation anomalies (deformation jumps) occurred at the time of tsunami generation. Deformation jumps recorded by the laser strainmeter were apparently caused by bottom displacements, leading to tsunami formation. According to the data for the many recorded tsunamigenic earthquakes, we calculated the damping ratios of the identified deformation anomalies for three regions of the planet. We proved the obtained experimental results by applying the sine-Gordon equation, the one-kink and two-kink solutions of which allowed us to describe the observed deformation anomalies. We also formulated the direction of a theoretical deformation jump occurrence—a kink (bore)—during an underwater landslide causing a tsunami. Full article
(This article belongs to the Special Issue Sea Level Fluctuations)
Show Figures

Figure 1

32 pages, 64154 KB  
Article
Coupled SPH–FEM Modeling of Tsunami-Borne Large Debris Flow and Impact on Coastal Structures
by Anis Hasanpour, Denis Istrati and Ian Buckle
J. Mar. Sci. Eng. 2021, 9(10), 1068; https://doi.org/10.3390/jmse9101068 - 29 Sep 2021
Cited by 78 | Viewed by 7529
Abstract
Field surveys in recent tsunami events document the catastrophic effects of large waterborne debris on coastal infrastructure. Despite the availability of experimental studies, numerical studies investigating these effects are very limited due to the need to simulate different domains (fluid, solid), complex turbulent [...] Read more.
Field surveys in recent tsunami events document the catastrophic effects of large waterborne debris on coastal infrastructure. Despite the availability of experimental studies, numerical studies investigating these effects are very limited due to the need to simulate different domains (fluid, solid), complex turbulent flows and multi-physics interactions. This study presents a coupled SPH–FEM modeling approach that simulates the fluid with particles, and the flume, the debris and the structure with mesh-based finite elements. The interaction between the fluid and solid bodies is captured via node-to-solid contacts, while the interaction of the debris with the flume and the structure is defined via a two-way segment-based contact. The modeling approach is validated using available large-scale experiments in the literature, in which a restrained shipping container is transported by a tsunami bore inland until it impacts a vertical column. Comparison of the experimental data with the two-dimensional numerical simulations reveals that the SPH–FEM models can predict (i) the non-linear transformation of the tsunami wave as it propagates towards the coast, (ii) the debris–fluid interaction and (iii) the impact on a coastal structure, with reasonable accuracy. Following the validation of the models, a limited investigation was conducted, which demonstrated the generation of significant debris pitching that led to a non-normal impact on the column with a reduced contact area and impact force. While the exact level of debris pitching is highly dependent on the tsunami characteristics and the initial water depth, it could potentially result in a non-linear force–velocity trend that has not been considered to date, highlighting the need for further investigation preferably with three-dimensional models. Full article
(This article belongs to the Special Issue Wave Interactions with Coastal Structures)
Show Figures

Figure 1

17 pages, 6646 KB  
Article
Tsunami Deposits on a Paleoproterozoic Unconformity? The 2.2 Ga Yerrida Marine Transgression on the Northern Margin of the Yilgarn Craton, Western Australia
by Desmond F. Lascelles and Ryan J. Lowe
J. Mar. Sci. Eng. 2021, 9(2), 213; https://doi.org/10.3390/jmse9020213 - 18 Feb 2021
Cited by 1 | Viewed by 3448
Abstract
Large blocks and boulders of banded iron formations and massive hematite up to 40 × 27 × 6 m3 and in excess of 10,000 metric tonnes were detached from an outcrop of the Wilgie Mia Formation during the ca 2.20 Ga marine [...] Read more.
Large blocks and boulders of banded iron formations and massive hematite up to 40 × 27 × 6 m3 and in excess of 10,000 metric tonnes were detached from an outcrop of the Wilgie Mia Formation during the ca 2.20 Ga marine transgression at the base of the Paleoproterozoic Windplain Group and deposited in a broad band on the wave-cut surface 900 to 1200 m to the east. At the same time, sand and shingle were scoured from the sea floor, leaving remnants only on the western side of the Wilgie Mia Formation and on the eastern sides of the boulders. Evidence suggesting that the blocks were detached and transported and the sea floor scoured by a tsunami bore with a height of at least 40 m is provided by the following: (1) the deposition of the blocks indicates transportation by a unidirectional sub-horizontal force, whereas the smaller boulders are randomly oriented; (2) 900–1200 m separates the banded iron formation (BIF) outcrop and the blocks (3) there is an absence of the basal conglomerate between the blocks; (4) the blocks and boulders rest directly on the wave-cut surface of deeply weathered amphibolites; (5) the blocks and boulders are surrounded and overlain by fine-grained sandstone of the Windplain Group. Full article
(This article belongs to the Section Geological Oceanography)
Show Figures

Figure 1

18 pages, 3900 KB  
Article
Long-Wave Penetration through a Laterally Periodic Continental Shelf
by Jeffrey Knowles and Harry Yeh
J. Mar. Sci. Eng. 2020, 8(4), 241; https://doi.org/10.3390/jmse8040241 - 1 Apr 2020
Cited by 1 | Viewed by 2169
Abstract
The transformation of long waves—such as tsunamis and storm surges—evolving over a continental shelf is investigated. We approach this problem numerically using a pseudo-spectral method for a higher-order Euler formulation. Solitary waves and undular bores are considered as models for the long waves. [...] Read more.
The transformation of long waves—such as tsunamis and storm surges—evolving over a continental shelf is investigated. We approach this problem numerically using a pseudo-spectral method for a higher-order Euler formulation. Solitary waves and undular bores are considered as models for the long waves. The bathymetry possesses a periodic ridge-valley configuration in the alongshore direction which facilitates a means by which we may observe the effects of refraction, diffraction, focusing, and shoaling. In this scenario, the effects of wave focusing and shoaling enhance the wave amplitude and phase speed in the shallower regions of the domain. The combination of these effects leads to a wave pattern that is atypical of the usual behavior seen in linear shallow-water theory. A reciprocating behavior in the amplitude on the ridge and valley for the wave propagation causes wave radiation behind the leading waves, hence, the amplitude approaches a smaller asymptotic value than the equivalent case with no lateral variation. For an undular bore propagating in one dimension over a smooth step, we find that the water surface resolves into five different mean water levels. The physical mechanisms for this phenomenon are provided. Full article
(This article belongs to the Special Issue Observation, Analysis, and Modeling of Nearshore Dynamics)
Show Figures

Graphical abstract

17 pages, 5450 KB  
Article
Experimental Study on Extreme Hydrodynamic Loading on Pipelines Part 2: Induced Force Analysis
by Behnaz Ghodoosipour, Jacob Stolle, Ioan Nistor, Abdolmajid Mohammadian and Nils Goseberg
J. Mar. Sci. Eng. 2019, 7(8), 262; https://doi.org/10.3390/jmse7080262 - 9 Aug 2019
Cited by 15 | Viewed by 4265
Abstract
Adequate design of pipelines used for oil, gas, water, and wastewater transmission is essential not only for their proper operation but particularly to avoid failure and the possible extreme consequences. This is even more drastic in nearshore environments, where pipelines are potentially exposed [...] Read more.
Adequate design of pipelines used for oil, gas, water, and wastewater transmission is essential not only for their proper operation but particularly to avoid failure and the possible extreme consequences. This is even more drastic in nearshore environments, where pipelines are potentially exposed to extreme hydrodynamic events, such as tsunami- or storm-surge-induced inundation. The American Society of Civil Engineers (ASCE), in its ASCE7 Chapter 6 on Tsunami Loads and Effects which is the new standard for tsunami impacts and loading, specifically stresses the need to study loads on pipelines located in tsunami-prone areas. To address this issue, this study is the first of its kind to investigate loading on pipelines due to tsunami-like bores. A comprehensive program of physical model experiments was conducted in the Dam-Break Hydraulic Flume at the University of Ottawa, Canada. The tests simulated on-land tsunami flow inundation propagating over a coastal plain. This allowed to record and investigate the hydrodynamic forces exerted on the pipe due to the tsunami-like, dam-break waves. Different pipe configurations, as well as various flow conditions, were tested to investigate their influence on exerted forces and moments. The goal of this study was to propose, based on the results of this study, resistance and lift coefficients which could be used for the design of pipelines located in tsunami-prone areas. The values of the resistance and lift coefficients investigated were found to be in the range of 1 <   C R < 3.5 and 0.5 ≤   C L < 3 , respectively. To that end, the study provides an upper envelope of resistance and lift coefficients over a wide range of Froude numbers for design purposes. Full article
(This article belongs to the Special Issue Tsunami Science and Engineering II)
Show Figures

Figure 1

36 pages, 10445 KB  
Article
Role of Trapped Air on the Tsunami-Induced Transient Loads and Response of Coastal Bridges
by Denis Istrati and Ian Buckle
Geosciences 2019, 9(4), 191; https://doi.org/10.3390/geosciences9040191 - 25 Apr 2019
Cited by 59 | Viewed by 6555
Abstract
In response to the extensive damage of coastal bridges sustained in recent tsunamis, this paper describes an investigation into tsunami-induced effects on two common bridge types, an open-girder deck with cross-frames and one with solid diaphragms. To this end, large-scale (1:5) physical models [...] Read more.
In response to the extensive damage of coastal bridges sustained in recent tsunamis, this paper describes an investigation into tsunami-induced effects on two common bridge types, an open-girder deck with cross-frames and one with solid diaphragms. To this end, large-scale (1:5) physical models with realistic structural members and elastomeric bearings were constructed and tested under a range of unbroken solitary waves and more realistic tsunami-like transient bores. The flexible bearings allowed the superstructure to rotate and translate vertically, thus simulating the wave–structure interaction during the tsunami inundation. Detailed analysis of the experimental data revealed that for both bridge types the resistance mechanism and transient structural response is characterized by a short-duration phase that introduces the maximum overturning moment, upward movement, and rotation of the deck, and a longer-duration phase that introduces significant uplift forces but small moment and rotation due to the fact that the wave is approaching the point of rotation. In the former phase the uplift is resisted mainly by the elastomeric bearings and columns offshore of the center of gravity of the superstructure (C.G.), maximizing their uplift demand. In the latter phase the total uplift is distributed more equally to all the bearings, which tends to maximize the uplift demand in the structural members close to the C.G. The air-entrapment in the chambers of the bridge with diaphragms modifies the wave–structure interaction, introducing (a) a different pattern and magnitude of wave pressures on the superstructure due to the cushioning effect; (b) a 39% average and 148% maximum increase in the total uplift forces; and (c) a 32% average increase of the overturning moment, which has not been discussed in previous studies. Deciphering the exact effect of the trapped air on the total uplift forces is challenging because, although the air consistently increases the quasi-static component of the force, it has an inconsistent and complex effect on the slamming component, which can either increase or decrease. Interestingly, the air also has a complex effect on the uplift demand in the offshore bearings and columns, which can decrease or increase even more than the total deck uplift, and an inconsistent effect on the uplift force of different structural components introduced by the same wave. These are major findings because they demonstrate that the current approach of investigating the effect of trapped air only on the total uplift is insufficient. Last but not least, the study reveals the existence of significant differences in the effects introduced by solitary waves and transient bores, especially when air is trapped beneath the deck; it also provides practical guidance to engineers, who are advised to design the elastomeric bearings offshore of the C.G. for at least 60% and 50% of the total induced uplift force, respectively, for a bridge with cross-frames and one with diaphragms, instead of distributing the total uplift equally to all bearings. Full article
(This article belongs to the Special Issue River, Urban, and Coastal Flood Risk)
Show Figures

Figure 1

35 pages, 7678 KB  
Article
Deciphering the Tsunami Wave Impact and Associated Connection Forces in Open-Girder Coastal Bridges
by Denis Istrati, Ian Buckle, Pedro Lomonaco and Solomon Yim
J. Mar. Sci. Eng. 2018, 6(4), 148; https://doi.org/10.3390/jmse6040148 - 5 Dec 2018
Cited by 75 | Viewed by 8623
Abstract
In view of the widespread damage to coastal bridges during recent tsunamis (2004 Indian Ocean and 2011 in Japan) large-scale hydrodynamic experiments of tsunami wave impact on a bridge with open girders were conducted in the Large Wave Flume at Oregon State University. [...] Read more.
In view of the widespread damage to coastal bridges during recent tsunamis (2004 Indian Ocean and 2011 in Japan) large-scale hydrodynamic experiments of tsunami wave impact on a bridge with open girders were conducted in the Large Wave Flume at Oregon State University. The main objective was to decipher the tsunami overtopping process and associated demand on the bridge and its structural components. As described in this paper, a comprehensive analysis of the experimental data revealed that: (a) tsunami bores introduce significant slamming forces, both horizontal (Fh) and uplift (Fv), during impact on the offshore girder and overhang; these can govern the uplift demand in connections; (b) maxFh and maxFv do not always occur at the same time and contrary to recommended practice the simultaneous application of maxFh and maxFv at the center of gravity of the deck does not yield conservative estimates of the uplift demand in individual connections; (c) the offshore connections have to withstand the largest percentage of the total induced deck uplift among all connections; this can reach 91% and 124% of maxFv for bearings and columns respectively, a finding that could explain the damage sustained by these connections and one that has not been recognized to date; (e) the generation of a significant overturning moment (OTM) at the initial impact when the slamming forces are maximized, which is the main reason for the increased uplift in the offshore connections; and (f) neither maxFv nor maxOTM coincide always with the maximum demand in each connection, suggesting the need to consider multiple combinations of forces with corresponding moments or with corresponding locations of application in order to identify the governing scenario for each structural component. In addition the paper presents “tsunami demand diagrams”, which are 2D envelopes of (Fh, Fv) and (OTM, Fv) and 3D envelopes of (Fh, Fv, OTM), as visual representations of the complex variation of the tsunami loading. Furthermore, the paper reveals the existence of a complex bridge inundation mechanism that consists of three uplift phases and one downward phase, with each phase maximizing the demand in different structural components. It then develops a new physics-based methodology consisting of three load cases, which can be used by practicing engineers for the tsunami design of bridge connections, steel bearings and columns. The findings in this paper suggest the need for a paradigm shift in the assessment of tsunami risk to coastal bridges to include not just the estimation of total tsunami load on a bridge but also the distribution of this load to individual structural components that are necessary for the survival of the bridge. Full article
(This article belongs to the Special Issue Tsunami Science and Engineering II)
Show Figures

Graphical abstract

17 pages, 4663 KB  
Article
Overtopping of Coastal Structures by Tsunami Waves
by Miguel Esteban, Toni Glasbergen, Tomoyuki Takabatake, Bas Hofland, Shinsaku Nishizaki, Yuta Nishida, Jacob Stolle, Ioan Nistor, Jeremy Bricker, Hiroshi Takagi and Tomoya Shibayama
Geosciences 2017, 7(4), 121; https://doi.org/10.3390/geosciences7040121 - 24 Nov 2017
Cited by 31 | Viewed by 9062
Abstract
Following the 2011 Tohoku Earthquake and Tsunami, Japanese tsunami protection guidelines stipulate that coastal defences should ensure that settlements are shielded from the coastal inundation that would result from Level 1 tsunami events (with return periods in the order of about 100 [...] Read more.
Following the 2011 Tohoku Earthquake and Tsunami, Japanese tsunami protection guidelines stipulate that coastal defences should ensure that settlements are shielded from the coastal inundation that would result from Level 1 tsunami events (with return periods in the order of about 100 years). However, the overtopping mechanism and leeward inundation heights of tsunami bores as they hit coastal structures has received little attention in the past. To ascertain this phenomenon, the authors conducted physical experiments using a dam-break mechanism, which could generate bores that overtopped different types of structures. The results indicate that it is necessary to move away from only considering the tsunami inundation height at the beach, and also consider the bore velocity as it approaches the onshore area. The authors also prepared a simple, conservative method of estimating the inundation height after a structure of a given height, provided that the incident bore velocity and height are known. Full article
(This article belongs to the Special Issue Interdisciplinary Geosciences Perspectives of Tsunami)
Show Figures

Figure 1

Back to TopTop