Evaluating the Influence of Vegetation Breakage on Tsunami-Induced Structural Forces: An Experimental Study
Abstract
1. Introduction
2. Materials and Methods
2.1. Experimental Setting
2.2. Vegetation Model Schemes
2.3. Building Model
2.4. Operational Conditions
2.5. Tree Breaking Conditions
2.6. Data Assessment
3. Results
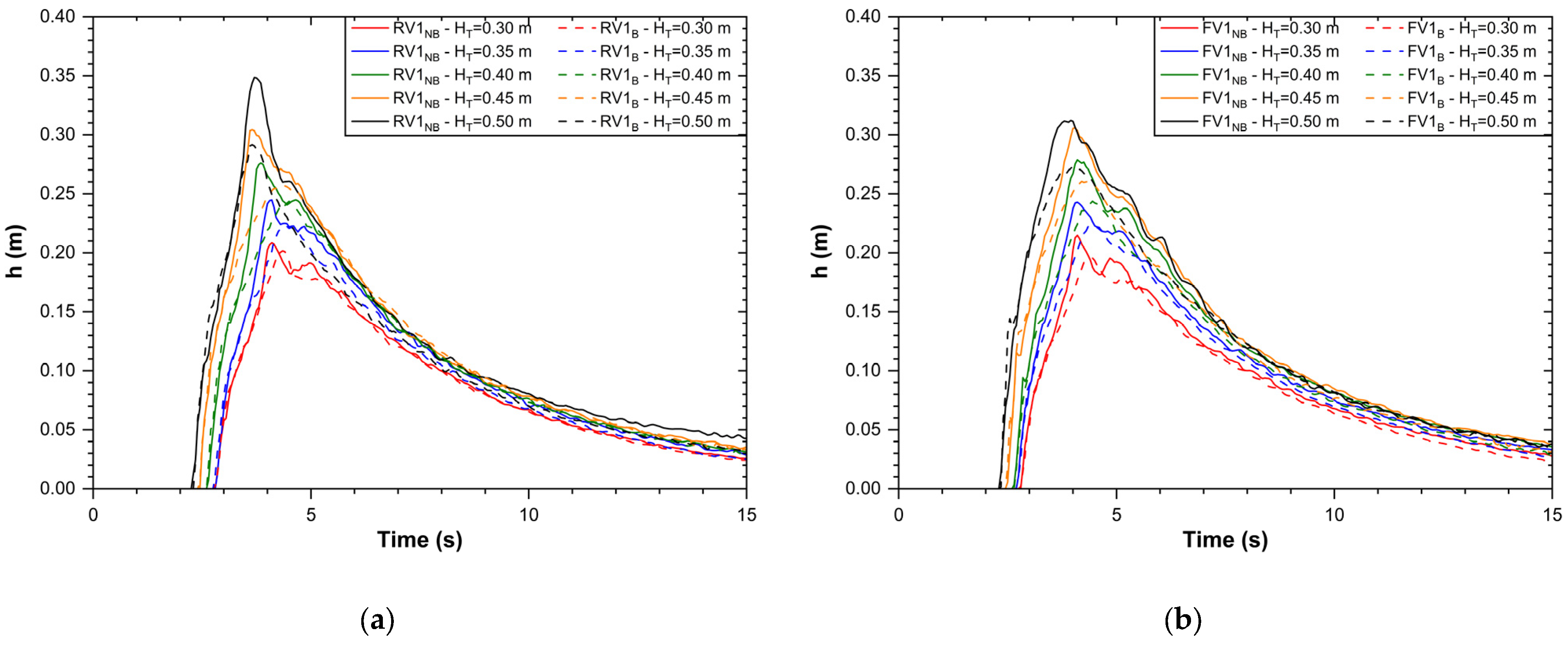
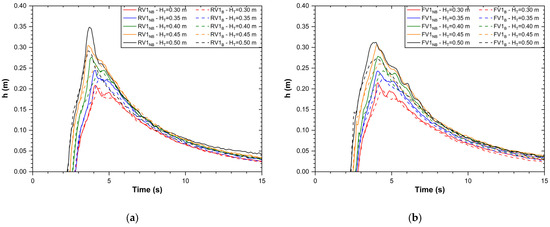
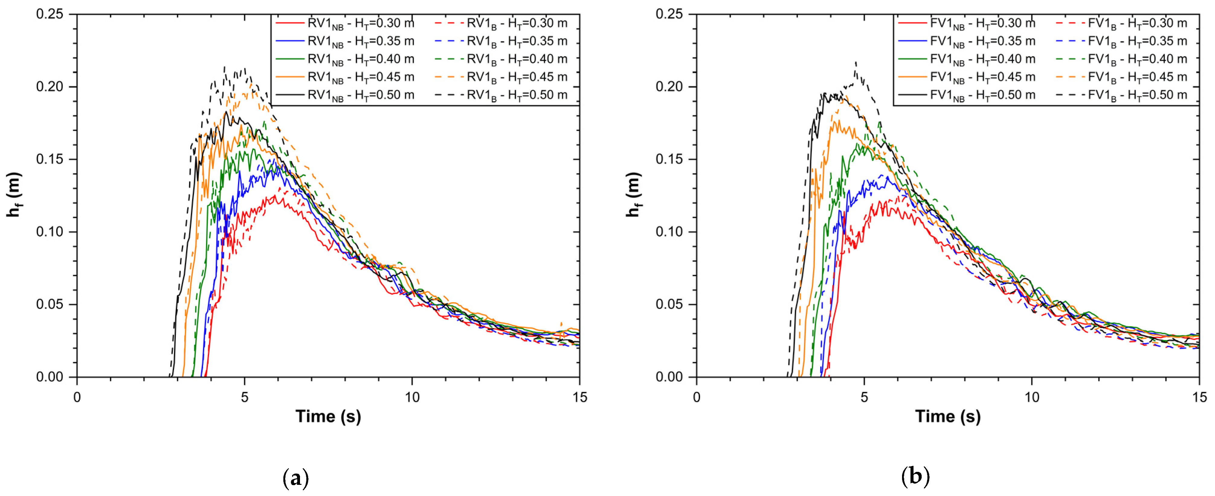
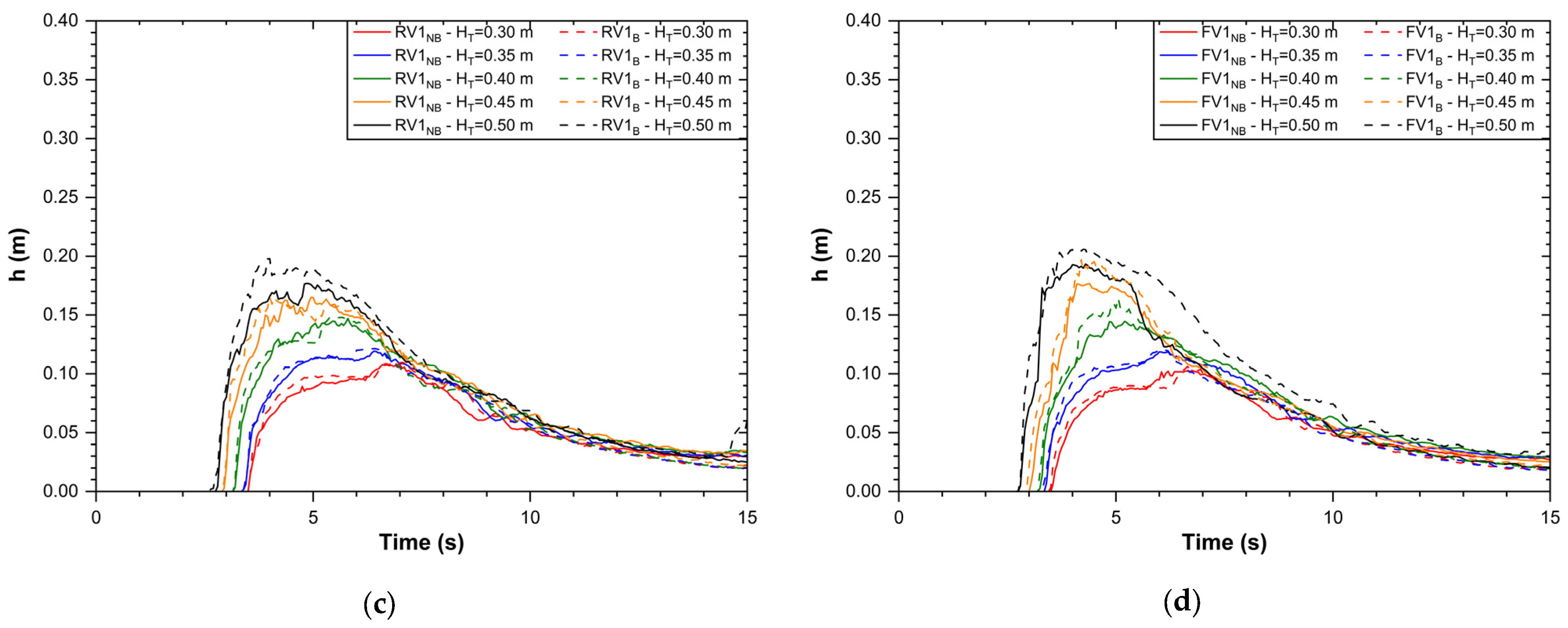
3.1. Bore Profile and Behavior
3.1.1. Bore Characteristics in the Vegetation Zone
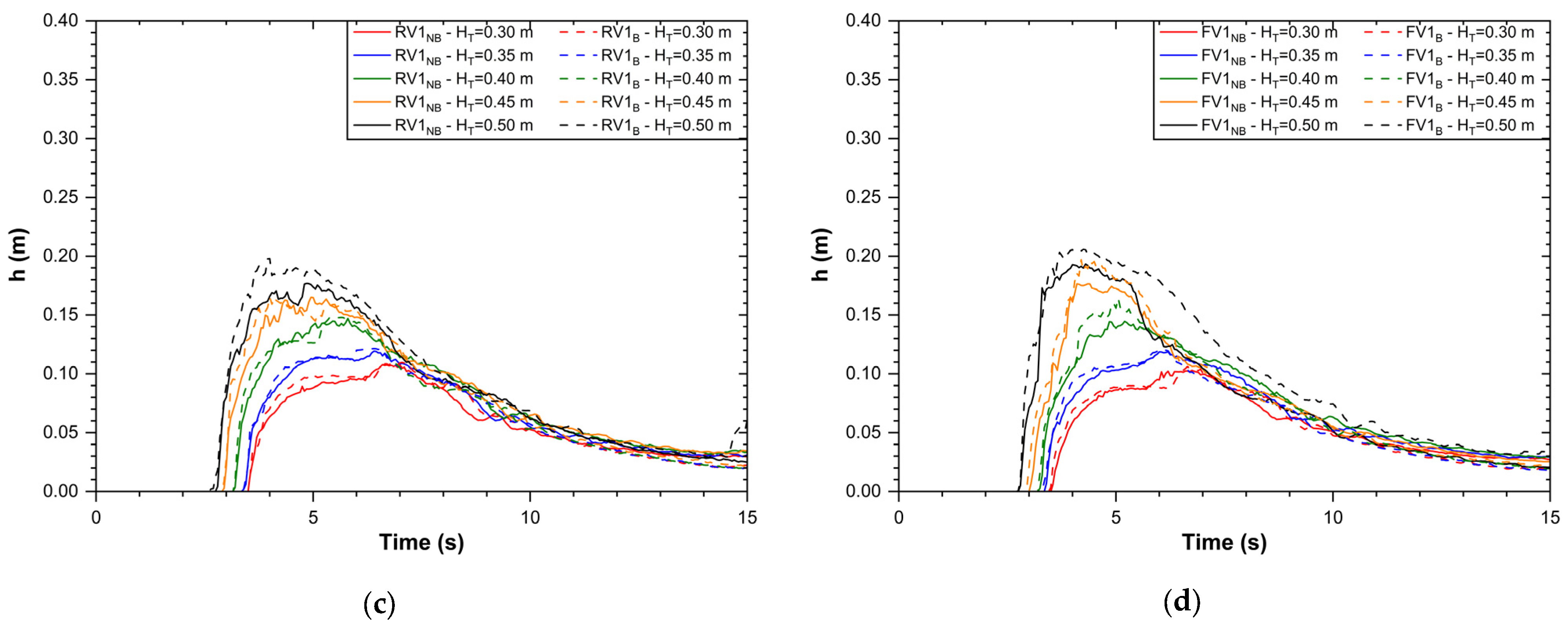
3.1.2. Bore Variation at the Building
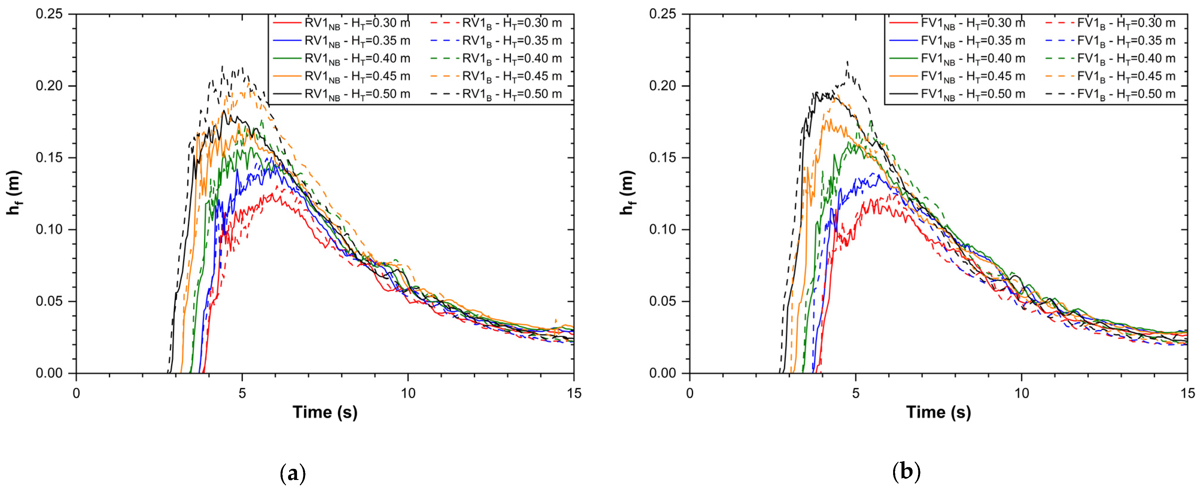
3.2. Tsunami-Induced Horizontal Force on the Building
3.3. Tsunami-Induced Uplift Load on the Building
4. Discussion
5. Conclusions
- Vegetation under non-breaking conditions significantly attenuated both water levels and hydrodynamic forces on coastal structures. In these cases, vegetation acted as a stable physical barrier, dissipating wave energy through drag and (in flexible types) bending deformation. Maximum tsunami force reductions reached up to ~70% with rigid non-breaking vegetation and ~62–68% with flexible non-breaking vegetation, particularly in longer patch configurations.
- In contrast, vegetation breaking led to a substantial loss of protective function. When tree breakage occurred, the vegetation’s ability to resist flow diminished sharply, resulting in higher water transmission, elevated inundation behind the vegetation, and significantly increased force on the structure. In short vegetation patches, horizontal force reduction declined to 10.1–12.9%, while uplift force reduction ranged from 10.7% to 16.7% under breaking conditions for both rigid and flexible vegetation. Flexible vegetation exhibited the most substantial performance degradation, primarily due to the collapse of structural integrity and loss of drag resistance.
- Vegetation patch length played a compensatory role, as longer patches maintained better performance even under breaking conditions. At the highest tsunami intensity, horizontal force reductions reached up to 38.8% for rigid and 30.6% for flexible vegetation, while uplift force reductions were 15.3% and 13.1% for rigid and flexible vegetation, respectively. This suggests that extended vegetation zones can partially mitigate the adverse effects of localized breakage by prolonging the vegetation–flow interaction.
- The contrast between non-breaking and breaking scenarios was particularly evident in bore behavior and force time histories. Non-breaking vegetation increased upstream water levels and reduced downstream inundation by resisting flow, while breaking allowed greater water penetration and led to earlier, higher force peaks at the structure.
Author Contributions
Funding
Data Availability Statement
Acknowledgments
Conflicts of Interest
Abbreviations
| WG | Wave gauge |
| LDV | Laser Doppler Velocimetry |
| EVA | Ethylene-vinyl acetate |
| LDPE | Low-Density Polyethylene |
| IOT | Indian Ocean tsunami |
| JGET | Great East Japan Earthquake and Tsunami |
| RV | Rigid vegetation |
| FV | Flexible vegetation |
Appendix A
Vertical Profile of α(z)β(z) for Pandanus odoratissimus

References
- Sriram, V.; Stoesser, T.; Yan, S.; Murali, K. (Eds.) Hydrodynamics of Wave-Vegetation Interactions; World Scientific: Singapore, 2023; ISBN 978-981-12-8413-7. [Google Scholar]
- Chang, C.-W.; Mori, N. Green Infrastructure for the Reduction of Coastal Disasters: A Review of the Protective Role of Coastal Forests against Tsunami, Storm Surge, and Wind Waves. Coast. Eng. J. 2021, 63, 370–385. [Google Scholar] [CrossRef]
- Hu, Z.; Temmerman, S.; Zhu, Q.; Wang, X.; Wu, J.; Xu, T.; Schoutens, K.; Suzuki, T.; Yang, Z.; Bouma, T.J. Predicting Nature-Based Coastal Protection by Mangroves under Extreme Waves. Proc. Natl. Acad. Sci. USA 2025, 122, e2410883122. [Google Scholar] [CrossRef]
- Shuto, N. The Effectiveness and Limit of Tsunami Control Forests. Coast. Eng. Jpn. 1987, 30, 143–153. [Google Scholar] [CrossRef]
- Wu, W.-C.; Ma, G.; Cox, D.T. Modeling Wave Attenuation Induced by the Vertical Density Variations of Vegetation. Coast. Eng. 2016, 112, 17–27. [Google Scholar] [CrossRef]
- Thuy, N.B.; Tanaka, N.; Tanimoto, K. Tsunami Mitigation by Coastal Vegetation Considering the Effect of Tree Breaking. J. Coast. Conserv. 2012, 16, 111–121. [Google Scholar] [CrossRef]
- Maza, M.; Lara, J.L.; Losada, I.J. Predicting the Evolution of Coastal Protection Service with Mangrove Forest Age. Coast. Eng. 2021, 168, 103922. [Google Scholar] [CrossRef]
- Cochard, R.; Ranamukhaarachchi, S.L.; Shivakoti, G.P.; Shipin, O.V.; Edwards, P.J.; Seeland, K.T. The 2004 Tsunami in Aceh and Southern Thailand: A Review on Coastal Ecosystems, Wave Hazards and Vulnerability. Perspect. Plant Ecol. Evol. Syst. 2008, 10, 3–40. [Google Scholar] [CrossRef]
- Wibisono, T.I.C.; Nyoman, S. Study of Lessons Learned from Mangrove/Coastal Ecosystem Restoration Efforts in Aceh since the Tsunami 2006, Xiii–83. Available online: https://www.miteco.gob.es/content/dam/miteco/es/parques-nacionales-oapn/proyectos-de-cooperacion/retauracion-manglares_tcm30-287428.pdf (accessed on 15 July 2025).
- United Nations Environment Programme. Post Tsunami “Green” Environmental Data Assessment in the Province of Nanggroe Aceh Darussalam; Technical Report; Data Collecting and Assessment Consultants (DCAC): London, UK, 2006. [Google Scholar]
- Inagaki, K.; Nakaza, E.; Iribe, T.; Watanabe, Y. Distribution of the Pine Trees Drowned by Tohoku Tsunami along Sendai Coastal Area. J. Jpn. Soc. Civ. Eng. 2012, 68, 120–125. [Google Scholar]
- Matsumoto, D.; Sawai, Y.; Tanigawa, K.; Namegaya, Y.; Shishikura, M.; Kagohara, K.; Fujiwara, O.; Shinozaki, T. Sedimentary Diversity of the 2011 Tohoku-Oki Tsunami Deposits on the Sendai Coastal Plain and the Northern Coast of Fukushima Prefecture, Japan. Prog. Earth Planet. Sci. 2023, 10, 23. [Google Scholar] [CrossRef]
- Kathiresan, K.; Rajendran, N. Coastal Mangrove Forests Mitigated Tsunami. Estuar. Coast. Shelf Sci. 2005, 65, 601–606. [Google Scholar] [CrossRef]
- Chang, C.; Mori, N.; Tsuruta, N.; Suzuki, K.; Yanagisawa, H. An Experimental Study of Mangrove-Induced Resistance on Water Waves Considering the Impacts of Typical Rhizophora Roots. J. Geophys. Res. Oceans 2022, 127, e2022JC018653. [Google Scholar] [CrossRef]
- Nanko, K.; Suzuki, S.; Noguchi, H.; Ishida, Y.; Levia, D.F.; Ogura, A.; Hagino, H.; Matsumoto, H.; Takimoto, H.; Sakamoto, T. Mechanical Properties of Japanese Black Pine (Pinus thunbergii Parl.) Planted on Coastal Sand Dunes: Resistance to Uprooting and Stem Breakage by Tsunamis. Wood Sci. Technol. 2019, 53, 469–489. [Google Scholar] [CrossRef]
- Benazir; Triatmadja, R.; Syamsidik; Nizam; Warniyati. Vegetation-Based Approached for Tsunami Risk Reduction: Insights and Challenges. Prog. Disaster Sci. 2024, 23, 100352. [Google Scholar] [CrossRef]
- Nicoll, B.C.; Gardiner, B.A.; Rayner, B.; Peace, A.J. Anchorage of Coniferous Trees in Relation to Species, Soil Type, and Rooting Depth. Can. J. For. Res. 2006, 36, 1871–1883. [Google Scholar] [CrossRef]
- Thomsan, L.A.J.; Englberger, L.; Guarino, L.; Thaman, R.R.; Elevitch, C.R. Pandanus tectorius (Pandanus): Species Profiles for Pacific Island Agroforestry | PDF | Plants | Botany. In Traditional Trees of Pacific Islands: Their Culture, Environment, and Use; Elevitch, C.R., Ed.; Permanent Agriculture Resources: Holualoa, HI, USA, 2006; ISBN 0970254458. [Google Scholar]
- Nandasena, N.A.K.; Tanaka, N.; Tanimoto, K. Perspective of Coastal Vegetation Patches with Topography Variations for Tsunami Protection in 2D - Numerical Modeling. Proc. Hydraul. Eng. 2008, 52, 133–138. [Google Scholar] [CrossRef][Green Version]
- Koshimura, S.; Oie, T.; Yanagisawa, H.; Imamura, F. Developing Fragility Functions for Tsunami Damage Estimation Using Numerical Model and Post-Tsunami Data from Banda Aceh, Indonesia. Coast. Eng. J. 2009, 51, 243–273. [Google Scholar] [CrossRef]
- Huang, Z.; Wu, T.-R.; Chen, T.-Y.; Sim, S.Y. A Possible Mechanism of Destruction of Coastal Trees by Tsunamis: A Hydrodynamic Study on Effects of Coastal Steep Hills. J. Hydro-Environ. Res. 2013, 7, 113–123. [Google Scholar] [CrossRef]
- Suppasri, A.; Muhari, A.; Ranasinghe, P.; Mas, E.; Shuto, N.; Imamura, F.; Koshimura, S. Damage and Reconstruction after the 2004 Indian Ocean Tsunami and the 2011 Great East Japan Tsunami. J. Nat. Disaster Sci. 2012, 34, 19–39. [Google Scholar] [CrossRef]
- Rossetto, T.; Peiris, N.; Pomonis, A.; Wilkinson, S.M.; Del Re, D.; Koo, R.; Gallocher, S. The Indian Ocean Tsunami of December 26, 2004: Observations in Sri Lanka and Thailand. Nat. Hazards 2007, 42, 105–124. [Google Scholar] [CrossRef]
- Stolle, J.; Takabatake, T.; Mikami, T.; Shibayama, T.; Goseberg, N.; Nistor, I.; Petriu, E. Experimental Investigation of Debris-Induced Loading in Tsunami-Like Flood Events. Geosciences 2017, 7, 74. [Google Scholar] [CrossRef]
- Kaida, H.; Tomita, T.; Yoshimura, S.; Kihara, N. Review of Evaluation of Tsunami-Induced Debris Collision Force. Coast. Eng. J. 2024, 66, 492–518. [Google Scholar] [CrossRef]
- Yeh, H. Tsunami Bore Runup. In Tsunami Hazard; Springer: Berlin/Heidelberg, Germany, 1991; pp. 209–220. [Google Scholar] [CrossRef]
- Asadollahi, N.; Nistor, I.; Mohammadian, A. Numerical Investigation of Tsunami Bore Effects on Structures, Part I: Drag Coefficients. Nat. Hazards 2018, 96, 285–309. [Google Scholar] [CrossRef]
- Hudson, R.Y.; Herrmann, F.A.; Sager, R.A.; Whalin, R.W.; Robert, W.; Keulegan, G.H.; Garbis, H.; Chatham, C.E.; Claude, E.; Hales, L.Z. Coastal Hydraulic Models. 1979. Available online: https://www.pwri.go.jp/icharm/publication/pdf/2010/4177_tsunami-mitigative_coastal_vegetation_belt.pdf (accessed on 15 July 2025).
- Tanaka, S.; Istiyanto, D.C.; Kuribayashi, D. Planning and Design of Tsunami-Mitigative Coastal Vegetation Belts; Technical Note of PWRI No.4177; ICHARM: Tsukuba, Japan, 2010. [Google Scholar]
- Thuy, N.B.; Tanimoto, K.; Tanaka, N.; Harada, K.; Iimura, K. Bending Moment on a Tree (Pandanus odoratissimus) Due to Tsunami Flow around Edge of Coastal Forest. J. Jpn. Soc. Civ. Eng. 2010, 66, 276–280, (In Japanese with English Abstract). [Google Scholar] [CrossRef]
- Tanaka, N.; Takemura, T.; Sasaki, Y.; Mowjood, M.I.M. Differences in Destruction Conditions and Tsunami Arrival Delay Times Depending on Tree Species in Sri Lankan Coastal Forests (Japanese). Proc. Jpn. Conf. Coast. Eng. 2006, 53, 281–285. [Google Scholar] [CrossRef]
- Abral, H.; Andriyanto, H.; Samera, R.; Sapuan, S.M.; Ishak, M.R. Mechanical Properties of Screw Pine (Pandanus odoratissimus) Fibers—Unsaturated Polyester Composites. Polym-Plast Technol. Eng. 2012, 51, 500–506. [Google Scholar] [CrossRef]
- Lakshmanan, N.; Kantharaj, M.; Sundar, V. The Effects of Flexible Vegetation on Forces with a Keulegan-Carpenter Number in Relation to Structures Due to Long Waves. J. Mar. Sci. Appl. 2012, 11, 24–33. [Google Scholar] [CrossRef]
- Reis, R.A.; Fortes, C.J.E.M.; Rodrigues, J.A.; Hu, Z.; Suzuki, T. Experimental Study on Drag Coefficient of Flexible Vegetation under Non-Breaking Waves. Ocean Eng. 2024, 296, 117002. [Google Scholar] [CrossRef]
- Gong, S.; Chen, J.; Jiang, C.; Xu, S.; He, F.; Wu, Z. Prediction of Solitary Wave Attenuation by Emergent Vegetation Using Genetic Programming and Artificial Neural Networks. Ocean Eng. 2021, 234, 109250. [Google Scholar] [CrossRef]
- He, F.; Chen, J.; Jiang, C. Surface Wave Attenuation by Vegetation with the Stem, Root and Canopy. Coast. Eng. 2019, 152, 103509. [Google Scholar] [CrossRef]
- Kalloe, S.A.; Hofland, B.; Antolínez, J.A.A.; van Wesenbeeck, B.K. Quantifying Frontal-Surface Area of Woody Vegetation: A Crucial Parameter for Wave Attenuation. Front. Mar. Sci. 2022, 9, 820846. [Google Scholar] [CrossRef]
- Tanaka, N.; Sasaki, Y. Role of Coastal Vegetation at 2006 Java Tsunami Disaster and Its Breaking or Bending Threshold. J. Jpn. Soc. Civ. Eng. 2007, 51, 1445–1450, (In Japanese with English Abstract). [Google Scholar] [CrossRef][Green Version]
- Udarika, R.N.; Tanaka, N. Force Reduction of Tsunami-like Waves on Coastal Structures by Varying Arrangements and Densities of Seaside Vegetation: A Physical Model Study. Ocean Eng. 2025, 318, 120103. [Google Scholar] [CrossRef]
- Goff, J.; Liu, P.L.-F.; Higman, B.; Morton, R.; Jaffe, B.E.; Fernando, H.; Lynett, P.; Fritz, H.; Synolakis, C.; Fernando, S. Sri Lanka Field Survey after the December 2004 Indian Ocean Tsunami. Earthq. Spectra 2006, 22, 155–172. [Google Scholar] [CrossRef]
- Fritz, H.M.; Borrero, J.C.; Synolakis, C.E.; Yoo, J. 2004 Indian Ocean Tsunami Flow Velocity Measurements from Survivor Videos. Geophys. Res. Lett. 2006, 33, L24605. [Google Scholar] [CrossRef]
- Yeh, H.; Barbosa, A.R.; Ko, H.; Cawley, J.G. Tsunami Loadings on Structures: Review and Analysis. Coast. Eng. Proc. 2014, 1, 4. [Google Scholar] [CrossRef]
- Tanaka, N.; Sato, H.; Igarashi, Y.; Kimiwada, Y.; Torita, H. Effective Tree Distribution and Stand Structures in a Forest for Tsunami Mitigation Considering the Different Tree-Breaking Patterns of Tree Species. J. Environ. Manag. 2018, 223, 925–935. [Google Scholar] [CrossRef]
- Sato, H.; Torita, H.; Masaka, K.; Abe, T.; Noguchi, H.; Kimura, K.; Sakamoto, T. Relationship between Treefall Damage and Forest Structure of Pinus Thunbergii Coastal Forest by the 2011 Tohoku Earthquake Tsunami Disaster: An Example of Misawa City of Aomori Prefecture. J. Jpn. Soc. Coast. For. 2012, 11, 41–45, (In Japanese with English Abstract). [Google Scholar] [CrossRef]
- Nicoll, B.C.; Achim, A.; Mochan, S.; Gardiner, B.A. Does Steep Terrain Influence Tree Stability? A Field Investigation. Can. J. For. Res. 2005, 35, 2360–2367. [Google Scholar] [CrossRef]
- Pretzsch, H.; Rais, A. Wood Quality in Complex Forests versus Even-Aged Monocultures: Review and Perspectives. Wood Sci. Technol. 2016, 50, 845–880. [Google Scholar] [CrossRef]













| Prototype | Model | |
|---|---|---|
| Tree diameter, d | 0.2 m | 0.007 m |
| Tree height, h | 8.0 m | 0.27 m |
| Root height, hr | 2.0 m | 0.07 m |
| Crown height, hc | 4.0 m | 0.13 m |
| Minimum spacing, s | 1.75 m | 0.06 m |
| Arrangement | Staggered | Staggered |
| G/d | 3.5 | 3.5 |
| Density | 37 trees/100 m2 | 3 trees/100 cm2 |
| Vegetation length, Lv | 16.7, 33.3 m | 0.56, 1.11 m |
| Thickness, dn | 120, 240 No.cm | 120, 240 No.cm |
| Vegetation Type | Cylindrical Element | Material | Trunk Diameter d (m) | Model Height h (m) | Mass Density ρv (kg/m3) | Young’s Modulus E (GPa) | Flexural Rigidity EI (N m2) |
|---|---|---|---|---|---|---|---|
| Rigid | Trunk | Pine wood | 0.007 | 0.27 | 310 | 13.2 | 1.56 |
| Root | 0.007 | 0.07 | 13.2 | 1.56 | |||
| Crown | 0.005 | 0.13 | 13.2 | 0.41 | |||
| Flexible | Trunk | EVA | 0.007 | 0.27 | 557 | 0.025 | 2.9 × 10−3 |
| Root | Pine wood | 0.007 | 0.07 | 310 | 13.2 | 1.56 | |
| Crown | LDPE foam | 0.005 | 0.13 | 100 | 0.020 | 6.1 × 10−3 |
| Type | Lv (m) | dn (No.cm) | G/d | D (m) | Vegetation Type | Breaking Condition |
|---|---|---|---|---|---|---|
| RV1NB | 0.56 | 120 | 3.5 | 0.06 | Rigid | Non-Breaking |
| RV1B | 0.56 | 120 | 3.5 | 0.06 | Rigid | Breaking |
| RV2NB | 1.11 | 240 | 3.5 | 0.06 | Rigid | Non-Breaking |
| RV2B | 1.11 | 240 | 3.5 | 0.06 | Rigid | Breaking |
| FV1NB | 0.56 | 120 | 3.5 | 0.06 | Flexible | Non-Breaking |
| FV1B | 0.56 | 120 | 3.5 | 0.06 | Flexible | Breaking |
| FV2NB | 1.11 | 240 | 3.5 | 0.06 | Flexible | Non-Breaking |
| FV2B | 1.11 | 240 | 3.5 | 0.06 | Flexible | Breaking |
| Series | Case | Tank Water Depth from Still Water Depth: HT [m] | Type of Vegetation Model | Structure Availability | Breaking Condition of Vegetation |
|---|---|---|---|---|---|
| 1 | NN1 | 0.30, 0.35, 0.40 | X | X | - |
| BM1 | 0.45, 0.50 | X | ✓ | - | |
| RV1NB | RV1NB | ✓ | Non-Breaking | ||
| RV1B | RV1B | ✓ | Breaking | ||
| FV1NB | FV1NB | ✓ | Non-Breaking | ||
| FV1B | FV1B | ✓ | Breaking | ||
| 2 | NN2 | 0.30, 0.35, 0.40 | X | X | - |
| BM2 | 0.45, 0.50 | X | ✓ | - | |
| RV2NB | RV2NB | ✓ | Non-Breaking | ||
| RV2B | RV2B | ✓ | Breaking | ||
| FV2NB | FV2NB | ✓ | Non-Breaking | ||
| FV2B | FV2B | ✓ | Breaking |
| Tsunami Intensities | Model | Prototype | ||
|---|---|---|---|---|
| WHMax (m) | FrMax | WHMax (m) | FrMax | |
| HT = 0.30 m | 0.12 | 2.05 | 3.60 | 2.05 |
| HT = 0.35 m | 0.14 | 2.09 | 4.20 | 2.09 |
| HT = 0.40 m | 0.16 | 2.13 | 4.80 | 2.13 |
| HT = 0.45 m | 0.18 | 2.18 | 5.40 | 2.18 |
| HT = 0.50 m | 0.21 | 2.20 | 6.30 | 2.20 |
| Tsunami Condition | Proportional Breaking Length, LB (%) | |||
|---|---|---|---|---|
| LV = 0.56 m | LV = 1.11 m | |||
| RV1 | FV1 | RV2 | FV2 | |
| HT = 0.30 m | 10 | 10 | ||
| HT = 0.35 m | 30 | 20 | ||
| HT = 0.40 m | 50 | 30 | ||
| HT = 0.45 m | 70 | 50 | ||
| HT = 0.50 m | 100 | 70 | ||
Disclaimer/Publisher’s Note: The statements, opinions and data contained in all publications are solely those of the individual author(s) and contributor(s) and not of MDPI and/or the editor(s). MDPI and/or the editor(s) disclaim responsibility for any injury to people or property resulting from any ideas, methods, instructions or products referred to in the content. |
© 2025 by the authors. Licensee MDPI, Basel, Switzerland. This article is an open access article distributed under the terms and conditions of the Creative Commons Attribution (CC BY) license (https://creativecommons.org/licenses/by/4.0/).
Share and Cite
Udarika, R.N.; Tanaka, N. Evaluating the Influence of Vegetation Breakage on Tsunami-Induced Structural Forces: An Experimental Study. Geosciences 2025, 15, 339. https://doi.org/10.3390/geosciences15090339
Udarika RN, Tanaka N. Evaluating the Influence of Vegetation Breakage on Tsunami-Induced Structural Forces: An Experimental Study. Geosciences. 2025; 15(9):339. https://doi.org/10.3390/geosciences15090339
Chicago/Turabian StyleUdarika, Ranasinghege Nipuni, and Norio Tanaka. 2025. "Evaluating the Influence of Vegetation Breakage on Tsunami-Induced Structural Forces: An Experimental Study" Geosciences 15, no. 9: 339. https://doi.org/10.3390/geosciences15090339
APA StyleUdarika, R. N., & Tanaka, N. (2025). Evaluating the Influence of Vegetation Breakage on Tsunami-Induced Structural Forces: An Experimental Study. Geosciences, 15(9), 339. https://doi.org/10.3390/geosciences15090339

