Sign in to use this feature.

Years

Between: -

Subjects

remove_circle_outline
remove_circle_outline
remove_circle_outline
remove_circle_outline
remove_circle_outline
remove_circle_outline
remove_circle_outline
remove_circle_outline
remove_circle_outline

Journals

Article Types

Countries / Regions

Search Results (74)

Search Parameters:
Keywords = travel mode reasons

Order results
Result details
Results per page
Select all
Export citation of selected articles as:
17 pages, 2474 KB  
Article
A Vehicle Routing Optimization Framework of a Property City Based on an Intelligent Algorithm and Its Application
by Junhong Ye, Kai Fang, Jingjing An, Wenjin Zuo, Yihang Lin, Jintao Lin and Linfeng Chen
World Electr. Veh. J. 2026, 17(1), 25; https://doi.org/10.3390/wevj17010025 - 6 Jan 2026
Viewed by 175
Abstract
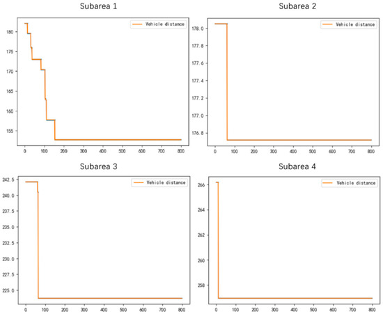
Property city is a newly emerging property service mode attracting widespread attention. Addressing the gap in quantitative analysis of the vehicle routing problem (VRP) of a property city based on quantitative analysis in existing studies, this study introduces the single-loop traveling salesman problem [...] Read more.
Property city is a newly emerging property service mode attracting widespread attention. Addressing the gap in quantitative analysis of the vehicle routing problem (VRP) of a property city based on quantitative analysis in existing studies, this study introduces the single-loop traveling salesman problem (TSP) and multi-loop VRP models for different service scenarios of a property city. An intelligent optimization framework combining the nearest insertion method and genetic algorithm was constructed to solve these problems. The example analysis results show that the intelligent algorithm is feasible, outperforming the nearest insertion method in designing reasonable operational schemes, while the total operational cost of the multi-loop scenario was lower than that of the single-loop scenario. This study enriches the theoretical system of property city and provides references for its service practice. Full article
Show Figures

Figure 1

26 pages, 2192 KB  
Article
Exploring the Joint Influence of Built Environment Factors on Urban Rail Transit Peak-Hour Ridership Using DeepSeek
by Zhuorui Wang, Xiaoyu Zheng, Fanyun Meng, Kang Wang, Xincheng Wu and Dexin Yu
Buildings 2025, 15(10), 1744; https://doi.org/10.3390/buildings15101744 - 21 May 2025
Cited by 1 | Viewed by 1999
Abstract
Modern cities are facing increasing challenges such as traffic congestion, high energy consumption, and poor air quality, making rail transit systems, known for their high capacity and low emissions, essential components of sustainable urban infrastructure. While numerous studies have examined how the built [...] Read more.
Modern cities are facing increasing challenges such as traffic congestion, high energy consumption, and poor air quality, making rail transit systems, known for their high capacity and low emissions, essential components of sustainable urban infrastructure. While numerous studies have examined how the built environment impacts transit ridership, the complex interactions among these factors warrant further investigation. Recent advancements in the reasoning capabilities of large language models (LLMs) offer a robust methodological foundation for analyzing the complex joint influence of multiple built environment factors. LLMs not only can comprehend the physical meaning of variables but also exhibit strong non-linear modeling and logical reasoning capabilities. This study introduces an LLM-based framework to examine how built environment factors and station characteristics shape the transit ridership dynamics by utilizing DeepSeek-R1. We develop a 4D + N variable system for a more nuanced description of the built environment of the station area which includes density, diversity, design, destination accessibility, and station characteristics, leveraging multi-source data such as points of interest (POIs), road network data, housing prices, and population data. Then, the proposed approach is validated using data from Qingdao, China, examining both single-factor and multi-factor effects on transit peak-hour ridership at the macro level (across all stations) and the meso level (specific station types). First, the variables that have a substantial effect on peak-hour transit ridership at both the macro and meso levels are discussed. Second, key and latent factor combinations are identified. Notably, some factors may appear to have limited importance at the macro level, yet they can substantially influence the peak-hour ridership when interacting with other factors. Our findings enable policymakers to formulate a balanced mix of soft and hard policies, such as integrating a flexitime policy with enhancements in active travel infrastructure to increase the attractiveness of public transit. The proposed analytical framework is adaptable across regions and applicable to various transportation modes. These insights can guide transportation managers and policymakers while optimizing Transit-Oriented Development (TOD) strategies to enhance the sustainability of the entire transportation system. Full article
(This article belongs to the Special Issue Advanced Studies in Urban and Regional Planning—2nd Edition)
Show Figures

Figure 1

20 pages, 4589 KB  
Article
Spatial Accessibility Characteristics and Optimization of Multi-Stage Schools in Rural Mountainous Areas in China: A Case Study of Qixingguan District
by Danli Yang, Jianwei Sun, Shuangyu Xie, Jing Luo and Fangqin Yang
Sustainability 2025, 17(9), 3862; https://doi.org/10.3390/su17093862 - 24 Apr 2025
Viewed by 1326
Abstract
Optimizing the allocation of basic educational facilities in mountainous rural areas is important for narrowing the education gap between urban and rural areas, constructing high-quality regional education systems, and achieving sustainable education development. This paper considered preschool, primary, and secondary schools in Qixingguan [...] Read more.
Optimizing the allocation of basic educational facilities in mountainous rural areas is important for narrowing the education gap between urban and rural areas, constructing high-quality regional education systems, and achieving sustainable education development. This paper considered preschool, primary, and secondary schools in Qixingguan District, which is located in a mountainous area of China, using vector data of rural residential areas and educational facility points as a source of information on supply and demand. The study combined travel modes and acceptable time of rural school-age population, and applied the Gaussian two-step mobile search method to calculate the level of accessibility of basic educational facilities at the scale of residential areas. Location optimization and scale optimization models were used to determine the optimal location and service qualities for basic educational facilities. Our results yielded three main conclusions. First, the spatial pattern for the distribution density and accessibility of basic educational facilities in Qixingguan differed at all stages, but all of them showed a strong orientation toward the central urban area. Service capacity in each stage tended to extend toward the northeast and southwest, except for a certain orientation toward the central urban area. Second, the main reason for the low spatial accessibility of schools was that the density and service capacity of the available schools did not align with the distribution of the school-age population. Third, after optimizing for location and service capacity, schools at all stages shifted to the northeast of Qixingguan, which reduced the difference in service capacity between schools and improved the accessibility and balance of schools in the northeast and southwest. Full article
Show Figures

Figure 1

27 pages, 9517 KB  
Article
Semi-Active Suspension Design for an In-Wheel-Motor-Driven Electric Vehicle Using a Dynamic Vibration-Absorbing Structure and PID-Controlled Magnetorheological Damper
by Kyle Samaroo, Abdul Waheed Awan and Sheikh Islam
Machines 2025, 13(1), 47; https://doi.org/10.3390/machines13010047 - 11 Jan 2025
Cited by 8 | Viewed by 2319
Abstract
The in-wheel motor (IWM) powertrain layout offers greater design flexibility and higher efficiency of an electric vehicle but has limited commercial success mainly due to the concerns of increased unsprung mass. This paper proposes a semi-active suspension system for in-wheel motors that combines [...] Read more.
The in-wheel motor (IWM) powertrain layout offers greater design flexibility and higher efficiency of an electric vehicle but has limited commercial success mainly due to the concerns of increased unsprung mass. This paper proposes a semi-active suspension system for in-wheel motors that combines both a dynamic vibration-absorbing structure (DVAS) and a PID-controlled MR damper, in order to achieve optimised comfort, handling and IWM vibration for a small car application. Whilst PID control and DVAS are not entirely new concepts, the usage of both optimisation techniques in a semi-active in-wheel motor suspension has seen limited implementation, which makes the current work novel and significant. The semi-active suspension operating both in passive fail-safe mode and full feedback control was compared to a conventional in-wheel motor passive suspension in terms of sprung mass acceleration, displacement, stator acceleration, tyre deflection and suspension travel for three different road profile inputs using MATLAB/Simulink. The implementation of a PID-controlled MR damper improved road comfort and road holding performance and decreased in-wheel motor vibration over the DVAS passive suspension mainly in terms of a maximum peak amplitude decrease of 40%, 35% and 32% for the sprung mass acceleration, tyre deflection and stator acceleration, respectively. The results are significant since they show that the use of a simple, easily implemented control scheme like PID control was able to significantly improve IWM suspension performance when paired with a DVAS. This study provides further confidence to manufacturers to commercially develop and implement the IWM layout as its major disadvantage can be reasonably addressed using a simple readily available control approach. Full article
(This article belongs to the Special Issue Semi-Active Vibration Control: Strategies and Applications)
Show Figures

Figure 1

24 pages, 3671 KB  
Article
Measuring Electromagnetic Properties of Vegetal Soil for Wireless Underground Sensor Networks in Precision Agriculture
by Maroua Said, Jaouhar Fattahi, Said Ghnimi, Ridha Ghayoula and Noureddine Boulejfen
Appl. Sci. 2024, 14(24), 11884; https://doi.org/10.3390/app142411884 - 19 Dec 2024
Cited by 1 | Viewed by 1461
Abstract
This research examines and analyzes the measured electromagnetic characteristics of vegetal soil for Wireless Underground Sensor Networks applied to precision agriculture. For this, we used Wireless Underground Sensor Network (WUSN) technology, which consists of sensors that communicate through the soil to collect data [...] Read more.
This research examines and analyzes the measured electromagnetic characteristics of vegetal soil for Wireless Underground Sensor Networks applied to precision agriculture. For this, we used Wireless Underground Sensor Network (WUSN) technology, which consists of sensors that communicate through the soil to collect data on irrigation, such as temperature and humidity, for good plant growth. However, underground communication channels and signal transmission are required to travel through a dense and heterogeneous soil mixture. For the measurement results of the vegetal soil dielectric parameters, a precision domain sensing probe operating at 433 Mhz was used. Moreover, the different choices of capacitance, inductance, and varactor were included, with a reasonable estimation of the dielectric permittivity, ranging from 2 to 15, and an unlimited range of conductivities. Despite promising results in predicting the dielectric permittivities, several improvements were made to the mode for low permittivity values, and it was designed to accommodate a wide range of dielectric permittivities. Full article
Show Figures

Figure 1

27 pages, 8422 KB  
Article
Systematic Analysis of Commuting Behavior in Italy Using K-Means Clustering and Spatial Analysis: Towards Inclusive and Sustainable Urban Transport Solutions
by Mahnaz Babapourdijojin, Maria Vittoria Corazza and Guido Gentile
Future Transp. 2024, 4(4), 1430-1456; https://doi.org/10.3390/futuretransp4040069 - 19 Nov 2024
Cited by 7 | Viewed by 3811
Abstract
Transport Demand Management (TDM) is crucial in shaping travel behavior and enhancing urban mobility by promoting sustainable transport options. This study represents a comprehensive analysis of employee commuting behavior across seventy-seven cities in Italy, with a focus on Rome as a case study. [...] Read more.
Transport Demand Management (TDM) is crucial in shaping travel behavior and enhancing urban mobility by promoting sustainable transport options. This study represents a comprehensive analysis of employee commuting behavior across seventy-seven cities in Italy, with a focus on Rome as a case study. It investigates some requirements of the workplace travel plan as a TDM strategy for promoting sustainable commuting. An online survey conducted in June 2022 yielded 2314 valid responses, including 1320 from private car drivers. K-means clustering was used to identify distinct behavioral patterns among commuters, revealing four clusters based on demographic factors and transport preferences, such as age, gender, family circumstances, vehicle ownership, willingness to walk, ride bicycles, or e-scooters, and reasons for mode choice. This study analyzed Rome’s public transport network, land use, and private car use. Results underscore the need for tailored transport policies that enhance inclusivity and accessibility, especially for employees with family members who cannot commute independently. A spatial analysis of Rome reveals significant infrastructure deficiencies, such as complicated transfers and inaccessible stations, which discourage PT use. Future research should explore the impact of remote work and psychological factors and conduct in-depth subgroup analyses to inform inclusive transport policy development. Full article
Show Figures

Figure 1

21 pages, 1886 KB  
Article
Comparative Analysis of Gini Coefficient, GDP, Energy Consumption, and Transportation Modes on CO2 Using NARDL (Nonlinear Distributed Lag Autoregressive Model) for the USA
by Ayşe Özge Artekin and Salih Kalayci
Sustainability 2024, 16(20), 9030; https://doi.org/10.3390/su16209030 - 18 Oct 2024
Cited by 2 | Viewed by 2164
Abstract
The significance of the transportation sector, notably in terms of the carbon emission factor, is an undeniable fact. Along with this fact, individuals’ transportation preferences depend on their income levels. In this context, when the issue is considered, the income level in the [...] Read more.
The significance of the transportation sector, notably in terms of the carbon emission factor, is an undeniable fact. Along with this fact, individuals’ transportation preferences depend on their income levels. In this context, when the issue is considered, the income level in the USA pushes people toward cheap air travel. The main reason for this is that it is cheap, accessible, and transports one to their destinations quickly. Thus, from the perspective of road transportation, bus transportation is popular among the public. The reason why both air and road transportation modes are empirically evaluated together through income distribution is due to the preference of the US people. In this context, the effectiveness of active transportation on both air and highways in the USA from 1975 to 2023 is investigated by taking into consideration the income distribution. Empirical findings obtained through the FMOLS, DOLS, CCR, and NARDL models demonstrate that all independent variables, including GDP, energy use, air transportation, and the Gini coefficient, affect carbon dioxide emissions. In addition, wavelet analysis is performed to comprehend the form of and fluctuations in the series, which are vital to monitoring the periodical changes. Full article
Show Figures

Figure 1

17 pages, 1941 KB  
Article
An Approach for Estimating the Contributions of Various Real-World Usage Conditions towards the Attained Utility Factor of Plug-In Hybrid Electric Vehicles
by Karim Hamza, Kenneth Laberteaux and Kang-Ching Chu
World Electr. Veh. J. 2024, 15(10), 458; https://doi.org/10.3390/wevj15100458 - 9 Oct 2024
Cited by 3 | Viewed by 2558
Abstract
Plug-in hybrid electric vehicles (PHEVs) are designed to enable the electrification of a large portion of the distance vehicles travel while utilizing relatively small batteries via taking advantage of the fact that long-distance travel days tend to be infrequent for many vehicle owners. [...] Read more.
Plug-in hybrid electric vehicles (PHEVs) are designed to enable the electrification of a large portion of the distance vehicles travel while utilizing relatively small batteries via taking advantage of the fact that long-distance travel days tend to be infrequent for many vehicle owners. PHEVs also relieve range anxiety through seamless switching to hybrid driving—an efficient mode of fuel-powered operation—whenever the battery reaches a low state of charge. Stemming from the perception that PHEVs are a well-rounded solution to reducing greenhouse gas (GHG) emissions, various metrics exist to infer the effectiveness of GHG reduction, with utility factor (UF) being prominent among such metrics. Recently, articles in the literature have called into question whether the theoretical values of UF agree with the real-world performance of PHEVs, while also suggesting that infrequent charging was the likely cause for observed deviations. However, it is understood that other reasons could also be responsible for UF mismatch. This work proposes an approach that combines theoretical modeling of UF under progressively relaxed assumptions (including the statistical distribution of daily traveled distance, charging behavior, and attainable electric range), along with vehicle data logs, to quantitatively infer the contributions of various real-world factors towards the observed mismatch between theoretical and real-world UF. A demonstration of the proposed approach using data from three real-world vehicles shows that all contributing factors could be significant. Although the presented results (via the small sample of vehicles) are not representative of the population, the proposed approach can be scaled to larger datasets. Full article
Show Figures

Figure 1

23 pages, 1094 KB  
Article
Perceptions of Women’s Safety in Transient Environments and the Potential Role of AI in Enhancing Safety: An Inclusive Mobility Study in India
by Guilhermina Torrao, Amal Htait and Shun Ha Sylvia Wong
Sustainability 2024, 16(19), 8631; https://doi.org/10.3390/su16198631 - 5 Oct 2024
Cited by 6 | Viewed by 8933
Abstract
Travel safety for women is a concern, particularly in India, where gender-based violence and harassment are significant issues. This study examines how the perception of safety influences women’s travel behaviour and assesses the potential of technology solutions to ensure their safety. Additionally, it [...] Read more.
Travel safety for women is a concern, particularly in India, where gender-based violence and harassment are significant issues. This study examines how the perception of safety influences women’s travel behaviour and assesses the potential of technology solutions to ensure their safety. Additionally, it explores how AI and machine learning techniques may be leveraged to enhance women’s travel safety. A comprehensive mobility survey was designed to uncover the complex relationship between travel behaviour, reasons for mode choice, built environment, feelings, future mobility, and technological solutions. The responses revealed that security and safety are the most critical factors affecting women’s travel mode choices, with 54% and 41%, respectively. Moreover, over 80% of women indicated a willingness to change their travel behaviour after experiencing fear, anxiety, or danger during their everyday journeys. Participants were 24% less willing to use ride-sharing services than ride-hailing services, which could affect the transition towards more sustainable transportation options. Furthermore, AI-based sentiment analysis revealed that 46% of the respondents exhibited signs of ‘anger’ regarding what could help women feel safer in transient environments. The practical implications of this study’s findings are discussed, highlighting the potential of AI to enhance travel safety and optimise future sustainable transport planning. Full article
(This article belongs to the Special Issue Sustainable Urban Transport Planning)
Show Figures

Figure 1

24 pages, 2472 KB  
Article
Spatial Allocation Rationality Analysis of Medical Resources Based on Multi-Source Data: Case Study of Taiyuan, China
by Lujin Hu and Shengqi Cai
Healthcare 2024, 12(16), 1669; https://doi.org/10.3390/healthcare12161669 - 21 Aug 2024
Cited by 2 | Viewed by 2837
Abstract
Reasonably allocating medical resources can effsectively optimize the utilization efficiency of such resources. This paper took Taiyuan City as an example and established a model to evaluate the rationality of medical resource spatial allocation, incorporating two key dimensions: the spatial layout and the [...] Read more.
Reasonably allocating medical resources can effsectively optimize the utilization efficiency of such resources. This paper took Taiyuan City as an example and established a model to evaluate the rationality of medical resource spatial allocation, incorporating two key dimensions: the spatial layout and the supply and demand of medical resources. In terms of the spatial layout, three indexes were included: Firstly, the service coverage rates of different levels of medical institutions, based on residents’ medical orientations, were calculated using network analysis methods. Secondly, the Huff-2SFCA method was improved to calculate the accessibility of medical resources for four different modes of transportation. Then, the Health Resource Agglomeration Degree (HRAD) and Population Agglomeration Degree (PAD) were used to quantify the equity of medical resources. In terms of the supply and demand of medical resources, one index was included: the supply–demand ratio of medical resources during sudden public health events, which was calculated using the number of beds per thousand people as an indicator. These four indexes were weighted using the entropy weight method to obtain the rationality grade of medical resource spatial allocation in Taiyuan City. The study found that the rationality evaluation level of medical resource allocation in the central urban area of Taiyuan City followed a “concentrically decreasing” pattern. The rating ranged from “very reasonable” to “less reasonable”, with the area of each level expanding gradually. The areas rated within the top two categories only accounted for 19.92% of the study area, while the area rated as “less reasonable” occupied 38.73% of the total area. These results indicate that the model accounted for residents’ travel for various medical orientations and the availability of resources during public health emergencies. It considered both the spatial layout and supply and demand of medical resources, offering recommendations for the precise allocation of urban medical resources. Full article
(This article belongs to the Special Issue Implementation of GIS (Geographic Information Systems) in Health Care)
Show Figures

Figure 1

17 pages, 2795 KB  
Article
Taxi Travel Distance Clustering Method Based on Exponential Fitting and k-Means Using Data from the US and China
by Zhenang Song, Jun Cai and Qiyao Yang
Systems 2024, 12(8), 282; https://doi.org/10.3390/systems12080282 - 3 Aug 2024
Cited by 1 | Viewed by 2452
Abstract
The taxi travel distance distribution can be used to forecast the origin and destination (OD) distribution of taxis and private cars. Most of the existing studies on taxi trip distributions have summarized a “low–high–low” trend and approached zero at both ends; however, they [...] Read more.
The taxi travel distance distribution can be used to forecast the origin and destination (OD) distribution of taxis and private cars. Most of the existing studies on taxi trip distributions have summarized a “low–high–low” trend and approached zero at both ends; however, they failed to explain the reason for this distance distribution. The key indicators and parameters identified by various researchers using big data for the same city and year typically differ, especially in terms of the mode and mean values of distance and time. This study uses New York yellow and green taxi data (a total of 417,018,811 data points) from 2017 to 2022, as well as data from China, to obtain a general law of the taxi travel distance distribution through an analysis of the relative distance and relative frequency. The travel mode was 0.54 times the relative distance, while the data tended towards zero at 2.0 times the relative distance. We verified the reliability of the research method based on reference and survey data. The results reveal the formation mechanism of the taxi travel distance distribution characteristics, which follow an exponential distribution. These laws can be used in the context of urban planning and transportation research. We propose a taxi form distance clustering method based on the k-means approach, chosen for its effectiveness on large datasets, interpretability, and alignment with our research objectives. This method provides visual results for the travel distance and accurate information for urban transportation planning and taxi services. The practical implications for policymakers, urban planners, and taxi services are discussed, demonstrating how the identified travel distance distribution laws can influence urban planning and taxi service optimization. Finally, the problems of data collection, cleaning, and processing are identified from the perspective of data statistics and analysis. Full article
(This article belongs to the Section Systems Engineering)
Show Figures

Figure 1

25 pages, 926 KB  
Article
The Long Road to Low-Carbon Holidays: Exploring Holiday-Making Behaviour of People Living in a Middle-Sized Swiss City
by Leonardo Ventimiglia, Linda Soma and Francesca Cellina
Sustainability 2024, 16(14), 6167; https://doi.org/10.3390/su16146167 - 18 Jul 2024
Viewed by 2377
Abstract
Decarbonising holiday travel is crucial for climate change mitigation: policy interventions need to encourage less frequent trips, closer destinations, and travelling on the ground. To increase effectiveness, interventions should fit with the specific ways holidays are perceived and performed in each context. We [...] Read more.
Decarbonising holiday travel is crucial for climate change mitigation: policy interventions need to encourage less frequent trips, closer destinations, and travelling on the ground. To increase effectiveness, interventions should fit with the specific ways holidays are perceived and performed in each context. We explore the holiday behaviour of people living in a medium-sized city in Southern Switzerland (Lugano, 70,000 inhabitants), with the aim of identifying key intervention strategies for a future “community challenge” encouraging the population to take low-carbon holidays. We combine a literature review with n = 15 qualitative, semi-structured interviews that allow us to understand the reasons for taking a holiday, the favourite destination and activity types, and the transport mode choices. As Switzerland is characterised by high cultural and linguistic diversity providing the feeling of being abroad even at a short distance from home, it could be a valuable holiday destination for Swiss people themselves. Located at the centre of Europe, it is also well-connected by train with many holiday destinations abroad. Gaps between pro-environmental attitudes and holiday behaviour suggest leveraging digital carbon trackers showing how carbon emissions compare between holiday and everyday life. Also, interventions could leverage social norms via social networks, local influencers, and travel agencies. Full article
(This article belongs to the Special Issue Sustainable Travel Development)
Show Figures

Figure 1

18 pages, 896 KB  
Article
Assessment of Sustainable Mobility Patterns of University Students: Case of Cameroon
by Stephen Kome Fondzenyuy, Isaac Ndumbe Jackai, Steffel Ludivin Tezong Feudjio, Davide Shingo Usami, Brayan Gonzalez-Hernández, Jean Francois Wounba, Nkeng George Elambo and Luca Persia
Sustainability 2024, 16(11), 4591; https://doi.org/10.3390/su16114591 - 28 May 2024
Cited by 7 | Viewed by 3063
Abstract
The transition to sustainable mobility is a recognized socio-economic and environmental challenge, particularly among young adults. In addressing the gap in the literature on young adults’ travel behaviors, especially in Cameroon, this paper investigates the transport mode choices, influencing factors, and barriers to [...] Read more.
The transition to sustainable mobility is a recognized socio-economic and environmental challenge, particularly among young adults. In addressing the gap in the literature on young adults’ travel behaviors, especially in Cameroon, this paper investigates the transport mode choices, influencing factors, and barriers to sustainable mobility of students at the National Advanced School of Public Works, Yaoundé (NASPW). Data were collected through online questionnaires with 360 valid responses. Findings revealed that most students used multiple modes of transport for commuting, with moto-taxis being the most common. Accessibility, vehicle speed, and flexibility appeared as the most important reasons for the preferred transport modes, while driver’s license possession, safety perceptions, speed, and proximity were significant predictors for mode choice. Demographic factors were found to influence transport preferences, with distinct clusters prioritizing different aspects. Barriers to public transport were primarily long waiting times and congestion, while active mobility was hindered by distance, infrastructure, and weather. The usage of public transportation was encouraged by its affordability and reduced travel time, whilst active options were preferred due to cost savings and health benefits. To promote sustainable mobility for campus travel, it is crucial to encourage active modes, develop mass transport systems, and raise awareness through symposia and conferences among students and staff. Full article
(This article belongs to the Section Sustainable Transportation)
Show Figures

Figure 1

1 pages, 125 KB  
Abstract
Research on Urban Micro-Community Planning and Design Inspired by Functional Properties of Analogous Cells
by Yangyang Wei
Proceedings 2024, 107(1), 12; https://doi.org/10.3390/proceedings2024107012 - 15 May 2024
Viewed by 538
Abstract
As the basic unit of life, analogous cells possess efficient spatial utilization, material exchange, and information transmission characteristics which provide important insights for micro-community planning and design. Based on three functional attributes (the spatial utilization performance, material exchange, and information transmission of analogous [...] Read more.
As the basic unit of life, analogous cells possess efficient spatial utilization, material exchange, and information transmission characteristics which provide important insights for micro-community planning and design. Based on three functional attributes (the spatial utilization performance, material exchange, and information transmission of analogous cells), this study proposes planning and design principles and methods for micro-community inspired by the functional properties of analogous cells. In response to the efficient spatial utilization characteristics of analogous cells, this study proposes the design principles of compact communities. By reasonably arranging community spaces, improving land use efficiency, and achieving maximum functional diversity within limited areas, this study introduces design methods, such as vertical greening and rooftop gardens, to increase community green space and improve residents’ living environment. Drawing on the material exchange characteristics of analogous cells, this study focuses on enhancing community fluidity during the planning and design process. Specifically, it optimizes the road system, reduces the exposure time of motor vehicles in the community, and embeds low-carbon travel modes such as walking and cycling, thereby reducing air pollution in the micro-ecosystem. Inspired by the information transmission characteristics of analogous cells, this study focuses on connectivity and accessibility during the initial planning process. By reasonably planning public spaces and pedestrian networks, strengthening the connections between various parts of the community allows residents to conveniently and efficiently reach their destinations within a short period of time. This study conducts planning and design practices for a micro-community inspired by the functional properties of analogous cells, using a micro-community in Wuhan, China as an example. The results show that micro-community planning and design inspired by the functional properties of analogous cells can maximize micro-community functions, promoting the sustainable development and renewal of community functions. Full article
(This article belongs to the Proceedings of The 1st International Online Conference on Biomimetics)
37 pages, 11587 KB  
Article
Application of an Improved A* Algorithm for the Path Analysis of Urban Multi-Type Transportation Systems
by Yan Feng, Weiwei Zhang and Jin Zhu
Appl. Sci. 2023, 13(24), 13090; https://doi.org/10.3390/app132413090 - 7 Dec 2023
Cited by 6 | Viewed by 6882
Abstract
The modern urban transportation service network could be split into unrestricted and restricted networks depending on whether travelers face limitations in route selection. Along with the continuous expansion of the city, it is difficult for travelers to find a more reasonable travel solution [...] Read more.
The modern urban transportation service network could be split into unrestricted and restricted networks depending on whether travelers face limitations in route selection. Along with the continuous expansion of the city, it is difficult for travelers to find a more reasonable travel solution when confronted with such a complex transportation service network, which combines both unrestricted and restricted networks, especially for the park-and-ride (P&R) travel mode. This paper addresses the issue of route analysis in modern urban transportation service systems to provide travelers with reasonable travel solutions based on multiple types of transportation services. An improved A* algorithm is proposed to address the optimal path analysis for restricted networks to provide reasonable travel solutions for public transportation trips. Furthermore, by establishing the topological relationship between restricted and unrestricted networks, this paper presented an improved A* algorithm based on hybrid networks that solves the optimal path analysis problem for P&R trips, bringing convenience to many urban travelers. Full article
(This article belongs to the Special Issue State-of-the-Art Earth Sciences and Geography in China)
Show Figures

Figure 1

Back to TopTop