Spatial Accessibility Characteristics and Optimization of Multi-Stage Schools in Rural Mountainous Areas in China: A Case Study of Qixingguan District
Abstract
1. Introduction
2. Materials and Methods
2.1. Study Area
2.2. Data Collection and Processing
2.3. Methods
2.3.1. Measure of Accessibility
2.3.2. Location Optimization
2.3.3. Service Capacity Optimization
3. Results
3.1. School Spatial Distribution and Accessibility
3.1.1. Spatial Density
3.1.2. Spatial Distribution of Service Capacity
3.1.3. Spatial Accessibility
3.2. School Spatial Optimization Analysis
3.2.1. Assumption of the Optimal Layout
3.2.2. The Effect of Location Optimization on Schools
3.2.3. The Effect of Optimization on Service Capability
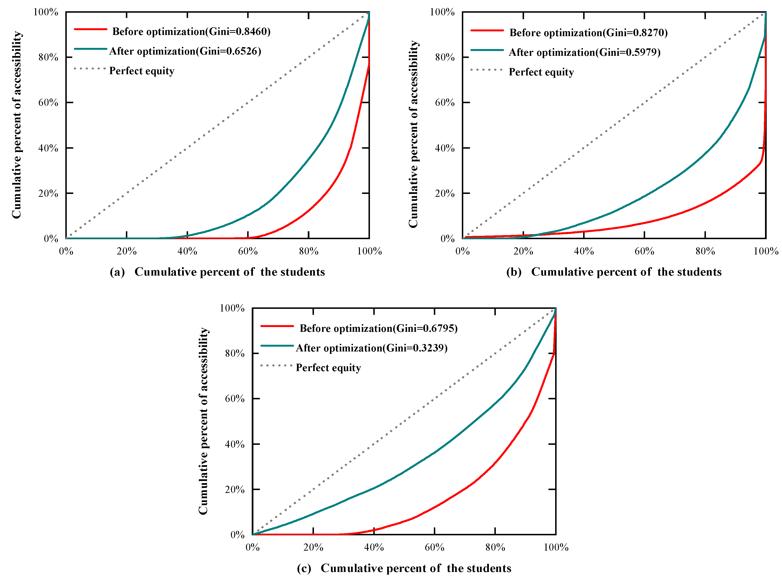
3.2.4. The Effect of Optimization on Accessibility

| Education Stage | Level of Accessibility | Before Optimization | After Optimization | ||||||
|---|---|---|---|---|---|---|---|---|---|
| Settlement | Proportion (%) | Population | Proportion (%) | Settlement | Proportion (%) | Population | Proportion (%) | ||
| Preschool | Low level | 19,839 | 86.66 | 254,683 | 85.30 | 8672 | 37.88 | 115,661 | 38.74 |
| Sub-low level | 2704 | 11.81 | 38,229 | 12.80 | 7508 | 32.80 | 102,601 | 34.36 | |
| Sub-high level | 346 | 1.51 | 5637 | 1.89 | 5040 | 22.02 | 62,764 | 21.02 | |
| High level | 4 | 0.02 | 17 | 0.01 | 1673 | 7.31 | 17,540 | 5.87 | |
| Primary school | Low level | 22,436 | 98.00 | 292,115 | 97.84 | 12,241 | 53.47 | 168,156 | 56.32 |
| Sub-low level | 352 | 1.54 | 4795 | 1.61 | 8921 | 38.97 | 109,664 | 36.73 | |
| Sub-high level | 98 | 0.43 | 1575 | 0.53 | 1482 | 6.47 | 17,980 | 6.02 | |
| High level | 7 | 0.03 | 81 | 0.03 | 249 | 1.09 | 2766 | 0.93 | |
| Secondary school | Low level | 20,410 | 89.15 | 251,327 | 84.18 | 12,827 | 56.03 | 164,776 | 55.19 |
| Sub-low level | 2224 | 9.71 | 42,031 | 14.08 | 6744 | 29.46 | 90,966 | 30.47 | |
| Sub-high level | 215 | 0.94 | 3407 | 1.14 | 2017 | 8.81 | 25,410 | 8.51 | |
| High level | 44 | 0.19 | 1801 | 0.60 | 1305 | 5.70 | 17,414 | 5.83 | |
4. Discussion
5. Conclusions
Author Contributions
Funding
Institutional Review Board Statement
Informed Consent Statement
Data Availability Statement
Conflicts of Interest
References
- Oloko-oba, M.; Ogunyemi, A.S.; Alaga, A.T.; Olatunji, S.B.; Ibrahim, S.I.; Isa, I.; Kolawole, M.H. A geospatial approach to evaluation of accessibility to government primary schools in Ilorin west local government area, Kwara State, Nigeria. Eur. Int. J. Sci. Technol. 2015, 4, 96–107. [Google Scholar]
- Gao, Y.; He, Q.; Liu, Y.; Zhang, L.; Wang, H.; Cai, E. Imbalance in spatial accessibility to primary and secondary schools in China: Guidance for education sustainability. Sustainability 2016, 8, 1236. [Google Scholar] [CrossRef]
- Bali Swain, R.; Ranganathan, S. Modeling interlinkages between sustainable development goals using network analysis. World Dev. 2021, 138, 105136. [Google Scholar] [CrossRef]
- Strulik, H. The return to education in terms of wealth and health. J. Econ. Ageing 2018, 12, 1–14. [Google Scholar] [CrossRef]
- Yang, J.; Qiu, M. The impact of education on income inequality and intergenerational mobility. China Econ. Rev. 2016, 37, 110–125. [Google Scholar] [CrossRef]
- Adejumo, O.O.; Asongu, S.A.; Adejumo, A.V. Education enrolment rate vs. employment rate: Implications for sustainable human capital development in Nigeria. Int. J. Educ. Dev. 2021, 83, 102385. [Google Scholar] [CrossRef]
- Martinez, W. How science and technology developments impact employment and education. Proc. Natl. Acad. Sci. USA 2018, 115, 12624–12629. [Google Scholar] [CrossRef]
- Bertoletti, A.; Berbegal-Mirabent, J.; Agasisti, T. Higher education systems and regional economic development in Europe: A combined approach using econometric and machine learning methods. Socio-Econ. Plan. Sci. 2022, 82, 101231. [Google Scholar] [CrossRef]
- Unterhalter, E. The many meanings of quality education: Politics of targets and indicators in SDG4. Glob. Policy 2019, 10, 39–51. [Google Scholar] [CrossRef]
- United Nations. Transforming Our World: The 2030 Agenda for Sustainable Development. 2015. Available online: https://sdgs.un.org/2030agenda (accessed on 1 August 2019).
- Asadikia, A.; Rajabifard, A.; Kalantari, M. Systematic prioritisation of SDGs: Machine learning approach. World Dev. 2021, 140, 105269. [Google Scholar] [CrossRef]
- Han, Z.; Dong, M.; Liu, T.; Li, Y. Spatial accessibility evaluation and layout optimization of basic education facilities in community life circle: A case study of Shahekou in Dalian. Sci. Geogr. Sin. 2020, 40, 1774–1783. [Google Scholar]
- Tsou, K.; Hung, Y.; Chang, Y. An accessibility-based integrated measure of relative spatial equity in urban public facilities. Cities 2005, 22, 424–435. [Google Scholar] [CrossRef]
- Hu, L. Racial/ethnic differences in job accessibility effects: Explaining employment and commutes in the Los Angeles region. Transp. Res. Part D Transp. Environ. 2019, 76, 56–71. [Google Scholar] [CrossRef]
- Lu, N.; Li, J.; Yan, H.; Tuo, S.; Ying, L. Analysis on accessibility of urban park green space: The case study of Shenyang Tiexi District. J. Appl. Ecol. 2014, 25, 2951–2958. [Google Scholar]
- Yang, L.; Wang, B.; Zhou, J.; Wang, X. Walking accessibility and property prices. Transp. Res. Part D Transp. Environ. 2018, 62, 551–562. [Google Scholar] [CrossRef]
- Zheng, Z.; Shen, W.; Li, Y.; Qin, Y.; Wang, L. Spatial equity of park green space using KD2SFCA and web map API: A case study of zhengzhou, China. Appl. Geogr. 2020, 123, 102310. [Google Scholar] [CrossRef]
- Cao, Y.; Guo, Y.; Zhang, M. Research on the equity of urban green park space layout based on Ga2SFCA optimization method-taking the core area of Beijing as an example. Land 2022, 11, 1323. [Google Scholar] [CrossRef]
- Li, W.; Guan, H.; Han, Y.; Zhu, H.; Zhao, P. Accessibility of multimode transport facilities to suburban tourist attractions: Analysis based on meso-or microcommunity scale in Beijing. J. Urban Plan. Dev. 2021, 147, 4021026. [Google Scholar] [CrossRef]
- Zhang, J.; Han, P.; Sun, Y.; Zhao, J.; Yang, L. Assessing spatial accessibility to primary health care services in Beijing, China. Int. J. Environ. Res. Public Health 2021, 18, 13182. [Google Scholar] [CrossRef]
- Mao, K.; Chen, Y.; Wu, G.; Huang, J.; Yang, W.; Xia, Z. Measuring spatial accessibility of urban fire services using historical fire incidents in Nanjing, China. ISPRS Int. J. Geo-Inf. 2020, 9, 585. [Google Scholar] [CrossRef]
- Dai, D.; Wang, F. Geographic disparities in accessibility to food stores in southwest Mississippi. Environ. Plan. B Plan. Des. 2011, 38, 659–677. [Google Scholar] [CrossRef]
- Tao, Z.; Cheng, Y.; Dai, T.; Rosenberg, M. Spatial optimization of residential care facility locations in Beijing, China: Maximum equity in accessibility. Int. J. Health Geogr. 2014, 13, 33. [Google Scholar] [CrossRef] [PubMed]
- Yang, X.; Xia, B.; Jin, M.; Wang, Z. Analysis of county and rural compulsory education accessibility and balance based on mm3sfca: A case study of Shouxian County, Anhui Province. Areal Res. Dev. 2024, 43, 166–173. [Google Scholar]
- Luo, W.; Whippo, T. Variable catchment sizes for the two-step floating catchment area (2SFCA) method. Health Place 2012, 18, 789–795. [Google Scholar] [CrossRef]
- McGrail, M.; Humphreys, J. Measuring spatial accessibility to primary health care services: Utilising dynamic catchment sizes. Appl. Geogr. 2014, 54, 182–188. [Google Scholar] [CrossRef]
- Abankina, I.; Filatova, L. Accessibility of pre-school education. Vopr. Obraz./Educ. Stud. Mosc. 2018, 3, 216–246. [Google Scholar] [CrossRef]
- Guo, N.; Wang, L.; Chang, F.; Ma, P.; Liao, T.; Fu, M. Evaluation and optimization strategy of equivalence of preschool education resources based on community life circle: A case study of the main urban area of Lanzhou City. Econ. Geogr. 2024, 44, 84–94. [Google Scholar]
- Xu, Y.; Song, W.; Liu, C. Social-Spatial Accessibility to Urban Educational Resources under the School District System: A Case Study of Public Primary Schools in Nanjing, China. Sustainability 2018, 10, 2305. [Google Scholar] [CrossRef]
- Zheng, L.; Xiao, T.; Liu, Y.; Qin, R.; Chai, L.; Yao, J. Using multiple travel mode two-step floating catchment area (2SFCA) approach to measure the spatial accessibility of primary schools in Dongguan City, China. Prog. Geogr. 2023, 42, 1341–1354. [Google Scholar] [CrossRef]
- Williams, S.; Wang, F. Disparities in accessibility of public high schools, in metropolitan Baton Rouge, Louisiana 1990–2010. Urban Geogr. 2014, 35, 1066–1083. [Google Scholar] [CrossRef]
- Wu, Y.; Zheng, X.; Sheng, L.; You, H. Exploring the equity and spatial evidence of educational facilities in Hangzhou, China. Soc. Indic. Res. 2020, 151, 1075–1096. [Google Scholar] [CrossRef]
- Lin, J.; Huang, Y.; He, J. School accessibility and academic achievement in a rural area of Taiwan. Child. Geogr. 2014, 12, 232–248. [Google Scholar] [CrossRef]
- Wen, H.; Zhang, Y.; Zhang, L. Do educational facilities affect housing price? An empirical study in Hangzhou, China. Habitat Int. 2014, 42, 155–163. [Google Scholar] [CrossRef]
- Wen, H.; Xiao, Y.; Hui, E.; Zhang, L. Education quality, accessibility, and housing price: Does spatial heterogeneity exist in education capitalization? Habitat Int. 2018, 78, 68–82. [Google Scholar] [CrossRef]
- Wang, X.; Hu, J.; Qiu, B. The impact of public service facilities on housing prices from the perspective of spatiotemporal accessibility: A study based on multiscale geographically weighted regression model (MGWR). Mod. Urban Res. 2024, 38, 116–122. [Google Scholar]
- Liao, C.; Scheuer, B.; Dai, T.; Tian, Y. Optimizing the spatial assignment of schools to reduce both inequality of educational opportunity and potential opposition rate through introducing random mechanism into proximity-based system. Socio-Econ. Plan. Sci. 2020, 72, 100893. [Google Scholar] [CrossRef]
- Dai, T.; Liao, C.; Zhao, S. Optimizing the spatial assignment of schools through a random mechanism towards equal educational opportunity: A resemblance approach. Comput. Environ. Urban Syst. 2019, 76, 24–30. [Google Scholar] [CrossRef]
- Delmelle, E.; Thill, J.; Peeters, D.; Thomas, I. A multi-period capacitated school location problem with modular equipment and closest assignment considerations. J. Geogr. Syst. 2014, 16, 263–286. [Google Scholar] [CrossRef]
- Bouzarth, E.; Forrester, R.; Hutson, K.; Reddoch, L. Assigning students to schools to minimize both transportation costs and socioeconomic variation between schools. Socio-Econ. Plan. Sci. 2018, 64, 1–8. [Google Scholar] [CrossRef]
- Li, X.; Wang, F.; Yi, H. A two-step approach to planning new facilities towards equal accessibility. Environ. Plan. B Urban Anal. City Sci. 2017, 44, 994–1011. [Google Scholar] [CrossRef]
- Han, Z.; Du, P.; Wang, L.; Yu, Y.; Zhao, D.; Cong, Y.; Ren, Q. Method for optimization allocation of regional public service infrastructure: A case study of Xinghua Street primary school. Sci. Geogr. Sin. 2014, 34, 803–809. [Google Scholar]
- Lotfi, R.; Pilehforooshha, P.; Karimi, M. A multi-objective optimization model for school location-allocation coupling demographic changes. J. Spat. Sci. 2021, 68, 225–244. [Google Scholar] [CrossRef]
- Cai, A.; Tao, Z.; Wang, J.; Li, G. Accessibility assessment and spatial optimization of educational facilities in newly urbanized areas: A case of Pingshan District, Shenzhen City. Areal Res. Dev. 2021, 40, 96–102. [Google Scholar]
- Zhang, Y.; Sun, J.; Du, L.; Zhou, L. Analyzing spatial accessibility to secondary education resources in Liupanshui area. Sci. Surv. Mapp. 2019, 44, 52–58. [Google Scholar]
- JTGB01-2014; Technical Standard of Highway Engineering. Ministry of Transport of the People’s Republic of China: Beijing, China, 2014.
- Chen, J.; Wang, C.; Zhang, Y.; Li, D. Measuring spatial accessibility and supply-demand deviation of urban green space: A mobile phone signaling data perspective. Front. Public Health 2022, 10, 1029551. [Google Scholar] [CrossRef]
- Lu, Y.; Fang, S. Study on the spatial distribution optimization of park green spaces in the main city of Wuhan from the perspective of both equilibrium and efficiency. Resour. Environ. Yangtze Basin 2019, 28, 68–79. [Google Scholar]
- Wang, F.; Tang, Q. Planning toward equal accessibility to services: A quadratic programming approach. Environ. Plan. B Plan. Des. 2013, 40, 195–212. [Google Scholar] [CrossRef]
- Chen, W.; Yang, L.; Sun, J.; Pan, B. Research on rural primary school layout optimization based on spatial equity: A case study on Huangping County in Guizhou Province. Areal Res. Dev. 2021, 40, 138–142. [Google Scholar]










| Aims | Categories | Indicators | Variables | Weight | Weight of Preschool |
|---|---|---|---|---|---|
| school service capacity | Teacher and student populations | Number of teachers | x1 | 0.3359 | 0.3333 |
| Number of students | x2 | 0.1291 | 0.1667 | ||
| Number of boarders | x3 | 0.0739 | — | ||
| School capacity | Number of classrooms | x4 | 0.1151 | 0.1107 | |
| School area | x5 | 0.0505 | 0.0425 | ||
| Building area of the school | x6 | 0.1316 | 0.0968 | ||
| Hardware conditions | Number of books | x7 | 0.1036 | 0.1028 | |
| Number of computers | x8 | 0.0317 | 0.0819 | ||
| Number of intelligent teaching systems | x9 | 0.0286 | 0.0653 |
| Education Stage | Transportation Mode and Choose Ratio | Travel Speed | Travel Threshold (min) and Choose Ratio |
|---|---|---|---|
| Preschool education | Walk (90%) | 1.2 m/s | 30 (61%) |
| Primary education | Walk (95%) | 1.2 m/s | 60 (76%) |
| Secondary education | Bus (87%) | As shown in Section 2.2 | 90 (74%) |
| Education Stage | Before Optimization | After Optimization | T | p |
|---|---|---|---|---|
| Preschool education | 0.0020 | 0.1456 | −21.441 | 0.000 |
| Primary education | 0.0014 | 0.1462 | −21.523 | 0.000 |
| Secondary education | 0.0066 | 0.5597 | −48.560 | 0.000 |
Disclaimer/Publisher’s Note: The statements, opinions and data contained in all publications are solely those of the individual author(s) and contributor(s) and not of MDPI and/or the editor(s). MDPI and/or the editor(s) disclaim responsibility for any injury to people or property resulting from any ideas, methods, instructions or products referred to in the content. |
© 2025 by the authors. Licensee MDPI, Basel, Switzerland. This article is an open access article distributed under the terms and conditions of the Creative Commons Attribution (CC BY) license (https://creativecommons.org/licenses/by/4.0/).
Share and Cite
Yang, D.; Sun, J.; Xie, S.; Luo, J.; Yang, F. Spatial Accessibility Characteristics and Optimization of Multi-Stage Schools in Rural Mountainous Areas in China: A Case Study of Qixingguan District. Sustainability 2025, 17, 3862. https://doi.org/10.3390/su17093862
Yang D, Sun J, Xie S, Luo J, Yang F. Spatial Accessibility Characteristics and Optimization of Multi-Stage Schools in Rural Mountainous Areas in China: A Case Study of Qixingguan District. Sustainability. 2025; 17(9):3862. https://doi.org/10.3390/su17093862
Chicago/Turabian StyleYang, Danli, Jianwei Sun, Shuangyu Xie, Jing Luo, and Fangqin Yang. 2025. "Spatial Accessibility Characteristics and Optimization of Multi-Stage Schools in Rural Mountainous Areas in China: A Case Study of Qixingguan District" Sustainability 17, no. 9: 3862. https://doi.org/10.3390/su17093862
APA StyleYang, D., Sun, J., Xie, S., Luo, J., & Yang, F. (2025). Spatial Accessibility Characteristics and Optimization of Multi-Stage Schools in Rural Mountainous Areas in China: A Case Study of Qixingguan District. Sustainability, 17(9), 3862. https://doi.org/10.3390/su17093862
