Next Article in Journal
Scheduling a Fleet of Dynamic EV Chargers for Maximal Profile
Previous Article in Journal
A Compact and High-Power Rectenna Array for Wireless Power Transmission Applications
 
 
Font Type:
Arial Georgia Verdana
Font Size:
Aa Aa Aa
Line Spacing:
Column Width:
Background:
Article

Experiments and Heat Transfer Correlation Validations of Low-Parameter Region of sCO2 Flow in a Long Thin Vertical Loop

1
School of Automotive and Traffic Engineering, Jiangsu University, Zhenjiang 212013, China
2
Institute of Engineering Thermophysics, Chinese Academy of Sciences, Beijing 100190, China
3
University of Chinese Academic of Sciences, Beijing 100049, China
4
Faculty of Engineering and Applied Science, Ontario Tech University, Oshawa, ON L1G 0C5, Canada
*
Author to whom correspondence should be addressed.
Energies 2024, 17(23), 6010; https://doi.org/10.3390/en17236010
Submission received: 11 October 2024 / Revised: 25 November 2024 / Accepted: 26 November 2024 / Published: 29 November 2024
(This article belongs to the Section J1: Heat and Mass Transfer)

Abstract

The focus of this study is to accurately predict the convective heat transfer of CO2 to ensure the safe and efficient design of supercritical and trans-critical CO2 energy systems. The heat transfer performance of CO2 is crucial for the stable operation of these systems. This research study explored the flow and heat transfer behavior of CO2 in a long thin vertical loop through experiments. A range of key parameters were set in the experiments to ensure the broad coverage of operating conditions. The inlet temperature was set between 10 °C and 45 °C, the pressure ranged from 6.0 to 9.0 MPa, mass fluxes varied from 500 to 1500 kg/m2s, and the heat flux reached up to 300 kW/m2. Experiments were performed at Reynolds number 104. By adjusting these parameters, the experiments were able to simulate CO2 heat transfer performance under various real-world conditions. Additionally, numerical simulations were employed to further analyze CO2’s flow and heat transfer behavior. Different turbulence models were tested, and the results showed that the SST k-ω model can best predict CO2 convective heat transfer, effectively capturing the complex heat transfer characteristics under varying flow conditions. The research outcomes were compared with established correlations through the Nusselt number, and while a ±30% uncertainty was observed, the overall agreement was satisfactory. This indicates that the experimental and simulation results are within a reasonable range, confirming their reliability.

1. Introduction

Due to increasing energy demands and the necessity for low-carbon systems, supercritical fluids have become widely used as efficient working fluids in sustainable energy [1,2]. The high thermal efficiency, equipment miniaturization, and environmental benefits of supercritical water and supercritical carbon dioxide (sCO2) make them highly advantageous for use in nuclear reactors [3], thermal power plants [4], and solar power generation systems [5,6]. In addition, supercritical fluids, particularly sCO2, are widely used in supercritical extraction processes due to their excellent solubility properties [7]. Furthermore, compared to supercritical water, sCO2 has relatively lower critical pressure and temperature, offering more pronounced safety advantages in industrial applications [8].
The use of sCO2 in power generation, particularly in advanced sCO2 Brayton cycles, allows operators to optimize heat exchangers and turbines by implementing the findings from our research on sCO2 flow and heat transfer, thereby enhancing performance and reliability [9]. In chemical reactors, thermal recovery is often a critical aspect, and the use of sCO2 in integrated heat recovery systems can significantly improve energy efficiency. Our research on sCO2 heat transfer characteristics can be applied to the design of more efficient heat exchangers, thereby improving overall process energy consumption.
In trans-critical and supercritical thermal applications, the heat transfer characteristics are significantly influenced by different pressure conditions. Under subcritical pressure, the heat transfer characteristics of the fluid are primarily controlled by the phase transition between liquid and gas states, which profoundly affects the heat transfer performance. In supercritical conditions, the heat transfer characteristics are mainly influenced by the changes in the thermophysical properties of the fluid [10]. These properties, including specific heat, density, thermal conductivity, and viscosity, experience drastic changes in the supercritical region [11]. The heat transfer process of sCO2 in elongated vertical loops is particularly complex, especially during upward flow, due to the combined effects of gravity, buoyancy, and changes in fluid properties. A thorough understanding of these mechanisms is crucial for enhancing the performance and safety of thermal application systems [12].
The heat transfer of CO2 in the subcritical operating condition has been extensively studied in pipes with various diameters. Yun et al. [13] studied the evaporation heat transfer characteristics of CO2 in a horizontal pipe (length: 1.4 m, inner diameter: 6 mm, and wall thickness: 1 mm). Their findings revealed that lower mass flow rates cause partial dryout, sharply reducing the heat transfer coefficient. Dupont et al. [14] developed a new theoretical model for microchannel heat transfer performance prediction; this model is applicable not only to CO2 but also takes into account the flow and heat transfer behaviors of other working fluids. Kyu Oh et al. [15] conducted experiments on CO2 in a horizontal pipe heat transfer (length: 4.2 m, inner diameter: 4.57 mm, and wall thickness: 0.89 mm) under conditions of low heat flux with wide inlet temperature. They found that the boiling heat transfer of CO2 is primarily influenced by nucleate boiling rather than convective boiling. Furthermore, the quality of the vapor is a key factor affecting boiling heat transfer. Jiang et al. [16] discussed heat transfer of CO2 in horizontal microchannels (an inner diameter of 1–2 mm) and found an increasing trend in heat transfer with increased heat flux input.
Since Schmidt et al. [17,18] discovered that the heat transfer capacity of fluids near the critical pressure surpasses their performance under conventional pressure conditions, this key finding has sparked widespread academic interest in the flow and heat transfer behavior of sCO2 in pipes. Duffey and Pioro [19] conducted a detailed literature review of early supercritical experiments, summarizing the general rules of supercritical heat transfer and providing important guidance for subsequent studies. Bae and Kim [20,21] conducted extensive experimental studies on sCO2 flow in vertically upward pipes with inner diameters (less than 10 mm) and proposed new predictive correlations for sCO2 heat transfer. Kline et al. [22] studied CO2 flow in vertical pipes under supercritical conditions, focusing on identifying the critical conditions for heat transfer deterioration. Their work provided new methods for preventing and predicting deterioration, and they systematically classified the entire dataset based on the identified critical conditions to better understand the behaviors under different states. Jajja et al. [23] studied sCO2 inside a horizontal microchannel, evaluating how turbulence enhances the heat transfer of sCO2 within the microchannel by examining the turbulent characteristics. Du et al. [24] proposed a new turbulence model that employs a more flexible approach to the turbulent Prandtl number, considering multiple key factors such as pipe diameter. They compared and validated this model against 26 previously reported experimental datasets, particularly under conditions of deterioration. Huang et al. [25] developed a model that incorporates various thermal boundary conditions, providing new insights into the behavior of sCO2 in submerged U-tubes and analyzing the impact of operational parameters on heat transfer performance. Chen et al. [26] utilized pixelated phase-shifting interferometry to investigate the transient flow of CO2 in microchannels under local heating conditions at pressures ranging from 5.0 to 7.9 MPa and a Reynolds number of 104.
Despite extensive studies of the behavior of CO2 under subcritical and supercritical conditions, significant challenges remain [27]. Considering the lack of extensive experimental data and in-depth discussion of correlations for a wide range of supercritical fluid heat transfer, a systematic analysis of their heat transfer behaviors becomes an urgent need. This study presents the results of CO2 flow in a long thin vertical loop under conditions of low parameter value ranges, which will add to the supercritical range database and comprehensive comparison analysis. The impact of varying operational parameters on the heat transfer of sCO2 has been investigated in this study. Furthermore, the underlying causes of the observed heat transfer variations under different pressures were analyzed. Numerical simulations were also performed in this study, with multiple validations and confirmations of the turbulence models based on the experimental data. Finally, the results were compared with classical correlations in order to verify the measurement results obtained in this study.

2. Experimental System and Data Process

2.1. Experimental Design

The sCO2 testing loop used in this experiment was constructed by the Institute of Engineering Thermophysics, the Chinese Academy of Sciences. The design of the experimental system meets the requirements of the study, with the system capable of withstanding a maximum pressure of 10 MPa and temperatures as high as 500 °C. The experimental pipe is made of 12 mm inner diameter 316L stainless steel, chosen for its excellent durability and ability to withstand high-temperature and -pressure environments. The pipes and valves in the experimental loop, including low-temperature components such as coolers, are wrapped in insulating materials to minimize heat loss. As depicted in Figure 1, the circulation loop comprises several essential components, including a test section, cooler, condenser, liquid storage tank, circulation pump, flow meter, and preheater. Auxiliary equipment includes an accumulator, gas cylinders, water tank, and chiller. During the circulation process, CO2 is first liquefied in the condenser and stored in the storage tank. The storage tank serves the purpose of eliminating fluctuations in flow and facilitating the further cooling of the working fluid, thus ensuring that it enters the circulation pump in a liquid state.
After passing through the circulation pump, the working fluid achieves an initial flow rate, and the pump’s frequency can be adjusted via a controller to regulate the flow. By adding a bypass line after the circulation pump, the flow control of the system is effectively optimized, enhancing the operational flexibility and overall stability of the system. The pressurization of the fluid is primarily controlled by a pressure regulator, which has a large volume and is connected on one side to the working fluid system and on the other side to a high-pressure nitrogen cylinder, with both sides isolated by a piston. Increasing of the nitrogen side pressure results in a reduction in the volume of the fluid, which in turn gives rise to an increase in the pressure of the fluid. This process effectively controls the pressure of the fluid within the system, ensuring a stable operation.
Subsequently, a preheater (rated power of 18 kW) is employed to heat the working fluid in a water bath, thereby achieving the desired initial experimental temperature. At the same time, a direct current heating system provides the necessary heat for the test section. The CO2 is then directed into the cooler and condenser for secondary cooling under high pressure and temperature. A backpressure valve is installed after the cooler to achieve precise pressure regulation within the system. After cooling, the working fluid returns to a liquid state and ultimately flows back to the liquid storage tank, completing the closed-loop cycle. Using a National Instruments data acquisition system (model NI cDAQ-9185, USA), various sensors and transmitters were connected to collect electrical signals from temperature, pressure, and flow measurements. The data acquisition system converts the signals obtained from sensors and transmitters into recordable and analyzable data. Once steady-state operating conditions were achieved, the system recorded experimental data at 10 s intervals over a duration of 2 min.

2.2. Experimental Test Section

As illustrated in Figure 2, the experimental apparatus comprises a vertical installation of the test section on a metallic frame, enabling the upward flow of CO2 through a smooth Inconel 600 pipe with a length of 2.5 m, an inner diameter of 8 mm, and a wall thickness of 3 mm. Both ends of the test section are equipped with a 0.5 m isolation segment to ensure that the incoming fluid reaches a fully developed turbulence state. This effectively reduces the impact of exit effects on the experimental results and ensures the accuracy of the collected data. Additionally, two insulated flanges are used at both ends of the test section for electrical insulation. The configuration of the direct current (DC) power supply enables the effective heating of the fluid within the test section, providing the necessary heat for subsequent experiments. Both the test section and the insulated sections are wrapped with 50 mm thick glass tape and rubber–plastic insulation material to minimize heat loss.
To accurately measure the pipe wall temperature, 26 T-type thermocouples were evenly placed along the pipe wall at intervals of 100 mm. In addition, multiple T-type and K-type thermocouples were placed at specific critical locations to enhance measurement accuracy. To ensure data reliability, all thermocouples were rigorously calibrated on site.

2.3. Data Reduction

The directly collected experimental data, including inlet pressure pin, inlet fluid temperature Tb,in, outlet pressure pout, outlet fluid temperature Tb,out, outer wall temperature Tw,o, and heating power, serve as the basis for calculating the local parameters. The governing equations have been updated from a previous model validated in related models [1,12,28].
The mass flux G (kg/m2s) is as follows:
G = m ˙ 1 4 π d in 2
where din is the inner diameter (=8 mm) and m ˙ is the mass flow rate (kg/s).
Based on the thermal equilibrium equation, the fluid enthalpy hb (kJ/kg) is
h b = h in + ( h out h in ) × z L
where hin and hout represent the fluid enthalpy at the inlet and outlet of Section 2.2, respectively. L is the heating length (L = 2.5 m). z is the distance from the local temperature measurement point to the heating electrode at the inlet of the test section (m).
The expression for the heat flux q (kW/m2) is as follows:
q = U I × η π d in L
where I (A) is the electric current, U (V) is the voltage, and η is the heating efficiency:
η = G ( h out h in ) × π d in 2 4 U I
The heat transfer coefficient htc (kW/m2k) is
h t c = q T w , i T b
where Tb is the bulk temperature and Tw,i is the inner wall temperature. Since the test section is wrapped with insulation material, it can be approximated as an adiabatic boundary. As a result, heat conduction within the test section wall can be simplified to one-dimensional radial conduction. Based on this assumption, the Tw,i of the test section is as follows:
T w , i = T w , o + q s 16 λ ( d out 2 d in 2 ) q s d out 2 8 λ ln d out d in
where dout is the outer diameter (=14 mm), Tw,o is the outer wall temperature, and λ is the thermal conductivity, which can be represented by
λ = λ 0 + α × T w
In this formula, λ0 = 12.3333 W/mK represents the thermal conductivity at room temperature, and α = 0.0181 W/mK2 denotes the temperature coefficient, with the wall temperature Tw expressed in degrees Celsius (°C). In Equation (7), Tw should ideally be the average of Tw,i and Tw,o. However, the impact of using Tw,o on the calculation results is minimal. Therefore, for convenience, it can be simplified in Equation (7) by using Tw,o.
The internal heat source intensity qs (kW/m3) is as follows:
q s = U I [ π ( d out 2 d in 2 ) L / 4 ]

2.4. Uncertainty Analysis

The voltage and current are supplied by a DC power source (2000 A/60 V), with a measurement uncertainty of 1.6%. Through measurements and calculations within the experimental system, it was found that the heat loss accounts for a maximum of 3% (q = 20 kW/m2) of the total heat. Therefore, the uncertainty in the heat addition for the test section is 5.8%. A 1 mm diameter armored (Type I) T-type thermocouple is used to measure the Tb,in and Tb,out, while a T-type thermocouple measures the Tw,o of the tube. Both types of thermocouples had an uncertainty of ±0.5 °C. The flow rate is measured by an Emerson mass meter, which has a range of 0~330 kg/h with a standard deviation of ±0.075% (FS). A Rosemount smart pressure transmitter is employed to ascertain the pin and pout, within 0~10 MPa with ±0.06% (FS) deviation.
The uncertainty of parameter R can be determined by employing the error propagation equation [29]
Δ R = R x 1 δ x 1 2 + R x 2 δ x 2 2 + + R x N δ x N 2
The calculated uncertainty for htc using this equation is 6.1%. Table 1 presents the uncertainties.

3. Numerical Simulation

3.1. Numerical Model

As shown in Figure 2, the heating section L1 is 2.5 m, and the inner radius r is 4 mm. A 0.5 m adiabatic inlet section, L2, and a 0.5 m adiabatic outlet section, L3, were incorporated to facilitate the comprehensive development of the flow boundary layer [29]. The simulation was conducted using the same structure and dimensions as the experiment. The grid used in this study is relatively simple: since the simulations involve upward flow inside a circular tube, axial symmetry along the circumferential coordinate is assumed, allowing for the use of a two-dimensional grid in the radial and axial directions.

3.2. Simulation Method Equations

In this study, computational fluid dynamics method were employed as the primary research tool to analyze the heat transfer process of CO2 in a vertical smooth circular pipe. To accurately describe this process, the continuity, momentum, and energy equation and turbulent models are applied in this research study [1,12,29].
Continuity:
ρ t + ( ρ u ) = 0
where u is the velocity vector, and ρ is the density.
Momentum:
( ρ u ) t + ( ρ u u ) = p + μ e f f u + ( u ) T + F
where p is the pressure, T is the temperature, μeff = μt + μ is the effective viscosity (turbulent viscosity μt and molecular viscosity μ), and F is the body force, which, in upward vertical flow, mainly represents the effect of gravity.
Energy:
( ρ E ) t + ( u ( ρ E + p ) ) = ( k e f f T ) + S E
where keff is the effective thermal conductivity, E is the total energy per unit volume, and SE is a source term, which could represent heating sources.

3.2.1. Standard k-ε Turbulence Model

Turbulent kinetic energy k:
( ρ k ) t + ( ρ k u ) = μ + μ t / σ k k + G k ρ ε
where σk is the turbulent Prandtl number (σk = 1.0), and Gk is the production of turbulent kinetic energy due to velocity gradients.
Turbulent dissipation rate ε:
( ρ ε ) t + ( ρ ε u ) = μ + μ t / σ ε ε + C 1 ε ε k G k C 2 ε ρ ε 2 k
where C1ε and C2ε are empirical constants (C1ε = 1.44, C2ε = 1.92), and σε is the turbulent Prandtl number (σε = 1.3).
Turbulent viscosity μt:
μ t = ρ C μ k 2 ε
where Cμ is a constant (Cμ = 0.09).

3.2.2. Realizable k-ε Turbulence Model

Turbulent viscosity μt:
μ t = ρ C μ k ε 1 C 1 + C 2 ε k S
where S represents the magnitude of the mean strain rate, and C1 and C2 are empirical constants to refine μt.

3.2.3. Standard k-ω Turbulence Model

Turbulent kinetic energy k:
( ρ k ) t + ( ρ k u ) = P k β ρ k ω + ( ( μ + σ k μ t ) k )
where Pk is the production of turbulent kinetic energy, β* is a constant (β* = 0.09), and σk is the turbulent Prandtl number (σk = 2.0).
Specific dissipation rate ω:
( ρ ω ) t + ( ρ ω u ) = α ω k P k β ρ ω 2 + ( ( μ + σ ω μ t ) ω )
where σω is the turbulent Prandtl number (σω = 2.0), α and β are empirical constants (α = 5/9, β = 3/40).
Turbulent viscosity μt:
μ t = ρ k ω

3.2.4. SST k-ω Turbulence Model

The SST model incorporates the blending function F1 to achieve higher precision in the calculation of heat transfer problems near complex wall surfaces. The primary function of the blending function F1 is to apply the k-ω model within the boundary layer while utilizing the k-ε model in the free-flow region, thereby enhancing the accurate description of heat transfer characteristics under varying flow conditions. The value of the blending function F1 is defined to range from 0 to 1, and its specific formulation ensures a smooth and continuous transition between the two models.
F 1 = tanh min max k β ω y , 500 ν y 2 ω , 4 ρ k σ ω D + y 2 4
where y is the distance to the nearest wall, ν is the kinematic viscosity, and D+ is the positive part of the distance function used in the SST model formulation.

3.3. Numerical Parameters and Case Settings

As shown in Table 2, in order to ascertain the veracity of the numerical model, simulations were conducted for eight operating conditions under the same parameters as the experiments. The first four sets of data are from our own experiments, while the subsequent four sets were obtained through a collaborative effort with Prof. Igor Pioro.

4. Results and Discussion

4.1. Model Verification

As shown in Table 3 and Figure 3, the grid independence was analyzed by examining the variation in Tw,o with different grid numbers. To improve the simulation quality, a boundary layer mesh refinement method was applied. In order to ensure that y+ ≈ 1, the initial grid layer height in the boundary layer is fixed at 1 μm. This setting ensures a sufficiently fine mesh is maintained near the wall, allowing the accurate capture of turbulence effects and flow characteristics. At the same time, the grid growth rate is set to 1.2, a method that ensures a uniform distribution of the mesh in the computational domain while reducing computational load, thus achieving a balance between accuracy and efficiency [30]. The results indicate that when the grid number exceeds 2.0 × 105, the Tout gradually converges to 33.3 °C (Texp. = 33.4 °C). Considering both computational performance and numerical simulation accuracy, a grid number of 2.5 × 105 (5000 axial × 50 radial) was selected for this study, resulting in a relative deviation of 0.299% compared to the experimental data. In this study, numerical simulations were conducted using FLUENT software. The inlet boundary condition was set as a mass flow inlet, while the outlet was defined as a pressure outlet. The heating section was set with a constant heat flux density, and both the inlet and outlet development sections were modeled with adiabatic boundaries. The thermophysical properties of CO2 were obtained from the NIST database and imported into FLUENT after performing linear interpolation. The SIMPLE algorithm was used for the coupling of velocity and pressure, and a second-order upwind scheme was applied for solving the momentum and energy equations. The convergence criterion for the equations was set to a residual value of 10−6.
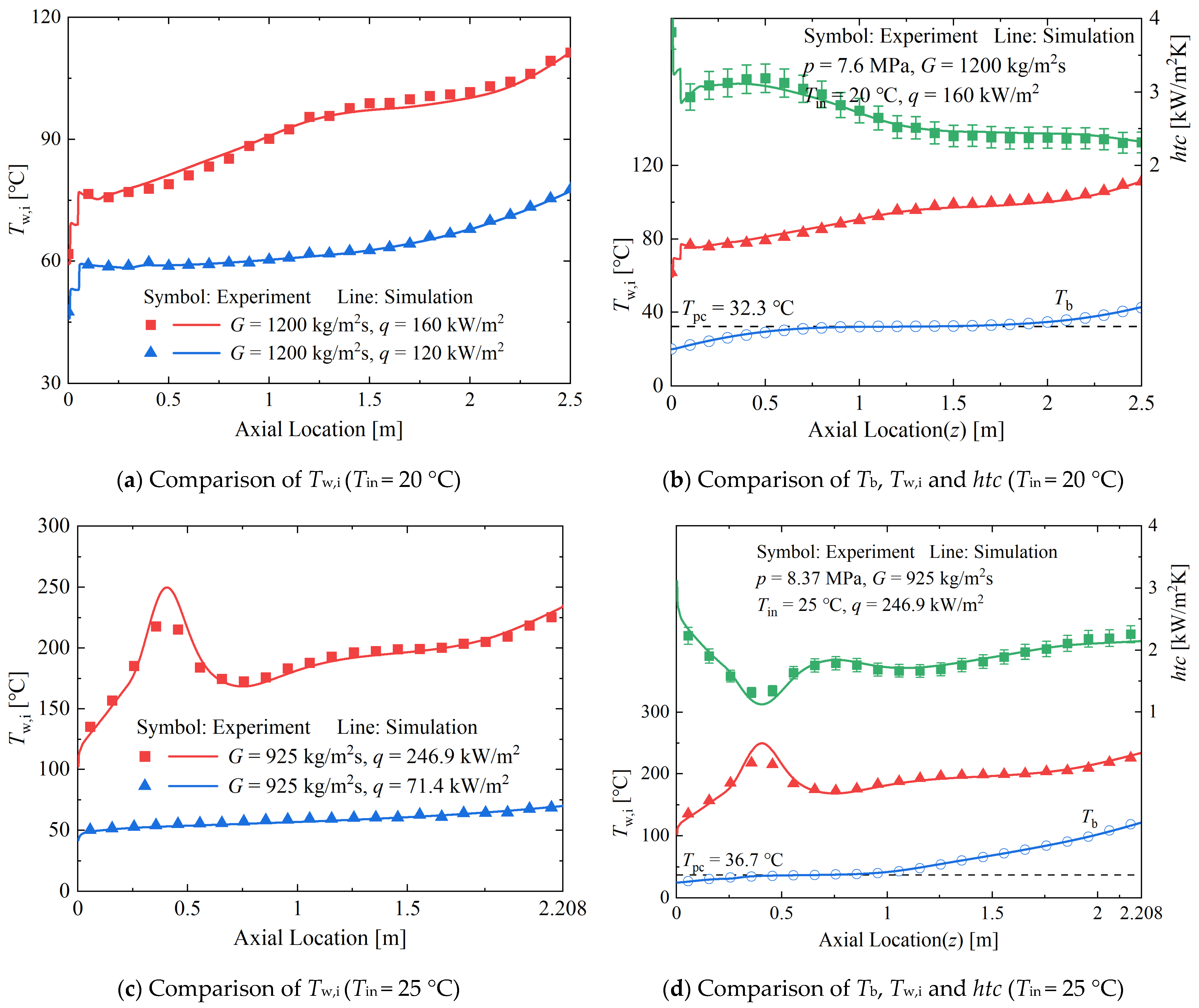
As illustrated in Figure 4, the veracity of disparate turbulence models for forecasting the heat transfer of sCO2 in a vertically heated pipe was evaluated, and the outcomes were corroborated against the Tw,i data. Among them, Figure 4a,b present the experimental data from our experiments, while Figure 4c,d depict the experimental data from Prof. Igor Pioro. In Figure 4a,b, the temperature trends of the standard k-ε and standard k-ω models generally align with the experimental data; however, significant deviations are observed near the inlet and in the midsection of the pipe. Tw,i predicted by the Realizable k-ε model aligns very well with the experimental data in the inlet and outlet regions, but it severely overestimates Tw,i in the middle of the pipe, leading to large discrepancies from the experimental results. The SST k-ω model demonstrates the greatest degree of consistency with the experiment, showing minimal deviations. Similarly, in Figure 4c,d, the Standard k-ω model demonstrates considerable discrepancies with the experimental data, while the Tw,i values predicted by the Realizable k-ε model are closer to those of the experiment in the inlet and outlet regions but deviate in the middle of the pipe. The Standard k-ε model also shows significant errors in the inlet and outlet regions. Once again, the SST k-ω model demonstrates the greatest degree of agreement with the experiment, exhibiting minimal deviations. In light of the aforementioned results and in conjunction with previous studies, the SST k-ω model was deemed the most appropriate for subsequent analyses. The SST k-ω model was selected due to its ability to accurately capture near-wall effects, which are critical for the heat transfer analysis in a long thin vertical loop.
As shown in Figure 5, to further substantiate the precision of the SST k-ω turbulence model, we compared additional results with the experimental data. Figure 5a,b present the data obtained from our experiments, while Figure 5c,d display the experimental data from Prof. Igor Pioro. Overall, the simulation results demonstrate a high degree of correlation with the experimental values, although some discrepancies were observed in the inlet region. These differences may be attributed to the lack of thermal buffering in the metal walls during the simulations, leading to sudden wall heating. Figure 5d compares experimental and simulated results under heat transfer deterioration. Although the simulated values of Tw,i at the location of heat transfer deterioration are higher than the experimental data, indicating some deviation, this does not hinder the model’s effectiveness in capturing the characteristics of heat transfer deterioration.

4.2. Experimental Result Analysis

4.2.1. Effects of Inlet Temperature

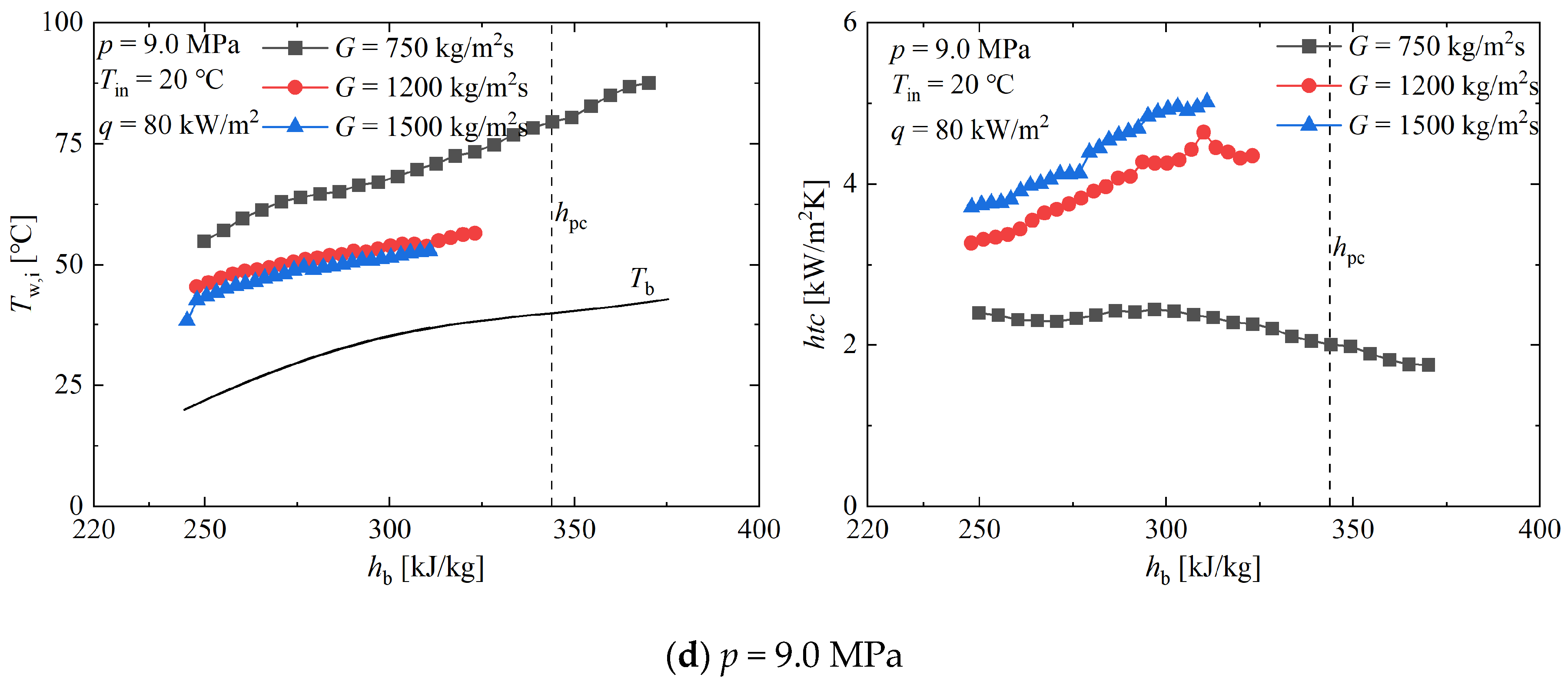
Figure 6 presents Tw,i and htc under four different pressures and varying inlet temperature conditions.
As shown in Figure 6a, under subcritical pressure conditions distant from the critical point, it can be observed that there are generally consistent trends in the data for different inlet temperatures for both Tw,i and htc, with most of the curves overlapping under the same specific enthalpy conditions. The primary reason is that, under the condition of equal specific enthalpy, the fluid properties and thermodynamic states tend to become similar, which in turn leads to the convergence of heat transfer characteristics. In contrast, Figure 6b demonstrates that under near-critical pressure conditions, despite differences in inlet temperature, the peak wall temperatures vary, but htc remains nearly constant. A comparison of Figure 6a,b indicates that the inlet temperature has a negligible impact on heat transfer under subcritical pressure conditions. Similar phenomena have also been confirmed by the research of Lei et al. [27].
In Figure 6c,d, under supercritical pressure conditions, as the inlet temperature rises, htc at the test section inlet also increases, indicating enhanced heat transfer efficiency at higher temperatures. Raising the inlet temperature extends the original heat transfer curve. When Tin < Tpc, as the bulk temperature gradually rises and approaches the pseudo-critical temperature point, the thermal conductivity and specific heat capacity of CO2 significantly increase, enhancing the heat transfer of CO2. This leads to Tw,i gradually decreasing with increasing enthalpy, while htc increases accordingly. Conversely, when Tin > Tpc, Tw,i monotonically increases with enthalpy, while htc decreases. This is due to the fact that, following a departure from the region of high specific heat, the thermal conductivity and specific heat capacity of CO2 undergo a precipitous decline, resulting in a sustained reduction in heat transfer performance.

4.2.2. Effect of Pressure

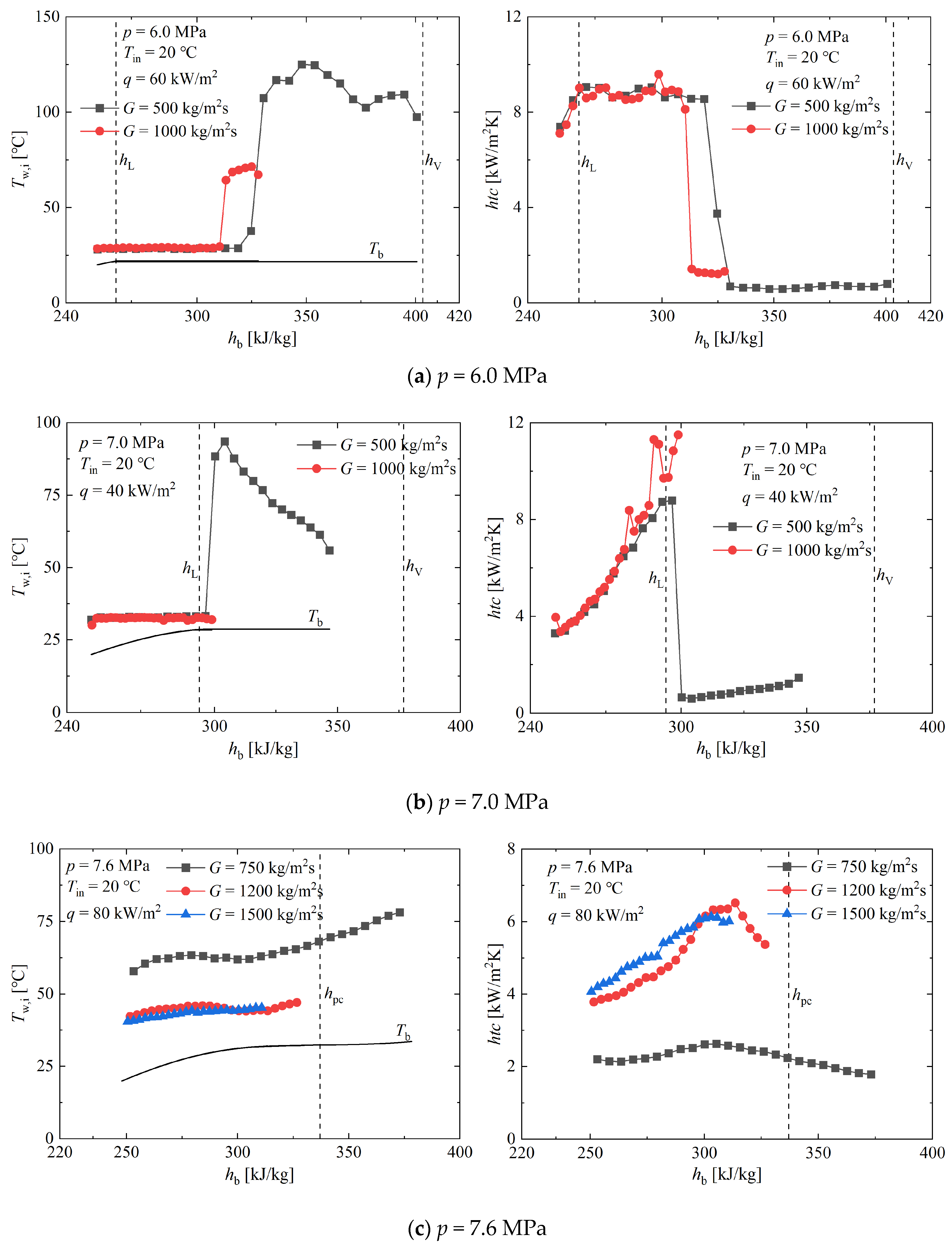
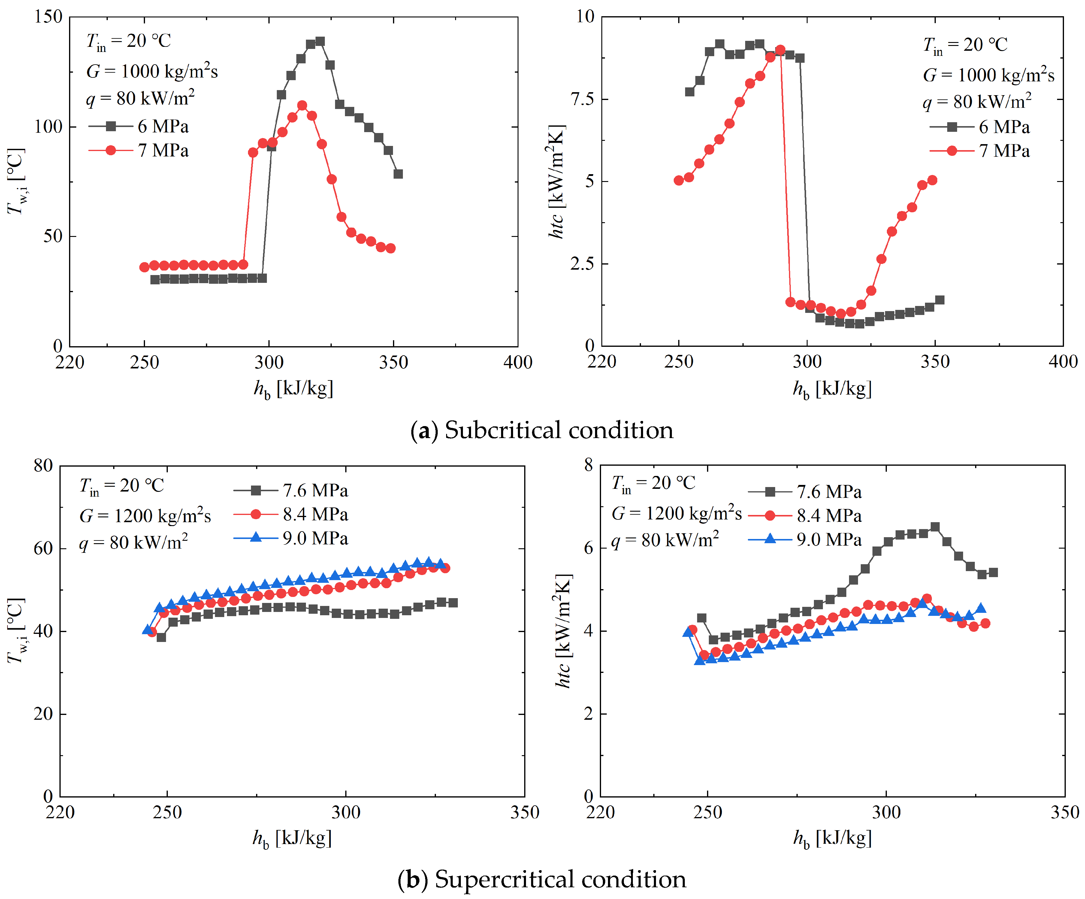
Figure 7 shows the variation curves of Tw,i and htc under different pressure conditions.
In the subcritical pressure conditions illustrated in Figure 7a, prior to Tw,i attaining its maximum value, an increase in pressure results in an elevation in Tw,i and a reduction in htc. The location of the peak wall temperature shifts towards lower enthalpy values as the pressure increases, a trend also observed by Zhu et al. [31] in experiments with water. This phenomenon occurs when the latent heat and surface tension of the fluid decrease as the pressure approaches the critical point, thereby rendering it more challenging to maintain a liquid film in the nucleate boiling-dominated region. Accordingly, the probability of nucleate boiling being superseded by another boiling mode increases with rising pressure [32].
For the supercritical pressure conditions shown in Figure 7b, the trends of Tw,i and htc follow similar patterns across different pressures. Overall, Tw,i increases and htc decreases with increasing pressure, which is consistent with the results of Tanimizu et al. [33] and Gang et al. [34]. This behavior is attributed to the reduction in the fluid’s specific heat capacity with increasing pressure, which decreases its heat absorption capability and results in an increase in Tw,i. At the test section outlet, CO2 approaches a gaseous state due to high temperature. At this point, the impact of pressure on the fluid’s thermophysical properties diminishes, and htc tends to converge. Studies by Taklifi et al. [35] and Zhang et al. [36] also reported similar pressure-related trends.

4.2.3. Effect of Mass Flux

Figure 8 presents Tw,i and htc under four different pressures and varying mass flux conditions.
For the subcritical pressure conditions shown in Figure 8a,b, as mass flux increases, the higher mass flux leads to a reduction in the peak Tw,i and shifts the peak towards lower enthalpy values. This is because the larger inertial force suppresses the expansion of the vapor film, thereby improving heat transfer [37,38]. However, particularly near low enthalpy values, this region is primarily governed by boiling characteristics, and changes in mass flux have a minimal effect on htc [39].
Under the supercritical pressure conditions in Figure 8c,d, the overall trend indicates that Tw,i decreases with an increase in mass flow rate, suggesting that the heat transfer of the fluid during the flow process is enhanced. Simultaneously, htc significantly increases with higher mass flow rates. This is attributed to the enhanced turbulence intensity resulting from the increased mass flow, which substantially improves the heat transfer performance.

4.2.4. Effect of Heat Flux

Figure 9 presents Tw,i and htc under four different pressures and varying heat flux conditions.
In Figure 9a,b, under subcritical pressure conditions, the increased heat flux significantly raises Tw,i, indicating that a higher heat flux results in a more intense heating of the wall. Additionally, the location of departure from nucleate boiling shifts toward lower enthalpy values. This is because a higher heat flux accelerates the rate at which bubbles form, helping to create a vaporized film. In the low-enthalpy region, nucleate boiling dominates the heat transfer process. A higher heat flux accelerates bubble formation and detachment from the wall, enhancing the heat exchange between the liquid and the wall, thereby improving heat transfer performance [40,41]. Consequently, htc increases with rising heat flux. In the high-enthalpy region (after Tw,i reaches its peak), htc is largely unaffected by heat flux as mist flow dominates. The influence of the heat flow in this region is weakened by the change in the heat transfer mechanism.
In Figure 9c,d, for supercritical pressure conditions, the overall trend indicates that Tw,i significantly increases with the rise in heat flux. Conversely, htc decreases as heat flux increases, reaching a maximum near the pseudocritical point before gradually declining. This phenomenon contributes to improved heat transfer and enhances heat transfer efficiency.

4.3. Comparisons of Correlations for sCO2

To validate the measurement results obtained in the experiment, the Nusselt numbers were compared with classical correlations, as shown in Table 4.
The Nusselt number was derived from the experimental results. Hundreds of experiments are conducted, yielding a large dataset (p = 7.6~9.0 MPa, Tin = 20~45 °C, q = 80~300 kW/m2, G = 750~1500 kg/m2s), and the calculated results based on the formula are shown in Figure 10. The experimental data generally align well with the results from the two correlations, with an uncertainty of ±30%. At a pressure of 7.6 MPa, some data points slightly exceed the experimental values (beyond the ±30% range), primarily due to the dramatic changes in thermophysical properties. Errors in the data acquisition system also contribute to the larger deviations observed at certain points. In the near-wall region, the reduced thermal conductivity of the fluid often decreases heat transfer efficiency [44]. In addition, the specific heat capacity of the fluid rises sharply and peaks as it approaches the critical temperature. This causes the Nusselt number calculated using correlation formulas to be significantly overestimated, while the experimentally measured Nusselt number is much lower [45]. The severity of the thermophysical property changes decreases as the pressure increases. At 8.4 MPa, only a few data points exceed the experimental values (beyond the ±30% range). The predicted values align more closely with the experimental results as the pressure increases to 9.0 MPa.

4.4. Practical Significance/Usefulness of Obtained Results

The current study not only provides experimental data for an intense range of parameters for supercritical CO2 through pipe flow but also gives a detailed base for comparisons of the heat transfer enhancement/deterioration process. The results of this study contribute to the proper selection of supercritical CO2 heat transfer flow under high heat flux input conditions. Specially, this study will add to the IAEA joint research and comparisons among the worldwide supercritical fluid theoretical analysis of similarity theory and engineering applications of supercritical CO2-based power cycle designs.

5. Conclusions and Perspectives

In the present study, the heat transfer characteristics of upward CO2 flow in a long thin vertical loop were experimentally investigated under conditions ranging from 6 MPa (subcritical pressure) to 9 MPa (supercritical pressure). In addition to the experimental investigation, numerical simulations were performed, and the experimental results were used to validate the accuracy of the turbulence model several times. Here are the study’s main conclusions:
(1) The current experimental and numerical methods were firstly compared and validated against each other and also with the literature data. Especially for the numerical simulation, the turbulence model was validated multiple times using the experimental data. The results show that the SST k-ω model demonstrates the greatest degree of agreement with the experiment’s results and is applicable over the tested parameter range.
(2) Under subcritical pressure conditions, heat transfer exhibits classic two-phase characteristics. When the wall temperature reaches its peak, it corresponds to the departure from nucleate boiling. Under supercritical pressure conditions, the fluid behaves like a single-phase flow, and increasing the inlet temperature extends the original heat transfer curve.
(3) Under subcritical pressure conditions, the heat transfer coefficient is relatively insensitive to changes in mass flux. However, under supercritical pressure conditions, the enhanced turbulent transport significantly increases the heat transfer coefficient with the mass flow rate. At subcritical pressures, the heat transfer coefficient increases with heat flux in low-enthalpy regions, while it shows little variation with heat flux in high=enthalpy regions. In contrast, at supercritical pressures, as the heat flux increases, the heat transfer coefficient generally decreases.
(4) To validate the measurement results obtained in the experiment, the Nusselt numbers were compared with classical correlations, and the experimental data generally aligned well with the results from the two correlations, with an uncertainty of ±30%. As the pressure increased, the predicted values became closer to the experimental data.
Future work will be focused on high-parameter-range (~500 °C, ~20 MPa) experimental verifications and validations against the literature correlations. Also, turbulent models for supercritical CO2 fluid flow and heat transfer will be further developed in future studies.

Author Contributions

R.S.: data curation, drafting; Y.F.: data curation; D.Y.: Data curation; G.Z.: review and editing; D.M.: review and editing; I.P.: supervising; L.C.: Conceptualization, fund acquisition, supervising, review and editing. All authors have read and agreed to the published version of the manuscript.

Funding

This research has been funded by the National Natural Science Foundation of China (No. 52076207, Lin Chen), International Atomic Energy Agency (IAEA) Coordinated Research Project (CRP-I31034) Contract (No. 24858), CAS Project for Young Scientists in Basic Research (No. YSBR-043; Lin Chen), and CAS Key Research Program of Frontier Sciences (No. ZDBS-LY-JSC018; Lin Chen).

Data Availability Statement

Data will be available upon reasonable request.

Acknowledgments

This research was conceptualized and organized by Lin Chen and was conducted in the Institute of Engineering Thermophysics, the Chinese Academy of Sciences (IET-CAS), China. Rufan Song, who is jointly affiliated in the lab of Deqing Mei (Jiangsu University, China), joined this study in the Institute of Engineering Thermophysics, the Chinese Academy of Sciences (IET-CAS), under the direction of Lin Chen (IET-CAS).

Conflicts of Interest

The authors declare no conflicts of interest.

References

  1. Chen, L. Handbook of Research on Advancements in Supercritical Fluids Applications for Sustainable Energy Systems; IGI Global: Hershey, PA, USA, 2021. [Google Scholar]
  2. Chen, L. Microchannel Flow Dynamic and Heat Transfer of Near-Critical Fluid; Springer: Berlin/Heidelberg, Germany, 2017. [Google Scholar]
  3. Deev, V.I.; Kharitonov, V.S.; Baisov, A.M.; Churkin, A.N. Heat transfer characteristics of water under supercritical conditions. Int. J. Therm. Sci. 2022, 171, 107238. [Google Scholar] [CrossRef]
  4. Sarkar, J. Second law analysis of supercritical CO2 recompression Brayton cycle. Energy 2009, 34, 1172–1178. [Google Scholar] [CrossRef]
  5. Chen, L.; Zhang, X.R. Experimental analysis on a novel solar collector system achieved by supercritical CO2 natural convection. Energy Convers. Manag. 2014, 77, 173–182. [Google Scholar] [CrossRef]
  6. Chen, L.; Zhang, X.R. Experiments on natural convective solar thermal achieved by supercritical CO2/dimethyl ether mixture fluid. J. Sol. Energy Eng. 2014, 136, 031011. [Google Scholar] [CrossRef]
  7. Dali, I.; Aydi, A.; Stamenic, M.; Kolsi, L.; Ghachem, K.; Zizovic, I.; Manef, A.; Delgado, D.R. Extraction of lyophilized olive mill wastewater using supercritical CO2 processes. Alex. Eng. J. 2022, 61, 237–246. [Google Scholar] [CrossRef]
  8. Bovard, S.; Abdi, M.; Nikou, M.R.K.; Daryasafar, A. Numerical investigation of heat transfer in supercritical CO2 and water turbulent flow in circular tubes. J. Supercrit. Fluids 2017, 119, 88–103. [Google Scholar] [CrossRef]
  9. Cheng, L.X.; Xia, G.D. Progress and Prospects for Research and Technology Development of Supercritical CO2 Thermal Conversion Systems for Power, Energy Storage, and Waste Heat Recovery. Heat Transf. Eng. 2023, 45, 1836–1853. [Google Scholar] [CrossRef]
  10. Liu, S.H.; Huang, Y.P.; Liu, G.X.; Wang, J.F.; Leung, L.K.H. Improvement of buoyancy and acceleration parameters for forced and mixed convective heat transfer to supercritical fluids flowing in vertical tubes. Int. J. Heat Mass Transf. 2017, 106, 1144–1156. [Google Scholar] [CrossRef]
  11. Li, X.L.; Yu, X.Y.; Liu, P.T.; Fan, Y.H.; Yang, D.L.; Tang, G.H. S-CO2 flow in vertical tubes of large-diameter: Experimental evaluation and numerical exploration for heat transfer deterioration and prevention. Int. J. Heat Mass Transf. 2023, 216, 124563. [Google Scholar] [CrossRef]
  12. Yang, D.; Chen, L.; Chen, J.X.; Feng, Y.C. High-heat flux flow and heat transfer transitions in a supercritical loop: Numerical verification and correlation. Int. J. Energy Res. 2022, 46, 16375–16393. [Google Scholar] [CrossRef]
  13. Yun, R.; Kim, Y.; Kim, M.S.; Choi, Y. Boiling heat transfer and dryout phenomenon of CO2 in a horizontal smooth tube. Int. J. Heat Mass Transf. 2003, 46, 2353–2361. [Google Scholar] [CrossRef]
  14. Dupont, V.; Thome, J.R.; Jacobi, A.M. Heat transfer model for evaporation in microchannels. Part II: Comparison with the database. Int. J. Heat Mass Transf. 2004, 47, 3387–3401. [Google Scholar] [CrossRef]
  15. Oh, H.K.; Son, C.H. Flow boiling heat transfer and pressure drop characteristics of CO2 in horizontal tube of 4.57-mm inner diameter. Appl. Therm. Eng. 2011, 31, 163–172. [Google Scholar] [CrossRef]
  16. Jiang, L.L.; Liu, J.H.; Zhang, L.; Xu, X.J. A research on the dryout characteristics of CO2’s flow boiling heat transfer process in mini-channels. Int. J. Refrig. 2017, 83, 131–142. [Google Scholar] [CrossRef]
  17. Schmidt, M.E. Impairment of the heat transmission at supercritical pressures. High Temp. 1963, 1, 237–244. [Google Scholar]
  18. Schmidt, E.; Eckert, E.; Grigull, V. Heat Transfer by Liquids Neat the Critical State, AFF Translation; Air Materials Command: Dayton, OH, USA, 1946. [Google Scholar]
  19. Duffey, R.B.; Pioro, I.L. Experimental heat transfer of supercritical carbon dioxide flowing inside channels (survey). Nucl. Eng. Des. 2005, 235, 913–924. [Google Scholar] [CrossRef]
  20. Bae, Y.Y.; Kim, H.Y. Convective heat transfer to CO2 at a supercritical pressure flowing vertically upward in tubes and an annular channel. Exp. Therm. Fluid Sci. 2009, 33, 329–339. [Google Scholar] [CrossRef]
  21. Bae, Y.Y.; Kim, H.Y.; Kang, D.J. Forced and mixed convection heat transfer to supercritical CO2 vertically flowing in a uniformly-heated circular tube. Exp. Therm. Fluid Sci. 2010, 34, 1295–1308. [Google Scholar] [CrossRef]
  22. Kline, N.; Feuerstein, F.; Tavoularis, S. Onset of heat transfer deterioration in vertical pipe flows of CO2 at supercritical pressures. Int. J. Heat Mass Transf. 2018, 118, 1056–1068. [Google Scholar] [CrossRef]
  23. Jajja, S.A.; Zada, K.R.; Fronk, B.M. Experimental investigation of supercritical carbon dioxide in horizontal microchannels with non-uniform heat flux boundary conditions. Int. J. Heat Mass Transf. 2019, 130, 304–319. [Google Scholar] [CrossRef]
  24. Du, X.; Lv, Z.H.; Yu, X.; Cao, M.G.; Zhou, J.J.; Ren, Y.X.; Qiu, Q.G.; Zhu, X.J. Heat transfer of supercritical CO2 in vertical round tube: A considerate turbulent Prandtl number modification. Energy 2020, 192, 116612. [Google Scholar] [CrossRef]
  25. Huang, Y.; Bao, X.; Duan, L.B. Experimental and numerical investigation on heat transfer of supercritical CO2 in a horizontal U-tube under thermal boundary of immersed tube. Int. Commun. Heat Mass Transf. 2022, 138, 106364. [Google Scholar] [CrossRef]
  26. Chen, L.; Zeng, G.; Yang, D.; Yuan, H.Z.; Zang, J.G.; Huang, Y.P. Quantitative visualization on boundary heat transfer of supercritical CO2 mini-channel through-flow (Re = 104) via pixelated phase-shifting interferometry. Int. J. Heat Mass Transf. 2024, 223, 125258. [Google Scholar] [CrossRef]
  27. Lei, X.L.; Peng, R.F.; Guo, Z.M.; Li, H.X.; Ali, K.; Zhou, X. Experimental comparison of the heat transfer of carbon dioxide under subcritical and supercritical pressures. Int. J. Heat Mass Transf. 2020, 152, 119562. [Google Scholar] [CrossRef]
  28. Yang, D.; Chen, L.; Feng, Y.C.; Chen, H.S. Comparisons of supercritical loop flow and heat transfer behavior under uniform and nonuniform high-flux heat inputs. Nucl. Sci. Eng. 2023, 197, 74–91. [Google Scholar] [CrossRef]
  29. Zhang, H.S.; Xu, J.L.; Wang, Q.Y.; Zhu, X.J. Multiple wall temperature peaks during forced convective heat transfer of supercritical carbon dioxide in tubes. Int. J. Heat Mass Transf. 2021, 172, 121171. [Google Scholar] [CrossRef]
  30. Zhang, Q.; Li, H.X.; Liu, J.L.; Lei, X.L.; Wu, C. Numerical investigation of different heat transfer behaviors of supercritical CO2 in a large vertical tube. Int. J. Heat Mass Transf. 2020, 147, 118944. [Google Scholar] [CrossRef]
  31. Zhu, X.J.; Bi, Q.C.; Yang, D.; Chen, T.K. An investigation on heat transfer characteristics of different pressure steam-water in vertical upward tube. Nucl. Eng. Des. 2009, 239, 381–388. [Google Scholar] [CrossRef]
  32. Shen, Z.; Yang, D.; Xie, H.Y.; Nie, X.; Liu, W.Y.; Wang, S.Y. low and heat transfer characteristics of high-pressure water flowing in a vertical upward smooth tube at low mass flux conditions. Appl. Therm. Eng. 2016, 102, 391–401. [Google Scholar] [CrossRef]
  33. Tanimizu, K.; Sadr, R. Experimental investigation of buoyancy effects on convection heat transfer of supercritical CO2 flow in a horizontal tube. Heat Mass Transf. 2016, 52, 713–726. [Google Scholar] [CrossRef]
  34. Gang, W.; Bi, Q.C.; Wang, H.; Yang, Z.D.; Zhu, X.J.; Hu, Z.H. Forced convection heat transfer using high temperature and pressure water in an upward-inclined tube. J. Heat Transfer 2012, 134, 020905. [Google Scholar] [CrossRef]
  35. Taklifi, A.; Hanafizadeh, P.; Behabadi, M.A.A.; Aliabadi, A. Experimental investigation on heat transfer and pressure drop of supercritical water flows in an inclined rifled tube. J. Supercrit. Fluids 2016, 107, 209–218. [Google Scholar] [CrossRef]
  36. Zhang, Q.; Li, H.X.; Kong, X.F.; Liu, J.L.; Lei, X.L. Special heat transfer characteristics of supercritical CO2 flowing in a vertically-upward tube with low mass flux. Int. J. Heat Mass Transf. 2018, 122, 469–482. [Google Scholar] [CrossRef]
  37. Kandlikar, S.G. Evaporation momentum force and its relevance to boiling heat transfer. J. Heat Transfer 2020, 142, 100801. [Google Scholar] [CrossRef]
  38. Wojtan, L.; Ursenbacher, T.; Thome, J.R. Investigation of flow boiling in horizontal tubes: Part I—A new diabatic two-phase flow pattern map. Int. J. Heat Mass Transf. 2005, 48, 2955–2969. [Google Scholar] [CrossRef]
  39. Mastrullo, R.; Mauro, A.W.; Viscito, L. Flow boiling of carbon dioxide: Heat transfer for smooth and enhanced geometries and effect of oil. state of the art review. Int. J. Refrig. 2019, 108, 311–335. [Google Scholar] [CrossRef]
  40. Huai, X.L.; Koyama, S.; Zhao, T.S.; Shinmura, E.; Hidehiko, K.; Masaki, M. An experimental study of flow boiling characteristics of carbon dioxide in multiport mini channels. Appl. Therm. Eng. 2004, 24, 1443–1463. [Google Scholar] [CrossRef]
  41. Choi, K.I.; Pamitran, A.S.; Oh, J.T. Two-phase flow heat transfer of CO2 vaporization in smooth horizontal minichannels. Int. J. Refrig. 2007, 30, 767–777. [Google Scholar] [CrossRef]
  42. Saltanov, E.; Pioro, I.; Mann, D.; Gupta, S.; Mokry, S.; Harvel, G. Study on specifics of forced-convective heat transfer in supercritical carbon dioxide. J. Nucl. Eng. Radiat. Sci. 2015, 1, 011008. [Google Scholar] [CrossRef]
  43. Gupta, S.; Saltanov, E.; Mokry, S.; Pioro, I.; Trevani, L. McGillivray, Developing empirical heat-transfer correlations for supercritical CO2 flowing in vertical bare tubes. Nucl. Eng. Des. 2013, 261, 116–131. [Google Scholar] [CrossRef]
  44. Zhu, B.G.; Xu, J.L.; Wu, X.M.; Xie, J.; Li, M.J. Supercritical “boiling” number, a new parameter to distinguish two regimes of carbon dioxide heat transfer in tubes. Int. J. Therm. Sci. 2019, 136, 254–266. [Google Scholar] [CrossRef]
  45. Zhang, Q.; Li, H.X.; Lei, X.L.; Zhang, J.; Kong, X.F. Study on identification method of heat transfer deterioration of supercritical fluids in vertically heated tubes. Int. J. Heat Mass Transf. 2018, 127, 674–686. [Google Scholar] [CrossRef]
Figure 1. sCO2 test system. (a) Schematic of the testing system. (b) Realized testing system. DAS for Data Acquisition System.
Figure 1. sCO2 test system. (a) Schematic of the testing system. (b) Realized testing system. DAS for Data Acquisition System.
Energies 17 06010 g001
Figure 2. The test section of the loop. (a) Experimental measurement points. (b) Numerical simulation model. # with numbers indicates temperature sensor tags.
Figure 2. The test section of the loop. (a) Experimental measurement points. (b) Numerical simulation model. # with numbers indicates temperature sensor tags.
Energies 17 06010 g002
Figure 3. Grid division and grid independence analysis. (a) Grid division. (b) Grid independence analysis.
Figure 3. Grid division and grid independence analysis. (a) Grid division. (b) Grid independence analysis.
Energies 17 06010 g003
Figure 4. Turbulent model accuracy validation and comparisons. (a) p = 7.6 MPa, Tin = 30.0 °C; (b) p = 8.0 MPa, Tin = 15.0 °C; (c) p = 8.37 MPa, Tin = 25.0 °C; (d) p = 8.36 MPa, Tin = 39.4 °C.
Figure 4. Turbulent model accuracy validation and comparisons. (a) p = 7.6 MPa, Tin = 30.0 °C; (b) p = 8.0 MPa, Tin = 15.0 °C; (c) p = 8.37 MPa, Tin = 25.0 °C; (d) p = 8.36 MPa, Tin = 39.4 °C.
Energies 17 06010 g004
Figure 5. Model validation (SST k-ω turbulent model). (a) Comparison of Tw,i (Tin = 20 °C); (b) comparison of Tb, Tw,i and htc (Tin = 20 °C); (c) comparison of Tw,i (Tin = 25 °C); (d) comparison of Tb, Tw,i and htc (Tin = 25 °C).
Figure 5. Model validation (SST k-ω turbulent model). (a) Comparison of Tw,i (Tin = 20 °C); (b) comparison of Tb, Tw,i and htc (Tin = 20 °C); (c) comparison of Tw,i (Tin = 25 °C); (d) comparison of Tb, Tw,i and htc (Tin = 25 °C).
Energies 17 06010 g005
Figure 6. Tw,i and htc under four different pressures and varying inlet temperature conditions. (a) p = 6.0 MPa; (b) p = 7.0 MPa; (c) p = 7.6 MPa; (d) p = 9.0 MPa.
Figure 6. Tw,i and htc under four different pressures and varying inlet temperature conditions. (a) p = 6.0 MPa; (b) p = 7.0 MPa; (c) p = 7.6 MPa; (d) p = 9.0 MPa.
Energies 17 06010 g006aEnergies 17 06010 g006b
Figure 7. The variation curves of Tw,i and htc under different pressure conditions. (a) Subcritical condition; (b) supercritical condition.
Figure 7. The variation curves of Tw,i and htc under different pressure conditions. (a) Subcritical condition; (b) supercritical condition.
Energies 17 06010 g007
Figure 8. The variation in Tw,i and htc at different mass fluxes. (a) p = 6.0 MPa; (b) p = 7.0 MPa; (c) p = 7.6 MPa; (d) p = 9.0 MPa.
Figure 8. The variation in Tw,i and htc at different mass fluxes. (a) p = 6.0 MPa; (b) p = 7.0 MPa; (c) p = 7.6 MPa; (d) p = 9.0 MPa.
Energies 17 06010 g008aEnergies 17 06010 g008b
Figure 9. Tw,i and htc under four different pressures and varying heat flux conditions. (a) p = 6.0 MPa; (b) p = 7.0 MPa; (c) p = 7.6 MPa; (d) p = 9.0 MPa.
Figure 9. Tw,i and htc under four different pressures and varying heat flux conditions. (a) p = 6.0 MPa; (b) p = 7.0 MPa; (c) p = 7.6 MPa; (d) p = 9.0 MPa.
Energies 17 06010 g009aEnergies 17 06010 g009b
Figure 10. Comparison between experimental results and correlated data. (a) Comparisons with Saltanov et al. correlation (2015) [42]. (b) Comparisons with Gupta et al. correlation (2013) [43].
Figure 10. Comparison between experimental results and correlated data. (a) Comparisons with Saltanov et al. correlation (2015) [42]. (b) Comparisons with Gupta et al. correlation (2013) [43].
Energies 17 06010 g010
Table 1. Uncertainties of primary parameters.
Table 1. Uncertainties of primary parameters.
VariablesUncertainty
Heating power (kW)±1.6%
Pressure (MPa)±0.06%
Outer temperature (°C)±0.5 °C
Fluid temperature (°C)±0.5 °C
Heating flux (kW/m2)±5.8%
Mass flow rate (kg/h)±0.075%
Heat transfer coefficient (kW/m2k)±6.1%
Table 2. Simulation and experimental verification conditions.
Table 2. Simulation and experimental verification conditions.
Case Groupp (MPa)Tin (°C)G (kg/m2s)q (kW/m2s)
17.6201200120
27.6201200160
37.6301000160
48.0151000170
58.372592571.4
68.3725926143.5
78.3725925246.9
88.3639.4843142.2
Table 3. Seven kinds of grid numbers.
Table 3. Seven kinds of grid numbers.
Mesh NumberNumber of Grids (Radial × Axial)Tout (℃)Relative Deviation (%)
(Texp. = 33.4 °C)
Mesh 12000 × 20 = 4.0 × 10428.614.371
Mesh 23000 × 30 = 9.0 × 10430.78.084
Mesh 34000 × 40 = 1.6 × 10532.62.395
Mesh 44000 × 50 = 2.0 × 10533.81.198
Mesh 55000 × 50 = 2.5 × 10533.30.299
Mesh 65000 × 60 = 3.0 × 10533.60.599
Mesh 75000 × 80 = 4.0 × 10533.50.299
Table 4. Comparison of classical correlations with Nusselt numbers.
Table 4. Comparison of classical correlations with Nusselt numbers.
AuthorParametersCorrelation
Saltanov et al. (2015) [42]p: 7.57~8.91 MPa; Tb: 20~161 °C; G: 674~3048 kg/(m2s); q: 9.3~616 kW/m2. N u = 0.0164 R e b 0.823 P r ¯ b 0.195 ρ w ρ b 0.374
Gupta et al. (2013) [43]p: 7.57~8.8 MPa; Tin: 20~40 °C; G: 706~3169 kg/(m2s); q: 9.3~616.6 kW/m2. N u = 0.01 R e b 0.89 P r ¯ b 0.14 ρ w ρ b 0.93 k w k b 0.22 μ w μ b 1.13
Disclaimer/Publisher’s Note: The statements, opinions and data contained in all publications are solely those of the individual author(s) and contributor(s) and not of MDPI and/or the editor(s). MDPI and/or the editor(s) disclaim responsibility for any injury to people or property resulting from any ideas, methods, instructions or products referred to in the content.

Share and Cite

MDPI and ACS Style

Song, R.; Feng, Y.; Yang, D.; Zeng, G.; Mei, D.; Pioro, I.; Chen, L. Experiments and Heat Transfer Correlation Validations of Low-Parameter Region of sCO2 Flow in a Long Thin Vertical Loop. Energies 2024, 17, 6010. https://doi.org/10.3390/en17236010

AMA Style

Song R, Feng Y, Yang D, Zeng G, Mei D, Pioro I, Chen L. Experiments and Heat Transfer Correlation Validations of Low-Parameter Region of sCO2 Flow in a Long Thin Vertical Loop. Energies. 2024; 17(23):6010. https://doi.org/10.3390/en17236010

Chicago/Turabian Style

Song, Rufan, Yongchang Feng, Dong Yang, Gang Zeng, Deqing Mei, Igor Pioro, and Lin Chen. 2024. "Experiments and Heat Transfer Correlation Validations of Low-Parameter Region of sCO2 Flow in a Long Thin Vertical Loop" Energies 17, no. 23: 6010. https://doi.org/10.3390/en17236010

APA Style

Song, R., Feng, Y., Yang, D., Zeng, G., Mei, D., Pioro, I., & Chen, L. (2024). Experiments and Heat Transfer Correlation Validations of Low-Parameter Region of sCO2 Flow in a Long Thin Vertical Loop. Energies, 17(23), 6010. https://doi.org/10.3390/en17236010

Note that from the first issue of 2016, this journal uses article numbers instead of page numbers. See further details here.

Article Metrics

Back to TopTop