Some Bifurcations of Codimensions 1 and 2 in a Discrete Predator–Prey Model with Non-Linear Harvesting
Abstract
1. Introduction
2. Existence and Stability of Fixed Points
- (I)
- and if and only if and .
- (II)
- and (or and ) if and only if .
- (III)
- and if and only if and .
- (IV)
- and if and only if and .
- (V)
- and are complex and if and only if and .
- (I)
- is a sink if and .
- (II)
- is a source if one of the following conditions holds:
- (i)
- and .
- (ii)
- and .
- (III)
- is a saddle if one of the following conditions holds:
- (i)
- and .
- (ii)
- and .
- (iii)
- and .
- (IV)
- is non-hyperbolic if one of the following conditions holds:
- (i)
- and .
- (ii)
- , and .
- (iii)
- , and .
- (iv)
- and .
- (v)
- and .
- (I)
- is a sink if one of the following conditions holds:
- (i)
- , and .
- (ii)
- , and .
- (II)
- is a saddle if one of the following conditions holds:
- (i)
- , and .
- (ii)
- , and .
- (iiii)
- and .
- (III)
- is a source if one of the following conditions holds:
- (i)
- , , .
- (ii)
- , and .
- (iii)
- , and .
- (iv)
- and .
- (I)
- The fixed point, which is non-hyperbolic, may undergo a fold bifurcation when parameters satisfy , and .
- (II)
- The fixed point , which is non-hyperbolic, may undergo a flip bifurcation when parameters satisfy one of the following conditions:
- (i)
- , , (or ) and , .
- (ii)
- and .
- (III)
- The fixed point , which is non-hyperbolic, may undergo a Neimark–Sacker bifurcation when parameters satisfy , and .
- (IV)
- The fixed point , which is non-hyperbolic, may undergo a fold–flip bifurcation when parameters satisfy , and .
- (V)
- The fixed point , which is non-hyperbolic, may undergo the 1:2 resonance when parameters satisfy , and .
- (VI)
- The fixed point , which is non-hyperbolic, may undergo the 1:4 resonance when parameters satisfy , and .
3. Codimension 1 Bifurcations
3.1. Transcritical Bifurcation around
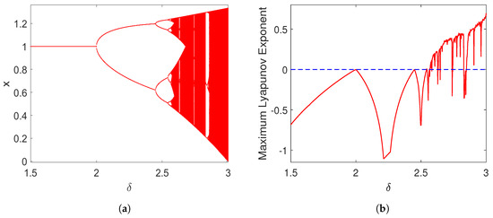
3.2. Flip Bifurcation around
- (F1)
- at ;
- (F2)
- at .
3.3. Fold Bifurcation around
3.4. Flip Bifurcation around the Positive Fixed Points
3.5. Neimark–Sacker Bifurcation around the Positive Fixed Points
- (i)
- for α near 0;
- (ii)
- has two complex eigenvalues , for α near 0 with ;
- (iii)
- ;
- (iv)
- is not an mth root of unity for .
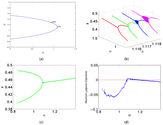
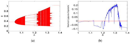
4. Codimension 2 Bifurcations
4.1. Fold–Flip Bifurcation
4.2. 1:2 Resonance
- (i)
- There is a pitchfork bifurcation curve
- (ii)
- There is a non-degenerate Hopf bifurcation curve
- (iii)
- There is a heteroclinic Hopf bifurcation curve
- (i)
- there is a flip bifurcation curve like the pitchfork bifurcation curve in (61). Crossing this curve makes a stable period-2 cycle come from .
- (ii)
- there is a non-degenerate Neimark–Sacker bifurcation curve like in (62). Crossing it leads to a stable closed invariant cycle around .
- (iii)
- there is a homoclinic structure. This means there are long-period cycles that appear and disappear through fold bifurcations in a very narrow parameter region around in (63).
4.3. 1:4 Strong Resonance
5. Two-Parameter Plane Plots
6. Conclusions
Author Contributions
Funding
Data Availability Statement
Acknowledgments
Conflicts of Interest
Appendix A. The Proof of Theorem 1
- (I)
- If and , i.e.,then is a sink.
- (II)
- If and , i.e.,then is a source when one of the conditions considered above are satisfied.
- (III)
- If , or , , i.e.,orwe can guarantee that is a saddle when one of the conditions discussed above are satisfied.
- (IV)
- If , , or , , or , , then is non-hyperbolic. We have the following cases:
- (a)
- , ⇒
- (b)
- , ⇒, ⇒, , ;
- (c)
Appendix B. The Proof of Theorem 2
- (I)
- If , i.e., , based on Lemma 1, .
- (i)
- When , then . We have
- (ii)
- When , then . We have
Combining the two cases discussed above, , then is a sink. - (II)
- If , i.e., , based on Lemma 1, . We have
- (i)
- (ii)
If , i.e., , then . According to Vieta’s theorem, we have . Thus . Based on Lemma 1, . We haveAccording to the three cases discussed above, , then is a saddle. - (III)
- If , i.e., , based on Lemma 1, . We have
- (i)
- When ,
- (ii)
- When . If , i.e., , then we have
- (iii)
- When . If , i.e., , then
- (iv)
- When , then for any , then
If , i.e., , then , and . Then , ⇔ and . We haveCombining the cases considered above, we have , . Then, is a source.
Appendix C. The Proof of Theorem 3
- (I)
- If has a unique simple root 1, then and . We havethat is , (or , ). Then, may be a fold point.
- (II)
- If , i.e., , then based on Lemma 1, , . When , this quadratic function has at least one root, that is, . Due to and Vieta’s theorem, . We haveIf , then we have . Similarly, when , this quadratic function has two zeros, that is, . Due to and Vieta’s theorem, . We haveWhen the two cases hold, we have , . Then, may be a flip point.
- (III)
- If , i.e., , then based on Lemma 1, and are complex . We haveIf , i.e., , we have . Then, are no complex eigenvalues of the characteristic equation . This case will not be considered.According to the case discussed above, has no real roots, only complex roots with module 1. Then may be a Neimark–Sacker point.
- (IV)
- Ifwe have , , then may be a fold–flip bifurcation point.
- (V)
- Ifwe have , then may be the 1:2 resonance point.
- (VI)
- Ifwe have , , then may be the 1:4 resonance point.
Appendix D. The Coefficients in Equation (22)
Appendix E. The Coefficients in Equation (33)
Appendix F. The Expressions of θ 1 (κ), θ 2 (κ), F(w 1,n, w 2,n), and G(w 1,n, w 2,n) in Equation (34)
References
- Bazykin, A.D. Structural and Dynamic Stability of Model Predator-Prey Systems; International Institute for Applied Systems Analysis: London, UK, 1976. [Google Scholar]
- Reynolds-Hogland, M.J.; Hogland, J.S.; Mitchell, M.S. Evaluating intercepts from demographic models to understand resource limitation and resource thresholds. Ecol. Model. 2008, 211, 424–432. [Google Scholar] [CrossRef]
- Qin, W.J.; Tang, S.Y.; Cheke, R.A. The effects of resource limitation on a predator-prey model with control measures as nonlinear pulses. Math. Probl. Eng. 2014, 2014, 99–114. [Google Scholar] [CrossRef]
- Real, L.A. The kinetics of functional response. Am. Nat. 1977, 111, 289–300. [Google Scholar] [CrossRef]
- Xu, R.; Chaplain, M.A.J.; Davidson, F.A. Periodic solutions for a predator-prey model with Holling-type functional response and time delays. Appl. Math. Comput. 2005, 161, 637–654. [Google Scholar] [CrossRef]
- Ma, Z.; Wang, S. A delay-induced predator-prey model with Holling type functional response and habitat complexity. Nonlinear Dynam. 2018, 93, 1519–1544. [Google Scholar] [CrossRef]
- Xie, Y.; Wang, Z.; Meng, B.; Huang, X. Dynamical analysis for a fractional-order prey-predator model with Holling III type functional response and discontinuous harvest. Appl. Math. Lett. 2020, 106, 106342. [Google Scholar] [CrossRef]
- Hu, D.P.; Li, Y.Y.; Liu, M.; Bai, Y.Z. Stability and Hopf bifurcation for a delayed predator-prey model with stage structure for prey and Ivlev-type functional response. Nonlinear Dynam. 2020, 99, 3323–3350. [Google Scholar] [CrossRef]
- Wang, X.Y.; Zanette, L.; Zou, X.F. Modelling the fear effect in predator-prey interactions. J. Math. Biol. 2016, 73, 1179–1204. [Google Scholar] [CrossRef]
- Panday, P.; Samanta, S.; Pal, N.; Chattopadhyay, J. Delay induced multiple stability switch and chaos in a predator-prey model with fear effect. Math. Comput. Simulat. 2020, 172, 134–158. [Google Scholar] [CrossRef]
- Sarkar, K.; Khajanchi, S. Impact of fear effect on the growth of prey in a predator-prey interaction model. Ecol. Complex. 2020, 42, 100826. [Google Scholar] [CrossRef]
- Martin, A.; Ruan, S.G. Predator-prey models with delay and prey harvesting. J. Math. Biol. 2001, 43, 247–267. [Google Scholar] [CrossRef] [PubMed]
- Liu, M.; Meng, F.W.; Hu, D.P. Impacts of multiple time delays on a gene regulatory network mediated by small noncoding RNA. Int. J. Bifurc. Chaos 2020, 30, 2050069. [Google Scholar] [CrossRef]
- Ruan, S.G. On nonlinear dynamics of predator-prey models with discrete delay. Math. Model. Nat. Phenom. 2009, 4, 140–188. [Google Scholar] [CrossRef]
- Xu, R.; Gan, Q.T.; Ma, Z.E. Stability and bifurcation analysis on a ratio-dependent predator-prey model with time delay. J. Comput. Appl. Math. 2009, 230, 187–203. [Google Scholar] [CrossRef]
- Garain, K.; Mandal, P.S. Bubbling and hydra effect in a population system with Allee effect. Ecol. Complex. 2021, 47, 100939. [Google Scholar] [CrossRef]
- Liu, W.; Jiang, Y.L. Bifurcation of a delayed Gause predator-prey model with Michaelis-Menten type harvesting. J. Theor. Biol. 2018, 438, 116–132. [Google Scholar] [CrossRef] [PubMed]
- May, R.M.; Beddington, J.R.; Clark, C.W.; Holt, S.J.; Laws, R.M. Management of multispecies fisheries. Science 1979, 205, 267–277. [Google Scholar] [CrossRef]
- Xiao, D.M.; Jennings, L.S. Bifurcations of a ratio-dependent predator-prey system with constant rate harvesting. SIAM J. Appl. Math. 2005, 65, 737–753. [Google Scholar] [CrossRef]
- Baek, H. Spatiotemporal dynamics of a predator-prey system with linear harvesting rate. Math. Probl. Eng. 2014, 2014, 625973. [Google Scholar] [CrossRef]
- Wang, Y.; Zhou, X.; Jiang, W.H. Bifurcations in a diffusive predator-prey system with linear harvesting. Chaos Soliton. Fract. 2023, 169, 113286. [Google Scholar] [CrossRef]
- Clark, C.W.; Mangel, M. Aggregation and fishery dynamics: A theoretical study of schooling and the Purse Seine tuna fisheries. Fish. Bull. 1979, 77, 317–337. [Google Scholar]
- Gupta, R.P.; Chandra, P. Bifurcation analysis of modified Leslie-Gower predator-prey model with Michaelis-Menten type prey harvesting. J. Math. Anal. Appl. 2013, 398, 278–295. [Google Scholar] [CrossRef]
- Hu, D.P.; Cao, H.J. Stability and bifurcation analysis in a predator-prey system with Michaelis-Menten type predator harvesting. Nonlinear Anal. Real World Appl. 2017, 33, 58–82. [Google Scholar] [CrossRef]
- Atabaigi, A. Multiple bifurcations and dynamics of a discrete-time predator-prey system withgroup defense and non-monotonic functional response. Differ. Equat. Dyn. Sys. 2020, 28, 107–132. [Google Scholar] [CrossRef]
- Gupta, R.P.; Chandra, P.; Banerjee, M. Dynamical complexity of a prey-predator model with nonlinear predator harvesting. Discret. Cont. Dyn. Sys. B 2015, 20, 423–443. [Google Scholar] [CrossRef]
- Khan, M.S.; Abbas, M.; Bonyah, E.; Qi, H.X. Michaelis-Menten-Type prey harvesting in discrete modified Leslie-Gower predator-prey model. J. Funct. Space 2022, 2022, 1–23. [Google Scholar] [CrossRef]
- Cheng, L.F.; Cao, H.J. Bifurcation analysis of a discrete-time ratio-dependent predator-prey model with Allee effect. Commun. Nonlinear Sci. Numer. Simul. 2016, 38, 288–302. [Google Scholar] [CrossRef]
- Huang, J.C.; Liu, S.H.; Ruan, S.G.; Xiao, D.M. Bifurcations in a discrete predator-prey model with nonmonotonic functional response. J. Math. Anal. Appl. 2018, 464, 201–230. [Google Scholar] [CrossRef]
- Hu, D.P.; Yu, X.; Zheng, Z.W.; Zhang, C.; Liu, M. Multiple bifurcations in a discrete Bazykin predator-prey model with predator intraspecific interactions and ratio-dependent functional response. Qual. Theor. Dyn. Syst. 2023, 22, 99. [Google Scholar] [CrossRef]
- Hu, D.P.; Liu, X.X.; Li, K.; Liu, M.; Yu, X. Codimension-two bifurcations of a simplified discrete-time SIR model with nonlinear incidence and recovery rates. Mathematics 2023, 11, 4142. [Google Scholar] [CrossRef]
- Hu, D.P.; Cao, H.J. Bifurcation and chaos in a discrete-time predator-prey system of Holling and Leslie type. Commun. Nonlinear Sci. Numer. Simul. 2015, 22, 702–715. [Google Scholar] [CrossRef]
- Liu, X.L.; Xiao, D.M. Complex dynamic behaviors of a discrete-time predator-prey system. Chaos Solitons Fractals 2007, 32, 80–94. [Google Scholar] [CrossRef]
- He, Z.M.; Lai, X. Bifurcation and chaotic behavior of a discrete-time predator-prey system. Nonlinear Anal. Real World Appl. 2011, 12, 403–417. [Google Scholar] [CrossRef]
- Yuan, L.G.; Yang, Q.G. Bifurcation, invariant curve and hybrid control in a discrete-time predator-prey system. Appl. Math. Model. 2015, 39, 2345–2362. [Google Scholar] [CrossRef]
- Govaerts, W.; Kuznetsov, Y.A.; Khoshsiar Ghaziani, R.; Meijer, H.G.E. Cl Matcontm: A Toolbox for Continuation and Bifurcation of Cycles of Maps; Universiteit Gent: Ghent, Belgium; Utrecht University: Utrecht, The Netherlands, 2008. [Google Scholar]
- Kuznetsov, Y.A.; Meijer, H.G.E. Numerical Bifurcation Analysis of Maps: From Theory to Software; Cambridge University Press: Cambridge, UK, 2019. [Google Scholar]
- Guckenheimer, J.; Holmes, P. Nonlinear Oscillations, Dynamical Systems, and Bifurcations of Vector Fields; Applied Mathematical Sciences 42; Springer: New York, NY, USA, 1983. [Google Scholar]
- Wiggins, S. Introduction to Applied Nonlinear Dynamical Systems and Chaos, 2nd ed.; Texts in Applied Mathematics; Springer: New York, NY, USA, 2003; Volume 2. [Google Scholar]
- Kuznetsov, Y.A. Elements of Applied Bifurcation Theory, 3rd ed.; Applied Mathematical Sciences 112; Springer: New York, NY, USA, 2004. [Google Scholar]
- Kuznetsov, Y.A.; Meijer, H.G.E.; Veen, L. The fold-flip bifurcation. Int. J. Bifurc. Chaos 2004, 39, 2253–2282. [Google Scholar] [CrossRef]
- Wang, F.J.; Cao, H.J. Model locking and quaiperiodicity in a discrete-time Chialvo neuron model. Commun. Nonlinear Sci. Numer. Simul. 2018, 56, 481–489. [Google Scholar] [CrossRef]


















| Conditions | Fixed Points |
|---|---|
| , | , |
| , | , , |
| , | , |
| , |
Disclaimer/Publisher’s Note: The statements, opinions and data contained in all publications are solely those of the individual author(s) and contributor(s) and not of MDPI and/or the editor(s). MDPI and/or the editor(s) disclaim responsibility for any injury to people or property resulting from any ideas, methods, instructions or products referred to in the content. |
© 2024 by the authors. Licensee MDPI, Basel, Switzerland. This article is an open access article distributed under the terms and conditions of the Creative Commons Attribution (CC BY) license (https://creativecommons.org/licenses/by/4.0/).
Share and Cite
Liu, M.; Ma, L.; Hu, D. Some Bifurcations of Codimensions 1 and 2 in a Discrete Predator–Prey Model with Non-Linear Harvesting. Mathematics 2024, 12, 2872. https://doi.org/10.3390/math12182872
Liu M, Ma L, Hu D. Some Bifurcations of Codimensions 1 and 2 in a Discrete Predator–Prey Model with Non-Linear Harvesting. Mathematics. 2024; 12(18):2872. https://doi.org/10.3390/math12182872
Chicago/Turabian StyleLiu, Ming, Linyi Ma, and Dongpo Hu. 2024. "Some Bifurcations of Codimensions 1 and 2 in a Discrete Predator–Prey Model with Non-Linear Harvesting" Mathematics 12, no. 18: 2872. https://doi.org/10.3390/math12182872
APA StyleLiu, M., Ma, L., & Hu, D. (2024). Some Bifurcations of Codimensions 1 and 2 in a Discrete Predator–Prey Model with Non-Linear Harvesting. Mathematics, 12(18), 2872. https://doi.org/10.3390/math12182872
