Sign in to use this feature.

Years

Between: -

Subjects

remove_circle_outline
remove_circle_outline
remove_circle_outline
remove_circle_outline
remove_circle_outline
remove_circle_outline
remove_circle_outline
remove_circle_outline
remove_circle_outline

Journals

Article Types

Countries / Regions

Search Results (31)

Search Parameters:
Keywords = total least squares (TLS)

Order results
Result details
Results per page
Select all
Export citation of selected articles as:
21 pages, 4392 KB  
Article
Sub-Synchronous Oscillation Robust Damping Method for HVDC with Embedded Energy Storage
by Jingbo Zhao, Yongyong Jia, Guojiang Zhang, Haiyun An and Tianhui Zhao
Electronics 2025, 14(13), 2599; https://doi.org/10.3390/electronics14132599 - 27 Jun 2025
Viewed by 577
Abstract
This paper proposes a multi-channel robust damping controller based on the static H∞ loop shaping method, specifically tailored for modular multilevel converter-based high-voltage direct current (MMC-HVDC) systems with embedded energy storage. The controller is designed to suppress sub-synchronous oscillations, a critical issue in [...] Read more.
This paper proposes a multi-channel robust damping controller based on the static H∞ loop shaping method, specifically tailored for modular multilevel converter-based high-voltage direct current (MMC-HVDC) systems with embedded energy storage. The controller is designed to suppress sub-synchronous oscillations, a critical issue in power systems. To optimize the controller’s performance, a genetic algorithm is employed to tune the weighting functions for robust control. Additionally, the TLS-ESPRIT (Total Least Squares–Estimation of Signal Parameters via Rotational Invariance Techniques) identification algorithm is utilized to clarify the system oscillation characteristics, thereby enhancing the controller’s effectiveness. Simulation results demonstrate that the sub-synchronous oscillation controller, designed based on the proposed robust control algorithm, achieves satisfactory oscillation suppression effects under various disturbances, underscoring its robustness. This study highlights the potential of MMC-HVDC systems with embedded energy storage in mitigating power grid oscillations, contributing to the advancement of power system stability and reliability. Full article
Show Figures

Figure 1

18 pages, 2082 KB  
Article
An Effective Robust Total Least-Squares Solution Based on “Total Residuals” for Seafloor Geodetic Control Point Positioning
by Zhipeng Lv and Guorui Xiao
Remote Sens. 2025, 17(2), 276; https://doi.org/10.3390/rs17020276 - 14 Jan 2025
Cited by 2 | Viewed by 1009
Abstract
Global Navigation Satellite System/Acoustic (GNSS/A) underwater positioning technology is attracting more and more attention as an important technology for building the marine Positioning, Navigation, and Timing (PNT) system. The random error of the tracking point coordinate is also an important error source that [...] Read more.
Global Navigation Satellite System/Acoustic (GNSS/A) underwater positioning technology is attracting more and more attention as an important technology for building the marine Positioning, Navigation, and Timing (PNT) system. The random error of the tracking point coordinate is also an important error source that affects the accuracy of GNSS/A underwater positioning. When considering its effect on the mathematical model of GNSS/A underwater positioning, the Total Least-Squares (TLS) estimator can be used to obtain the optimal position estimate of the seafloor transponder, with weak consistency and asymptotic unbiasedness. However, the tracking point coordinates and acoustic ranging observations are inevitably contaminated by outliers because of human mistakes, failure of malfunctioning instruments, and unfavorable environmental conditions. A robust alternative needs to be introduced to suppress the adverse effect of outliers. The conventional Robust TLS (RTLS) strategy is to adopt the selection weight iteration method based on each single prediction residual. Please note that the validity of robust estimation depends on a good agreement between residuals and true errors. Unlike the Least-Squares (LS) estimation, the TLS estimation is unsuitable for residual prediction. In this contribution, we propose an effective RTLS_Eqn estimator based on “total residuals” or “equation residuals” for GNSS/A underwater positioning. This proposed robust alternative holds its robustness in both observation and structure spaces. To evaluate the statistical performance of the proposed RTLS estimator for GNSS/A underwater positioning, Monte Carlo simulation experiments are performed with different depth and error configurations under the emulational marine environment. Several statistical indicators and the average iteration time are calculated for data analysis. The experimental results show that the Root Mean Square Error (RMSE) values of the RTLS_Eqn estimator are averagely improved by 12.22% and 10.27%, compared to the existing RTLS estimation method in a shallow sea of 150 m and a deep sea of 3000 m for abnormal error situations, respectively. The proposed RTLS estimator is superior to the existing RTLS estimation method for GNSS/A underwater positioning. Full article
Show Figures

Figure 1

18 pages, 2433 KB  
Article
Lipid Profiles, Telomere Length, and the Risk of Malignant Tumors: A Mendelian Randomization and Mediation Analysis
by Shupeng Liu, Zhengzheng Fu, Hui Liu, Yinghui Wang, Meijuan Zhou, Zhenhua Ding and Zhijun Feng
Biomedicines 2025, 13(1), 13; https://doi.org/10.3390/biomedicines13010013 - 25 Dec 2024
Cited by 1 | Viewed by 1287
Abstract
Background/Objectives: The relationship between lipid profiles, telomere length (TL), and cancer risk remains unclear. Methods: This study employed two-sample Mendelian randomization (MR) with mediation analysis to investigate their causal relationships, examining lipid profiles as exposure, TL as mediator, and nine cancer types as [...] Read more.
Background/Objectives: The relationship between lipid profiles, telomere length (TL), and cancer risk remains unclear. Methods: This study employed two-sample Mendelian randomization (MR) with mediation analysis to investigate their causal relationships, examining lipid profiles as exposure, TL as mediator, and nine cancer types as outcomes. We conducted our analysis using two-stage least squares (2SLS) regression integrated with inverse variance weighted (IVW) methods to address potential endogeneity and strengthen our causal inference. Results: we found that unfavorable lipid profiles were causally linked to increased TL (p < 0.05). TL showed positive causal associations with lung and hematologic cancers (OR > 1, p < 0.05). Direct associations were observed between total and low-density lipoprotein (LDL) cholesterol and gastric cancer (OR < 1, p < 0.05), and between remnant cholesterol and colorectal cancer (OR > 1, p < 0.05). Mediation analysis revealed TL as a significant mediator in the pathway from lipid profiles to cancer development (p < 0.05). No horizontal pleiotropy was detected. Conclusions: Our findings suggest that lipid metabolism disorders may influence cancer development through telomere regulation, particularly in lung and hematologic cancers. This emphasizes the importance of lipid management in cancer prevention and treatment, especially for these cancer types. Full article
(This article belongs to the Special Issue Proteomic Insights into Cancer Initiation and Evolution)
Show Figures

Figure 1

20 pages, 752 KB  
Article
DUS Topp–Leone-G Family of Distributions: Baseline Extension, Properties, Estimation, Simulation and Useful Applications
by Divine-Favour N. Ekemezie, Kizito E. Anyiam, Mohammed Kayid, Oluwafemi Samson Balogun and Okechukwu J. Obulezi
Entropy 2024, 26(11), 973; https://doi.org/10.3390/e26110973 - 13 Nov 2024
Cited by 4 | Viewed by 1549
Abstract
This study introduces the DUS Topp–Leone family of distributions, a novel extension of the Topp–Leone distribution enhanced by the DUS transformer. We derive the cumulative distribution function (CDF) and probability density function (PDF), demonstrating the distribution’s flexibility in modeling various lifetime phenomena. The [...] Read more.
This study introduces the DUS Topp–Leone family of distributions, a novel extension of the Topp–Leone distribution enhanced by the DUS transformer. We derive the cumulative distribution function (CDF) and probability density function (PDF), demonstrating the distribution’s flexibility in modeling various lifetime phenomena. The DUS-TL exponential distribution was studied as a sub-model, with analytical and graphical evidence revealing that it exhibits a unique unimodal shape, along with fat-tail characteristics, making it suitable for time-to-event data analysis. We evaluate parameter estimation methods, revealing that non-Bayesian approaches, particularly Maximum Likelihood and Least Squares, outperform Bayesian techniques in terms of bias and root mean square error. Additionally, the distribution effectively models datasets with varying skewness and kurtosis values, as illustrated by its application to total factor productivity data across African countries and the mortality rate of people who injected drugs. Overall, the DUS Topp–Leone family represents a significant advancement in statistical modeling, offering robust tools for researchers in diverse fields. Full article
(This article belongs to the Section Information Theory, Probability and Statistics)
Show Figures

Figure 1

11 pages, 6579 KB  
Article
Vertebral Body Tethering for Thoracolumbar Curvatures in Adolescent Idiopathic Scoliosis: Radiographic and Clinical Outcomes at 2–6-Year Follow-Up
by Lily Eaker, Olgerta Mucollari, Noor Maza and Baron Lonner
J. Clin. Med. 2024, 13(21), 6330; https://doi.org/10.3390/jcm13216330 - 23 Oct 2024
Cited by 3 | Viewed by 2466
Abstract
Background: The gold standard treatment for adolescent idiopathic scoliosis (AIS) is posterior spinal fusion (PSF). However, long-term consequences of PSF can include reduced spinal flexibility, back pain, and intervertebral disc degeneration. Vertebral body tethering (VBT) is a non-fusion alternative that preserves motion. We [...] Read more.
Background: The gold standard treatment for adolescent idiopathic scoliosis (AIS) is posterior spinal fusion (PSF). However, long-term consequences of PSF can include reduced spinal flexibility, back pain, and intervertebral disc degeneration. Vertebral body tethering (VBT) is a non-fusion alternative that preserves motion. We investigated the outcomes of VBT for the treatment of thoracolumbar (TL) major AIS in the largest single-surgeon series with a minimum 2-year follow-up (FU). Methods: We performed a retrospective single-center review. Inclusion criteria were AIS, Lenke 5/6 curvature, and skeletally immature Variables were compared using Student’s t-tests, Wilcoxon rank sum tests, Chi-square, and Fisher’s exact tests. Results: A total of 37 consecutive patients, age 14.1 ± 1.6 years, 86.5% F, 35.9 ± 11.5-month FU, were examined. Overall, 27 patients (73%) had Lenke 5 and 10 (27%) had Lenke 6 curvatures. Instrumentation of the TL curve alone was performed in 59.5%, and thoracic (T) and TL in 40.5% of patients. Overall, 45.9% of patients had two tethers placed in the TL spine; no patients had double tethers placed at the main thoracic curves. The TL (51 ± 8° to 20 ± 11°; p < 0.0001) and T (37 ± 13° to 17 ± 10°; p < 0.0001) curvatures improved from baseline to the latest FU. Overall, 89% of patients achieved major Cobb < 35°; the three patients who did not experienced at least one cord breakage or required PSF. T5-T12 kyphosis increased (p = 0.0401) and lumbar lordosis was maintained (p = 0.9236). Both the TL inclinometer (16 ± 4º to 4 ± 2°; p < 0.0001) and T (6 ± 4° to 4 ± 3°; p = 0.0036) measurements improved. There was a 49% tether breakage rate as follows: 60% for single-cord TL constructs and 35% for double cords (p = 0.0991). There was an 8.1% re-operation rate as follows: one conversion to T PSF and revision of the TL tether; one release of the T tether and revision of the TL tether; one screw revision for radiculopathy. One patient was re-admitted for poor pain control. Conclusions: Patients with TL major curvature treated with VBT experienced a high rate of clinically successful outcomes with maintenance of lumbar lordosis and relatively low complication rates at the latest FU. Full article
Show Figures

Figure 1

21 pages, 3465 KB  
Article
Total Least Squares Estimation in Hedonic House Price Models
by Wenxi Zhan, Yu Hu, Wenxian Zeng, Xing Fang, Xionghua Kang and Dawei Li
ISPRS Int. J. Geo-Inf. 2024, 13(5), 159; https://doi.org/10.3390/ijgi13050159 - 8 May 2024
Cited by 5 | Viewed by 2776
Abstract
In real estate valuation using the Hedonic Price Model (HPM) estimated via Ordinary Least Squares (OLS) regression, subjectivity and measurement errors in the independent variables violate the Gauss–Markov theorem assumption of a non-random coefficient matrix, leading to biased parameter estimates and incorrect precision [...] Read more.
In real estate valuation using the Hedonic Price Model (HPM) estimated via Ordinary Least Squares (OLS) regression, subjectivity and measurement errors in the independent variables violate the Gauss–Markov theorem assumption of a non-random coefficient matrix, leading to biased parameter estimates and incorrect precision assessments. In this contribution, the Errors-in-Variables model equipped with Total Least Squares (TLS) estimation is proposed to address these issues. It fully considers random errors in both dependent and independent variables. An iterative algorithm is provided, and posterior accuracy estimates are provided to validate its effectiveness. Monte Carlo simulations demonstrate that TLS provides more accurate solutions than OLS, significantly improving the root mean square error by over 70%. Empirical experiments on datasets from Boston and Wuhan further confirm the superior performance of TLS, which consistently yields a higher coefficient of determination and a lower posterior variance factor, which shows its more substantial explanatory power for the data. Moreover, TLS shows comparable or slightly superior performance in terms of prediction accuracy. These results make it a compelling and practical method to enhance the HPM. Full article
Show Figures

Figure 1

13 pages, 2816 KB  
Article
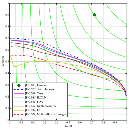
Edge Detection of Motion-Blurred Images Aided by Inertial Sensors
by Luo Tian, Kepeng Qiu, Yufeng Zhao and Peng Wang
Sensors 2023, 23(16), 7187; https://doi.org/10.3390/s23167187 - 15 Aug 2023
Cited by 3 | Viewed by 2401
Abstract
Edge detection serves as the foundation for advanced image processing tasks. The accuracy of edge detection is significantly reduced when applied to motion-blurred images. In this paper, we propose an effective deblurring method adapted to the edge detection task, utilizing inertial sensors to [...] Read more.
Edge detection serves as the foundation for advanced image processing tasks. The accuracy of edge detection is significantly reduced when applied to motion-blurred images. In this paper, we propose an effective deblurring method adapted to the edge detection task, utilizing inertial sensors to aid in the deblurring process. To account for measurement errors of the inertial sensors, we transform them into blur kernel errors and apply a total-least-squares (TLS) based iterative optimization scheme to handle the image deblurring problem involving blur kernel errors, whose relating priors are learned by neural networks. We apply the Canny edge detection algorithm to each intermediate output of the iterative process and use all the edge detection results to calculate the network’s total loss function, enabling a closer coupling between the edge detection task and the deblurring iterative process. Based on the BSDS500 edge detection dataset and an independent inertial sensor dataset, we have constructed a synthetic dataset for training and evaluating the network. Results on the synthetic dataset indicate that, compared to existing representative deblurring methods, our proposed approach demonstrates higher accuracy and robustness in edge detection of motion-blurred images. Full article
(This article belongs to the Section Sensing and Imaging)
Show Figures

Figure 1

18 pages, 524 KB  
Article
More Accurate Climate Trend Attribution by Using Cointegrating Vector Time Series Models
by David B. Stephenson, Alemtsehai A. Turasie and Donald P. Cummins
Sustainability 2023, 15(16), 12142; https://doi.org/10.3390/su151612142 - 8 Aug 2023
Cited by 2 | Viewed by 2023
Abstract
Adapting to human-induced climate change is becoming an increasingly important aspect of sustainable development. To be able to do this effectively, it is important to know how much human influence has contributed to observed climate trends. Climate detection and attribution (D&A) studies achieve [...] Read more.
Adapting to human-induced climate change is becoming an increasingly important aspect of sustainable development. To be able to do this effectively, it is important to know how much human influence has contributed to observed climate trends. Climate detection and attribution (D&A) studies achieve this by estimating scaling factors usually obtained by performing a least squares regression of the observed trending climate variable on the equivalent variable simulated by a climate model. This study proposed instead to estimate scaling factors by using the econometric approach of dynamically modelling the time series as a cointegrating Vector Auto-Regressive (VAR) time series process. It is shown that a 2nd-order cointegrating VAR(2) model is theoretically justified if the observed and simulated variables can be represented as a one-box AR(1) response to a common integrated forcing. The VAR(2) model can be expressed as a Vector Error-Correction Model (VECM) and then fitted to the data to obtain the cointegration relationship, the stationary linear combination of the two variables, from which the scaling factor is then easily obtained. Estimates of the scaling factor from the VAR(2) model are critically compared to those from Ordinary Least Squares (OLS) and Total Least Squares (TLS) for annual Global Mean Surface Temperature (GMST) data simulated by a simple stochastic model of the carbon–climate system and for historical simulations from 16 climate models in the Coupled Model Intercomparison Project 5 (CMIP5) experiment. Results from the toy model simulations show that the slope estimates from OLS are negatively biased, TLS estimates are less biased but have high variance, and the VAR(2) estimates are unbiased and have lower variance and provide the most accurate estimates with smallest mean squared error. Similar behaviour is noted in the CMIP5 data. Hypothesis tests on the VAR(2) fits found strong evidence of a cointegrating relationship with the observations for all the CMIP5 simulations. Full article
(This article belongs to the Special Issue Statistics and Econometrics of Environment and Climate Change)
Show Figures

Figure 1

26 pages, 88791 KB  
Article
Surface Defect Detection of Nanjing City Wall Based on UAV Oblique Photogrammetry and TLS
by Jiayi Wu, Yufeng Shi, Helong Wang, Yajuan Wen and Yiwei Du
Remote Sens. 2023, 15(8), 2089; https://doi.org/10.3390/rs15082089 - 15 Apr 2023
Cited by 14 | Viewed by 3638
Abstract
Ancient architecture, with its long history, has a high cultural value, artistic achievement, and scientific value. The Nanjing City Wall was constructed in the mid-to-late 14th century, and it ranks first among the world’s city walls in terms of both length and size, [...] Read more.
Ancient architecture, with its long history, has a high cultural value, artistic achievement, and scientific value. The Nanjing City Wall was constructed in the mid-to-late 14th century, and it ranks first among the world’s city walls in terms of both length and size, whether historically or in the contemporary era. However, these sites are subject to long-term degradation and are sensitive to disturbances from the surrounding landscape, resulting in the potential deterioration of the architecture. Therefore, it is urgent to detect the defects and repair and protect Nanjing City Wall. In this paper, a novel method is proposed to detect the surface defects of the city walls by using the unmanned aerial vehicle (UAV) oblique photogrammetry and terrestrial laser scanning (TLS) data. On the one hand, the UAV oblique photogrammetry was used to collect the image data of the city wall, and a three-dimensional (3D) model of the wall was created using the oblique images. With this model, 43 cracks with lengths greater than 30 cm and 15 shedding surfaces with an area greater than 300 cm2 on the wall can be effectively detected. On the other hand, the point cloud data obtained by TLS were firstly preprocessed, and then, the KNN algorithm was used to construct a local neighborhood for each sampling point, and the neighborhood was fitted using the least squares method. Next, five features of the point cloud were calculated, and the results were visualized. Based on the visualization results, surface defects of the wall were identified, and 18 cracks with lengths greater than 30 cm and 5 shedding surfaces with an area greater than 300 cm2 on the wall were detected. To verify the accuracy of these two techniques in measuring cracks, the coordinates of some cracks were surveyed using a prism-free total station, and the lengths were calculated. The root mean square error (RMSE) of crack lengths based on the UAV oblique photogrammetry model and TLS point cloud model were calculated to be 0.73 cm and 0.34 cm, respectively. The results of the study showed that both techniques were able to detect the defects on the wall surface, and the measurement accuracy could meet the accuracy requirements of the surface defect detection of the city wall. Considering their low cost and high efficiency, these two techniques provide help for the mapping and conservation of historical buildings, which is of great significance for the conservation and repair of ancient buildings. Full article
Show Figures

Figure 1

22 pages, 14479 KB  
Article
Short-Arc Horizon-Based Optical Navigation by Total Least-Squares Estimation
by Huajian Deng, Hao Wang, Yang Liu and Zhonghe Jin
Aerospace 2023, 10(4), 371; https://doi.org/10.3390/aerospace10040371 - 13 Apr 2023
Viewed by 2559
Abstract
Horizon-based optical navigation (OPNAV) is an attractive solution for deep space exploration missions, with strong autonomy and high accuracy. In some scenarios, especially those with large variations in spacecraft distance from celestial bodies, the visible horizon arc could be very short. In this [...] Read more.
Horizon-based optical navigation (OPNAV) is an attractive solution for deep space exploration missions, with strong autonomy and high accuracy. In some scenarios, especially those with large variations in spacecraft distance from celestial bodies, the visible horizon arc could be very short. In this case, the traditional Christian–Robinson algorithm with least-squares (LS) estimation is inappropriate and would introduce a large mean residual that can be even larger than the standard deviation (STD). To solve this problem, a simplified measurement covariance model was proposed by analyzing the propagation of measurement errors. Then, an unbiased solution with the element-wise total least-squares (EW-TLS) algorithm was developed in which the measurement equation and the covariance of each measurement are fully considered. To further simplify this problem, an approximate generalized total least-squares algorithm (AG-TLS) was then proposed, which achieves a non-iterative solution by using approximate measurement covariances. The covariance analysis and numerical simulations show that the proposed algorithms have impressive advantages in the short-arc horizon scenario, for the mean residuals are always close to zero. Compared with the EW-TLS algorithm, the AG-TLS algorithm trades a negligible accuracy loss for a huge reduction in execution time and achieves a computing speed comparable to the traditional algorithm. Furthermore, a simulated navigation scenario reveals that a short-arc horizon can provide reliable position estimates for planetary exploration missions. Full article
(This article belongs to the Special Issue Advanced Spacecraft/Satellite Technologies)
Show Figures

Figure 1

20 pages, 8568 KB  
Article
Quantifying the Potential Vegetation Distribution under Climate Change: The Case of Cryptomeria fortunei in Dongting Lake Watershed, China
by Lintong Huang, Mingke Luo, Xia Jiang, Peng Zhang, Hongxiang Wang, Fengtian Hong, Ning He, Wenxian Guo and Yong Niu
Forests 2023, 14(3), 614; https://doi.org/10.3390/f14030614 - 19 Mar 2023
Cited by 6 | Viewed by 2404
Abstract
Potential vegetation distribution is an important study in environmental sciences. We utilized the Mixed Least Squares–Total Least Squares (MLS-TLS) method and the Signal Mode Decomposition method and the Ecological Niche model to identify the inter-correlations of internal climate change factors and constructed an [...] Read more.
Potential vegetation distribution is an important study in environmental sciences. We utilized the Mixed Least Squares–Total Least Squares (MLS-TLS) method and the Signal Mode Decomposition method and the Ecological Niche model to identify the inter-correlations of internal climate change factors and constructed an environmental factor response regression model. We identified the resonance periods and trend relationships among climate factors (temperature, precipitation, and evapotranspiration) and found that the evapotranspiration of the watershed interferes with the correlation between temperature and precipitation on a five-year scale. The specific change degree of extreme climate indicators in the region was quantified by the Range of Variability Approach, among which the precipitation indicators were all below 33% (low change). There were significant differences between the key bioclimatic variables and Aspect of the development of suitable vegetation habitats. The difference between the Aspect and average daily air temperature is the main contributor to the spatial distribution of vegetation, and the mutual contribution is 76.19%. Our regression model can effectively simulate the potential distribution of vegetation (r = 0.854). Compared to the MaxEnt model, our regression model can quantitatively and intuitively provide suitable habitat values for Cryptomeria fortunei at any given location in the basin. Under future scenarios (2021–2040), suitable habitat for Cryptomeria fortunei in the eastern and western regions of the basin is projected to deteriorate further. The research results can provide some help for policymakers to eliminate the potential adverse effects of future climate change on regional ecology. Full article
Show Figures

Figure 1

17 pages, 331 KB  
Article
A Polynomial Fitting Problem: The Orthogonal Distances Method
by Luis Alberto Cantera-Cantera, Cristóbal Vargas-Jarillo, Sergio Isaí Palomino-Reséndiz, Yair Lozano-Hernández and Carlos Manuel Montelongo-Vázquez
Mathematics 2022, 10(23), 4596; https://doi.org/10.3390/math10234596 - 4 Dec 2022
Cited by 7 | Viewed by 7600
Abstract
The classical curve-fitting problem to relate two variables, x and y, deals with polynomials. Generally, this problem is solved by the least squares method (LS), where the minimization function considers the vertical errors from the data points to the fitting curve. Another [...] Read more.
The classical curve-fitting problem to relate two variables, x and y, deals with polynomials. Generally, this problem is solved by the least squares method (LS), where the minimization function considers the vertical errors from the data points to the fitting curve. Another curve-fitting method is total least squares (TLS), which takes into account errors in both x and y variables. A further method is the orthogonal distances method (OD), which minimizes the sum of the squares of orthogonal distances from the data points to the fitting curve. In this work, we develop the OD method for the polynomial fitting of degree n and compare the TLS and OD methods. The results show that TLS and OD methods are not equivalent in general; however, both methods get the same estimates when a polynomial of degree 1 without an independent coefficient is considered. As examples, we consider the calibration curve-fitting problem of a R-type thermocouple by polynomials of degrees 1 to 4, with and without an independent coefficient, using the LS, TLS and OD methods. Full article
(This article belongs to the Special Issue Numerical Analysis and Modeling)
Show Figures

Figure 1

14 pages, 5546 KB  
Article
An Efficient Algorithm for Infrared Earth Sensor with a Large Field of View
by Bendong Wang, Hao Wang and Zhonghe Jin
Sensors 2022, 22(23), 9409; https://doi.org/10.3390/s22239409 - 2 Dec 2022
Cited by 4 | Viewed by 2887
Abstract
Infrared Earth sensors with large-field-of-view (FOV) cameras are widely used in low-Earth-orbit satellites. To improve the accuracy and speed of Earth sensors, an algorithm based on modified random sample consensus (RANSAC) and weighted total least squares (WTLS) is proposed. Firstly, the modified RANSAC [...] Read more.
Infrared Earth sensors with large-field-of-view (FOV) cameras are widely used in low-Earth-orbit satellites. To improve the accuracy and speed of Earth sensors, an algorithm based on modified random sample consensus (RANSAC) and weighted total least squares (WTLS) is proposed. Firstly, the modified RANSAC with a pre-verification step was used to remove the noisy points efficiently. Then, the Earth’s oblateness was taken into consideration and the Earth’s horizon was projected onto a unit sphere as a three-dimensional (3D) curve. Finally, the TLS and WTLS were used to fit the projection of the Earth horizon. With the help of TLS and WTLS, the accuracy of the Earth sensor was greatly improved. Simulated images and on-orbit infrared images obtained via the satellite Tianping-2B were used to assess the performance of the algorithm. The experimental results demonstrate that the method outperforms RANSAC, M-estimator sample consensus (MLESAC), and Hough transformation in terms of speed. The accuracy of the algorithm for nadir estimation is approximately 0.04° (root-mean-square error) when Earth is fully visible and 0.16° when the off-nadir angle is 120°, which is a significant improvement upon other nadir estimation algorithms Full article
(This article belongs to the Topic Micro/Nano Satellite Technology, Systems and Components)
Show Figures

Figure 1

20 pages, 7691 KB  
Article
Co-Estimation of State-of-Charge and State-of-Health for Lithium-Ion Batteries Considering Temperature and Ageing
by Xin Lai, Ming Yuan, Xiaopeng Tang, Yi Yao, Jiahui Weng, Furong Gao, Weiguo Ma and Yuejiu Zheng
Energies 2022, 15(19), 7416; https://doi.org/10.3390/en15197416 - 9 Oct 2022
Cited by 47 | Viewed by 4097
Abstract
State-of-charge (SOC) estimation of lithium-ion batteries (LIBs) is the basis of other state estimations. However, its accuracy can be affected by many factors, such as temperature and ageing. To handle this bottleneck issue, we here propose a joint SOC-SOH estimation method considering the [...] Read more.
State-of-charge (SOC) estimation of lithium-ion batteries (LIBs) is the basis of other state estimations. However, its accuracy can be affected by many factors, such as temperature and ageing. To handle this bottleneck issue, we here propose a joint SOC-SOH estimation method considering the influence of the temperature. It combines the Forgetting Factor Recursive Least Squares (FFRLS) algorithm, Total Least Squares (TLS) algorithm, and Unscented Kalman Filter (UKF) algorithm. First, the FFRLS algorithm is used to identify and update the parameters of the equivalent circuit model in real time under different battery ageing degrees. Then, the TLS algorithm is used to estimate the battery SOH to improve the prior estimation accuracy of SOC. Next, the SOC is calculated by the UKF algorithm, and finally, a more accurate SOH can be obtained according to the UKF-based SOC trajectory. The battery-in-the-loop experiments are utilized to verify the proposed algorithm. For the cases of temperature change up to 35 °C and capacity decay up to 10%, our joint estimator can achieve ultra-low errors, bounded by 2%, respectively, for SOH and SOC. The proposed method paves the way for the advancement of battery use in applications, such as electric vehicles and microgrid applications. Full article
(This article belongs to the Topic Battery Design and Management)
Show Figures

Figure 1

8 pages, 257 KB  
Communication
A General Solution for the Errors in Variables (EIV) Model with Equality and Inequality Constraints
by Dengshan Huang, Yulin Tang and Qisheng Wang
Appl. Sci. 2022, 12(19), 9808; https://doi.org/10.3390/app12199808 - 29 Sep 2022
Cited by 1 | Viewed by 2024
Abstract
Targeting the adjustment of the errors-in-variables (EIV) model with equality and inequality constraints, a general solution that is similar to the classical least square adjustment is proposed based on the penalty function and the weight in measurement. Firstly, we take the equality constraints [...] Read more.
Targeting the adjustment of the errors-in-variables (EIV) model with equality and inequality constraints, a general solution that is similar to the classical least square adjustment is proposed based on the penalty function and the weight in measurement. Firstly, we take the equality constraints as inequality constraints that do not satisfy the constraint conditions and construct the penalty functions of equality and inequality constraints, respectively. Thus, the inequality constrained optimization problem is transformed into an unconstrained optimization problem. Then the detailed calculation formula and approximate accuracy evaluation formula of the general solution are deduced. The iteration formula of the general solution is easy regarding comprehension and applicable in implementation. It can not only solve the EIV model with equality and inequality constraints respectively, but also address the EIV model with equality and inequality constraints simultaneously. In addition, it can promote the Gauss–Markov (G-M) model with equality and inequality constraints. Finally, three examples (i.e., equality constraints, inequality constraints and those with equality and inequality constraints) are validated, indicating that the general solution is effective and feasible. The results show that the general solution is effective and feasible. Full article
(This article belongs to the Special Issue Land Subsidence: Monitoring, Prediction and Modeling)
Back to TopTop