Sign in to use this feature.

Years

Between: -

Subjects

remove_circle_outline
remove_circle_outline
remove_circle_outline
remove_circle_outline
remove_circle_outline
remove_circle_outline
remove_circle_outline
remove_circle_outline
remove_circle_outline

Journals

Article Types

Countries / Regions

Search Results (76)

Search Parameters:
Keywords = topoisomerase IV

Order results
Result details
Results per page
Select all
Export citation of selected articles as:
11 pages, 663 KB  
Article
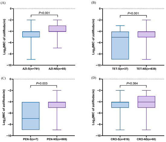
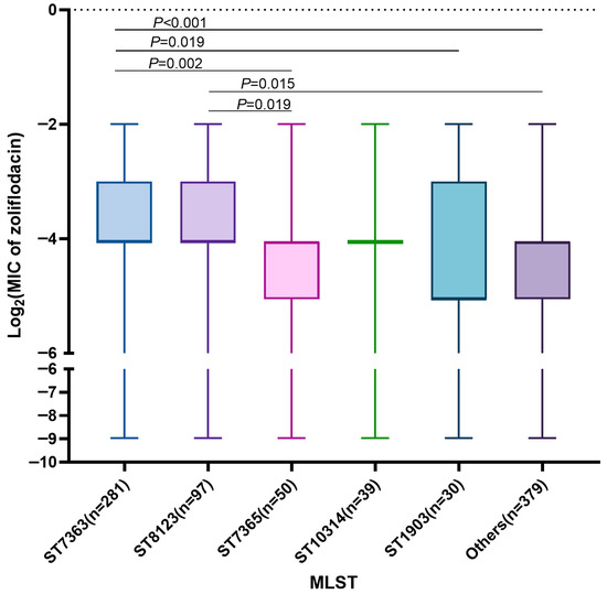
In Vitro Activity of Zoliflodacin Against Neisseria gonorrhoeae Isolates from Shanghai, China (2020–2023)
by Linxin Yao, Tingli Tian, Xinying Lu, Danyang Zou, Zhuojun Tang, Xin Feng, Tong Zheng, Zhen Ning, Yi Lin, Meiping Ye, Jianping Jiang and Pingyu Zhou
Antibiotics 2026, 15(1), 61; https://doi.org/10.3390/antibiotics15010061 - 5 Jan 2026
Viewed by 143
Abstract
Background/Objectives: The escalating threat of drug-resistant Neisseria gonorrhoeae underscores the urgent need for novel therapeutic agents. Zoliflodacin, a first-in-class spiropyrimidinetrione antibiotic that targets bacterial DNA gyrase and topoisomerase IV, represents a promising candidate for gonorrhea treatment. Methods: From 2020 to 2023, a total [...] Read more.
Background/Objectives: The escalating threat of drug-resistant Neisseria gonorrhoeae underscores the urgent need for novel therapeutic agents. Zoliflodacin, a first-in-class spiropyrimidinetrione antibiotic that targets bacterial DNA gyrase and topoisomerase IV, represents a promising candidate for gonorrhea treatment. Methods: From 2020 to 2023, a total of 876 urogenital N. gonorrhoeae isolates were collected from 35 hospitals across Shanghai, China. In vitro susceptibilities to zoliflodacin and six conventional antibiotics (penicillin, tetracycline, ciprofloxacin, azithromycin, ceftriaxone, and spectinomycin) were determined using the agar dilution method. Whole-genome sequencing was conducted to identify sequence types (STs) and amino-acid substitutions in GyrA, GyrB, ParC, ParE, and MtrR. Results: Zoliflodacin exhibited potent in vitro activity, with minimum inhibitory concentrations (MICs) ranging from ≤0.004 to 0.25 mg/L (MIC50 = 0.06 mg/L; MIC90 = 0.125 mg/L), all below the breakpoint (0.5 mg/L). Notably, zoliflodacin maintained high activity against isolates resistant to ceftriaxone, azithromycin, ciprofloxacin, penicillin, and tetracycline. Although all isolates were susceptible to zoliflodacin, elevated MIC values were observed in ST7363 and ST8123 compared with other clones. Genomic analysis identified no substitutions associated with increased zoliflodacin MICs, and most GyrB sequences, the key gene associated with zoliflodacin resistance, remained intact. Conclusions: These findings demonstrate that zoliflodacin possesses robust activity against circulating multidrug-resistant N. gonorrhoeae lineages in Shanghai and support its potential clinical use for the treatment of gonorrhea. Continued genomic and phenotypic surveillance is warranted to preserve the long-term efficacy of this novel agent. Full article
Show Figures

Figure 1

10 pages, 743 KB  
Commentary
Gyrase and Topoisomerase IV as Antibacterial Targets for Gepotidacin and Zoliflodacin: Teaching Old Enzymes New Tricks
by Neil Osheroff
Int. J. Mol. Sci. 2026, 27(1), 496; https://doi.org/10.3390/ijms27010496 - 3 Jan 2026
Viewed by 135
Abstract
The essential bacterial type II topoisomerases gyrase and topoisomerase IV have been exploited as the therapeutic targets of fluoroquinolone antibacterials for over four decades. Despite their broad utility, the effectiveness of fluoroquinolones has been increasingly undermined by the widespread emergence of target-mediated resistance, [...] Read more.
The essential bacterial type II topoisomerases gyrase and topoisomerase IV have been exploited as the therapeutic targets of fluoroquinolone antibacterials for over four decades. Despite their broad utility, the effectiveness of fluoroquinolones has been increasingly undermined by the widespread emergence of target-mediated resistance, highlighting the need for alternative therapeutic strategies. Recent advances have produced two mechanistically distinct classes of gyrase/topoisomerase IV-targeted antibacterials: the triazaacenaphthylenes and the spiropyrimidinetriones. The first-in-class agents gepotidacin and zoliflodacin, respectively, were approved for human use in 2025, representing the first new antibacterial classes targeting these enzymes in decades. This commentary examines the mechanisms of action of these agents, contrasts their interactions with gyrase and topoisomerase IV relative to fluoroquinolones, and considers their potential to address resistance while preserving the long-term clinical viability of therapy directed against the bacterial type II topoisomerases. Full article
(This article belongs to the Special Issue Topoisomerase Inhibitors: Future Perspectives and Challenges)
Show Figures

Figure 1

18 pages, 1926 KB  
Article
Evaluation of 2,7-Naphthyridines as Targeted Anti-Staphylococcal Candidates with Microbiota-Sparing Properties
by Anna Wójcicka, Maciej Spiegel, Bartłomiej Dudek, Malwina Brożyna, Adam Junka and Marcin Mączyński
Int. J. Mol. Sci. 2025, 26(21), 10442; https://doi.org/10.3390/ijms262110442 - 27 Oct 2025
Viewed by 481
Abstract
The rising resistance of bacterial and fungal strains, particularly in biofilm form, is diminishing the efficacy of available therapies and poses a major threat to human health. This highlights the need for new antimicrobial agents. A review of biological studies has shown that [...] Read more.
The rising resistance of bacterial and fungal strains, particularly in biofilm form, is diminishing the efficacy of available therapies and poses a major threat to human health. This highlights the need for new antimicrobial agents. A review of biological studies has shown that 2,7-naphthyridine derivatives exhibit a wide spectrum of pharmacological properties, including antimicrobial activity, which has contributed to the development of new compounds containing this scaffold. In this work, the obtained compounds were tested to assess their ability to eradicate biofilm formed by selected reference strains of opportunistic pathogens: Staphylococcus aureus, Pseudomonas aeruginosa and Candida albicans as well as towards normal microbiota representative, referred to as the Lactobacillus crispatus. The tested 2,7-naphthyridine derivatives showed selective antimicrobial activity, exclusively against S. aureus. 10j demonstrated the highest, among tested compounds, activity on this pathogen (MIC = 8 mg/L), while compound 10f exhibited ~100-fold stronger activity (MIC = 31 mg/L) than the majority of the library compounds. The in vitro assessment on fibroblast cell lines demonstrated low cytotoxicity of both compounds 10f and 10j, which was subsequently confirmed in vivo using the Galleria mellonella larval model, where no signs of systemic toxicity were observed during the 5-day observation period. Due to the structural similarity of the compounds 10f and 10j to typical gyrase/topoisomerase IV inhibitors, molecular dynamics simulations were performed on a ternary complex containing protein, DNAds, and a 1,5-naphthyridine inhibitor (PDB ID: 6Z1A). Molecular dynamics of the gyrase–DNA ternary complex supported stable binding of both hydrazone derivatives, with 10j showing slightly more favorable MM/GBSA energetics driven by electrostatics and halogen bonding, consistent with its ~4-fold lower MIC versus 10f. Taken together, our data highlight compound 10j as a promising microbiota-sparing antibacterial candidate, particularly suitable for selective interventions against S. aureus, for instance in vaginal infections, where targeted eradication of the pathogen without disturbing protective commensals is highly desirable. Full article
Show Figures

Figure 1

11 pages, 525 KB  
Article
Susceptibility of Neisseria gonorrhoeae to Zoliflodacin and Quinolones in Hyogo Prefecture, Japan
by Takashi Yurube, Katsumi Shigemura, Yurino Kobayashi, Taishi Maeda, Nami Nishimura, Ayaka Yamada, Kotoko Kotani, Saki Horii, Hiroyuki Yoshida and Kayo Osawa
Pathogens 2025, 14(8), 831; https://doi.org/10.3390/pathogens14080831 - 21 Aug 2025
Cited by 1 | Viewed by 1312
Abstract
The DNA synthesis inhibitor zoliflodacin (ZFD) is expected to be effective against strains resistant to therapeutic agents for Neisseria gonorrhoeae infection. In addition to ZFD, we investigated the susceptibility of N. gonorrhoeae strains to ceftriaxone (CTRX), ciprofloxacin (CPFX), garenoxacin (GRNX), and sitafloxacin (STFX). [...] Read more.
The DNA synthesis inhibitor zoliflodacin (ZFD) is expected to be effective against strains resistant to therapeutic agents for Neisseria gonorrhoeae infection. In addition to ZFD, we investigated the susceptibility of N. gonorrhoeae strains to ceftriaxone (CTRX), ciprofloxacin (CPFX), garenoxacin (GRNX), and sitafloxacin (STFX). Minimum inhibitory concentration values for ZFD and four other drugs were determined for 147 strains of N. gonorrhoeae isolated at medical institutions in Hyogo Prefecture, Japan, from 2015 to 2022. Amino acid alterations in gyrA, gyrB, parC, and parE were examined by polymerase chain reaction and sequencing analysis. Sequence type (ST) was determined for epidemiological analysis, and N. gonorrhoeae strains were classified. The non-susceptibility rate was not observed in CTRX. The lowest non-susceptibility rate was observed in ZFD (39.5%) compared to CPFX (80.3%), GRNX (83.7%), and STFX (65.3%) (all p < 0.0001). The most common amino acid alterations in gyrA and parC had non-susceptibility rates exceeding 80% to quinolones except ZFD, suggesting that these alterations may have influenced the resistance trend. STs were different between isolates in 2015 and those in 2020 and later. ZFD showed potent antimicrobial activity against N. gonorrhoeae strains that are highly resistant to quinolones. It may become a new option in the treatment of gonococcal infections. Full article
(This article belongs to the Special Issue Cutting-Edge Research on Pathogenic Neisseria)
Show Figures

Figure 1

16 pages, 1234 KB  
Article
Genomic Insights of Emerging Multidrug-Resistant OXA-48-Producing ST135 Proteus mirabilis
by Angeliki Mavroidi, Elisavet Froukala, Nick Spanakis, Aikaterini Michelaki, Maria Orfanidou, Vasiliki Koumaki and Athanasios Tsakris
Antibiotics 2025, 14(8), 750; https://doi.org/10.3390/antibiotics14080750 - 25 Jul 2025
Viewed by 1316
Abstract
Background/Objectives: Among Enterobacterales, OXA-48-like-producing Proteus mirabilis strains have been scarcely detected. Herein, we characterized a blaOXA-48-harbouring P. mirabilis strain recovered from Greece (Pm GR-1), while phylogenomics and comparative genomics analyses with previously published blaOXA-48 carriers were also assessed. [...] Read more.
Background/Objectives: Among Enterobacterales, OXA-48-like-producing Proteus mirabilis strains have been scarcely detected. Herein, we characterized a blaOXA-48-harbouring P. mirabilis strain recovered from Greece (Pm GR-1), while phylogenomics and comparative genomics analyses with previously published blaOXA-48 carriers were also assessed. Methods: Characterization of Pm GR-1 was performed by the Vitek® Compact and Mass Spectrometry systems, antimicrobial susceptibility testing, detection of beta-lactamases, multilocus-sequence typing (MLST), and whole-genome sequencing (WGS). In silico prediction of mobile genetic elements (MGEs), genomic islands (GIs), antimicrobial resistance genes (ARGs) and virulence factors (VFs), and phylogenetic, core-genome SNP and comparative genomics analyses were executed using bioinformatic tools. Results: Pm GR-1 was isolated from a urine sample of an outpatient in a Greek hospital. It exhibited a multidrug-resistant phenotype, being susceptible only to amikacin and ceftazidime/avibactam. It co-carried several beta-lactamase genes on the chromosome (blaOXA-48, blaCTX-M-14, blaTEM-1) and a plasmid (blaTEM-2) and several other ARGs, but also mutations associated with quinolone resistance in the DNA gyrase and topoisomerase IV subunits. It belonged to the international clone ST135 that has also been detected among OXA-48-producing P. mirabilis strains from Germany and the USA. Pm GR-1 was genetically related to those from Germany, sharing highly similar MGEs, GIs, ARGs and VFs, including the chromosomal blaOXA-48 genetic structure, the O-antigen locus, the flagella locus, the MR/P fimbriae operon, and the urease gene cluster. Conclusions: To our knowledge, this is the first report from Greece of a blaOXA-48-possessing P. mirabilis strain. The emergence of blaOXA-48 among P. mirabilis strains of the international clone ST135 in different geographical regions is worrying. Close monitoring of these strains is required in One Health settings. Full article
(This article belongs to the Special Issue Antimicrobial Resistance Genes: Spread and Evolution)
Show Figures

Figure 1

29 pages, 8610 KB  
Article
Design, Synthesis, and In Silico Studies of New Norfloxacin Analogues with Broad Spectrum Antibacterial Activity via Topoisomerase II Inhibition
by Ahmed M. El-Saghier, Laila Abosella, Abdelfattah Hassan, Esmail O. Elakesh, Stefan Bräse, Gamal El-Din A. Abuo-Rahma and Hossameldin A. Aziz
Pharmaceuticals 2025, 18(4), 545; https://doi.org/10.3390/ph18040545 - 8 Apr 2025
Cited by 4 | Viewed by 2193
Abstract
Background: Novel norfloxacin derivatives were synthesized, characterized, and screened for their antibacterial activity against Gram-positive strain S. aureus ATCC 6538 and Gram-negative strains; E. coli ATCC 25923, K. pneumoniae ATCC 10031, and P. aeruginosa ATCC 27853 using the agar cup [...] Read more.
Background: Novel norfloxacin derivatives were synthesized, characterized, and screened for their antibacterial activity against Gram-positive strain S. aureus ATCC 6538 and Gram-negative strains; E. coli ATCC 25923, K. pneumoniae ATCC 10031, and P. aeruginosa ATCC 27853 using the agar cup diffusion method. Results: The results revealed that compounds 617 exhibited more potent activity towards S. aureus ATCC 6538 with MIC values of 0.21–3.61 µM than norfloxacin with a MIC of 7.83 µM. The most potent compound, 6, showed 37-fold more potency than norfloxacin. More importantly, compound 7 exhibited more potent activity against MRSA than norfloxacin, with MIC values of 0.80 and 1.96 µM, respectively. Meanwhile, compounds 15 and 16 have potent activity towards the Gram-negative strains with MIC values of 0.20–0.79 µM compared with norfloxacin with a MIC of 0.24 µM. Moreover, the potent compounds showed higher activity towards topoisomerase II enzymes, especially against topoisomerase IV, which confirms the docking study with the S. aureus gyrase enzyme active binding site (PDB ID: 2XCT). In addition, cytotoxicity assays of the most potent compounds showed that compounds 6, 7, 15, and 16 have negligible risks of toxic effects when evaluated against the normal cell line WI 38. Conclusions: The docking study of the most potent compounds 6, 7, 15, and 16 on the gyrase enzyme active site (PDB: 2XCT) aligns their antibacterial activity and topoisomerase inhibition. The physicochemical and pharmacokinetic characteristics of the target derivatives were forecasted via SwissADME. Hence, these compounds are considered promising antibacterial candidates that require further optimization. Full article
(This article belongs to the Section Medicinal Chemistry)
Show Figures

Figure 1

36 pages, 13491 KB  
Article
Environmentally Friendly Synthesis of New Mono- and Bis-Pyrazole Derivatives; In Vitro Antimicrobial, Antifungal, and Antioxidant Activity; and In Silico Studies: DFT, ADMETox, and Molecular Docking
by Oussama Merzouki, Nadia Arrousse, Elhachmia Ech-chihbi, Ashwag S. Alanazi, El Houssine Mabrouk, Mohamed Hefnawy, Abdelfattah El Moussaoui, Hanane Touijer, Azeddin El Barnossi and Mustapha Taleb
Pharmaceuticals 2025, 18(2), 167; https://doi.org/10.3390/ph18020167 - 26 Jan 2025
Cited by 4 | Viewed by 2866
Abstract
Background/Objectives: Antimicrobial resistance and oxidative stress are major global health challenges, necessitating the development of novel therapeutic agents. Pyrazole derivatives, known for their diverse pharmacological properties, hold promise in addressing these issues. This study aimed to synthesize new mono- and bis-pyrazole derivatives using [...] Read more.
Background/Objectives: Antimicrobial resistance and oxidative stress are major global health challenges, necessitating the development of novel therapeutic agents. Pyrazole derivatives, known for their diverse pharmacological properties, hold promise in addressing these issues. This study aimed to synthesize new mono- and bis-pyrazole derivatives using an eco-friendly, catalyst-free approach and evaluate their antioxidant, antibacterial, and antifungal activities, supported by in silico ADMET profiling, molecular docking, and Density Functional Theory (DFT) analysis. Methods: The compounds were synthesized via a green condensation reaction and characterized using NMR and mass spectrometry, which was verified by DFT analysis. Biological activities were assessed through DPPH and FRAP antioxidant assays, as well as disk diffusion and MIC methods, against bacterial strains (Pseudomonas aeruginosa, Staphylococcus aureus, and Escherichia coli) and fungal strains (Candida albicans and Aspergillus niger). Computational ADMET profiling evaluated pharmacokinetics and toxicity, while molecular docking assessed interactions with target proteins, including catalase, topoisomerase IV, and CYP51. Results: Theoretical calculations using DFT were in agreement with the experimental results; regarding biological activities, O4 demonstrated the most significant antioxidant activity, with 80.14% DPPH radical scavenging and an IC50 value of 40.91 µg/mL. It exhibited potent antimicrobial activity, surpassing Streptomycin with a 30 mm inhibition zone against Pseudomonas aeruginosa and showing strong efficacy against Staphylococcus aureus and Candida albicans. Computational studies confirmed favorable pharmacokinetic properties, no AMES toxicity, and strong binding affinities. DFT analysis revealed O4’s stability and reactivity, further validating its potential as a therapeutic candidate. Conclusions: This study identified and characterized novel pyrazole derivatives with promising biological and pharmacological properties. O4 emerged as the most potent compound, demonstrating strong antioxidant and antimicrobial activities alongside favorable computational profiles. These findings highlight the potential of the synthetized compounds for therapeutic development and underscore the value of integrating green synthesis with computational techniques in drug discovery. Full article
(This article belongs to the Section Medicinal Chemistry)
Show Figures

Graphical abstract

8 pages, 427 KB  
Article
Successful Desensitization to Irinotecan in a Patient with Metastatic Esophageal Squamous Cell Carcinoma and a History of Anaphylaxis in Response to Irinotecan—Case Report and Literature Review
by Selda Ali, Denisa-Mihaela Nedelcu, Radu Serescu and Roxana Silvia Bumbăcea
J. Clin. Med. 2024, 13(24), 7824; https://doi.org/10.3390/jcm13247824 - 21 Dec 2024
Cited by 3 | Viewed by 1754
Abstract
Background: Irinotecan is a topoisomerase I inhibitor used for the treatment of various cancers, such as gastrointestinal, pancreatic, pulmonary, ovarian, and cervical cancers. Among chemotherapy agents, it represents a rare trigger of drug hypersensitivity reactions, with few cases being reported until today. [...] Read more.
Background: Irinotecan is a topoisomerase I inhibitor used for the treatment of various cancers, such as gastrointestinal, pancreatic, pulmonary, ovarian, and cervical cancers. Among chemotherapy agents, it represents a rare trigger of drug hypersensitivity reactions, with few cases being reported until today. Methods: We present the case of a patient with metastatic esophageal cancer and a history of irinotecan-induced grade IV (WAO classification) anaphylaxis. An IgE-mediated reaction was confirmed in our case, as evidenced by a positive intradermal skin test result, and we carried out a successful desensitization protocol, given irinotecan’s indispensability in the treatment regimen. Our case underscores the fact that in such situations where the culprit drug is also the only therapeutic option available for such a patient, implementing a desensitization protocol may represent the only viable approach to ensure safe and successful dosing. Results: A comprehensive review of the literature was also conducted to assess previously reported irinotecan-induced hypersensitivity reactions, the utility of skin tests in identifying sensitisation to irinotecan, and the existing desensitization protocols. We found a total of seventeen cases of hypersensitivity reactions to irinotecan in the literature, out of which four provided the skin test results obtained and six performed desensitization protocols for irinotecan. Conclusions: Our literature review highlights that skin testing and desensitization protocols can provide suitable solutions for managing hypersensitivity reactions to irinotecan. Full article
(This article belongs to the Section Dermatology)
Show Figures

Figure 1

13 pages, 1677 KB  
Article
Phenotypic and Genotypic Analysis of Antimicrobial Resistance in Mycoplasma hyopneumoniae Isolated from Pigs with Enzootic Pneumonia in Australia
by Raziallah Jafari Jozani, Mauida F. Hasoon Al Khallawi, Hanh Thi Hong Nguyen, Majed H. Mohammed, Kiro Petrovski, Yan Ren, Darren Trott, Farhid Hemmatzadeh and Wai Yee Low
Pathogens 2024, 13(12), 1044; https://doi.org/10.3390/pathogens13121044 - 28 Nov 2024
Viewed by 2019
Abstract
Mycoplasma hyopneumoniae, an important cause of enzootic pneumonia in pigs in many countries, has recently been shown to exhibit reduced susceptibility to several antimicrobial classes. In the present study, a total of 185 pig lung tissue samples were collected from abattoirs in [...] Read more.
Mycoplasma hyopneumoniae, an important cause of enzootic pneumonia in pigs in many countries, has recently been shown to exhibit reduced susceptibility to several antimicrobial classes. In the present study, a total of 185 pig lung tissue samples were collected from abattoirs in Australia, from which 21 isolates of M. hyopneumoniae were obtained. The antimicrobial resistance profile of the isolates was determined for 12 antimicrobials using minimum inhibitory concentration (MIC) testing, and a subset (n = 14) underwent whole-genome sequence analysis. MIC testing revealed uniformly low values for enrofloxacin (≤1 μg/mL), florfenicol (≤8 μg/mL), lincomycin (≤4 μg/mL), spectinomycin (≤4 μg/mL), tetracycline (≤0.5 μg/mL), tiamulin (≤2 μg/mL), tildipirosin (≤4 μg/mL), tilmicosin (≤16 μg/mL) tulathromycin (≤2 μg/mL), and tylosin (≤2 μg/mL). Higher MICs were observed for erythromycin (MIC range: 16–32 μg/mL), gamithromycin, and tilmicosin (MIC range of both: 32–64 μg/mL). Whole-genome sequencing of the isolates and additional screening using mismatch amplification mutation assay PCR did not identify any known genetic resistance markers within 23S rRNA (macrolides), DNA gyrase A, and topoisomerase IV genes (fluoroquinolones). The WGS data also indicated that the Australian M. hyopneumoniae isolates exhibited limited genetic diversity and formed a distinct monophylectic clade when compared to isolates from other countries. These findings indicate that Australian M. hyopneumoniae likely remains susceptible to the major antimicrobials used to treat enzootic pneumonia in pigs and have evolved in isolation from strains identified in other pig-producing countries. Full article
(This article belongs to the Special Issue Detection and Epidemiology of Drug-Resistant Bacteria)
Show Figures

Figure 1

17 pages, 4037 KB  
Article
In Vitro Antibacterial Activity, Molecular Docking, and ADMET Analysis of Phytochemicals from Roots of Dovyalis abyssinica
by Dereilo Bekere Belitibo, Asfaw Meressa, Abiy Abebe, Temesgen Negassa, Milkyas Endale, Frehiwot Teka Assamo, Messay Wolde-Mariam, Temesgen Abdisa Ayana, Marcel Frese, Norbert Sewald and Negera Abdissa
Molecules 2024, 29(23), 5608; https://doi.org/10.3390/molecules29235608 - 27 Nov 2024
Cited by 5 | Viewed by 2247
Abstract
Dovyalis abyssinica is widely used in Ethiopia for treating various human ailments, yet its pharmacological properties and chemical composition remain largely unexplored. The chromatographic separation of D. abyssinica roots extract afforded five compounds, namely tremulacin (1), cochinchiside A (2), [...] Read more.
Dovyalis abyssinica is widely used in Ethiopia for treating various human ailments, yet its pharmacological properties and chemical composition remain largely unexplored. The chromatographic separation of D. abyssinica roots extract afforded five compounds, namely tremulacin (1), cochinchiside A (2), 5-methoxydurmillone (3), catechin-7-O-α-L-rhamnopyranoside (4), and stigmasterol (5), confirmed via IR, NMR, and MS spectral data. This is the first report of these compounds from this plant, except for compounds 1 and 5. The extracts and isolated compounds were tested for antibacterial activity against S. aureus, S. epidermidis, E. faecalis, E. coli, K. pneumoniae, and P. aeruginosa strains. Methanol roots extract exhibited significant antibacterial activity (MIC 0.195 mg/mL) against E. coli and P. aeruginosa. Compounds 1 and 3 showed remarkable antibacterial activity, with compound 1 (MIC 0.625 mg/mL) exhibiting antibacterial activity against S. aureus and S. epidermidis, whereas compound 3 (MIC 0.625 mg/mL) exhibited antibacterial activity against S. epidermidis and K. pneumoniae. Molecular docking analysis revealed better binding energies for compound 1 (−8.0, −9.7, and −8.0 kJ/mol) and compound 3 (−9.0, −8.7, and −8.4 kJ/mol), compared to ciprofloxacin (−8.3, −7.5, and −6.7 kJ/mol), in regard to S. aureus pyruvate kinase, S. epidermidis FtsZ, and K. pneumoniae Topoisomerase IV, respectively. ADME analysis also revealed good antibacterial candidacy of these compounds, provided that in vivo analysis is conducted for further confirmation of the results. Full article
(This article belongs to the Section Natural Products Chemistry)
Show Figures

Figure 1

25 pages, 7367 KB  
Article
Antimicrobial Activity of Arthrospira platensis-Mediated Gold Nanoparticles against Streptococcus pneumoniae: A Metabolomic and Docking Study
by Lamya Azmy, Ebtesam Al-Olayan, Mohamed A. A. Abdelhamid, Ahmed Zayed, Saly F. Gheda, Khayrya A. Youssif, Hesham A. Abou-Zied, Usama R. Abdelmohsen, Ibraheem B. M. Ibraheem, Seung Pil Pack and Khaled N. M. Elsayed
Int. J. Mol. Sci. 2024, 25(18), 10090; https://doi.org/10.3390/ijms251810090 - 19 Sep 2024
Cited by 13 | Viewed by 2833
Abstract
The emergence of antibiotic-resistant Streptococcus pneumoniae necessitates the discovery of novel therapeutic agents. This study investigated the antimicrobial potential of green-synthesized gold nanoparticles (AuNPs) fabricated using Arthrospira platensis extract. Characterization using Fourier transform infrared spectroscopy revealed the presence of functional groups such as [...] Read more.
The emergence of antibiotic-resistant Streptococcus pneumoniae necessitates the discovery of novel therapeutic agents. This study investigated the antimicrobial potential of green-synthesized gold nanoparticles (AuNPs) fabricated using Arthrospira platensis extract. Characterization using Fourier transform infrared spectroscopy revealed the presence of functional groups such as ketones, aldehydes, and carboxylic acids in the capping agents, suggesting their role in AuNP stabilization. Transmission electron microscopy demonstrated the formation of rod-shaped AuNPs with a mean diameter of 134.8 nm, as determined by dynamic light scattering, and a zeta potential of −27.2 mV, indicating good colloidal stability. The synthesized AuNPs exhibited potent antibacterial activity against S. pneumoniae, with a minimum inhibitory concentration (MIC) of 12 μg/mL, surpassing the efficacy of the control antibiotic, tigecycline. To elucidate the underlying mechanisms of action, an untargeted metabolomic analysis of the A. platensis extract was performed, identifying 26 potential bioactive compounds belonging to diverse chemical classes. In silico studies focused on molecular docking simulations revealed that compound 22 exhibited a strong binding affinity to S. pneumoniae topoisomerase IV, a critical enzyme for bacterial DNA replication. Molecular dynamics simulations further validated the stability of this protein–ligand complex. These findings collectively highlight the promising antimicrobial potential of A. platensis-derived AuNPs and their constituent compounds, warranting further investigation for the development of novel anti-pneumococcal therapeutics. Full article
(This article belongs to the Special Issue Antimicrobial Materials and Nanoparticles 2.0)
Show Figures

Figure 1

10 pages, 1911 KB  
Article
Role of Supercoiling and Topoisomerases in DNA Knotting
by Jorge Cebrián, María-Luisa Martínez-Robles, Victor Martínez, Pablo Hernández, Dora B. Krimer, Jorge B. Schvartzman and María-José Fernández-Nestosa
DNA 2024, 4(2), 170-179; https://doi.org/10.3390/dna4020010 - 27 May 2024
Cited by 2 | Viewed by 5087
Abstract
DNA knots are deleterious for living cells if not removed. Several theoretical and simulation approaches address the question of how topoisomerases select the intermolecular passages that preferentially lead to unknotting rather than to the knotting of randomly fluctuating DNA molecules, but the formation [...] Read more.
DNA knots are deleterious for living cells if not removed. Several theoretical and simulation approaches address the question of how topoisomerases select the intermolecular passages that preferentially lead to unknotting rather than to the knotting of randomly fluctuating DNA molecules, but the formation of knots in vivo remains poorly understood. DNA knots form in vivo in non-replicating and replicating molecules, and supercoiling as well as intertwining are thought to play a crucial role in both the formation and resolution of DNA knots by topoisomerase IV. To confirm this idea, we used two-dimensional agarose gel electrophoresis run with different concentrations of chloroquine to demonstrate that non-replicating pBR322 plasmids grown in a topoisomerase I-defective E. coli strain (RS2λ) were more negatively supercoiled than in a wild-type strain (W3110) and, concurrently, showed significantly fewer knots. In this way, using wild-type and E. coli mutant strains, we confirmed that one of the biological functions of DNA supercoiling is to reduce the formation of DNA knots. Full article
Show Figures

Figure 1

14 pages, 2655 KB  
Article
Comparative In Vitro Killing by Pradofloxacin in Comparison to Ceftiofur, Enrofloxacin, Florfenicol, Marbofloxacin, Tildipirosin, Tilmicosin and Tulathromycin against Bovine Respiratory Bacterial Pathogens
by Joseph M. Blondeau and Shantelle D. Fitch
Microorganisms 2024, 12(5), 996; https://doi.org/10.3390/microorganisms12050996 - 15 May 2024
Cited by 4 | Viewed by 2319
Abstract
Pradofloxacin is the newest of the veterinary fluoroquinolones to be approved for use in animals—initially companion animals and most recently food animals. It has a broad spectrum of in vitro activity, working actively against Gram-positive/negative, atypical and some anaerobic microorganisms. It simultaneously targets [...] Read more.
Pradofloxacin is the newest of the veterinary fluoroquinolones to be approved for use in animals—initially companion animals and most recently food animals. It has a broad spectrum of in vitro activity, working actively against Gram-positive/negative, atypical and some anaerobic microorganisms. It simultaneously targets DNA gyrase (topoisomerase type II) and topoisomerase type IV, suggesting a lower propensity to select for antimicrobial resistance. The purpose of this study was to determine the rate and extent of bacterial killing by pradofloxacin against bovine strains of Mannheimia haemolytica and Pasteurella multocida, in comparison with several other agents (ceftiofur, enrofloxacin, florfenicol, marbofloxacin, tildipirosin, tilmicosin and tulathromycin) using four clinically relevant drug concentrations: minimum inhibitory and mutant prevention drug concentration, maximum serum and maximum tissue drug concentrations. At the maximum serum and tissue drug concentrations, pradofloxacin killed 99.99% of M. haemolytica cells following 5 min of drug exposure (versus growth to 76% kill rate for the other agents) and 94.1–98.6% of P. multocida following 60–120 min of drug exposure (versus growth to 98.6% kill rate for the other agents). Statistically significant differences in kill rates were seen between the various drugs tested depending on drug concentration and time of sampling after drug exposure. Full article
(This article belongs to the Special Issue Bacterial Infections and Antibiotic Resistance in Veterinary Medicine)
Show Figures

Figure 1

19 pages, 978 KB  
Review
A Review of the Impact of Streptococcal Infections and Antimicrobial Resistance on Human Health
by Raina Gergova, Vasil Boyanov, Adile Muhtarova and Alexandra Alexandrova
Antibiotics 2024, 13(4), 360; https://doi.org/10.3390/antibiotics13040360 - 15 Apr 2024
Cited by 50 | Viewed by 13872
Abstract
Streptococcus pneumoniae, Streptococcus pyogenes (GAS), and Streptococcus agalactiae (GBS) are bacteria that can cause a range of infections, some of them life-threatening. This review examines the spread of antibiotic resistance and its mechanisms against antibiotics for streptococcal infections. Data on high-level penicillin-resistant [...] Read more.
Streptococcus pneumoniae, Streptococcus pyogenes (GAS), and Streptococcus agalactiae (GBS) are bacteria that can cause a range of infections, some of them life-threatening. This review examines the spread of antibiotic resistance and its mechanisms against antibiotics for streptococcal infections. Data on high-level penicillin-resistant invasive pneumococci have been found in Brazil (42.8%) and Japan (77%). The resistance is caused by mutations in genes that encode penicillin-binding proteins. Similarly, GAS and GBS strains reported from Asia, the USA, and Africa have undergone similar transformations in PBPs. Resistance to major alternatives of penicillins, macrolides, and lincosamides has become widespread among pneumococci and streptococci, especially in Asia (70–95%). The combination of several emm types with erm(B) is associated with the development of high-level macrolide resistance in GAS. Major mechanisms are ribosomal target modifications encoded by erm genes, ribosomal alterations, and active efflux pumps that regulate antibiotic entry due to mefA/E and msrD genes. Tetracycline resistance for streptococci in different countries varied from 22.4% in the USA to 83.7/100% in China, due to tet genes. Combined tetracycline/macrolide resistance is usually linked with the insertion of ermB into the transposon carrying tetM. New quinolone resistance is increasing by between 11.5 and 47.9% in Asia and Europe. The mechanism of quinolone resistance is based on mutations in gyrA/B, determinants for DNA gyrase, or parC/E encoding topoisomerase IV. The results for antibiotic resistance are alarming, and urgently call for increased monitoring of this problem and precautionary measures for control to prevent the spread of resistant mutant strains. Full article
Show Figures

Figure 1

19 pages, 4938 KB  
Article
In Silico Activity Prediction and Docking Studies of the Binding Mechanisms of Levofloxacin Structure Derivatives to Active Receptor Sites of Bacterial Type IIA Topoisomerases
by Elena V. Uspenskaya, Vasilisa A. Sukhanova, Ekaterina S. Kuzmina, Tatyana V. Pleteneva, Olga V. Levitskaya, Timur M. Garaev and Anton V. Syroeshkin
Sci. Pharm. 2024, 92(1), 1; https://doi.org/10.3390/scipharm92010001 - 20 Dec 2023
Cited by 1 | Viewed by 4147
Abstract
The need for new antimicrobial agents (AntAg) is driven by the persistent antibiotic resistance in microorganisms, as well as the increasing frequency of pandemics. Due to the deficiency of AntAg, research aimed at developing speedy approaches to find new drug candidates is relevant. [...] Read more.
The need for new antimicrobial agents (AntAg) is driven by the persistent antibiotic resistance in microorganisms, as well as the increasing frequency of pandemics. Due to the deficiency of AntAg, research aimed at developing speedy approaches to find new drug candidates is relevant. This study aims to conduct an in silico study of the biological activity spectrum as well as the molecular binding mechanisms of four structurally different forms of levofloxacin (Lvf) with bacterial topoisomerases targets of type IIA (DNA gyrase and topoisomerase IV) to enable the development of drugs with an improved characterization of the safety profile. To achieve this goal, a number of software products were used, such as ChemicPen v. 2.6, PyMol 2.5, Avogadro 1.2.0, PASS, AutoDockTools 1.5.7 with the new generation software Autodock Vina. These software products are the first to be made available for visualization of clusters with determination of ligand-receptor pair binding affinity, as well as clustering coordinates and proposed mechanisms of action. One of the real structures of Lvf, a decarboxylated derivative, was obtained with tribochemical (TrbCh) exposure. The action spectrum of molecular ligands is described based on a Bayesian probability activity prediction model (PASS software Version 2.0). Predicted and real (PMS and RMS) molecular structures of Lvf, with decreasing levels of structural complexity, were translated into descriptors via Wiener (W), Balaban (Vs), Detour (Ip), and Electropy € indices. The 2D «structure-activity» diagrams were used to differentiate closely related structures of levofloxacin. PMS and RMS were visualized as 3D models of the ligand-receptor complexes. The contact regions of RMS and PMS with key amino acid residues—SER-79, DT-15, DG-1, DA-1—were demonstrated. The intra- and inter-molecular binding sites, data on free energy (affinity values, kcal/mol), the binding constant Kb (M−1), and the number of clusters are presented. The research results obtained from the presented in silico approach to explore the spectrum of action find quantitative “structure-activity” correlations, and predict molecular mechanisms may be of applied interest for directed drug discovery. Full article
Show Figures

Figure 1

Back to TopTop