Sign in to use this feature.

Years

Between: -

Subjects

remove_circle_outline
remove_circle_outline
remove_circle_outline
remove_circle_outline
remove_circle_outline
remove_circle_outline
remove_circle_outline
remove_circle_outline
remove_circle_outline

Journals

remove_circle_outline
remove_circle_outline
remove_circle_outline
remove_circle_outline
remove_circle_outline

Article Types

Countries / Regions

remove_circle_outline
remove_circle_outline
remove_circle_outline

Search Results (178)

Search Parameters:
Keywords = time-trigger architectures

Order results
Result details
Results per page
Select all
Export citation of selected articles as:
13 pages, 1412 KB  
Article
Gold Nanorods Embedded in Mesoporous Silica for Photothermal Therapy and SERS Monitoring in T47D Breast Cancer Cells
by Annel Armenta-Gamez, Alejandro Pedroza-Montero, Alejandra Tapia-Villasenor, Erika Silva-Campa, Hector Loro, Rodrigo Melendrez, Sergio A. Aguila and Karla Santacruz-Gomez
Pharmaceutics 2026, 18(3), 310; https://doi.org/10.3390/pharmaceutics18030310 - 28 Feb 2026
Viewed by 326
Abstract
Background: The development of plasmonic photothermal therapy (PPTT) to trigger cancer cells is often hindered by uncontrolled overheating and the lack of real-time feedback. Methods: In this study, we report the synthesis of gold nanorod-embedded mesoporous silica nanoshells (AuNR@Si) as a multifunctional theranostic [...] Read more.
Background: The development of plasmonic photothermal therapy (PPTT) to trigger cancer cells is often hindered by uncontrolled overheating and the lack of real-time feedback. Methods: In this study, we report the synthesis of gold nanorod-embedded mesoporous silica nanoshells (AuNR@Si) as a multifunctional theranostic platform designed for controlled hyperthermia and surface-enhanced Raman spectroscopy (SERS) monitoring. Using a layer-by-layer templating strategy, AuNRs were successfully obtained within a hollow silica architecture. Results: While AuNRs alone exhibited rapid photothermal spikes reaching 64 °C, the AuNR@Si platform moderated the photothermal response, maintaining a stable therapeutic window (41–45 °C). In vitro assays using T47D breast cancer cells demonstrated a 33% reduction in viability following irradiation. Furthermore, the structural stability of the AuNR@Si platform enabled SERS monitoring of cellular damage, identifying specific biochemical fingerprints of protein denaturation, cytochrome c release and DNA fragmentation. Conclusions: These results suggest that AuNR@Si nanoshells provide a safer, regulated approach to photothermal ablation with the added benefit of molecular detection, demonstrating proof-of-concept theranostic functionality in a luminal breast cancer model. Full article
(This article belongs to the Special Issue Multifunctional Nanoparticles: Diagnostics, Therapy, and Beyond)
Show Figures

Graphical abstract

22 pages, 7978 KB  
Article
WebGIS Dynamic Framework for AHP+Random Forest Landslide Susceptibility Mapping with Open-Source Technologies
by Marcello La Guardia, Emanuela Genovese, Clemente Maesano, Giuseppe Mussumeci and Vincenzo Barrile
Land 2026, 15(3), 356; https://doi.org/10.3390/land15030356 - 24 Feb 2026
Viewed by 304
Abstract
Landslides triggered by extreme events, such as heavy rainfall, are often unpredictable and cause significant damage to people and infrastructure. Calculating landslide susceptibility and associated risk in real time is challenging on several fronts, but it would provide valuable assistance in the event [...] Read more.
Landslides triggered by extreme events, such as heavy rainfall, are often unpredictable and cause significant damage to people and infrastructure. Calculating landslide susceptibility and associated risk in real time is challenging on several fronts, but it would provide valuable assistance in the event of major disasters. In this context, this research project aims to present a cutting-edge system for dynamic landslide susceptibility estimation based on open-source software, open data, and Open Geospatial Consortium (OGC) standards. Using real-time precipitation and geospatial data, the system allows for the calculation of susceptibility following extreme rainfall events, combining Analytic Hierarchy Process (AHP) and Random Forest processing. The proposed framework represents a prototypical, Digital Twin-ready terrain system, where dynamic geospatial data and real-time precipitation data are integrated in a predictive machine learning model and published within a WebGIS-based architecture. The system dynamically updates landslide susceptibility information, supporting local authorities and planners in identifying critical areas and enabling timely intervention in the event of imminent danger. The automated WebGIS processing and visualization environment provides a scalable and extensible foundation for future integration of physically based simulations and bidirectional feedback mechanisms, oriented to Digital Twinning Twinning solutions. Full article
(This article belongs to the Special Issue Ground Deformation Monitoring via Remote Sensing Time Series Data)
Show Figures

Figure 1

20 pages, 1198 KB  
Article
ADCT: Improving Robustness and Calibration of Pattern Recognition Models Against Visual Illusions
by Hui Dong, Lin Yu and Yi Yang
Appl. Sci. 2026, 16(5), 2164; https://doi.org/10.3390/app16052164 - 24 Feb 2026
Viewed by 170
Abstract
Perception-level interference patterns, such as abutting gratings that induce illusory contours and pseudoisochromatic dot camouflage, can trigger failures that are not well captured by conventional corruption benchmarks. We construct an illusion-driven evaluation suite based on MNIST variants, including AG-MNIST and Ishihara-MNIST, under a [...] Read more.
Perception-level interference patterns, such as abutting gratings that induce illusory contours and pseudoisochromatic dot camouflage, can trigger failures that are not well captured by conventional corruption benchmarks. We construct an illusion-driven evaluation suite based on MNIST variants, including AG-MNIST and Ishihara-MNIST, under a unified 224×224×3 pipeline with fixed train/validation/test splits. Building on a multi-domain empirical risk minimization (ERM) baseline, we present AugMix–DeepAugment Consistency Training (ADCT), a training-time recipe that combines mixed augmentations, DeepAugment-style image distortions, and Jensen–Shannon consistency regularization. Across multiple ImageNet-pretrained backbones and multiple random seeds, ADCT improves robustness on the five-set illusion OOD suite (OOD5) on average while simultaneously improving probabilistic calibration, as measured by ECE together with proper scoring rules (NLL and Brier score). For ResNet-50, ADCT yields a substantial gain on OOD5 relative to the Ishihara-only baseline (S0), increasing accuracy from 29.0% to 59.7% and reducing NLL from 7.44 to 1.11. To assess external validity, we additionally report results on CIFAR-10 and CIFAR-10-C and compare against representative augmentation-based baselines (including PixMix), contextualizing the robustness–calibration trade-off on a widely used natural-image robustness benchmark. These results suggest that consistency-based augmentation recipes can improve both robustness and confidence reliability under structured, illusion-like shifts without changing inference-time architectures. Full article
(This article belongs to the Special Issue Advanced Pattern Recognition & Computer Vision, 2nd Edition)
Show Figures

Figure 1

16 pages, 1227 KB  
Article
Effects of Co-Application of Superabsorbent Polymer and Phosphorus Fertilizer on Water and Phosphorus Use Efficiency in Drip-Irrigated Maize
by Zaixin Li, Weidong Ma, Xinjiang Zhang, Guoyong Chen, Xuezhi Zhang, Guojiang Yang and Changzhou Wei
Agronomy 2026, 16(4), 488; https://doi.org/10.3390/agronomy16040488 - 22 Feb 2026
Viewed by 338
Abstract
In drip-irrigated maize of arid Xinjiang, seedling hardening (withholding irrigation) is used to induce deep rooting, but the conventional practice of banding phosphorus (P) fertilizer without basal application creates a spatial mismatch—roots are forced downward while P remains trapped in drying topsoil. We [...] Read more.
In drip-irrigated maize of arid Xinjiang, seedling hardening (withholding irrigation) is used to induce deep rooting, but the conventional practice of banding phosphorus (P) fertilizer without basal application creates a spatial mismatch—roots are forced downward while P remains trapped in drying topsoil. We hypothesized that co-applying superabsorbent polymer (SAP) with banded P fertilizer can form a localized, persistently hydrated P-enriched patch that synchronizes root–resource distribution. A two-year field experiment (2024–2025) was conducted with three treatments: no P (P0), banded monoammonium phosphate (B-MAP, 120 kg P2O5 ha−1), and B-MAP + SAP (15 kg ha−1). Soil properties, root growth, canopy physiology, dry matter accumulation, nutrient uptake, and grain yield were measured. Results: At the V4 stage, B-MAP + SAP increased available P and soil water content in the 0–10 cm layer by 9.4% and 16.1%, respectively, relative to B-MAP. This patch triggered vigorous root proliferation: topsoil root length at V4 rose by 23.9%, and root length density in the 30–40 cm subsoil at V9 and R1 increased by 59.0% and 36.5%. Consequently, B-MAP + SAP sustained the highest leaf area index, net photosynthetic rate, and biomass accumulation. Two-year average grain yield reached 18.2 t ha−1, 9.7% and 20.7% higher than B-MAP and P0. Crucially, P use efficiency (PUE) and water productivity (WP) under B-MAP + SAP improved by 76.2% and 9.8% over B-MAP. Co-applying SAP with banded P fertilizer resolves the spatial mismatch in hardening systems, optimizes root architecture, and synergistically boosts yield, PUE, and WP. This one-time amendment offers a simple, scalable strategy for efficient P management in arid drip-irrigated maize. Full article
(This article belongs to the Section Water Use and Irrigation)
Show Figures

Figure 1

19 pages, 1215 KB  
Article
On the Dynamics of Ergonomic Load in Biomimetic Self-Organizing Systems
by Nikitas Gerolimos, Vasileios Alevizos and Georgios Priniotakis
Electronics 2026, 15(4), 889; https://doi.org/10.3390/electronics15040889 - 21 Feb 2026
Viewed by 295
Abstract
Traditional ergonomic considerations in human–machine and human–swarm systems have primarily relied on static diagnostic snapshots, which often fail to capture the temporal accumulation and non-linear dissipation of musculoskeletal fatigue. As Industry 5.0 transitions toward immersive, human-centric cyber-physical systems, redefining ergonomic load as an [...] Read more.
Traditional ergonomic considerations in human–machine and human–swarm systems have primarily relied on static diagnostic snapshots, which often fail to capture the temporal accumulation and non-linear dissipation of musculoskeletal fatigue. As Industry 5.0 transitions toward immersive, human-centric cyber-physical systems, redefining ergonomic load as an endogenous state variable allows for real-time control of musculoskeletal integrity. This work proposes the Dynamic Integrity Governor (DIG) framework, which treats ergonomic load as a normalized, dimensionless state variable ξt that evolves according to a stochastic proxy of recursive Newton–Euler dynamics. Leveraging a machine-perception-aware Adaptive Event-Triggered Mechanism (AETM) and the Multi-modal Flamingo Search Algorithm (MMFSA), we develop a decentralized architecture that redistributes ergonomic demands in real-time. The framework utilizes a 7-DOF kinematic model and Control Barrier Functions (CBF) to maintain human–swarm interaction within safe biomechanical boundaries, effectively filtering stochastic sensor noise through Girard-based stability buffers. Computational validation via N = 1000 Monte Carlo runs demonstrates that the proposed strategy achieves a 79.97% reduction in control updates (SD = 0.19%; p < 0.0001; Cohen’s d = 2.41), ensuring a positive minimum inter-event time (MIET) to prevent the Zeno phenomenon and supporting carbon-aware AI operations. The integration of variable prediction horizons yields an 80.69% improvement in solving time, while ensuring a minimal computational footprint suitable for real-time edge deployment. The identification of optimal postural niches maintains peak ergonomic load at 41.42%, representing a significant safety margin relative to the integrity barrier. While validated against a 50th percentile male profile, the DIG framework establishes a modular foundation for personalized ergonomic governors in inclusive Industry 5.0 applications. Full article
Show Figures

Figure 1

22 pages, 1271 KB  
Article
Leveraging MCP and Corrective RAG for Scalable and Interoperable Multi-Agent Healthcare Systems
by Dimitrios Kalathas, Andreas Menychtas, Panayiotis Tsanakas and Ilias Maglogiannis
Electronics 2026, 15(4), 888; https://doi.org/10.3390/electronics15040888 - 21 Feb 2026
Viewed by 353
Abstract
The rapid evolution of Generative AI (GenAI) has created the conditions for developing innovative solutions that disrupt all fields of human-related activities. Within the healthcare sector, numerous AI-driven applications have emerged, offering comprehensive health-related insights and addressing user questions in real time. Nevertheless, [...] Read more.
The rapid evolution of Generative AI (GenAI) has created the conditions for developing innovative solutions that disrupt all fields of human-related activities. Within the healthcare sector, numerous AI-driven applications have emerged, offering comprehensive health-related insights and addressing user questions in real time. Nevertheless, most of them use general-purpose Large Language Models (LLMs); consequently, the responses may not be as accurate as required in clinical settings. Therefore, the research community is adopting efficient architectures, such as Multi-Agent Systems (MAS) to optimize task allocation, reasoning processes, and system scalability. Most recently, the Model Context Protocol (MCP) has been introduced; however, very few applications apply this protocol within a healthcare MAS. Furthermore, Retrieval-Augmented Generation (RAG) has proven essential for grounding AI responses in verified clinical literature. This paper proposes a novel architecture that integrates these technologies to create an advanced Agentic Corrective RAG (CRAG) system. Unlike standard approaches, this method incorporates an active evaluation layer that autonomously detects retrieval failures and triggers corrective fallback mechanisms to ensure safety and accuracy. A comparative analysis was conducted for this architecture against Typical RAG and Cache-Augmented Generation (CAG), demonstrating that the proposed solution improves workflow efficiency and enables more accurate, context-aware interventions in healthcare. Full article
(This article belongs to the Special Issue Artificial Intelligence-Driven Emerging Applications)
Show Figures

Figure 1

20 pages, 1420 KB  
Article
High-Level Synthesis (HLS)-Enabled Field-Programmable Gate Array (FPGA) Algorithms for Latency-Critical Plasma Diagnostics and Neural Trigger Prototyping in Next-Generation Energy Projects
by Radosław Cieszewski, Krzysztof Poźniak, Ryszard Romaniuk and Maciej Linczuk
Energies 2026, 19(4), 1091; https://doi.org/10.3390/en19041091 - 21 Feb 2026
Viewed by 387
Abstract
Large-scale advanced energy systems, including fusion devices, high-power plasma sources, and accelerator-driven energy platforms, increasingly depend on real-time, hardware-level data processing for diagnostics, control, and protection. In such installations, ultra-low latency, deterministic throughput, and multi-decade operational lifetimes are not optional design goals but [...] Read more.
Large-scale advanced energy systems, including fusion devices, high-power plasma sources, and accelerator-driven energy platforms, increasingly depend on real-time, hardware-level data processing for diagnostics, control, and protection. In such installations, ultra-low latency, deterministic throughput, and multi-decade operational lifetimes are not optional design goals but strict system-level requirements. While similar timing constraints exist in high-energy physics infrastructures, energy applications place a stronger emphasis on long-term stability, maintainability, and reproducibility of digital signal processing pipelines. This work investigates whether high-level synthesis (HLS) provides a practical and sustainable design methodology for implementing both classical pattern-based and compact neural network (NN) trigger logic on Field-Programmable Gate Arrays (FPGAs) under realistic energy-system constraints. Using representative commercial toolchains (Intel HLS and hls4ml) as reference workflows, we demonstrate the capabilities of fixed-point, fully pipelined streaming architectures, while also identifying critical shortcomings of pragma-driven HLS approaches in terms of architecture transparency, long-term portability, and systematic multi-objective design-space exploration, all of which are crucial for long-lived energy projects and plasma diagnostic systems. These limitations directly motivate the development of a custom, vendor-agnostic, extensible HLS framework (PyHLS), specifically oriented toward deterministic latency, reproducibility, and physics-grade verification demands of advanced energy infrastructures. Gas Electron Multipliers (GEMs) are modern gaseous detectors increasingly employed in plasma diagnostics, radiation monitoring, and high-power energy experiments, where high rate capability, fine spatial resolution, and radiation tolerance are required. Their massively parallel signal structure and continuous data streams make GEMs a representative and demanding benchmark for FPGA-based real-time trigger and preprocessing systems in energy-related environments. The primary objective of this study is to establish a pragmatic technological baseline, demonstrating that contemporary HLS workflows can reliably support both template-based and neural inference-based trigger architectures within strict timing, resource, and power constraints typical for advanced energy installations. Furthermore, we outline a scalable development path toward multi-channel and two-dimensional (pixelated) GEM readout architectures, directly applicable to fusion diagnostics, plasma accelerators, beam–plasma interaction studies, and radiation-hard energy monitoring platforms. Although the proposed methodology remains fully transferable to large-scale physics trigger systems, its principal relevance is directed toward real-time diagnostics and protection layers in next-generation energy systems. Full article
Show Figures

Figure 1

19 pages, 3583 KB  
Article
Edge AI-Based Gait-Phase Detection for Closed-Loop Neuromodulation in SCI Mice
by Ahnsei Shon, Justin T. Vernam, Xiaolong Du and Wei Wu
Sensors 2026, 26(4), 1311; https://doi.org/10.3390/s26041311 - 18 Feb 2026
Viewed by 515
Abstract
Real-time detection of gait phase is a critical challenge for closed-loop neuromodulation systems aimed at restoring locomotion after spinal cord injury (SCI). However, many existing gait analysis approaches rely on offline processing or computationally intensive models that are unsuitable for low-latency, embedded deployment. [...] Read more.
Real-time detection of gait phase is a critical challenge for closed-loop neuromodulation systems aimed at restoring locomotion after spinal cord injury (SCI). However, many existing gait analysis approaches rely on offline processing or computationally intensive models that are unsuitable for low-latency, embedded deployment. In this study, we present a hybrid AI-based sensing architecture that enables real-time kinematic extraction and on-device gait-phase classification for closed-loop neuromodulation in SCI mice. A vision AI module performs marker-assisted, high-speed pose estimation to extract hindlimb joint angles during treadmill locomotion, while a lightweight edge AI model deployed on a microcontroller classifies gait phase and generates real-time phase-dependent stimulation triggers for closed-loop neuromodulation. The integrated system generalized to unseen SCI gait patterns without injury-specific retraining and enabled precise phase-locked biphasic stimulation in a bench-top closed-loop evaluation. This work demonstrates a low-latency, attachment-free sensing and control framework for gait-responsive neuromodulation, supporting future translation to wearable or implantable closed-loop neurorehabilitation systems. Full article
Show Figures

Figure 1

20 pages, 1676 KB  
Perspective
On-Demand Solar Hydrogen: From Photochemical Charge Storage to Stimuli-Responsive Fuel Release
by Alberto Bianco and Giacomo Bergamini
Energies 2026, 19(4), 941; https://doi.org/10.3390/en19040941 - 11 Feb 2026
Viewed by 281
Abstract
Solar-driven hydrogen production is a cornerstone of sustainable energy systems, yet its implementation remains intrinsically constrained by reliance on continuous illumination, limiting temporal control and compatibility with intermittent renewable sources. This perspective articulates the emerging concept of on-demand solar hydrogen generation, in which [...] Read more.
Solar-driven hydrogen production is a cornerstone of sustainable energy systems, yet its implementation remains intrinsically constrained by reliance on continuous illumination, limiting temporal control and compatibility with intermittent renewable sources. This perspective articulates the emerging concept of on-demand solar hydrogen generation, in which photon absorption is intentionally decoupled from hydrogen evolution through reversible charge storage and stimuli-responsive catalytic activation. We introduce a systematic classification of on-demand approaches across molecular, semiconductor, and device-level platforms, highlighting how these architectures enable programmable hydrogen release triggered by electrical, chemical, or thermal stimuli and sustained operation beyond illumination periods. Moving beyond a descriptive survey, we propose key performance metrics, including Switching Efficiency, Response Time, and Cycle Fidelity, to enable consistent evaluation and comparison of on-demand systems. Recent advances demonstrate substantial progress in charge storage, catalytic reversibility, and dynamic control, directly addressing the intermittency limitations of conventional photocatalytic and photoelectrochemical technologies. While challenges remain in kinetic synchronization, durability, and scalability, on-demand hydrogen concepts establish a coherent design framework for flexible and dispatchable solar fuels. By enabling integration with variable renewable inputs, this paradigm points toward adaptive and intelligent solar-fuel systems applicable from grid stabilization to off-grid and extraterrestrial environments. Full article
(This article belongs to the Section A5: Hydrogen Energy)
Show Figures

Figure 1

32 pages, 13091 KB  
Article
Real-Time Dynamic Train Dispatching for Sustainable and Energy-Efficient Operations: An Automata-Based Receding Horizon Control Framework
by Yan Xu, Wei She, Wending Xie and Yan Zhuang
Sustainability 2026, 18(4), 1734; https://doi.org/10.3390/su18041734 - 8 Feb 2026
Viewed by 290
Abstract
Improving energy efficiency is critical for the sustainable development of urban public transportation. Regenerative braking is widely employed in urban rail transit to recycle braking kinetic energy into the traction network, thereby enhancing system efficiency. However, without effective scheduling, excessive feedback energy can [...] Read more.
Improving energy efficiency is critical for the sustainable development of urban public transportation. Regenerative braking is widely employed in urban rail transit to recycle braking kinetic energy into the traction network, thereby enhancing system efficiency. However, without effective scheduling, excessive feedback energy can induce instantaneous voltage spikes, leading to line overheating and accelerated equipment aging. Existing studies often fail to fully address these challenges due to simplified physical models and limited adaptability to real-time environments. To overcome these limitations, this study proposes a dynamic scheduling method for the efficient utilization of regenerative energy within a train fleet. A physical simulation system featuring a “Network-Train-Control” three-layer architecture is constructed. By formally describing the physical coupling among network topology, operational rules, and train kinematics, the system enables accurate energy profiling under realistic impedance and signaling constraints. Furthermore, a finite state automaton (FSA) is utilized to abstract continuous train dynamics into discrete states, facilitating a braking-event-triggered Model Predictive Control (MPC) framework. This framework predicts and dynamically adjusts fleet operations within a receding horizon to maximize the immediate absorption of regenerative energy. Experimental results demonstrate that the proposed method achieves active energy cooperation among trains, increasing the regenerative energy utilization rate by approximately 11%, thereby offering a viable technical solution for low-carbon urban transit. Full article
(This article belongs to the Special Issue Innovative Strategies for Sustainable Urban Rail Transit)
Show Figures

Figure 1

17 pages, 1600 KB  
Article
Neural and Behavioral Evidence for Differential Processing of Narrative Perspective in Novel Reading: An fNIRS Study
by Lijuan Chen and Xiaodong Xu
Behav. Sci. 2026, 16(2), 190; https://doi.org/10.3390/bs16020190 - 29 Jan 2026
Viewed by 432
Abstract
Narrative perspective and focalization mode constitute fundamental elements shaping readers’ cognitive and neural responses during novel comprehension. Despite their theoretical importance in narratology, empirical evidence for their distinct processing mechanisms remains limited. This study employed a multi-method approach combining self-paced reading (N = [...] Read more.
Narrative perspective and focalization mode constitute fundamental elements shaping readers’ cognitive and neural responses during novel comprehension. Despite their theoretical importance in narratology, empirical evidence for their distinct processing mechanisms remains limited. This study employed a multi-method approach combining self-paced reading (N = 103) and functional near-infrared spectroscopy (fNIRS; N = 37) to investigate how narrative perspective (first-person vs. third-person) and focalization mode (internal vs. external) influence reading processes, with emotional valence as a potential moderator. Behavioral results revealed significantly prolonged reading times for third-person narratives compared to first-person narratives, particularly in negatively valenced texts. This effect was most pronounced among individuals with higher social cognitive abilities (low Autism Spectrum Quotient scores). Neuroimaging findings demonstrated distinct neural signatures: first-person narration elicited enhanced activation in the left superior parietal lobule compared to third-person narration, suggesting heightened attentional engagement. Internal focalization triggered greater activation in the left frontopolar cortex relative to external focalization, with negatively valenced texts showing similar enhanced activation patterns in this region. These converging lines of evidence support theoretical distinctions between narrative perspectives and demonstrate that first-person narration possesses higher cognitive salience during processing, while internal focalization more effectively engages readers’ metacognitive and empathetic neural systems. The findings provide empirical validation for longstanding narratological debates and illuminate the neurocognitive architecture underlying literary comprehension. Full article
Show Figures

Figure 1

45 pages, 798 KB  
Article
Real-Time Visual Anomaly Detection in High-Speed Motorsport: An Entropy-Driven Hybrid Retrieval- and Cache-Augmented Architecture
by Rubén Juárez Cádiz and Fernando Rodríguez-Sela
J. Imaging 2026, 12(2), 60; https://doi.org/10.3390/jimaging12020060 - 28 Jan 2026
Viewed by 432
Abstract
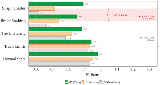
At 300 km/h, an end-to-end vision delay of 100 ms corresponds to 8.3 m of unobserved travel; therefore, real-time anomaly monitoring must balance sensitivity with strict tail-latency constraints at the edge. We propose a hybrid cache–retrieval inference architecture for visual anomaly detection in [...] Read more.
At 300 km/h, an end-to-end vision delay of 100 ms corresponds to 8.3 m of unobserved travel; therefore, real-time anomaly monitoring must balance sensitivity with strict tail-latency constraints at the edge. We propose a hybrid cache–retrieval inference architecture for visual anomaly detection in high-speed motorsport that exploits lap-to-lap spatiotemporal redundancy while reserving local similarity retrieval for genuinely uncertain events. The system combines a hierarchical visual encoder (a lightweight backbone with selective refinement via a Nested U-Net for texture-level cues) and an uncertainty-driven router that selects between two memory pathways: (i) a static cache of precomputed scene embeddings for track/background context and (ii) local similarity retrieval over historical telemetry–vision patterns to ground ambiguous frames, improve interpretability, and stabilize decisions under high uncertainty. Routing is governed by an entropy signal computed from prediction and embedding uncertainty: low-entropy frames follow a cache-first path, whereas high-entropy frames trigger retrieval and refinement to preserve decision stability without sacrificing latency. On a high-fidelity closed-circuit benchmark with synchronized onboard video and telemetry and controlled anomaly injections (tire degradation, suspension chatter, and illumination shifts), the proposed approach reduces mean end-to-end latency to 21.7 ms versus 48.6 ms for a retrieval-only baseline (55.3% reduction) while achieving Macro-F1 = 0.89 at safety-oriented operating points. The framework is designed for passive monitoring and decision support, producing advisory outputs without actuating ECU control strategies. Full article
(This article belongs to the Special Issue AI-Driven Image and Video Understanding)
Show Figures

Figure 1

17 pages, 3715 KB  
Article
A Two-Stage Farmer Assistant for Kidding Detection: Enhancing Farming Productivity and Animal Welfare
by João Ferreira, Pedro Gonçalves, Mário Antunes, Ana T. Belo and Maria R. Marques
Agriculture 2026, 16(2), 259; https://doi.org/10.3390/agriculture16020259 - 20 Jan 2026
Viewed by 450
Abstract
Kidding in goats is a highly significant event with major economic implications and strong impacts on the welfare of both the offspring and the mothers. Monitoring the process is extremely demanding, as it is impossible to predict precisely when it will occur. For [...] Read more.
Kidding in goats is a highly significant event with major economic implications and strong impacts on the welfare of both the offspring and the mothers. Monitoring the process is extremely demanding, as it is impossible to predict precisely when it will occur. For this reason, the automatic detection of kidding has the potential to generate substantial productivity gains while also improving animal well-being. Artificial intelligence techniques based on accelerometry data have been explored for identifying the event, but these approaches typically rely on data loggers, which cannot trigger real-time alerts or assistance. Embedding detection mechanisms directly into wearable devices enables much faster identification and supports energy-efficient operations. However, this approach also introduces considerable challenges, particularly due to the strict constraints of wearable devices in terms of weight, cost, and battery life. The present work documents the development of a real-time, automatic kidding-detection mechanism in which the detection workload is distributed between the collar and an edge device. System evaluation demonstrated the feasibility of this distributed architecture, confirming that both components can cooperate effectively to achieve reliable detection. The system achieved a Matthews Correlation Coefficient performance of 0.91, highlighting the robustness and practical viability of the proposed solution. Full article
(This article belongs to the Section Farm Animal Production)
Show Figures

Figure 1

29 pages, 5664 KB  
Article
Dynamic Event-Triggered Control for Unmanned Aerial Vehicle Swarm Adaptive Target Enclosing Mission
by Wanjing Zhang and Xinli Xu
Sensors 2026, 26(2), 655; https://doi.org/10.3390/s26020655 - 18 Jan 2026
Viewed by 375
Abstract
Multi-UAV (unmanned aerial vehicle) target enclosing control is one of the key technologies for achieving cooperative tasks. It faces limitations in communication resources and task framework separation. To address this, a distributed cooperative control strategy is proposed based on dynamic time-varying formation description [...] Read more.
Multi-UAV (unmanned aerial vehicle) target enclosing control is one of the key technologies for achieving cooperative tasks. It faces limitations in communication resources and task framework separation. To address this, a distributed cooperative control strategy is proposed based on dynamic time-varying formation description and event-triggering mechanism. Firstly, a formation description method based on a geometric transformation parameter set is established to uniformly describe the translation, rotation, and scaling movements of the formation, providing a foundation for time-varying formation control. Secondly, a cooperative architecture for adaptive target enclosing tasks is designed. This architecture achieves an organic combination of formation control and target enclosing in a unified framework, thereby meeting flexible transitions between multiple formation patterns such as equidistant surrounding and variable-distance enclosing. Thirdly, a distributed dynamic event-triggered cooperative enclosing controller is developed. This strategy achieves online adjustment of communication thresholds through internal dynamic variables, significantly reducing communication while strictly ensuring system performance. By constructing a Lyapunov function, the stability and Zeno free behavior of the closed-loop system are proven. The simulation results verify this strategy, showing that this strategy can significantly reduce communication frequency while ensuring enclosing accuracy and formation consistency and effectively adapt to uniform and maneuvering target scenarios. Full article
(This article belongs to the Special Issue Dynamics and Control System Design for Robotics)
Show Figures

Figure 1

45 pages, 4286 KB  
Article
CrossPhire: Benefiting Multimodality for Robust Phishing Web Page Identification
by Ahmad Hani Abdalla Almakhamreh and Ahmet Selman Bozkir
Appl. Sci. 2026, 16(2), 751; https://doi.org/10.3390/app16020751 - 11 Jan 2026
Viewed by 421
Abstract
Phishing attacks continue to evolve and exploit fundamental human impulses, such as trust and the need for a rapid response, as well as emotional triggers. This makes the human mind both a valuable asset and a significant vulnerability. The proliferation of zero-day vulnerabilities [...] Read more.
Phishing attacks continue to evolve and exploit fundamental human impulses, such as trust and the need for a rapid response, as well as emotional triggers. This makes the human mind both a valuable asset and a significant vulnerability. The proliferation of zero-day vulnerabilities has been identified as a significant exacerbating factor in this threat landscape. To address these evolving challenges, we introduce CrossPhire: a multimodal deep learning framework with an end-to-end architecture that captures semantic and visual cues from multiple data modalities, while also providing methodological insights for anti-phishing multimodal learning. First, we demonstrate that markup-free semantic text encoding captures linguistic deception patterns more effectively than DOM-based approaches, achieving 96–97% accuracy using textual content alone and providing the strongest single-modality signal through sentence transformers applied to HTML text stripped of structural markup. Second, through controlled comparison of fusion strategies, we show that simple concatenation outperforms a sophisticated gating mechanism so-called Mixture-of-Experts by 0.5–10% when modalities provide complementary, non-redundant security evidence. We validate these insights through rigorous experimentation on five datasets, achieving competitive same-dataset performance (97.96–100%) while demonstrating promising cross-dataset generalization (85–96% accuracy under distribution shift). Additionally, we contribute Phish360, a rigorously curated multimodal benchmark with 10,748 samples addressing quality issues in existing datasets (96.63% unique phishing HTML vs. 16–61% in prior benchmarks), and provide LIME-based explainability tools that decompose predictions into modality-specific contributions. The rapid inference time (0.08 s) and high accuracy results position CrossPhire as a promising solution in the fight against phishing attacks. Full article
(This article belongs to the Special Issue AI-Driven Image and Signal Processing)
Show Figures

Figure 1

Back to TopTop