Sign in to use this feature.

Years

Between: -

Subjects

remove_circle_outline
remove_circle_outline
remove_circle_outline
remove_circle_outline
remove_circle_outline
remove_circle_outline
remove_circle_outline
remove_circle_outline
remove_circle_outline

Journals

remove_circle_outline
remove_circle_outline
remove_circle_outline
remove_circle_outline
remove_circle_outline

Article Types

Countries / Regions

remove_circle_outline
remove_circle_outline
remove_circle_outline
remove_circle_outline
remove_circle_outline

Search Results (391)

Search Parameters:
Keywords = time-sensitive traffic

Order results
Result details
Results per page
Select all
Export citation of selected articles as:
68 pages, 2227 KB  
Article
Neural Network Method for Detecting UDP Flood Attacks in Critical Infrastructure Microgrid Protection Systems with Law Enforcement Agencies’ Rapid Response
by Serhii Vladov, Łukasz Ścisło, Anatoliy Sachenko, Jan Krupiński, Victoria Vysotska, Maksym Korniienko, Oleh Uhrovetskyi, Vyacheslav Krykun, Kateryna Levchenko and Alina Sachenko
Energies 2026, 19(1), 209; https://doi.org/10.3390/en19010209 - 30 Dec 2025
Abstract
This article develops a hybrid neural network method for detecting UDP flooding in critical infrastructure microgrid protection systems. This method combines sequential statistics (CUSUM) and a multimodal convolutional 1D-CNN architecture with a composite scoring criterion. Input features are generated using packet-aggregated one-minute vectors [...] Read more.
This article develops a hybrid neural network method for detecting UDP flooding in critical infrastructure microgrid protection systems. This method combines sequential statistics (CUSUM) and a multimodal convolutional 1D-CNN architecture with a composite scoring criterion. Input features are generated using packet-aggregated one-minute vectors with metrics for packet count, average size, source entropy, and HHI concentration index, as well as compact sketches of top sources. To ensure forensically relevant incident recording, a greedy artefact selection policy based on the knapsack problem with a limited forensic buffer is implemented. The developed method is theoretically justified using a likelihood ratio criterion and adaptive threshold tuning, which ensures control over the false alarm probability. Experimental validation on traffic datasets demonstrated high efficiency, with an overall accuracy of 98.7%, a sensitivity of 97.4%, an average model inference time of 5.3 ms (2.5 times faster than its LSTM counterpart), a controlled FPR of 0.96%, and a reduction in asymptotic detection latency with an increase in intensity from 35 to 12 s. Moreover, with a storage budget of 10 MB, 28 priority bins were selected (their total size was 7.39 MB), ensuring the approximate preservation of 85% of the most informative packets for subsequent examination. This research contribution involves the creation of a ready-to-deploy, resource-efficient detector with low latency, explainable statistical layers, and a built-in mechanism for generating a standardized evidence package to facilitate rapid law enforcement response. Full article
(This article belongs to the Special Issue Cyber Security in Microgrids and Smart Grids—2nd Edition)
37 pages, 5490 KB  
Article
Urban Medical Emergency Logistics Drone Base Station Location Selection
by Hongbin Zhang, Liang Zou, Yongxia Yang, Jiancong Ma, Jingguang Xiao and Peiqun Lin
Drones 2026, 10(1), 17; https://doi.org/10.3390/drones10010017 - 28 Dec 2025
Viewed by 69
Abstract
In densely populated and traffic-congested major cities, medical emergency rescue incidents occur frequently, making the use of drones for emergency medical supplies delivery a new emergency distribution method. However, establishing drone transportation networks in urban areas requires balancing spatiotemporal fluctuations in emergency needs, [...] Read more.
In densely populated and traffic-congested major cities, medical emergency rescue incidents occur frequently, making the use of drones for emergency medical supplies delivery a new emergency distribution method. However, establishing drone transportation networks in urban areas requires balancing spatiotemporal fluctuations in emergency needs, meeting hospitals’ mandatory constraints on response time, and addressing factors like airspace restrictions and weather impacts. By analyzing the spatiotemporal distribution characteristics of medical emergency logistics in large cities, this study constructs a drone base station location optimization model integrating dynamic and static factors. The model combines multi-source data including emergency needs, geographic information, and airspace limitations. It employs kernel density estimation to identify hotspot areas, uses DBSCAN clustering to detect long-term stable demand hotspots, and applies LSTM methods to predict short-term and sudden demand fluctuations. The model optimizes coverage rate, response time, and cost budget control for drone transportation networks through a multi-objective genetic algorithm. Using Guangzhou as a case study, the results demonstrate that through “dynamic-static” collaborative deployment and multi-model drone coordination, the network achieves 96.18% demand coverage with an average response time of 673.38 s, significantly outperforming traditional vehicle transportation. Sensitivity analysis and robustness testing further validate the model’s effectiveness in handling demand fluctuations, weather changes, and airspace restrictions. This research provides theoretical support and decision-making basis for scientific planning of urban medical emergency drone transportation networks, offering practical significance for enhancing urban emergency rescue capabilities. Full article
Show Figures

Figure 1

21 pages, 4686 KB  
Article
Network-Wide Deployment of Connected and Autonomous Vehicle Dedicated Lanes Through Integrated Modeling of Endogenous Demand and Dynamic Capacity
by Yuxin Wang, Lili Lu and Xiaoying Wu
Sustainability 2026, 18(1), 292; https://doi.org/10.3390/su18010292 - 27 Dec 2025
Viewed by 205
Abstract
Integrating connected and autonomous vehicle dedicated lanes (CAVDLs) into existing road networks under mixed traffic conditions presents a complex challenge, often requiring a balance of multiple conflicting objectives. This study develops a dynamic multi-objective optimization framework, formulated as a mixed-integer nonlinear programming problem, [...] Read more.
Integrating connected and autonomous vehicle dedicated lanes (CAVDLs) into existing road networks under mixed traffic conditions presents a complex challenge, often requiring a balance of multiple conflicting objectives. This study develops a dynamic multi-objective optimization framework, formulated as a mixed-integer nonlinear programming problem, to determine the optimal network-wide deployment of CAVDLs. The framework integrates three core components: an endogenous demand model capturing connected and autonomous vehicle (CAV)/human-driven vehicle (HDV) mode choice, a multi-class dynamic traffic assignment model that adjusts lane capacity based on CAV-HDV interactions, and an NSGA-III algorithm that minimizes total system travel time, total emissions, and construction costs. Results of a case study indicate the following: (i) sensitivity analysis confirms that user value of time is the most critical factor affecting CAV adoption; the model’s endogenous consideration of this variable ensures alignment between CAVDL layouts and actual demand; (ii) the proposed Pareto-optimal solution reduces total travel time and emissions by approximately 31% compared to a no-CAVDL scenario, while cutting construction costs by 23.5% against a single-objective optimization; (iii) CAVDLs alleviate congestion by reducing bottleneck duration and peak density by 36.4% and 16.3%, respectively. The developed framework provides a novel and practical decision-support tool that explicitly quantifies the trade-offs among traffic efficiency, environmental impact, and infrastructure cost for sustainable transportation planning. Full article
(This article belongs to the Section Sustainable Transportation)
Show Figures

Figure 1

28 pages, 5749 KB  
Article
Parameter Sensitivity Analysis and Optimization Design of Shield Lateral Shifting Launching Technology Based on Orthogonal Analysis Method
by Xin Ke, Xinyu Tian, Lingwei Lu, Yanmei Ruan, Tong Chen and Huiru Yu
Buildings 2026, 16(1), 105; https://doi.org/10.3390/buildings16010105 - 25 Dec 2025
Viewed by 172
Abstract
As an emerging construction method, the lateral launching technique for shield tunneling can ensure launching safety while significantly reducing disturbances to urban traffic. However, the influence of its design parameters on construction stability and economic performance has not yet been systematically investigated, thereby [...] Read more.
As an emerging construction method, the lateral launching technique for shield tunneling can ensure launching safety while significantly reducing disturbances to urban traffic. However, the influence of its design parameters on construction stability and economic performance has not yet been systematically investigated, thereby limiting its broader application in complex urban environments. To address this gap, this study proposes a comprehensive analytical framework integrating field monitoring, numerical modeling, orthogonal experiments, and regression-based optimization. Relying on a shield lateral launching project in a central urban district of Guangzhou, a systematic investigation is conducted. Field monitoring data are used to verify the reliability of the three-dimensional finite element model, confirming that deformations of both the retaining structures and the surrounding ground remain within a stable and controllable range. On this basis, the orthogonal experimental method is, for the first time, introduced into the parameter sensitivity analysis of the shield lateral launching technique. The analysis reveals the influence ranking of support parameters on surface settlement. Key parameters are then selected for optimization design according to the sensitivity order, followed by a comprehensive evaluation of deformation control effectiveness and economic performance of the optimized scheme. The results show that the deformation of both the retaining structures and the ground during construction remains below the control limits, indicating good structural stability. Among the supporting parameters, the sensitivity coefficients from high to low are the diaphragm wall thickness HW, the grouting reinforcement range HG, the initial support thickness of the lateral-shifting tunnel H1, the initial support thickness of the advance launching tunnel H2, and the elastic modulus of the diaphragm wall EW. Based on the sensitivity ranking, the highly sensitive parameters are selected for optimization, and the optimal parameter combination is determined to be a diaphragm wall thickness of 1000 mm, a grouting reinforcement range of 1600 mm, and an initial support thickness of 100 mm for the lateral-shifting tunnel. This combination meets the safety requirements for surface settlement while effectively reducing material consumption and improving economic performance. The study provides technical and theoretical references for shield launching under complex conditions. Full article
Show Figures

Figure 1

14 pages, 2689 KB  
Article
Real-Time Evaluation Model for Urban Transportation Network Resilience Based on Ride-Hailing Data
by Ningbo Gao, Xuezheng Miao, Yong Qi and Zi Yang
Electronics 2026, 15(1), 2; https://doi.org/10.3390/electronics15010002 - 19 Dec 2025
Viewed by 193
Abstract
The resilience of urban transportation networks refers to the system’s ability to resist, absorb, and recover performance when facing external shocks. Traditional methods have obvious limitations in temporal granularity, data fusion, and predictive capabilities. To address this, this study proposes a minute-level real-time [...] Read more.
The resilience of urban transportation networks refers to the system’s ability to resist, absorb, and recover performance when facing external shocks. Traditional methods have obvious limitations in temporal granularity, data fusion, and predictive capabilities. To address this, this study proposes a minute-level real-time resilience measurement model driven by ride-hailing big data. First, the spatio-temporal characteristics of urban ride-hailing data are analyzed, and a transportation cost indicator is introduced to construct a multidimensional road network resilience measurement framework encompassing transport supply–demand, efficiency, and cost. Second, a high-precision hybrid LSTM-Transformer prediction model integrating spatio-temporal attention mechanism is developed, and a time-varying node identification method based on RMSE curves is proposed to accurately capture the disturbance onset time and recovery completion time. Finally, empirical validation shows that, taking Taixing City as an example, the model achieves minute-level resilience measurement with an average prediction accuracy of 96.8%, making resilience assessment more precise and sensitive. The research results provide a scientific basis for urban traffic management departments to formulate emergency response strategies and improve road network recovery efficiency. Full article
(This article belongs to the Special Issue Advanced Control Technologies for Next-Generation Autonomous Vehicles)
Show Figures

Figure 1

17 pages, 957 KB  
Article
Cybersecure Intelligent Sensor Framework for Smart Buildings: AI-Based Intrusion Detection and Resilience Against IoT Attacks
by Md Abubokor Siam, Khadeza Yesmin Lucky, Syed Nazmul Hasan, Jobanpreet Kaur, Harleen Kaur, Md Salah Uddin and Mia Md Tofayel Gonee Manik
Sensors 2025, 25(24), 7680; https://doi.org/10.3390/s25247680 - 18 Dec 2025
Viewed by 395
Abstract
The rapid development of the Internet of Things (IoT), a network of interconnected devices and sensors, has improved operational efficiency, comfort, and sustainability in smart buildings. However, relying on interconnected systems also introduces cybersecurity vulnerabilities. For instance, attackers can exploit zero-day vulnerabilities (previously [...] Read more.
The rapid development of the Internet of Things (IoT), a network of interconnected devices and sensors, has improved operational efficiency, comfort, and sustainability in smart buildings. However, relying on interconnected systems also introduces cybersecurity vulnerabilities. For instance, attackers can exploit zero-day vulnerabilities (previously unknown security flaws), launch Distributed Denial of Service (DDoS) attacks (overwhelming network resources with traffic), or access sensitive Building Management Systems (BMS, centralized platforms for controlling building operations). By targeting critical assets such as Heating, Ventilation, and Air Conditioning (HVAC) systems, security cameras, and access control networks, they may compromise the safety and functionality of the entire building. To address these threats, this paper presents a cybersecure intelligent sensor framework to protect smart buildings from various IoT-related cyberattacks. The main component is an automated Intrusion Detection System (IDS, software that monitors network activity for suspicious actions), which uses machine learning algorithms to rapidly identify, classify, and respond to potential threats. Furthermore, the framework integrates intelligent sensor networks with AI-based analytics, enabling continuous monitoring of environmental and system data for behaviors that might indicate security breaches. By using predictive modeling (forecasting attacks based on prior data) and automated responses, the proposed system enhances resilience against attacks such as denial of service, unauthorized access, and data manipulation. Simulation and testing results show high detection rates, low false alarm frequencies, and fast response times, thereby supporting the cybersecurity of smart building infrastructures and minimizing downtime. Overall, the findings suggest that AI-enhanced cybersecurity systems offer promise for IoT-based smart building security. Full article
(This article belongs to the Special Issue Intelligent Sensors and Artificial Intelligence in Building)
Show Figures

Figure 1

19 pages, 2619 KB  
Article
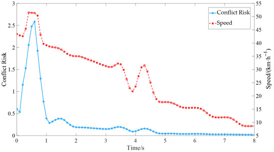
Analysis of Cascading Conflict Risks of Autonomous Vehicles in Heterogeneous Traffic Flows
by Qingyu Luo, Xinyue Sun, Hongfei Jia and Qiuyang Huang
Mathematics 2025, 13(24), 3982; https://doi.org/10.3390/math13243982 - 13 Dec 2025
Viewed by 224
Abstract
As autonomous vehicles proliferate in mixed traffic streams, heterogeneous flows comprising vehicles with diverse driving strategies introduce significant complexity to cascading conflict propagation, while conventional conflict risk assessment methods based on homogeneous assumptions fail to capture the intricate risk transmission mechanisms embedded in [...] Read more.
As autonomous vehicles proliferate in mixed traffic streams, heterogeneous flows comprising vehicles with diverse driving strategies introduce significant complexity to cascading conflict propagation, while conventional conflict risk assessment methods based on homogeneous assumptions fail to capture the intricate risk transmission mechanisms embedded in high-dimensional trajectory data. To address the challenge, this study establishes a systematic data analytics framework. Firstly, a conflict risk quantification model is proposed by integrating safety field theory considering heterogeneity traffic flow, achieving precise quantification of microscopic interaction risks through vehicle risk coefficients that characterize differential risk sensitivity across distinct driving strategies. Secondly, a cascading conflict identification algorithm is designed to extract cascading propagation chains from trajectory data. Thirdly, a method to analyze cascading conflict risk propagation is developed using CatBoost (v1.2.8), coupled with SHapley Additive ExPlanations interpretability analysis to systematically reveal the propagation mechanisms underlying cascading conflicts. Empirical findings indicate that primary conflict intensity and longitudinal relative speed are the dominant predictive features for secondary conflicts; moreover, local traffic heterogeneity entropy exerts a significant moderating effect—quantitative analysis reveals that higher heterogeneity increases the likelihood of secondary conflicts under identical primary risk conditions. Comprehensive validation using SUMO microscopic simulation demonstrates that the proposed data analytics pipeline effectively identifies and accurately predicts and analyzes secondary conflicts across diverse traffic scenarios. This framework provides interpretable foundations for intelligent conflict-risk identification systems, propagation-mechanism analysis, and proactive safety interventions in heterogeneous traffic environments, offering significant implications for real-time traffic monitoring and intelligent transportation system design. Full article
(This article belongs to the Special Issue Data-Driven Approaches for Big Data Analysis of Intelligent Systems)
Show Figures

Figure 1

21 pages, 2695 KB  
Article
A Comparative Analysis of the Effect of Route Set Size in Logit and Weibit-Based Stochastic Traffic Assignment
by Seungkyu Ryu
Sustainability 2025, 17(24), 11144; https://doi.org/10.3390/su172411144 - 12 Dec 2025
Viewed by 217
Abstract
This study presents a comprehensive comparative analysis of the effect of route set size on stochastic user equilibrium (SUE) traffic assignment, focusing on both logit-based (Multinomial Logit (MNL) and Path Size Logit (PSL)) and weibit-based models (Multinomial Weibit (MNW) and Path Size Weibit [...] Read more.
This study presents a comprehensive comparative analysis of the effect of route set size on stochastic user equilibrium (SUE) traffic assignment, focusing on both logit-based (Multinomial Logit (MNL) and Path Size Logit (PSL)) and weibit-based models (Multinomial Weibit (MNW) and Path Size Weibit (PSW)). The primary objective is to investigate the influence of route set size on traffic patterns and determine the minimum requisite number of routes for flow stabilization within the SUE framework. The analysis, conducted on the Winnipeg network using a customized Self-Regulated Averaging (SRA) scheme, yields three key findings. First, all models successfully converged, but the weibit-based models (MNW and PSW) converged faster than the logit-based models. Second, an analysis of perceived total travel time demonstrated that the majority of efficiency gains from route inclusion diminish after a threshold of approximately maximum 30 routes to 40 routes per O-D pair, indicating this number is sufficient for achieving stable SUE results in both model families. Third, the weibit-based model was found to be more sensitive to route overlap effects, continuing to adjust flow patterns up to maximum 45 routes per O-D pair, and exhibiting a greater tendency to allocate flow to less overlapping outer roads. This highlights the superior capability of the weibit formulation, which accounts for heterogeneous perception variance, to achieve a more behaviorally realistic equilibrium compared to the logit models. Full article
Show Figures

Figure 1

8 pages, 348 KB  
Proceeding Paper
A PSO-Driven Hyperparameter Optimization Approach for GRU-Based Traffic Flow Prediction
by Imane Briki, Rachid Ellaia and Maryam Alami Chentoufi
Eng. Proc. 2025, 112(1), 78; https://doi.org/10.3390/engproc2025112078 - 12 Dec 2025
Viewed by 274
Abstract
Smart cities increasingly rely on intelligent technologies to improve urban infrastructure, sustainability, and quality of life. Traffic flow prediction is essential for the optimization of the transportation system, reducing congestion and improving mobility. However, real-world traffic data are often noisy, limited in size, [...] Read more.
Smart cities increasingly rely on intelligent technologies to improve urban infrastructure, sustainability, and quality of life. Traffic flow prediction is essential for the optimization of the transportation system, reducing congestion and improving mobility. However, real-world traffic data are often noisy, limited in size, and lack sufficient features to capture the flow dynamics and temporal dependencies, making accurate prediction a significant challenge. Previous studies have shown that recurrent neural network (RNN) variants, such as LSTM and GRU, are well-suited for time series forecasting tasks, but their performance is highly sensitive to hyperparameter settings. This study proposes a hybrid approach that integrates GRU with a metaheuristic optimization algorithm to address this challenge. After effective preprocessing steps and a sliding time window are applied to structure the data, particle swarm optimization (PSO) is utilized to optimize the hyperparameters of the GRU. The model’s performance is evaluated using RMSE, MAE, and R2, and compared against several baseline approaches, including LSTM, CNN-LSTM, and a manually configured GRU. According to the experimental findings, the GRU model that was manually adjusted performed the best overall. However, the PSO-GRU model demonstrated competitive results, confirming that metaheuristics offer a promising alternative when manual tuning is not feasible despite the higher computational costs. Full article
Show Figures

Figure 1

21 pages, 7741 KB  
Article
Polarization-Guided Deep Fusion for Real-Time Enhancement of Day–Night Tunnel Traffic Scenes: Dataset, Algorithm, and Network
by Renhao Rao, Changcai Cui, Liang Chen, Zhizhao Ouyang and Shuang Chen
Photonics 2025, 12(12), 1206; https://doi.org/10.3390/photonics12121206 - 8 Dec 2025
Viewed by 365
Abstract
The abrupt light-to-dark or dark-to-light transitions at tunnel entrances and exits cause short-term, large-scale illumination changes, leading traditional RGB perception to suffer from exposure mutations, glare, and noise accumulation at critical moments, thereby triggering perception failures and blind zones. Addressing this typical failure [...] Read more.
The abrupt light-to-dark or dark-to-light transitions at tunnel entrances and exits cause short-term, large-scale illumination changes, leading traditional RGB perception to suffer from exposure mutations, glare, and noise accumulation at critical moments, thereby triggering perception failures and blind zones. Addressing this typical failure scenario, this paper proposes a closed-loop enhancement solution centered on polarization imaging as a core physical prior, comprising a real-world polarimetric road dataset, a polarimetric physics-enhanced algorithm, and a beyond-fusion network, while satisfying both perception enhancement and real-time constraints. First, we construct the POLAR-GLV dataset, which is captured using a four-angle polarization camera under real highway tunnel conditions, covering the entire process of entering tunnels, inside tunnels, and exiting tunnels, systematically collecting data on adverse illumination and failure distributions in day–night traffic scenes. Second, we propose the Polarimetric Physical Enhancement with Adaptive Modulation (PPEAM) method, which uses Stokes parameters, DoLP, and AoLP as constraints. Leveraging the glare sensitivity of DoLP and richer texture information, it adaptively performs dark region enhancement and glare suppression according to scene brightness and dark region ratio, providing real-time polarization-based image enhancement. Finally, we design the Polar-PENet beyond-fusion network, which introduces Polarization-Aware Gates (PAG) and CBAM on top of physical priors, coupled with detection-driven perception-oriented loss and a beyond mechanism to explicitly fuse physics and deep semantics to surpass physical limitations. Experimental results show that compared to original images, Polar-PENet (beyond-fusion network) achieves PSNR and SSIM scores of 19.37 and 0.5487, respectively, on image quality metrics, surpassing the performance of PPEAM (polarimetric physics-enhanced algorithm) which scores 18.89 and 0.5257. In terms of downstream object detection performance, Polar-PENet performs exceptionally well in areas with drastic illumination changes such as tunnel entrances and exits, achieving a mAP of 63.7%, representing a 99.7% improvement over original images and a 12.1% performance boost over PPEAM’s 56.8%. In terms of processing speed, Polar-PENet is 2.85 times faster than the physics-enhanced algorithm PPEAM, with an inference speed of 183.45 frames per second, meeting the real-time requirements of autonomous driving and laying a solid foundation for practical deployment in edge computing environments. The research validates the effective paradigm of using polarimetric physics as a prior and surpassing physics through learning methods. Full article
(This article belongs to the Special Issue Computational Optical Imaging: Theories, Algorithms, and Applications)
Show Figures

Figure 1

29 pages, 4247 KB  
Article
Zone-AGF: An O-RAN-Based Local Breakout and Handover Mechanism for Non-5G Capable Devices in Private 5G Networks
by Antoine Hitayezu, Jui-Tang Wang and Saffana Zyan Dini
Electronics 2025, 14(24), 4794; https://doi.org/10.3390/electronics14244794 - 5 Dec 2025
Viewed by 376
Abstract
The growing demand for ultra-reliable and low-latency communication (URLLC) in private 5G environments, such as smart campuses and industrial networks, has highlighted the limitations of conventional Wireline access gateway function (W-AGF) architectures that depend heavily on centralized 5G core (5GC) processing. This paper [...] Read more.
The growing demand for ultra-reliable and low-latency communication (URLLC) in private 5G environments, such as smart campuses and industrial networks, has highlighted the limitations of conventional Wireline access gateway function (W-AGF) architectures that depend heavily on centralized 5G core (5GC) processing. This paper introduces a novel Centralized Unit (CU)-based Zone-Access Gateway Function (Z-AGF) architecture designed to enhance handover performance and enable Local Breakout (LBO) within Non-Public Networks (NPNs) for non-5G capable (N5GC) devices. The proposed design integrates W-AGF functionalities with the Open Radio Access Network (O-RAN) framework, leveraging the F1 Application Protocol (F1AP) as the primary interface between Z-AGF and CU. By performing local breakout (LBO) locally at the Z-AGF, latency-sensitive traffic is processed closer to the edge, reducing the backhaul load and improving end-to-end latency, throughput, and jitter performance. The experimental results demonstrate that Z-AGF achieves up to 45.6% latency reduction, 69% packet loss improvement, 85.6% reduction of round-trip time (RTT) for local communications under LBO, effective local offloading with quantified throughput compared to conventional W-AGF implementations. This study provides a scalable and interoperable approach for integrating wireline and wireless domains, supporting low-latency, highly reliable services within the O-RAN ecosystem and accelerating the adoption of localized next-generation 5G services. Full article
(This article belongs to the Special Issue Wireless Sensor Network: Latest Advances and Prospects)
Show Figures

Figure 1

23 pages, 2582 KB  
Article
A Machine Learning Approach to Identify High-Risk Road Segments and Accident Severity Patterns Based on Categorical Data
by Ahmet Yumak, Safak Hengirmen Tercan, Umut Can Colak and Sedat Ozcanan
Appl. Sci. 2025, 15(23), 12824; https://doi.org/10.3390/app152312824 - 4 Dec 2025
Viewed by 558
Abstract
Traffic accidents remain a major public safety concern, particularly in regions where rapid motorization and limited infrastructure increase crash risk. This study proposes a machine learning-based framework to classify traffic accident severity and identify high-risk road segments using multidimensional crash data from Şırnak [...] Read more.
Traffic accidents remain a major public safety concern, particularly in regions where rapid motorization and limited infrastructure increase crash risk. This study proposes a machine learning-based framework to classify traffic accident severity and identify high-risk road segments using multidimensional crash data from Şırnak Province, Turkey. The dataset, obtained from the General Directorate of Security (EGM), contains 29 variables describing traffic, geometric, and operational roadway characteristics for crashes reported between 2018 and 2023. Due to the severe imbalance between injury and fatal crashes, the Synthetic Minority Oversampling Technique (SMOTE) was applied to enhance model sensitivity to the minority class. Five classifiers—Logistic Regression (LR), Support Vector Machines (SVM), Multilayer Perceptron (MLP), Random Forest (RF), and Extreme Gradient Boosting (XGBoost)—were trained and evaluated using accuracy, F1-score, ROC-AUC, and alarm metrics. Results from the original dataset showed that several models struggled to detect fatal crashes, while LR demonstrated moderate sensitivity. After SMOTE, performance improved across all models. XGBoost achieved the highest F1-score (0.61) with the lowest False Alarm rate (0.01), followed by RF and MLP, whereas SVM and LR yielded comparatively lower accuracy. Computation time analysis indicated that LR and SVM had the fastest runtimes, while MLP and XGBoost required longer training times. Overall, findings highlight the effectiveness of ensemble models—particularly XGBoost—in capturing critical crash patterns and supporting risk-based decision-making. Future work should incorporate time-series analysis and GIS-based spatial modeling to further enhance predictive capability and inform geographically targeted safety interventions. Full article
Show Figures

Figure 1

23 pages, 10451 KB  
Article
Two-Degree-of-Freedom Digital RST Controller Synthesis for Robust String-Stable Vehicle Platoons
by Ali Maarouf, Irfan Ahmad and Yasser Bin Salamah
Symmetry 2025, 17(12), 2067; https://doi.org/10.3390/sym17122067 - 3 Dec 2025
Viewed by 341
Abstract
Cooperative and Autonomous Vehicle (CAV) platoons offer significant potential for improving road safety, traffic efficiency, and energy consumption, but maintaining precise inter-vehicle spacing and synchronized velocity under disturbances while ensuring string stability remains challenging. This paper presents a fully decentralized two-layer architecture for [...] Read more.
Cooperative and Autonomous Vehicle (CAV) platoons offer significant potential for improving road safety, traffic efficiency, and energy consumption, but maintaining precise inter-vehicle spacing and synchronized velocity under disturbances while ensuring string stability remains challenging. This paper presents a fully decentralized two-layer architecture for homogeneous platoons whose identical vehicle dynamics and information flow produce an inherent symmetrical system structure. Operating under a predecessor-following topology with a constant time headway policy, the upper layer generates a smooth velocity reference based on local spacing and relative-velocity errors, while the lower layer employs a two-degree-of-freedom (2-DOF) digital RST controller designed through discrete-time pole placement and sensitivity-function shaping. The 2-DOF structure enables independent tuning of tracking and disturbance-rejection dynamics and provides a computationally lightweight solution suitable for embedded automotive platforms. The paper develops a stability analysis demonstrating internal stability and L2 string stability within this symmetrical closed-loop architecture. Simulations confirm string-stable behavior with attenuated spacing and velocity errors across the platoon during aggressive leader maneuvers and under input disturbances. The proposed method yields smooth control effort, fast transient recovery, and accurate spacing regulation, offering a robust and scalable control strategy for real-time longitudinal motion control in connected and automated vehicle platoons. Full article
(This article belongs to the Section Engineering and Materials)
Show Figures

Figure 1

23 pages, 5654 KB  
Article
Performance Analysis of Data-Driven and Deterministic Latency Models in Dynamic Packet-Switched Xhaul Networks
by Mirosław Klinkowski and Dariusz Więcek
Appl. Sci. 2025, 15(23), 12487; https://doi.org/10.3390/app152312487 - 25 Nov 2025
Viewed by 393
Abstract
Accurate prediction of maximum flow latency is crucial for ensuring the efficient transport of latency-sensitive fronthaul traffic in packet-switched Xhaul networks while maintaining the reliable operation of 5G and beyond Radio Access Networks (RANs). Deterministic worst-case (WC) models provide strict latency guarantees but [...] Read more.
Accurate prediction of maximum flow latency is crucial for ensuring the efficient transport of latency-sensitive fronthaul traffic in packet-switched Xhaul networks while maintaining the reliable operation of 5G and beyond Radio Access Networks (RANs). Deterministic worst-case (WC) models provide strict latency guarantees but tend to overestimate actual delays, resulting in resource over-provisioning and inefficient network utilization. To address this limitation, this study evaluates a data-driven Quantile Regression (QR) model for latency prediction in Time-Sensitive Networking (TSN)-enabled packet-switched Xhaul networks operating under dynamic traffic conditions. The proposed QR model estimates high-percentile (tail) latency values by leveraging both deterministic and queuing-related data features. Its performance is quantitatively compared with the WC estimator across diverse network topologies and traffic load scenarios. The results demonstrate that the QR model achieves significantly higher prediction accuracy—particularly for midhaul flows—while still maintaining compliance with latency constraints. Furthermore, when applied to dynamic Xhaul network operation, QR-based latency predictions enable a reduction in active processing-node utilization compared with WC-based estimations. These findings confirm that data-driven models can effectively complement deterministic methods in supporting latency-aware optimization and adaptive operation of 5G/6G Xhaul networks. Full article
Show Figures

Figure 1

24 pages, 17103 KB  
Article
A Traffic Flow Forecasting Method Based on Transfer-Aware Spatio-Temporal Graph Attention Network
by Yan Zhou, Xiaodi Wang and Jipeng Jia
ISPRS Int. J. Geo-Inf. 2025, 14(12), 459; https://doi.org/10.3390/ijgi14120459 - 23 Nov 2025
Viewed by 649
Abstract
Forecasting traffic flow is essential for optimizing resource allocation and improving urban traffic management efficiency. Despite significant advances in deep learning-based approaches, existing models still face challenges in effectively capturing dynamic spatio-temporal dependencies due to the limited representation of node transmission capabilities and [...] Read more.
Forecasting traffic flow is essential for optimizing resource allocation and improving urban traffic management efficiency. Despite significant advances in deep learning-based approaches, existing models still face challenges in effectively capturing dynamic spatio-temporal dependencies due to the limited representation of node transmission capabilities and distance-sensitive interactions in road networks. This limitation restricts the ability to capture temporal dynamics in spatial dependencies within traffic flow. To address this challenge, this study proposes a Transfer-aware Spatio-Temporal Graph Attention Network with Long-Short Term Memory and Transformer module (TAGAT-LSTM-trans). The model constructs a transfer probability matrix to represent each node’s ability to transmit traffic characteristics and introduces a distance decay matrix to replace the traditional adjacency matrix, thereby offering a more accurate representation of spatial dependencies between nodes. The proposed model integrates a Graph Attention Network (GAT) to construct a TA-GAT module for capturing spatial features, while a gating network dynamically aggregates information across adjacent time steps. Temporal dependencies are modelled using LSTM and a Transformer encoder, with fully connected layers ensuring accurate forecasts. Experiments on real-world highway datasets show that TAGAT-LSTM-trans outperforms baseline models in spatio-temporal dependency modelling and traffic flow forecasting accuracy, validating the effectiveness of incorporating transmission awareness and distance decay mechanisms for dynamic traffic forecasting. Full article
Show Figures

Figure 1

Back to TopTop