Sign in to use this feature.

Years

Between: -

Subjects

remove_circle_outline
remove_circle_outline
remove_circle_outline
remove_circle_outline
remove_circle_outline
remove_circle_outline
remove_circle_outline

Journals

Article Types

Countries / Regions

Search Results (21)

Search Parameters:
Keywords = thinnest point

Order results
Result details
Results per page
Select all
Export citation of selected articles as:
24 pages, 19050 KB  
Article
Innovative Deposition of AZO as Recombination Layer on Silicon Nanowire Scaffold for Potential Application in Silicon/Perovskite Tandem Solar Cell
by Grażyna Kulesza-Matlak, Marek Szindler, Magdalena M. Szindler, Milena Kiliszkiewicz, Urszula Wawrzaszek, Anna Sypień, Łukasz Major and Kazimierz Drabczyk
Energies 2025, 18(15), 4193; https://doi.org/10.3390/en18154193 - 7 Aug 2025
Cited by 1 | Viewed by 882
Abstract
Transparent conductive aluminum-doped zinc oxide (AZO) films were investigated as potential recombination layers for perovskite/silicon tandem solar cells, comparing the results of atomic layer deposition (ALD) and magnetron sputtering (MS) on vertically aligned silicon nanowire (SiNW) scaffolds. Conformality and thickness control were examined [...] Read more.
Transparent conductive aluminum-doped zinc oxide (AZO) films were investigated as potential recombination layers for perovskite/silicon tandem solar cells, comparing the results of atomic layer deposition (ALD) and magnetron sputtering (MS) on vertically aligned silicon nanowire (SiNW) scaffolds. Conformality and thickness control were examined by cross-sectional SEM/TEM and profilometry, revealing fully conformal ALD coatings with tunable thicknesses (40–120 nm) versus tip-capped, semi-uniform MS films (100–120 nm). Optical transmission measurements on glass substrates showed that both 120 nm ALD and MS layers exhibit interference maxima near 450–500 nm and 72–89% transmission across 800–1200 nm; the thinnest ALD films reached up to 86% near-IR transparency. Four-point probe analysis demonstrated that ALD reduces surface resistance from 1150 Ω/□ at 40 nm to 245 Ω/□ at 120 nm, while MS layers achieved 317 Ω/□ at 120 nm. These results delineate the balance between conformality, transparency, and conductivity, providing design guidelines for AZO recombination interfaces in next-generation tandem photovoltaics. Full article
(This article belongs to the Special Issue Perovskite Solar Cells and Tandem Photovoltaics)
Show Figures

Figure 1

12 pages, 1821 KB  
Article
Decades of Night-Shift Work Induce Diurnal Disruption and Corneal Adaptations: Evidence from Pentacam Analysis
by Bence Lajos Kolozsvári, Éva Surányi, Zsuzsa Zakarné Aszalós, Vivien Lénárt, Reda Chaker, Géza Vitályos and Mariann Fodor
Int. J. Environ. Res. Public Health 2025, 22(4), 474; https://doi.org/10.3390/ijerph22040474 - 23 Mar 2025
Viewed by 1022
Abstract
We aimed to determine the effects of night-shift work on corneal parameters in thirty-five healthy individuals (24–59 years) in a retrospective cohort study. Among them, 12 hospital nurses regularly worked two shifts, spending a third of their nights awake, whereas 23 age-matched controls [...] Read more.
We aimed to determine the effects of night-shift work on corneal parameters in thirty-five healthy individuals (24–59 years) in a retrospective cohort study. Among them, 12 hospital nurses regularly worked two shifts, spending a third of their nights awake, whereas 23 age-matched controls never worked shifts and slept regularly. Measurements were performed at least five times within 12 h. We analyzed the keratometric parameters of the corneal front (F) and back (B) surfaces, including the refractive power in the flattest and steepest axes (K1, K2), astigmatism (Astig); and corneal pachymetry (Pachy) at the thinnest corneal point and pupil center, volume relative to the 10 mm corneal diagonal (Vol D10); and surface variance index (ISV). A multilevel mixed-effects linear regression adjusted for age was applied to 905 measurements. All parameters exhibited significant periodic fluctuations (p ≤ 0.005). The two groups also showed significantly different periodic fluctuations (p ≤ 0.008), except in K1B and AstigB. K1/K2 (F and B), AstigF, Pachy, and ISV differed significantly (p < 0.0001). Surprisingly, prolonged night shift work did not increase the ISV, and no evidence of age-related corneal thinning was observed. Long-term night-shift exposures change various corneal parameters, reflecting both concomitant and adaptive effects. This study highlights the impact of consistent sleep deprivation on corneal properties, warranting further research into understanding the long-term effects of night-shift work. Full article
Show Figures

Figure 1

10 pages, 455 KB  
Article
Pilot Programme for Keratoconus Screening and Management in Adolescents with Down Syndrome
by Barry Power, Kirk A. J. Stephenson, Diana Malata, Conor Murphy, Barry Quill, Fiona McGrane, Eleanor Molloy and William Power
Diagnostics 2025, 15(6), 683; https://doi.org/10.3390/diagnostics15060683 - 10 Mar 2025
Viewed by 1267
Abstract
Background/Objectives: To screen a group of adolescents with Down Syndrome (Trisomy 21) for keratoconus and assess the feasibility of setting up a national screening service. Methods: Twenty-seven patients with Down Syndrome between 9 and 18 years of age attended our pilot [...] Read more.
Background/Objectives: To screen a group of adolescents with Down Syndrome (Trisomy 21) for keratoconus and assess the feasibility of setting up a national screening service. Methods: Twenty-seven patients with Down Syndrome between 9 and 18 years of age attended our pilot keratoconus screening clinic. We recorded demographics, medical history, risk factors, best-corrected distance visual acuity, clinical examination results and corneal tomography results. The presence of keratoconus was confirmed by one of three corneal specialists based on clinical and tomographic findings. Tomographic analysis included zonal Kmax, thinnest point, inferior–superior asymmetry (IS Values), Belin/Ambrosio deviation value (BAD-D) and anterior and posterior elevation maps. Results: Early keratoconus was detected on tomography in 8 out of 54 eyes (15%) at the first review. These eyes were listed for crosslinking. The mean age of diagnosis was 14.6. Corneas in the Down Syndrome screening group were thinner and steeper (mean central corneal thickness (CCT) 479 µm vs. 536 µm and mean Kmax 49.2D vs. 45.8D, respectively) than healthy, age-matched controls from the literature. Conclusions: Fifteen percent of eyes (5 out of 27 patients) screened had tomographic evidence of keratoconus requiring treatment at their first review. We found an increased incidence of keratoconus in European individuals with Down Syndrome. Screening this vulnerable, high-risk population with corneal tomography can diagnose early keratoconus and enable corneal crosslinking to safely and effectively stabilise the disease. We advocate tomographic keratoconus screening for individuals with Down Syndrome in their mid-teens. Full article
(This article belongs to the Special Issue Screening and Diagnostic Testing of Keratoconus)
Show Figures

Figure 1

11 pages, 578 KB  
Article
Influence of Biometric and Corneal Tomographic Parameters on Normative Corneal Aberrations Measured by Root Mean Square
by Ignacio Almorín-Fernández-Vigo, Silvia Pagán Carrasco, Inés Sánchez-Guillén, José Ignacio Fernández-Vigo, Ana Macarro-Merino, Bachar Kudsieh and José Ángel Fernández-Vigo
J. Clin. Med. 2024, 13(23), 7125; https://doi.org/10.3390/jcm13237125 - 25 Nov 2024
Viewed by 927
Abstract
Background/Objectives: To determine the impact of corneal and biometry parameters on the normative root mean square (RMS) values of corneal aberrations measured at a 6 mm diameter. Methods: The RMS values for corneal aberrations (anterior, posterior, and total) were measured along [...] Read more.
Background/Objectives: To determine the impact of corneal and biometry parameters on the normative root mean square (RMS) values of corneal aberrations measured at a 6 mm diameter. Methods: The RMS values for corneal aberrations (anterior, posterior, and total) were measured along with corneal parameters using Scheimpflug tomography on 770 normal subjects. The biometric parameters were measured with an optical biometer. A multiple linear regression model was used to assess the effect of these parameters on the RMS values for corneal aberrations. Results: The mean RMS values for low-order (LOAs) and high-order 6 mm aberrations (HOAs) were 1.883 ± 0.797 µm and 0.484 ± 0.173 µm, respectively, and for the anterior and posterior cornea, the values were 0.775 ± 0.166 µm and 0.189 ± 0.036 µm, respectively. For the anterior cornea, the main predictors of the RMS LOAs (R2 = 69.8%) were anterior corneal astigmatism (ACA) and anterior corneal elevation (Ele F) on the apex (both p < 0.0001) and for the RMS HOAs (R2 = 33.3%) the main predictors were age, ACA, and Ele F on the thinnest point (all p < 0.0001). For the posterior cornea, considering only the posterior corneal variables, the main predictors of the RMS LOAs (R2 = 63.4%) were posterior corneal astigmatism and posterior corneal elevation (Ele B) on the thinnest point and apex (all p < 0.0001) and for the RMS HOAs (R2 = 46%) the main predictors were the mean posterior keratometry and Ele B on the thinnest point and apex (all p < 0.0001). Conclusions: Normative data of RMS values for corneal aberrations measured over 6 mm are influenced by age and several corneal parameters, which should be considered when evaluating the diagnostic ability of the RMS values. Full article
Show Figures

Figure 1

20 pages, 49154 KB  
Article
Comparative Analysis of Interfacial Adaptation and Depth Penetration of Recent HiFlow versus Regular Bioceramic Sealers in Conjunction with BC Gutta-Percha Points Using Two Different Obturation Techniques—A Preliminary Report of an Ex Vivo Study
by Sawsan T. Abu-Zeid and Ruaa A. Alamoudi
J. Funct. Biomater. 2024, 15(5), 134; https://doi.org/10.3390/jfb15050134 - 17 May 2024
Cited by 3 | Viewed by 2647
Abstract
This study aimed to assess the adaptability and penetration depth capacity of recent bioceramic systems, including regular EndoSequence (BC) versus HiFlow (BCH) sealers in the presence of BC points. A total of 54 single-rooted teeth were instrumented and obturated with either the cold [...] Read more.
This study aimed to assess the adaptability and penetration depth capacity of recent bioceramic systems, including regular EndoSequence (BC) versus HiFlow (BCH) sealers in the presence of BC points. A total of 54 single-rooted teeth were instrumented and obturated with either the cold or warm compaction technique (n = 9), using either BC, BCH, or AH Plus (AHP) combined with BC points. The adaptation, film thickness, and gaps/voids were evaluated by scanning electron microscopy. The sealer/dentin interface was evaluated by Raman spectroscopy, and depth penetration was evaluated by a confocal laser scanning microscope. According to the normality test, the data were statistically analyzed by ANOVA or Kruskal–Wallis and Mann–Whitney U tests at p < 0.05. BCH sealer showed the significantly thinnest film with the greatest flow (p > 0.001), with further improvement when subjected to the warm compaction technique. Moreover, it exhibited close adaptation with deep penetration into radicular dentin, forming a tag-like structure. The Raman spectra also indicated close contact with the dentin surface. The use of BC sealer with BC points exhibited homogenous, single-unit obturation, either with a cold or warm technique. Furthermore, the use of the warm compaction technique with BCH sealer achieved a gap-free interface associated with tag-like structures, which exhibit the monoblock phenomenon. Full article
(This article belongs to the Section Dental Biomaterials)
Show Figures

Figure 1

11 pages, 2578 KB  
Article
Longitudinal Changes of Cornea Volume Measured by Means of Anterior Segment-Optical Coherence Tomography in Patients with Stable and Progressive Keratoconus
by Sabrina Vaccaro, Chiara Vivarelli, Angeli Christy Yu, Nicolò Pecora, Giovanna Lionetti, Raffaella Gioia, Vincenzo Scorcia and Giuseppe Giannaccare
Life 2024, 14(2), 176; https://doi.org/10.3390/life14020176 - 25 Jan 2024
Viewed by 1725
Abstract
Keratoconus is a corneal disease which results in progressive thinning and protrusion of the cornea leading to irregular astigmatism. The purpose of this study was to evaluate longitudinal changes in corneal volume (CV) occurring over time in keratoconus eyes. Consecutive patients affected by [...] Read more.
Keratoconus is a corneal disease which results in progressive thinning and protrusion of the cornea leading to irregular astigmatism. The purpose of this study was to evaluate longitudinal changes in corneal volume (CV) occurring over time in keratoconus eyes. Consecutive patients affected by keratoconus were evaluated by means of anterior segment-optical coherence tomography (AS-OCT) at two different time points: baseline (T0) and after 1 year (T1). Anterior and posterior refractive value; corneal thickness at the thinnest point (TP) and corneal volume (CV) calculated within discs of 3, 5 and 8 mm of diameter; anterior chamber depth (ACD); and anterior chamber volume (ACV) were obtained. Enrolled patients were divided into 3 groups (groups 1, 2, 3) according to the increasing disease severity and into 2 groups (groups A, B) according to the progression or stability of the disease. Overall, 116 eyes of 116 patients (76 males and 40 females, mean age 34.76 ± 13.99 years) were included. For the entire group of keratoconus patients, in comparison with T0, mean TP decreased at T1 from 458.7 ± 52.2 µm to 454.6 ± 51.6 µm (p = 0.0004); in parallel, mean value of CV calculated at 5 mm and 8 mm decreased significantly (from 10.78 ± 0.8 at T0 to 10.75 ± 0.79 at T1 (p = 0.02), and from 32.03 ± 2.01 mm3 at T0 to 31.95 ± 1.98 at T1 (p = 0.02), respectively). Conversely, there were no statistically significant differences in CV at 3 mm from T0 to T1 (p = 0.08), as well as for ACD and ACV. Regarding the course of the disease, patients belonging to group A showed statistically significant differences from T0 to T1 for TP, and for CV at 3 mm, 5 mm and 8 mm (p < 0.0001, p < 0.0001, p < 0.001 and p = 0.0058 respectively). There were no statistically significant differences for ACD (p = 0.6916) and ACV calculated at 3, 5 and 8 mm (p = 0.7709, p = 0.3765, p = 0.2475, respectively) in group A. At the same time, no statistically significant differences for ACD (p = 0.2897) and ACV calculated at 3, 5 and 8 mm (p = 0.9849, p = 0.6420, p = 0.8338, respectively) were found in group B. There were statistically significant positive correlations between changes of TP and CV at 3 mm (r = 0.6324, p < 0.0001), 5 mm (r = 0.7622, p < 0.0001) and 8 mm (r = 0.5987 p < 0.0001). In conclusion, given the strong correlation with TP, CV might be considered an additional AS-OCT parameter to be used in association with conventional parameters when detecting longitudinal changes in keratoconic eyes. Full article
(This article belongs to the Special Issue Eye Diseases: Diagnosis and Treatment, 2nd Edition)
Show Figures

Figure 1

11 pages, 761 KB  
Article
Diagnostic Validation of the Screening Corneal Objective Risk of Ectasia Analyzer Evaluated by Swept Source Optical Coherence Tomography for Keratoconus in an Asian Population
by Kookyoung Kim, Kyungmin Koh, Seongjun Lee and Yongwoo Lee
Bioengineering 2023, 10(11), 1335; https://doi.org/10.3390/bioengineering10111335 - 20 Nov 2023
Viewed by 2848
Abstract
We aimed to investigate the diagnostic accuracy of Screening Corneal Objective Risk of Ectasia (SCORE) Analyzer software using ANTERION, a swept-source optical coherence tomography device, for keratoconus diagnosis in an Asian population. A total of 151 eyes of 151 patients were included in [...] Read more.
We aimed to investigate the diagnostic accuracy of Screening Corneal Objective Risk of Ectasia (SCORE) Analyzer software using ANTERION, a swept-source optical coherence tomography device, for keratoconus diagnosis in an Asian population. A total of 151 eyes of 151 patients were included in this retrospective study as follows: 60, 45, and 46 keratoconus, keratoconus suspects, and normal control eyes, respectively. Parameters in the SCORE calculation, including six indices, were compared for the three groups. The receiver operating characteristic curve analysis and cut-off value were estimated to assess the diagnostic ability to differentiate keratoconus and keratoconus suspect eyes from the normal group. The SCORE value and six indices were significantly correlated—“AntK max” (R = 0.864), “AntK oppoK” (R = 0.866), “Ant inf supK” (R = 0.943), “Ant irre 3mm” (R = 0.741), “post elevation at the thinnest point” (R = 0.943), and “minimum corneal thickness” (R = −0.750). The SCORE value showed high explanatory power (98.1%), sensitivity of 81.9%, and specificity of 78.3% (cut-off value: 0.25) in diagnosing normal eyes from the keratoconus suspect and keratoconus eyes. The SCORE Analyzer was found to be valid and consistent, showing good sensitivity and specificity for keratoconus detection in an Asian population. Full article
Show Figures

Figure 1

15 pages, 2042 KB  
Article
Anterior Scleral Thickness Profile in Keratoconus
by Neus Burguera-Giménez, María Amparo Díez-Ajenjo, Noemí Burguera and Cristina Peris-Martínez
Life 2023, 13(11), 2223; https://doi.org/10.3390/life13112223 - 19 Nov 2023
Cited by 4 | Viewed by 2247
Abstract
Purpose: Considering that peripheral corneal thinning occurs in keratoconus (KC), the anterior scleral thickness (AST) profile was measured to compare thickness variations in healthy and KC eyes across several meridians. Methods: This cross-sectional case–control study comprised 111 eyes of 111 patients: 61 KC [...] Read more.
Purpose: Considering that peripheral corneal thinning occurs in keratoconus (KC), the anterior scleral thickness (AST) profile was measured to compare thickness variations in healthy and KC eyes across several meridians. Methods: This cross-sectional case–control study comprised 111 eyes of 111 patients: 61 KC eyes and 50 age- and axial-length-matched healthy eyes. The AST was explored at three scleral eccentricities (1, 2, and 3 mm from the scleral spur) across four scleral zones (nasal, temporal, superior, and inferior) by using swept-source optical coherence tomography. The AST variations among eccentricities and scleral regions within and between groups were investigated. Results: The AST significantly varied with scleral eccentricity in healthy eyes over the temporal meridian (p = 0.009), whereas in KC eyes, this variation was observed over the nasal (p = 0.001), temporal (p = 0.029) and inferior (p = 0.006) meridians. The thinnest point in both groups was 2 mm posterior to the scleral spur (p < 0.001). The sclera was thickest over the inferior region (control 581 ± 52 μm, KC 577 ± 67 μm) and thinnest over the superior region (control 448 ± 48 μm, KC 468 ± 58 μm) in both populations (p < 0.001 for all eccentricities). The AST profiles were not significantly different between groups (p > 0.05). The inferior–superior thickness asymmetry was statistically different 2 mm posterior to the scleral spur between groups (p = 0.009), specifically with subclinical KC (p = 0.03). There is a trend where the asymmetry increases, although not significantly, with the KC degree (p > 0.05). Conclusions: KC eyes presented significant thickness variations among eccentricities over the paracentral sclera. Although AST profiles did not differ between groups, the inferior–superior asymmetry differences demonstrated scleral changes over the vertical meridian in KC that need further investigation. Full article
(This article belongs to the Special Issue Cornea and Anterior Eye Diseases)
Show Figures

Figure 1

15 pages, 7322 KB  
Article
Polycaprolactone/Anthocyanin-Based Electrospun Volatile Amines Gas Indicator with Improved Visibility by Varying Bi-Solvent Ratio: A Case of Intelligent Packaging of Mackerel
by Sang Won Kim, Eun Seol Kim, Byeong Jae Park, Yong Woon Jung, Dong Hwa Kim and Seung Ju Lee
Foods 2023, 12(20), 3850; https://doi.org/10.3390/foods12203850 - 20 Oct 2023
Cited by 4 | Viewed by 2374
Abstract
Electrospun nanofibers have been applied as a new technology for gas indicators in food intelligent packaging. A poly(ε-caprolactone) (PCL)/red cabbage anthocyanin (RCA)-based nanofiber volatile amines gas indicator was developed by applying a bi-solvent of acetic acid (AA) and formic acid (FA) in electrospinning. [...] Read more.
Electrospun nanofibers have been applied as a new technology for gas indicators in food intelligent packaging. A poly(ε-caprolactone) (PCL)/red cabbage anthocyanin (RCA)-based nanofiber volatile amines gas indicator was developed by applying a bi-solvent of acetic acid (AA) and formic acid (FA) in electrospinning. The visibility of color change was improved from pink to blue, compared to blue to yellow-green, when using a single solvent of AA. The solutes of PCL (12.5, 15, 17.5, and 20%) and RCA (10, 20, 30, and 40%) and the solvents of AA/FA (9:1, 7:3, 5:5, 3:7, and 1:9) were applied in electrospinning under the condition of 12.5 cm, 1.0 mL/h, and 20 kV. The optimal microstructure with the thinnest fiber diameter and constant arrangement without forming NF beads appeared under the 7:3 FA/AA, 15% PCL, and 20% RCA condition. The indicator changed from pink to blue with the values of total color change (ΔE) of 10, 14, and 18 when exposed to the saturated gas of ammonia solutions of 8, 80, and 800 mM, respectively. The indicator was stable and unchanged in color for 28 days when exposed to light at room temperature. In the application to mackerel packaging, the built-in indicator changed from pink to purple regardless of storage temperature when the spoilage point was reached. Full article
(This article belongs to the Special Issue Food Packaging: Biodegradable, Active and Intelligent)
Show Figures

Figure 1

12 pages, 4419 KB  
Article
Quantitative Evaluation of the Infrazygomatic Crest Thickness in Polish Subjects: A Cone-Beam Computed Tomography Study
by Marta Gibas-Stanek, Julia Ślusarska, Michał Urzędowski, Szczepan Żabicki and Małgorzata Pihut
Appl. Sci. 2023, 13(15), 8744; https://doi.org/10.3390/app13158744 - 28 Jul 2023
Cited by 5 | Viewed by 3045
Abstract
Infrazygomatic crest (IZC) mini-implants are frequently used as an absolute anchorage when intrusive or distally directed forces are required during orthodontic treatment. The aim of the present study was to evaluate the thickness of the IZC area in Polish patients as well as [...] Read more.
Infrazygomatic crest (IZC) mini-implants are frequently used as an absolute anchorage when intrusive or distally directed forces are required during orthodontic treatment. The aim of the present study was to evaluate the thickness of the IZC area in Polish patients as well as to assess dependency between bone availability, sex, and age. The study material was 100 cone beam computed tomography scans (CBCT) of the maxilla of patients of the University Dental Clinic in Krakow (50 men and women each). IZC bone thickness was measured at nine different points. The biggest bone thickness was recorded in the interdental space between the first and second molar at the height of 12 mm (6.03 ± 2.64 mm). The thinnest bone depth was localized at the level of the mesial root of the first molar, 16 mm above the occlusal plane (2.42 ± 2.16). There was a significant and negative correlation between bone thickness and age in the case of measurements taken buccally to the first molar. Only two out of nine measurements showed a sex dependency (points I2 and I3). Considering vertical and sagittal dimensions, the most favorable conditions for IZC mini-implant placement were found interdentally, between the first and second molar, 12 mm above the occlusal plane. Full article
Show Figures

Figure 1

28 pages, 15033 KB  
Article
The Formability of Perforated TA1 Sheet in Single Point Incremental Forming
by Ruxiong Li, Tao Wang and Feng Li
Materials 2023, 16(8), 3176; https://doi.org/10.3390/ma16083176 - 18 Apr 2023
Cited by 1 | Viewed by 2062
Abstract
In light of the analysis on the single point incremental forming (SPIF) principle of perforated titanium sheet and the corresponding peculiarities during the forming process, it is found that the wall angle constitutes the pivotal parameter influencing the SPIF quality of the perforated [...] Read more.
In light of the analysis on the single point incremental forming (SPIF) principle of perforated titanium sheet and the corresponding peculiarities during the forming process, it is found that the wall angle constitutes the pivotal parameter influencing the SPIF quality of the perforated titanium sheet, and this is also the key evaluation index to test the application of SPIF technology on a complex surface. This method for integrating the experiment and the finite element modelling was utilized in this paper to study the wall angle range and fracture mechanism of Grade 1 commercially-pure α titanium (TA1) perforated plate, plus the effect of different wall angles on the quality of perforated titanium sheet components. The forming limiting angle, fracture, and deformation mechanism of the perforated TA1 sheet in the incremental forming were obtained. In accordance with the results, the forming limit is related to the forming wall angle. When the limiting angle of the perforated TA1 sheet in the incremental forming is around 60 degrees, the fracture mode is the ductile fracture. Parts with a changing wall angle have a larger wall angle than parts with a constant angle. The thickness of the perforated plate formed part does not fully satisfy the sine law, and the thickness of the thinnest point of the perforated titanium mesh with different wall angles is lower than that predicted by the sine law; therefore, the actual forming limit angle of the perforated titanium sheet should be less than that predicted by a theoretical calculation. With the increase in the forming wall angle, the effective strain, the thinning rate, and the forming force of the perforated TA1 titanium sheet all increase, while the geometric error decreases. When the wall angle of the perforated TA1 titanium sheet is 45 degrees, the parts with a uniform thickness distribution and good geometric accuracy can be obtained. Full article
Show Figures

Figure 1

14 pages, 6054 KB  
Article
Size-Dependent Superconducting Properties of In Nanowire Arrays
by Alexey A. Noyan, Yevgeniy A. Ovchenkov, Valery V. Ryazanov, Igor A. Golovchanskiy, Vasily S. Stolyarov, Eduard E. Levin and Kirill S. Napolskii
Nanomaterials 2022, 12(22), 4095; https://doi.org/10.3390/nano12224095 - 21 Nov 2022
Cited by 8 | Viewed by 2944
Abstract
Arrays of superconducting nanowires may be useful as elements of novel nanoelectronic devices. The superconducting properties of nanowires differ significantly from the properties of bulk structures. For instance, different vortex configurations of the magnetic field have previously been predicted for nanowires with different [...] Read more.
Arrays of superconducting nanowires may be useful as elements of novel nanoelectronic devices. The superconducting properties of nanowires differ significantly from the properties of bulk structures. For instance, different vortex configurations of the magnetic field have previously been predicted for nanowires with different diameters. In the present study, arrays of parallel superconducting In nanowires with the diameters of 45 nm, 200 nm, and 550 nm—the same order of magnitude as coherence length ξ—were fabricated by templated electrodeposition. Values of magnetic moment M of the samples were measured as a function of magnetic field H and temperature T in axial and transverse fields. M(H) curves for the arrays of nanowires with 45 nm and 200 nm diameters are reversible, whereas magnetization curves for the array of nanowires with 550 nm diameter have several feature points and show a significant difference between increasing and decreasing field branches. Critical fields increase with a decrease in diameter, and the thinnest nanowires exceed bulk critical fields by 20 times. The qualitative change indicates that magnetic field configurations are different in the nanowires with different diameters. Variation of M(H) slope in small fields, heat capacity, and the magnetic field penetration depth with the temperature were measured. Superconductivity in In nanowires is proven to exist above the bulk critical temperature. Full article
(This article belongs to the Special Issue Advanced Spintronic and Electronic Nanomaterials)
Show Figures

Graphical abstract

28 pages, 16093 KB  
Article
Multidirectional Shift Rasterization (MDSR) Algorithm for Effective Identification of Ground in Dense Point Clouds
by Martin Štroner, Rudolf Urban and Lenka Línková
Remote Sens. 2022, 14(19), 4916; https://doi.org/10.3390/rs14194916 - 1 Oct 2022
Cited by 18 | Viewed by 3197
Abstract
With the ever-increasing popularity of unmanned aerial vehicles and other platforms providing dense point clouds, filters for the identification of ground points in such dense clouds are needed. Many filters have been proposed and are widely used, usually based on the determination of [...] Read more.
With the ever-increasing popularity of unmanned aerial vehicles and other platforms providing dense point clouds, filters for the identification of ground points in such dense clouds are needed. Many filters have been proposed and are widely used, usually based on the determination of an original surface approximation and subsequent identification of points within a predefined distance from such surface. We presented a new filter, the multidirectional shift rasterization (MDSR) algorithm, which is based on a different principle, i.e., on the identification of just the lowest points in individual grid cells, shifting the grid along both the planar axis and subsequent tilting of the entire grid. The principle was presented in detail and both visually and numerically compared with other commonly used ground filters (PMF, SMRF, CSF, and ATIN) on three sites with different ruggedness and vegetation density. Visually, the MDSR filter showed the smoothest and thinnest ground profiles, with the ATIN the only filter comparably performing. The same was confirmed when comparing the ground filtered by other filters with the MDSR-based surface. The goodness of fit with the original cloud is demonstrated by the root mean square deviations (RMSDs) of the points from the original cloud found below the MDSR-generated surface (ranging, depending on the site, between 0.6 and 2.5 cm). In conclusion, this paper introduced a newly developed MDSR filter that outstandingly performed at all sites, identifying the ground points with great accuracy while filtering out the maximum of vegetation and above-ground points and outperforming the aforementioned widely used filters. The filter dilutes the cloud somewhat; in such dense point clouds, however, this can be perceived as a benefit rather than as a disadvantage. Full article
(This article belongs to the Special Issue UAVs for Civil Engineering Applications)
Show Figures

Figure 1

9 pages, 491 KB  
Article
Topographic Outcomes in Keratoconus Surgery: Epi-on versus Epi-off Iontophoresis Corneal Collagen Cross-Linking
by Pasquale Napolitano, Fausto Tranfa, Luca D’Andrea, Ciro Caruso, Michele Rinaldi, Alberto Mazzucco, Nicola Ciampa, Antonietta Melenzane and Ciro Costagliola
J. Clin. Med. 2022, 11(7), 1785; https://doi.org/10.3390/jcm11071785 - 24 Mar 2022
Cited by 13 | Viewed by 3099
Abstract
Background: Corneal collagen cross-linking (CXL) has become the gold standard for mild and moderate stages to stop the progression of keratoconus. We analyzed some corneal topography indices to compare iontophoresis epi-on and iontophoresis epi-off techniques throughout a two-year follow-up. Methods: A total of [...] Read more.
Background: Corneal collagen cross-linking (CXL) has become the gold standard for mild and moderate stages to stop the progression of keratoconus. We analyzed some corneal topography indices to compare iontophoresis epi-on and iontophoresis epi-off techniques throughout a two-year follow-up. Methods: A total of 64 eyes of 49 patients who underwent CXL were recruited. In 30 eyes the epi-off technique was performed, whereas the remaining 34 eyes were treated with the epi-on technique. All patients underwent a complete ophthalmologic examination that included CDVA, central and thinnest corneal thickness, Schirmer test I, TBUT test, and the Ocular Surface Disease Index. Results: In both groups, a significant improvement in visual function was recorded. No statistically significant differences between Kmax, Mean K, Flat K, Steep K values were found. Statistically significant differences (p < 0.05) between the epi-on and epi-off groups’ pachymetry before and after 24 months follow-up as well as between the epi-on and epi-off groups’ topographically thinnest point in the immediate post-surgery and 24 months after surgery were recorded. Conclusion: Our study highlighted that both techniques are valid in mid-term corneal stabilization. The advantage of the new iontophoresis epi-off cross-linking technique could be found in a faster imbibing time of the cornea, therefore reducing surgical times, with a lower risk of complications. Full article
(This article belongs to the Special Issue Imaging in Ophthalmology—Volume I)
Show Figures

Figure 1

9 pages, 565 KB  
Article
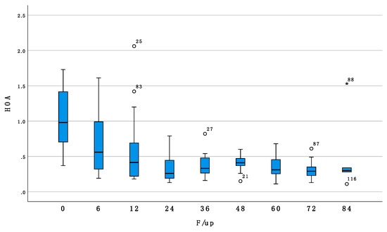
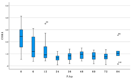
Transepithelial Iontophoresis-Assisted Cross Linking for Progressive Keratoconus: Up to 7 Years of Follow Up
by Riccardo Vinciguerra, Emanuela F Legrottaglie, Costanza Tredici, Cosimo Mazzotta, Pietro Rosetta and Paolo Vinciguerra
J. Clin. Med. 2022, 11(3), 678; https://doi.org/10.3390/jcm11030678 - 28 Jan 2022
Cited by 19 | Viewed by 2737
Abstract
Purpose: To report long-term clinical results of transepithelial cross-linking with iontophoresis (I-CXL) for progressive keratoconus (KC). Methods: Nineteen eyes of 19 patients treated with I-CXL for progressive keratoconus were included in this prospective clinical study. Preoperatively and in all available follow ups (6, [...] Read more.
Purpose: To report long-term clinical results of transepithelial cross-linking with iontophoresis (I-CXL) for progressive keratoconus (KC). Methods: Nineteen eyes of 19 patients treated with I-CXL for progressive keratoconus were included in this prospective clinical study. Preoperatively and in all available follow ups (6, 12, 24, 36, 48, 60, 72 and 84 months), the following parameters were measured. Corrected distance visual acuity (CDVA), spherical equivalent and cylinder refraction, corneal topography and aberrometry (Costruzione Strumenti Oftalmici (C.S.O.), Florence, Italy), Scheimpflug tomography (OCULUS Optikgeräte GmbH; Wetzlar, Germany). Definition of progression after I-CXL was 2/3 of the following criteria: increase of “A” value, increase of “B” value, decrease of minimal thickness evaluated with the ABCD progression display above 95% confidence interval for post-CXL population when compared to the scan 12 months post-op. Results: The mean follow-up time of included patients was 63 months (range 12 to 84 months, 5 patients reached 84 months). The general linear model showed no significant change over time in CDVA, Maximum Keratometry, Thinnest point, and A, B, C values of the Belin Progression Display (p > 0.05). Conversely, comatic and high order aberrations decreased significantly over time (both p =< 0.001). Five cases (26.31%) showed significant progression after a mean of 55 months (range 36–72) of follow up. Conclusion: Our study shows the ability of I-CXL to slow down KC progression in the majority of included patients, improving high order and comatic aberrations. A 26% progression rate was reported. Full article
(This article belongs to the Section Ophthalmology)
Show Figures

Figure 1

Back to TopTop