Anterior Scleral Thickness Profile in Keratoconus
Abstract
:1. Introduction
2. Materials and Methods
2.1. Patients
2.2. Experimental Procedure
2.2.1. Scleral Imaging
2.2.2. Scleral Data Analysis
2.3. Statistical Analysis
3. Results
3.1. Intraobserver Agreement
3.2. Scleral Thickness Variations
3.2.1. Thickness Variations across Scleral Eccentricity
3.2.2. Thickness Variations across Scleral Region
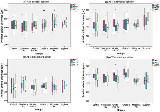
3.3. Thickness Variations between Groups
3.4. Factors Influencing Scleral Thickness in Keratoconus Eyes
4. Discussion
5. Conclusions
Supplementary Materials
Author Contributions
Funding
Institutional Review Board Statement
Informed Consent Statement
Data Availability Statement
Conflicts of Interest
References
- Rabinowitz, Y.S. Keratoconus. Surv. Ophthalmol. 1998, 42, 297–319. [Google Scholar] [CrossRef] [PubMed]
- Arnal, E.; Peris-Martínez, C.; Menezo, J.L.; Johnsen-Soriano, S.; Romero, F.J. Oxidative Stress in Keratoconus? Investig. Ophthalmol. Vis. Sci. 2011, 52, 8592–8597. [Google Scholar] [CrossRef]
- Galvis, V.; Sherwin, T.; Tello, A.; Merayo, J.; Barrera, R.; Acera, A. Keratoconus: An inflammatory disorder? Eye 2015, 29, 843–859. [Google Scholar] [CrossRef]
- Hashemi, H.; Heirani, M.; Ambrósio, R.; Hafezi, F.; Naroo, S.A.; Khorrami-Nejad, M. The link between Keratoconus and posterior segment parameters: An updated, comprehensive review. Ocul. Surf. 2022, 23, 116–122. [Google Scholar] [CrossRef] [PubMed]
- Godefrooij, D.A.; de Wit, G.A.; Uiterwaal, C.S.; Imhof, S.M.; Wisse, R.P.L. Age-specific Incidence and Prevalence of Keratoconus: A Nationwide Registration Study. Am. J. Ophthalmol. 2017, 175, 169–172. [Google Scholar] [CrossRef] [PubMed]
- Mas Tur, V.; MacGregor, C.; Jayaswal, R.; O’Brart, D.; Maycock, N. A review of keratoconus: Diagnosis, pathophysiology, and genetics. Surv. Ophthalmol. 2017, 62, 770–783. [Google Scholar] [CrossRef]
- Davidson, A.E.; Hayes, S.; Hardcastle, A.J.; Tuft, S.J. The pathogenesis of keratoconus. Eye 2014, 28, 189–195. [Google Scholar] [CrossRef]
- Brautaset, R.L.; Nilsson, M.; Miller, W.L.; Leach, N.E.; Tukler, J.H.; Bergmanson, J.P.G. Central and peripheral corneal thinning in keratoconus. Cornea 2013, 32, 257–261. [Google Scholar] [CrossRef]
- Alkanaan, A.; Barsotti, R.; Kirat, O.; Khan, A.; Almubrad, T.; Akhtar, S. Collagen fibrils and proteoglycans of peripheral and central stroma of the keratoconus cornea—Ultrastructure and 3D transmission electron tomography. Sci. Rep. 2019, 9, 19963. [Google Scholar] [CrossRef] [PubMed]
- Van Nuffel, S.; Consejo, A.; Koppen, C.; Kreps, E.O. The corneoscleral shape in keratoconus patients with and without specialty lens wear. Contact Lens Anterior Eye 2021, 44, 101343. [Google Scholar] [CrossRef] [PubMed]
- Piñero, D.P.; Martínez-Abad, A.; Soto-Negro, R.; Ruiz-Fortes, P.; Pérez-Cambrodí, R.J.; Ariza-Gracia, M.A.; Carracedo, G. Differences in corneo-scleral topographic profile between healthy and keratoconus corneas. Contact Lens Anterior Eye 2019, 42, 75–84. [Google Scholar] [CrossRef]
- Kopaeva, V.G.; Zatulina, N.I.; Legkikh, L.S. Clinical and morphological aspects of the state of the sclera in various types of genetically determined corneal changes. Vestn Oftalmol. 1992, 108, 17–19. [Google Scholar]
- Tengroth, B.; Rehnberg, M.; Amitzboll, T. A comparative analysis of the collagen type and distribution in the trabecular meshwork, sclera, lamina cribrosa and the optic nerve in the human eye. Acta Ophthalmol. 2009, 63, 91–93. [Google Scholar] [CrossRef] [PubMed]
- Boote, C.; Sigal, I.A.; Grytz, R.; Hua, Y.; Nguyen, T.D.; Girard, M.J.A. Scleral structure and biomechanics. Prog. Retin. Eye Res. 2020, 74, 100773. [Google Scholar] [CrossRef] [PubMed]
- Yang, B.; Jan, N.J.; Brazile, B.; Voorhees, A.; Lathrop, K.L.; Sigal, I.A. Polarized light microscopy for 3-dimensional mapping of collagen fiber architecture in ocular tissues. J. Biophotonics 2018, 11, e201700356. [Google Scholar] [CrossRef] [PubMed]
- Gogola, A.; Jan, N.J.; Brazile, B.; Lam, P.; Lathrop, K.L.; Chan, K.C.; Sigal, I.A. Spatial patterns and age-related changes of the collagen crimp in the human cornea and sclera. Investig. Ophthalmol. Vis. Sci. 2018, 59, 2987–2998. [Google Scholar] [CrossRef] [PubMed]
- Vinciguerra, R.; Ambrósio, R., Jr.; Elsheikh, A.; Roberts, C.J.; Lopes, B.; Morenghi, E.; Azzolini, C.; Vinciguerra, P. Detection of keratoconus with a new biomechanical index. J. Refract. Surg. 2016, 32, 803–810. [Google Scholar] [CrossRef] [PubMed]
- Schlatter, B.; Beck, M.; Frueh, B.E.; Tappeiner, C.; Zinkernagel, M. Evaluation of scleral and corneal thickness in keratoconus patients. J. Cataract. Refract. Surg. 2015, 41, 1073–1080. [Google Scholar] [CrossRef]
- Read, S.A.; Alonso-Caneiro, D.; Free, K.A.; Labuc-Spoors, E.; Leigh, J.K.; Quirk, C.J.; Yang, Z.Y.-L.; Vincent, S.J. Diurnal variation of anterior scleral and conjunctival thickness. Ophthalmic Physiol. Opt. 2016, 36, 279–289. [Google Scholar] [CrossRef]
- Buckhurst, H.D.; Gilmartin, B.; Cubbidge, R.P.; Logan, N.S. Measurement of scleral thickness in humans using anterior segment optical coherent tomography. PLoS ONE 2015, 10, e0132902. [Google Scholar] [CrossRef]
- Read, S.A.; Alonso-Caneiro, D.; Vincent, S.J.; Bremner, A.; Fothergill, A.; Ismail, B.; McGraw, R.; Quirk, C.J.; Wrigley, E. Anterior eye tissue morphology: Scleral and conjunctival thickness in children and young adults. Sci. Rep. 2016, 6, 33796. [Google Scholar] [CrossRef]
- Spaide, R.F.; Koizumi, H.; Pozonni, M.C. Enhanced Depth Imaging Spectral-Domain Optical Coherence Tomography. Am. J. Ophthalmol. 2008, 146, 496–500. [Google Scholar] [CrossRef]
- Takusagawa, H.L.; Hoguet, A.; Junk, A.K.; Nouri-Mahdavi, K.; Radhakrishnan, S.; Chen, T.C. Swept-Source OCT for Evaluating the Lamina Cribrosa: A Report by the American Academy of Ophthalmology. Ophthalmology 2019, 126, 1315–1323. [Google Scholar] [CrossRef]
- Sung, M.S.; Ji, Y.S.; Moon, H.S.; Heo, H.; Park, S.W. Anterior scleral thickness in myopic eyes and its association with ocular parameters. Ophthalmic Res. 2021, 64, 567–576. [Google Scholar] [CrossRef] [PubMed]
- Belin, M.W.; Meyer, J.J.; Duncan, J.K.; Gelman, R.; Borgstrom, M. Assessing Progression of Keratoconus and Cross-linking Efficacy: The Belin ABCD Progression Display. Int. J. Keratoconus Ectatic Corneal Dis. 2017, 6, 1–10. [Google Scholar] [CrossRef]
- Shetty, R.; Rao, H.; Khamar, P.; Sainani, K.; Vunnava, K.; Jayadev, C.; Kaweri, L. Keratoconus Screening Indices and Their Diagnostic Ability to Distinguish Normal From Ectatic Corneas. Am. J. Ophthalmol. 2017, 181, 140–148. [Google Scholar] [CrossRef]
- Kreps, E.O.; Jimenez-Garcia, M.; Issarti, I.; Claerhout, I.; Koppen, C.; Rozema, J.J. Repeatability of the Pentacam HR in Various Grades of Keratoconus. Am. J. Ophthalmol. 2020, 219, 154–162. [Google Scholar] [CrossRef] [PubMed]
- Burguera-Giménez, N.; Díez-Ajenjo, M.A.; Burguera, N.; Luque-Cobija, M.J.; Peris-Martínez, C. The link between anterior scleral thickness, corneal biomechanical response and ocular parameters. Ophthalmic Res. 2022, 65, 685–697. [Google Scholar] [CrossRef]
- Radhakrishnan, S. Real-Time Optical Coherence Tomography of the Anterior Segment at 1310 nm. Arch. Ophthalmol. 2001, 119, 1179. [Google Scholar] [CrossRef]
- Woodman-Pieterse, E.C.; Read, S.A.; Collins, M.J.; Alonso-Caneiro, D. Anterior scleral thickness changes with accommodation in myopes and emmetropes. Exp. Eye Res. 2018, 177, 96–103. [Google Scholar] [CrossRef]
- Westphal, V.; Rollins, A.; Radhakrishnan, S.; Izatt, J. Correction of geometric and refractive image distortions in optical coherence tomography applying Fermat’s principle. Opt. Express 2002, 10, 397. [Google Scholar] [CrossRef] [PubMed]
- Fernández-Vigo, J.I.; Shi, H.; Burgos-Blasco, B.; Fernández-Aragón, S.; De-Pablo-Gómez-de-Liaño, L.; Kudsieh, B.; Macarro-Merino, A.; Ángel Fernández-Vigo, J. Anterior scleral thickness dimensions by swept-source optical coherence tomography. Clin. Exp. Optom. 2022, 105, 13–19. [Google Scholar] [CrossRef] [PubMed]
- Dhakal, R.; Vupparaboina, K.K.; Verkicharla, P.K. Anterior sclera undergoes thinning with increasing degree of myopia. Investig. Ophthalmol. Vis. Sci. 2020, 61, 6. [Google Scholar] [CrossRef]
- Greenhouse, S.W.; Geisser, S. On methods in the analysis of profile data. Psychometrika 1959, 24, 95–112. [Google Scholar] [CrossRef]
- Niyazmand, H.; Read, S.A.; Atchison, D.A.; Alonso-Caneiro, D.; Collins, M.J. Anterior scleral thickness and shape changes with different levels of simulated convergence. Exp. Eye Res. 2021, 203, 108435. [Google Scholar] [CrossRef] [PubMed]
- Vurgese, S.; Panda-Jonas, S.; Jonas, J.B. Scleral thickness in human eyes. PLoS ONE 2012, 7, e29692. [Google Scholar] [CrossRef]
- Jonas, J.B.; Ohno-Matsui, K.; Holbach, L.; Panda-Jonas, S. Association between axial length and horizontal and vertical globe diameters. Graefe’s Arch. Clin. Exp. Ophthalmol. 2017, 255, 237–242. [Google Scholar] [CrossRef]
- Koenig, S.B.; Smith, R.W. Keratoconus and Corneal Hydrops Associated With Compulsive Eye Rubbing. J. Refract. Surg. 1993, 9, 383–384. [Google Scholar] [CrossRef]
- Dhaese, S.E.; Kreps, E.O.; Consejo, A. Scleral shape and its correlation with corneal parameters in keratoconus. Contact Lens Anterior Eye 2021, 44, 101366. [Google Scholar] [CrossRef]
- Hu, L.; Li, Y.; Liu, Q.; Xu, Z.; Gu, J.; Li, A.; Wang, Y.; Lin, K.; Xia, J.; Chen, S.; et al. Corneal Vertical and Horizontal Thickness Profiles Generated by UHR-OCT for Suspected and Subclinical Keratoconus Diagnosis. J. Refract. Surg. 2021, 37, 438–445. [Google Scholar] [CrossRef]
- Naderan, M.; Rajabi, M.T.; Zarrinbakhsh, P.; Bakhshi, A. Effect of Allergic Diseases on Keratoconus Severity. Ocul. Immunol. Inflamm. 2017, 25, 418–423. [Google Scholar] [CrossRef] [PubMed]
- Alonso-Caneiro, D.; Read, S.A.; Vincent, S.J.; Collins, M.J.; Wojtkowski, M. Tissue thickness calculation in ocular optical coherence tomography. Biomed. Opt. Express 2016, 7, 629. [Google Scholar] [CrossRef] [PubMed]





| Parameter | Main Groups (Mean ± SD) | p-Value † | |
|---|---|---|---|
| CG (50 Eyes/50 Patients) | KG (61 Eyes/61 Patients) | ||
| Gender (female) | 36 (72%) | 28 (45.9%) | 0.01 * ^ |
| Ethnicity: Caucasian | 50 (100%) | 55 (90.2%) | - |
| Arabian | - | 5 (8.2%) | |
| Asian | - | 1(1.6%) | |
| Age (years) | 29 ± 9.6 | 32.3 ± 12 | 0.11 |
| SE (D) | −1 ± 1.5 | −2.20 ± 2.5 | 0.002 ** ‡ |
| Cyl (D) | −0.62 ± 0.60 | −2.17 ± 2.5 | <0.001 *** ‡ |
| CDVA, logMAR (Snellen) | −0.05 (20/17) ± 0.06 | 0.09 (20/25) ± 0.18 | <0.001 *** ‡ |
| AL (mm) | 23.7 ± 1 | 24.1 ± 1.15 | 0.08 |
| CCT (μm) | 541 ± 32.70 | 502 ± 37.54 | 0.001 ** † |
| TCT (μm) | 536 ± 31.40 | 481 ± 40 | 0.001 ** † |
| APT (μm) | 541 ± 31.40 | 492 ± 39.67 | 0.001 ** † |
| CV (mm3) | 60.49 ± 3.52 | 57.6 ± 4.32 | 0.001 ** † |
| BAD-D | 0.83 ± 0.60 | 5.42 ± 3.37 | <0.001 *** ‡ |
| IOP (mmHg) | 14.20 ± 2.26 | 12.80 ± 2.25 | <0.001 *** ‡ |
| Parameter | Main Groups (Mean ± SD) | p-Value | |||||
|---|---|---|---|---|---|---|---|
| CG (n = 50) | Subclinical KC (n = 15) | KC Grade 1 (n = 17) | KC Grade 2 (n = 17) | KC Grade 3 (n = 9) | Superior KC (n = 3) | ||
| Gender (female) | 36 (72%) | 5 (33%) | 12 (71%) | 5 (29%) | 5 (56%) | 1 (33%) | 0.009 ** ^ |
| Age (years) | 29 ± 9.60 | 35 ± 11.44 | 28 ± 8.72 | 31 ± 9.62 | 31 ± 15.85 | 41 ± 17.61 | 0.08 ‡ |
| SE (D) | −1 ± 1.5 | −2.65 ± 2.36 | −1.23 ± 0.90 | −2.37 ± 2.50 | −3.72 ± 3.97 | −0.38 ± 3.28 | 0.004 ** ‡ |
| CDVA, logMAR (Snellen) | −0.05 ± 0.06 (20/17) | 0.02 ± 0.11 (20/21) | 0.14 ± 0.07 (20/28) | 0.07 ± 0.07 (20/23) | 0.36 ± 0.28 (20/46) | 0.20 ± 0.17 (20/32) | <0.001 *** ‡ |
| AL (mm) | 23.7 ± 1 | 24.6 ± 0.89 | 23.6 ± 1.05 | 24 ± 1.23 | 24.6 ± 0.91 | 23.4 ± 1.70 | 0.01 * † |
| CCT (μm) | 541 ± 32.70 | 530 ± 33.40 | 502 ± 33.70 | 495 ± 34.32 | 473 ± 34.62 | 501 ± 31.51 | <0.001 *** † |
| TCT (μm) | 536 ± 31.40 | 515 ± 30 | 487 ± 32 | 472 ± 33 | 440 ± 26 | 482 ± 40 | <0.001 *** † |
| APT (μm) | 541 ± 31.40 | 524 ± 31.41 | 498 ± 31.52 | 483 ± 34.80 | 451 ± 25.48 | 500 ± 31.04 | <0.001 *** † |
| CV (mm3) | 60.49 ± 3.52 | 59.19 ± 4.41 | 57.77 ± 3.76 | 56.74 ± 4.92 | 57.36 ± 3.63 | 56.53 ± 3.43 | 0.004 ** † |
| BAD-D index | 0.83 ± 0.60 | 2.24 ± 0.90 | 4.33 ± 1.32 | 6.44 ± 1.21 | 11.60 ± 2.79 | 3.10 ± 2.35 | <0.001 *** † |
| IOP (mm) | 14.70 ± 2.28 | 13.83 ± 1.98 | 13.16 ± 2.07 | 12.38 ± 2.15 | 10.94 ± 2.19 | 13.50 ± 2.65 | <0.001 *** ‡ |
| Model Summary | R | R2 | Adjusted R2 | Error | Durbin-Watson | |||
|---|---|---|---|---|---|---|---|---|
| AST | 0.68 | 0.452 | 0.448 | 58.40 | 1.74 | |||
| Independent Variables | B Coefficient (Std Error) | 95% Confidence Interval | p-Value | Importance | ||||
| Lower | Upper | |||||||
| Intercept | 146.31 (27.59) | 92.17 | 200.44 | 0.001 *** | ||||
| Meridian | Inferior | 104.57 (5.32) | 94.13 | 115.01 | 0.001 *** | 0.617 | ||
| Nasal | 59.55 (5.26) | 44.85 | 65.49 | 0.001 *** | 0.617 | |||
| Temporal | 59.55 (5.26) | 49.23 | 69.87 | 0.001 *** | 0.617 | |||
| Superior | † | 0.617 | ||||||
| CV | 7.1 (0.72) | 5.67 | 8.5 | 0.001 *** | 0.155 | |||
| SE | −5.65 (0.86) | −7.33 | −3.96 | 0.001 *** | 0.068 | |||
| Age | 1.16 (0.19) | 0.795 | 1.524 | 0.001 *** | 0.06 | |||
| Gender | Male | 22.56 (4.07) | 14.58 | 30.55 | 0.001 *** | 0.05 | ||
| Female | † | 0.05 | ||||||
| TCT | −1.34 (0.28) | −1.90 | −0.79 | 0.001 *** | 0.036 | |||
| CCT | 0.50 (0.21) | 0.08 | 0.91 | 0.019 * | 0.009 | |||
| APT | 0.51 (0.33) | −0.135 | 1.16 | 0.121 | 0.004 | |||
Disclaimer/Publisher’s Note: The statements, opinions and data contained in all publications are solely those of the individual author(s) and contributor(s) and not of MDPI and/or the editor(s). MDPI and/or the editor(s) disclaim responsibility for any injury to people or property resulting from any ideas, methods, instructions or products referred to in the content. |
© 2023 by the authors. Licensee MDPI, Basel, Switzerland. This article is an open access article distributed under the terms and conditions of the Creative Commons Attribution (CC BY) license (https://creativecommons.org/licenses/by/4.0/).
Share and Cite
Burguera-Giménez, N.; Díez-Ajenjo, M.A.; Burguera, N.; Peris-Martínez, C. Anterior Scleral Thickness Profile in Keratoconus. Life 2023, 13, 2223. https://doi.org/10.3390/life13112223
Burguera-Giménez N, Díez-Ajenjo MA, Burguera N, Peris-Martínez C. Anterior Scleral Thickness Profile in Keratoconus. Life. 2023; 13(11):2223. https://doi.org/10.3390/life13112223
Chicago/Turabian StyleBurguera-Giménez, Neus, María Amparo Díez-Ajenjo, Noemí Burguera, and Cristina Peris-Martínez. 2023. "Anterior Scleral Thickness Profile in Keratoconus" Life 13, no. 11: 2223. https://doi.org/10.3390/life13112223
APA StyleBurguera-Giménez, N., Díez-Ajenjo, M. A., Burguera, N., & Peris-Martínez, C. (2023). Anterior Scleral Thickness Profile in Keratoconus. Life, 13(11), 2223. https://doi.org/10.3390/life13112223

