Sign in to use this feature.

Years

Between: -

Subjects

remove_circle_outline
remove_circle_outline
remove_circle_outline
remove_circle_outline
remove_circle_outline
remove_circle_outline
remove_circle_outline
remove_circle_outline
remove_circle_outline

Journals

Article Types

Countries / Regions

remove_circle_outline
remove_circle_outline
remove_circle_outline
remove_circle_outline
remove_circle_outline
remove_circle_outline

Search Results (204)

Search Parameters:
Keywords = texture and flavor enhancement

Order results
Result details
Results per page
Select all
Export citation of selected articles as:
26 pages, 635 KB  
Review
Innovative Microencapsulation Techniques of Bioactive Compounds: Impact on Physicochemical and Sensory Properties of Food Products and Industrial Applications
by Arkadiusz Szpicer, Weronika Bińkowska, Adrian Stelmasiak, Iwona Wojtasik-Kalinowska, Anna Czajkowska, Sylwia Mierzejewska, Zdzisław Domiszewski, Tomasz Rydzkowski, Joanna Piepiórka-Stepuk and Andrzej Półtorak
Appl. Sci. 2025, 15(22), 11908; https://doi.org/10.3390/app152211908 (registering DOI) - 9 Nov 2025
Abstract
The incorporation of bioactive compounds into food products represents a promising approach to enhance their functional and health-promoting properties. However, many bioactive compounds, such as polyphenols, essential oils, carotenoids, and omega-3 fatty acids, are highly sensitive to environmental factors, including temperature, oxygen, and [...] Read more.
The incorporation of bioactive compounds into food products represents a promising approach to enhance their functional and health-promoting properties. However, many bioactive compounds, such as polyphenols, essential oils, carotenoids, and omega-3 fatty acids, are highly sensitive to environmental factors, including temperature, oxygen, and light, which limits their direct application in the food industry. Microencapsulation has emerged as an innovative strategy to overcome these challenges by protecting bioactive compounds, improving their stability, controlling their release, and masking undesirable flavors or odors. This article reviews recent advances in microencapsulation techniques, including spray-drying, freeze-drying, coacervation, and innovative methods such as nanoencapsulation and electrospinning. Particular attention is given to the influence of encapsulated bioactive compounds on the physicochemical characteristics, texture, color, and sensory attributes of various food matrices. Furthermore, the paper highlights industrial perspectives, emphasizing the scalability of these techniques, regulatory considerations, and their role in the development of clean-label, functional, and sustainable food products. The findings underline the potential of microencapsulation as a key technology for the next generation of functional foods, bridging consumer expectations with industrial feasibility. Full article
20 pages, 4247 KB  
Article
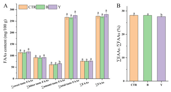
Tailored Fermentation of Large Yellow Croaker Surimi Balls with Direct Vat Set Starters: Effects on Physicochemical and Sensory Properties
by Shumin Liu, Yijia Deng, Shengjun Chen, Ruosong Yao, Shuangping Li, Peiyi Ye, Rundong Wang, Ahmed S. M. Saleh and Jianrong Li
Foods 2025, 14(22), 3825; https://doi.org/10.3390/foods14223825 (registering DOI) - 8 Nov 2025
Abstract
This study investigated the effects of direct vat set commercial yoghurt starter (B) and yeast starter (Y) on the quality of fermented large yellow croaker surimi balls, with natural fermentation (CTR) as a control. Surimi products were inoculated and fermented at 25 °C [...] Read more.
This study investigated the effects of direct vat set commercial yoghurt starter (B) and yeast starter (Y) on the quality of fermented large yellow croaker surimi balls, with natural fermentation (CTR) as a control. Surimi products were inoculated and fermented at 25 °C for 4 h, then analyzed for physicochemical, sensory, and oxidative properties. Yoghurt starter significantly inhibited protein oxidation, as indicated by the highest sulfhydryl content (9.10 nmol/mg protein, p < 0.05), improved textural properties (hardness was 28% higher than CTR, p < 0.05), and promoted a balanced flavor profile, accompanied by the highest equivalent umami concentration (1.66%, p < 0.05). However, B also caused the greatest MDA accumulation (1.49 mg/kg, p < 0.05), reflecting enhanced lipid oxidation. By comparison, Y enhanced umami primarily through significant enrichment of aspartic acid (53.88 mg/100 g, p < 0.05) and accelerated nucleotide degradation, resulting in the highest AMP and hypoxanthine levels (p < 0.05). These advantages were offset by severe protein carbonylation (54.32 nmol/mg protein, p < 0.05) and evident color deterioration. Sensory analysis revealed no significant difference between B and CTR (p > 0.05), whereas Y received significantly lower acceptance scores (p < 0.05) due to impaired color and taste. These findings suggest that B is a promising starter for improving texture and flavor in fermented surimi balls, while Y, despite enhancing umami and controlling lipid oxidation, negatively affects color, texture, and protein stability. Full article
(This article belongs to the Section Foods of Marine Origin)
Show Figures

Figure 1

23 pages, 1647 KB  
Article
Deodorization of Spirulina (Arthrospira platensis) to Improve the Sensory Attributes of Spirulina-Enriched Yogurt
by Adrián Ponce de León-Door, Pedro González-Pérez, Guadalupe I. Olivas, Francisco Javier Molina-Corral, Jesús Cristian Amaro-Hernández and David R. Sepulveda
Dairy 2025, 6(6), 67; https://doi.org/10.3390/dairy6060067 - 7 Nov 2025
Abstract
The incorporation of Arthrospira platensis into dairy products offers health benefits but is limited by its undesirable aroma and flavor. This study evaluated three deodorization strategies—adsorption by activated carbon, extraction with ethanol, and fermentation with Saccharomyces cerevisiae—to improve the sensory profile of [...] Read more.
The incorporation of Arthrospira platensis into dairy products offers health benefits but is limited by its undesirable aroma and flavor. This study evaluated three deodorization strategies—adsorption by activated carbon, extraction with ethanol, and fermentation with Saccharomyces cerevisiae—to improve the sensory profile of A. platensis and enhance its acceptability in yogurt. Deodorized powders were characterized for proximal and volatile composition and used to formulate yogurts at five concentrations (0.5–2.5% w/v). Texture, aroma volatile profile, and sensory attributes were assessed after yogurt production, while shelf-life quality attributes were monitored over 29 days of refrigerated storage. Yogurts containing fermented A. platensis showed higher sensory scores (>8.7/10), the greatest purchase intent (>71.4%), and improved texture, remaining acceptable at an addition level of 2.5%. In contrast, yogurts with untreated or carbon-activated treated A. platensis were only acceptable at low addition levels (≤0.5%) due to off-flavors and textural issues. Ethanol effectively reduced aldehydes and ketones (such as Safranal and β-Ionone), while fermentation eliminated pyrazines and generated desirable alcohols and acids (such as 1-Pentanol and Butanoic acid). These findings highlight fermentation as a promising strategy to deodorize A. platensis and improve its integration into dairy matrices, enabling the development of functional yogurts with enhanced sensory quality and nutritionally relevant microalgae content. Full article
(This article belongs to the Section Milk Processing)
Show Figures

Graphical abstract

15 pages, 5464 KB  
Article
Comparative Volatile Profiles of Plain Poached (PP) and Steamed over Water (SW) Wenchang Chicken Analyzed by GC-MS, GC-IMS, and E-Nose
by Qicheng Jiang, Xinli Zheng, Tieshan Xu, Meiling Chen, Shihao Chen, Dexiang Zhang, Bolin Cai and Lihong Gu
Foods 2025, 14(21), 3778; https://doi.org/10.3390/foods14213778 - 4 Nov 2025
Viewed by 222
Abstract
Wenchang chicken, a specialty of Hainan, China, is celebrated for its tender texture and unique flavor. This study investigates the impact of two traditional cooking methods, SW chicken and PP chicken, on the formation of volatile organic compounds (VOCs) in Wenchang chicken. Using [...] Read more.
Wenchang chicken, a specialty of Hainan, China, is celebrated for its tender texture and unique flavor. This study investigates the impact of two traditional cooking methods, SW chicken and PP chicken, on the formation of volatile organic compounds (VOCs) in Wenchang chicken. Using advanced analytical techniques, including electronic nose (E-nose), gas chromatography-mass spectrometry (GC-MS), and gas chromatography-ion mobility spectrometry (GC-IMS), we identified and compared the key flavor compounds produced by each method. Results revealed distinct differences in VOC profiles, with steamed chicken generating higher concentrations of ketones, aldehydes, and alcohols, likely due to the higher cooking temperatures, while PP chicken retained compounds sensitive to heat. The complementary capabilities of GC-MS and GC-IMS enabled a comprehensive analysis, highlighting their potential in differentiating cooking methods and assessing flavor characteristics. This study provides insights into the flavor formation mechanisms of Wenchang chicken and establishes a foundation for its industrial standardization and quality enhancement. Full article
(This article belongs to the Section Food Analytical Methods)
Show Figures

Figure 1

16 pages, 1324 KB  
Article
Effects of Egg White on the Texture, Physicochemical Properties and Sensory Characteristics of Double Protein Yogurt During Storage
by Yuhang Gao, Rongcheng Li, Jie Pan, Yihan Zhang, Renfeng Gao, Ning Xia, Huajing Liu and Lifeng Wang
Gels 2025, 11(11), 865; https://doi.org/10.3390/gels11110865 - 28 Oct 2025
Viewed by 319
Abstract
With the growing demand for functional dairy products, integrating dual-animal proteins presents a promising strategy to enhance both nutritional value and functional properties. This study aimed to elucidate the impact of egg white supplementation on the stability, physicochemical attributes, sensory quality, and shelf-life [...] Read more.
With the growing demand for functional dairy products, integrating dual-animal proteins presents a promising strategy to enhance both nutritional value and functional properties. This study aimed to elucidate the impact of egg white supplementation on the stability, physicochemical attributes, sensory quality, and shelf-life of yogurt. Yogurt samples were prepared by fermenting milk supplemented with 0%, 5%, 10%, 15%, 20%, and 25% egg white, and subsequently evaluated for physicochemical parameters, microstructure, rheological behavior, water-holding capacity, and sensory profiles using an electronic nose and electronic tongue. Results showed that 5% egg white significantly improved yogurt stability after one day of refrigeration, whereas 10% supplementation yielded texture comparable to the control but with enhanced protein content, water retention, gel strength, and microstructural uniformity. Over 14 days of cold storage, a gradual decline occurred in physicochemical and structural parameters across all samples; however, flavor profiles remained largely stable, with no adverse effects on sensory quality except for a mild increase in acidity. These findings highlight egg white as a functional ingredient capable of improving yogurt stability and textural quality without compromising flavor, offering new opportunities for the development of high-protein, dual-animal protein fermented dairy products in the functional food industry. Full article
(This article belongs to the Special Issue Functional Gels Loaded with Natural Products)
Show Figures

Figure 1

16 pages, 716 KB  
Article
Physicochemical and Sensory Properties of Frozen Dessert Containing Soy Milk
by Igor Dudarev, Vasylyna Shemet, Tamara Sydoruk, Mykola Andrushchenko, Aleksandr Semenov, Andrzej Borusiewicz and Taras Hutsol
Appl. Sci. 2025, 15(21), 11455; https://doi.org/10.3390/app152111455 - 27 Oct 2025
Viewed by 465
Abstract
The growing consumer interest in plant-based alternatives has encouraged the development of non-dairy versions of traditionally dairy-based products such as ice cream and frozen desserts. Soy milk, with its high protein content and favorable nutritional profile, is a promising alternative to cow’s milk [...] Read more.
The growing consumer interest in plant-based alternatives has encouraged the development of non-dairy versions of traditionally dairy-based products such as ice cream and frozen desserts. Soy milk, with its high protein content and favorable nutritional profile, is a promising alternative to cow’s milk in frozen desserts. The aim of this study was to develop frozen dessert recipes containing soy milk and assess their physical, chemical, and sensory properties. Physicochemical analyses of frozen dessert included measurements of pH, specific gravity, total solids, moisture content, ash content, overrun, and melting resistance. Air sell size distribution was examined microscopically. Sensory evaluation was conducted by a trained panel. Nutritional composition was also analyzed. The pH of the frozen dessert increased from 7.2 to 7.5 with higher soy milk content. Specific gravity of the frozen dessert rose from 589.0 to 634.4 kg/m3, while total solids content increased from 20.61 to 28.99%, and ash content rose from 0.33 to 0.98%. Overrun of the frozen dessert dropped from 73.2% to 50.1%, and melting resistance declined from 72.8% to 54.1% with increased soy milk levels. Frozen dessert samples containing soy milk demonstrated high sensory scores due to their smooth texture, pleasant flavor, and uniform consistency. Replacing cow’s milk with soy milk in frozen dessert recipes is a feasible strategy for producing plant-based frozen desserts with acceptable quality and improved nutritional attributes. Future research should explore flavor enhancement and functional enrichment, particularly through the incorporation of freeze-dried fruits and berries, to diversify the product range and meet consumer demands for health-oriented desserts. This research supports sustainable food innovation by reducing dependence on animal-derived ingredients and promoting the use of plant-based proteins. The development of soy milk-based frozen dessert aligns with global efforts to lower the environmental impact of food production and respond to growing consumer demand for eco-conscious dietary choices. Full article
(This article belongs to the Special Issue Advances in Milk and Dairy Technology)
Show Figures

Figure 1

21 pages, 1140 KB  
Article
Value-Added Carp Roe Salad Supplemented with Orange Carrot Pomace Powder
by Roxana Nicoleta Rațu, Genica-Florina Oncică, Florina Stoica, Oana Emilia Constantin, Nicoleta Stănciuc, Iuliana Aprodu, Doina Georgeta Andronoiu, Marija Banožić, Nada Ćujić Nikolić and Gabriela Râpeanu
Foods 2025, 14(21), 3606; https://doi.org/10.3390/foods14213606 - 23 Oct 2025
Viewed by 319
Abstract
Carrot pomace is the solid residue left after juice extraction from carrots. Carrot pomace, typically seen as waste, is gaining recognition for its sustainability and potential to mitigate food waste while offering essential nutrients (phenolics, carotenoids, and β-carotene), which are recognized for their [...] Read more.
Carrot pomace is the solid residue left after juice extraction from carrots. Carrot pomace, typically seen as waste, is gaining recognition for its sustainability and potential to mitigate food waste while offering essential nutrients (phenolics, carotenoids, and β-carotene), which are recognized for their nutraceutical effects and health benefits. A study was conducted to develop a process for creating an innovative product, specifically a carp roe salad with added value, by incorporating carrot pomace. The innovative aspect is represented by using different proportions of carrot powder, 6% and 12%, when creating new varieties of roe salad. The study assesses the impact of carrot pomace powder on the salad’s antioxidant content, physicochemical properties, color, texture, rheological characteristics, and sensory qualities. The value-added products thus obtained are differentiated by superior phytochemical and nutritional characteristics, especially levels of carotenoids (84.01 ± 3.39–111.01 ± 1.68 mg/100 g DW), and the antioxidant activity (550.66 ± 9.25–588.32 ± 9.41 μM TE/g DW) of the developed salad. The obtained products displayed an improved color and texture profile. The sensory evaluation reveals that the carp roe salad with 12% carrot powder was favorably received by consumers, who valued the nuanced changes in flavor and the improved coloration of the product. Rich in antioxidants, fibers, and natural colorants, carrot pomace enhances the product’s value by increasing antioxidant activity and positively influencing sensory properties such as color and aroma. This research highlights the potential of using food by-products to create innovative, value-added products with improved health benefits. Full article
Show Figures

Figure 1

17 pages, 2100 KB  
Article
Resolving the Texture–Flavor Trade-Off in ‘Annurca’ Apples with an Integrated Postharvest System
by Giandomenico Corrado, Alessandro Mataffo, Pasquale Scognamiglio, Maurizio Teobaldelli and Boris Basile
Foods 2025, 14(20), 3554; https://doi.org/10.3390/foods14203554 - 18 Oct 2025
Viewed by 528
Abstract
The ‘Annurca’ apple, a traditional Italian cultivar protected by the “Melannurca Campana” EU PGI designation, undergoes a mandatory, traditional postharvest reddening process in a melaio. While essential for developing its characteristic flavor and color, this process can also lead to significant textural degradation, [...] Read more.
The ‘Annurca’ apple, a traditional Italian cultivar protected by the “Melannurca Campana” EU PGI designation, undergoes a mandatory, traditional postharvest reddening process in a melaio. While essential for developing its characteristic flavor and color, this process can also lead to significant textural degradation, resulting in a mealy and soft fruit that conflicts with modern consumer expectations. This study investigated an integrated postharvest strategy to resolve this quality trade-off. We evaluated the sensory profile and consumer acceptance of ‘Annurca’ apples subjected to three treatments: traditional melaio reddening (Melaio), a 1-methylcyclopropene treatment alone (MCP), and a combined treatment of MCP followed by melaio reddening (MCP+Melaio). A panel of 534 consumers evaluated the apples for overall liking and the intensity of seven key sensory attributes. The results showed that the integrated ‘MCP+Melaio’ treatment was significantly preferred (Mean liking = 6.61) over both the traditional ‘Melaio’ (M = 5.91) and ‘MCP’ alone (M = 5.91) treatments. This preference was driven by a superior sensory profile that combined the high crunchiness and low mealiness of the MCP treatment with the high perceived aroma intensity and sweetness developed during the melaio phase. Furthermore, consumer segmentation analysis identified four distinct preference clusters, revealing that the integrated treatment’s success derived from its ability to satisfy the divergent priorities of the two largest segments: “Melaio Fans” (37%) and “Texture & Flavor Seekers” (35%). Our findings demonstrate that combining 1-MCP with traditional practices creates a synergistic effect, producing a high-quality apple that is texturally superior, aromatically intense, and has an extended sensory shelf-life. This integrated approach offers a scientifically validated and practical solution to enhance the quality and consistency of ‘Annurca’ apple production. Full article
(This article belongs to the Section Sensory and Consumer Sciences)
Show Figures

Figure 1

19 pages, 877 KB  
Article
Estimation of the Antifungal Threshold of Thyme Essential Oil for Bread Preservation, Ensuring Consumer Acceptance and Product Quality
by Ricardo H. Hernández-Figueroa, Aurelio López-Malo, Nelly Ramírez-Corona and Emma Mani-López
Foods 2025, 14(20), 3549; https://doi.org/10.3390/foods14203549 - 18 Oct 2025
Viewed by 411
Abstract
The replacement of synthetic preservatives with natural alternatives is increasingly important in bakery production. This study examined the antifungal activity of thyme essential oil (TEO) against bread spoilage molds and its impact on product quality and consumer acceptance. TEO was tested at concentrations [...] Read more.
The replacement of synthetic preservatives with natural alternatives is increasingly important in bakery production. This study examined the antifungal activity of thyme essential oil (TEO) against bread spoilage molds and its impact on product quality and consumer acceptance. TEO was tested at concentrations from 0 to 200 ppm against Aspergillus flavus and Penicillium expansum in bread and a model system, with mold responses modeled using the Gompertz equation. Because TEO affects the sensory qualities of bread, the kinetic parameters of mold growth were used to estimate the minimum inhibitory concentration (MIC), thereby ensuring a mold-free shelf life without significantly altering sensory properties. Bread samples were analyzed for pH, moisture, water activity, texture, specific volume, and sensory attributes (odor, flavor, texture, and acceptability). Residual thymol and carvacrol (measured using GC-MS) were also evaluated. The retention of thymol and carvacrol in baked bread was 75–80%. The tested TEO concentrations did not alter the moisture content, pH, or water activity of bread, while the specific volume was reduced and the width-to-height ratio increased as the TEO concentration increased. At concentrations below 100 ppm, TEO enhanced bread softness, while higher levels (>150 ppm) slightly increased hardness. Sensory testing showed no significant differences in color or texture (p > 0.05). At 50 ppm, TEO imparted a subtle thyme aroma and flavor, improving the sensory profile. At 100 and 150 ppm, the aroma and flavor became more pronounced and were well accepted. However, at 200 ppm, the thyme aroma and flavor decreased overall acceptance. In bread, the MIC of TEO for A. flavus ranges from 104.2 ppm (200 h delay) to 120.8 ppm (250 h), and for P. expansum, from 106.6 ppm (200 h) to 123.6 ppm (250 h). The MICs (100–125 ppm) fall within sensory acceptable scores, indicating that TEO can delay mold growth while maintaining bread quality. Moderate levels of TEO extended the mold-free shelf life of bread by providing microbial control and preserving its sensory properties. Full article
(This article belongs to the Section Food Packaging and Preservation)
Show Figures

Figure 1

19 pages, 1708 KB  
Article
Assessment of Physicochemical Properties and Consumer Preferences of Multi-Millet Extruded Snacks Using a Fuzzy Logic Approach
by Tej Bhan Singh, Ramesh Kumar Saini, Ravinder Kaushik, Raju Sasikumar, Vivek Kambhampati, Seema Singh and Prince Chawla
Foods 2025, 14(20), 3517; https://doi.org/10.3390/foods14203517 - 16 Oct 2025
Viewed by 439
Abstract
This study investigated the physicochemical characteristics, functional and technological properties, and consumer acceptability of multi-millet extruded snacks using a fuzzy logic approach, with particular emphasis on key sensory parameters: color, flavor, taste, and texture. Four formulations were developed using varying proportions of proso, [...] Read more.
This study investigated the physicochemical characteristics, functional and technological properties, and consumer acceptability of multi-millet extruded snacks using a fuzzy logic approach, with particular emphasis on key sensory parameters: color, flavor, taste, and texture. Four formulations were developed using varying proportions of proso, kodo, and foxtail millets: S1 (50% proso millet), S2 (50% kodo millet), S3 (50% foxtail millet), and S4 (33% each). Physicochemical analysis indicated minimal nutrient (fiber, ash, and protein) loss during extrusion, while technological properties such as water absorption index (WAI: 5.71 g/g), water solubility index (WSI: 5.66–6.61%), and bulk density (0.13 to 0.16 g/cm3) yielded favorable results, contributing to improved texture and taste. The observed changes in starch structure positively influenced the organoleptic qualities of the snacks. Sensory evaluation, conducted by a 20-member panel, revealed that S3 (50% foxtail millet) received the highest acceptability scores, followed by S4, S2, and S1, and was rated as ‘very good.’ Among the sensory attributes, taste emerged as the most critical factor influencing consumer preference, followed by texture, flavor, and color. This study emphasizes the importance of integrating sensory analysis with fuzzy logic modeling to systematically optimize the formulation and processing conditions. This strategy enhances product quality by aligning technological functionality with sensory appeal, offering a robust framework for the development of consumer-preferred, health-oriented snacks and reducing the risk of market failure. Full article
(This article belongs to the Section Food Quality and Safety)
Show Figures

Graphical abstract

15 pages, 1505 KB  
Article
The Physicochemical, Sensory, and Functional Properties of Yogurt Containing Millet and Milk
by Hui Wang, Yingyu Zhang, Yuxuan Han, Jiaxin Hou, Yingjun Zuo, Yan Li and Hua Wu
Foods 2025, 14(20), 3491; https://doi.org/10.3390/foods14203491 - 14 Oct 2025
Viewed by 519
Abstract
With growing consumer demand for functional dairy products, developing yogurts enriched with natural bioactive ingredients has become a research focus. Millet, a traditional cereal rich in polyphenols and dietary fiber, remains understudied in fermented dairy applications. This study evaluated the physicochemical properties, sensory [...] Read more.
With growing consumer demand for functional dairy products, developing yogurts enriched with natural bioactive ingredients has become a research focus. Millet, a traditional cereal rich in polyphenols and dietary fiber, remains understudied in fermented dairy applications. This study evaluated the physicochemical properties, sensory quality, and functional activities of yogurt co-fermented with millet. Millet liquid, pre-treated through gelatinization and α-amylase liquefaction, was co-fermented with milk at addition ratios of 40% and 60% (w/w). The results indicated that millet liquid increased Lactobacillus delbrueckii subsp. Bulgaricus viability (8.55–8.58 log CFU/g vs. 8.26 log CFU/g in the control), improved viscosity (up to 1.0–1.6-fold higher than the control), enhanced texture properties (51–65-fold increase in springiness, 4.3–4.6-fold higher chewiness), and reduced syneresis (18.6–49.2% lower than the control). Sensory evaluation revealed superior flavor and sweetness in millet-enriched yogurt, achieving significantly higher scores than plain yogurt (p < 0.05). Functionally, the 60% millet yogurt showed 77.8% and 84.3% higher DPPH and ABTS radical scavenging capacities, respectively. Additionally, it suppressed DSS-induced inflammatory cytokine secretion in Caco-2 cells (27.2–69.7% inhibition of TNF-α, IL-6, and IL-1β). The improved antioxidant and anti-inflammatory activities may be attributed to polyphenol release from millet. This work highlights the potential of millet–milk co-fermentation for developing yogurts with enhanced texture, sensory appeal, and bioactive properties. Full article
(This article belongs to the Section Nutraceuticals, Functional Foods, and Novel Foods)
Show Figures

Graphical abstract

22 pages, 1931 KB  
Article
The Effect of a Multi-Component Plant Supplement on the Nutritional Value of Meat Patties
by Gulnur Nurymkhan, Zhanar Kalibekkyzy, Duman Orynbekov, Bakhytkul Assenova, Aray Kambarova, Assel Dautova, Aigul Maizhanova, Gulnara Zhumanova, Zhibek Atambayeva and Eleonora Okuskhanova
Processes 2025, 13(10), 3171; https://doi.org/10.3390/pr13103171 - 6 Oct 2025
Viewed by 429
Abstract
Growing consumer demand for healthier meat products with clean-label ingredients has increased interest in plant-based fortification strategies. The present study evaluated the effects of a multicomponent cereal supplement comprising rice (35%), buckwheat (20%), oats (20%), and corn (25%) on the physicochemical, functional, oxidative, [...] Read more.
Growing consumer demand for healthier meat products with clean-label ingredients has increased interest in plant-based fortification strategies. The present study evaluated the effects of a multicomponent cereal supplement comprising rice (35%), buckwheat (20%), oats (20%), and corn (25%) on the physicochemical, functional, oxidative, hydrolytic, and sensory properties of meat patties. Four formulations were prepared with 0% (control), 5%, 10%, and 15% supplement inclusion. At higher inclusion levels of the cereal supplement, the patties showed reduced moisture, protein, and fat contents, while ash and carbohydrate levels increased. Conversely, ash content increased from 1.38% to 2.82%, and carbohydrates rose to 8.99%. pH remained stable (5.92–6.04), whereas aw decreased significantly at 10% (0.921) and 15% (0.889) inclusion (p < 0.05). Functional tests showed dose-dependent improvements in water-binding capacity, which increased from 65.98% in the control to 71.58% at 10% supplement, and in fat retention, which rose from 38.3% to 54.14% under the same conditions, with optimal performance observed at 10% inclusion. TBARS values in 10% and 15% formulations were 13–20% lower than control throughout storage (p < 0.05). The increase in acid number was significantly slower in supplemented patties, indicating that the cereal blend effectively inhibited lipid hydrolysis during storage. Sensory evaluation revealed maximal acceptability at 10% inclusion, with declines at 15% due to grainy texture and flavor dilution. These findings establish 10% multicomponent cereal supplementation as a promising strategy to enhance yield, shelf-life stability, and consumer appeal of meat patties without compromising processing parameters. Full article
Show Figures

Figure 1

20 pages, 7147 KB  
Article
Application Potential of Lion’s Mane Mushroom in Soy-Based Meat Analogues by High Moisture Extrusion: Physicochemical, Structural and Flavor Characteristics
by Yang Gao, Song Yan, Kaixin Chen, Qing Chen, Bo Li and Jialei Li
Foods 2025, 14(19), 3402; https://doi.org/10.3390/foods14193402 - 1 Oct 2025
Viewed by 672
Abstract
The aim of this work was to systematically evaluate the effects of Lion’s Mane Mushroom powder (LMM, 0–40%) on the physicochemical properties, structural characteristics, and flavor profile of soy protein isolate-based high-moisture meat analogues (HMMAs). Optimal incorporation of 20% LMM significantly enhanced product [...] Read more.
The aim of this work was to systematically evaluate the effects of Lion’s Mane Mushroom powder (LMM, 0–40%) on the physicochemical properties, structural characteristics, and flavor profile of soy protein isolate-based high-moisture meat analogues (HMMAs). Optimal incorporation of 20% LMM significantly enhanced product quality by acting as a secondary phase that inhibited lateral protein aggregation while promoting longitudinal alignment, achieving a peak fibrous degree of 1.54 with dense, ordered fibers confirmed by scanning electron microscopy. Rheological analysis showed that LMM improved viscoelasticity (G′ > G″) through β-glucan; however, excessive addition (≥30%) compromised structural integrity due to insoluble dietary fiber disrupting protein network continuity, concurrently reducing thermal stability as denaturation enthalpy (ΔH) decreased from 1176.6 to 776.3 J/g. Flavor analysis identified 285 volatile compounds in HMMAs with 20% LMM, including 98 novel compounds, and 101 flavor metabolites were upregulated. The mushroom-characteristic compound 1-octen-3-ol exhibited a marked increase in its Relative Odor Activity Value of 18.04, intensifying mushroom notes. Furthermore, LMM polysaccharides promoted the Maillard reaction, increasing the browning index from 48.77 to 82.07, while β-glucan induced a transition in protein secondary structure from random coil to β-sheet configurations via intramolecular hydrogen bonding. In conclusion, 20% LMM incorporation synergistically improved texture, fibrous structure, and flavor complexity—particularly enhancing mushroom aroma. This research offers valuable insights and a foundation for future research for developing high-quality fungal protein-based meat analogues Full article
Show Figures

Figure 1

27 pages, 748 KB  
Review
The Silent Revolution of Brewer’s Spent Grain: Meat/Food Innovations Through Circularity, Resource Recovery, and Nutritional Synergy—A Review
by Daniela Tapia, John Quiñones, Ailin Martinez, Erika Millahual, Paulo Cezar Bastianello Campagnol, Néstor Sepúlveda and Rommy Diaz
Foods 2025, 14(19), 3389; https://doi.org/10.3390/foods14193389 - 30 Sep 2025
Viewed by 1301
Abstract
Brewer’s spent grain enhances nutritional quality by increasing fiber and plant-based proteins and reducing the need for synthetic additives. Technologies such as extrusion and fermentation transform BSG into functional ingredients that improve texture and stability. A significant increase in antioxidant capacity was observed [...] Read more.
Brewer’s spent grain enhances nutritional quality by increasing fiber and plant-based proteins and reducing the need for synthetic additives. Technologies such as extrusion and fermentation transform BSG into functional ingredients that improve texture and stability. A significant increase in antioxidant capacity was observed in enriched foods; for example, in burgers, BSG improved fiber and protein levels, while decreasing fat and calories without negatively affecting sensory acceptance. In sausages, substituting 5% of pork with BSG achieved acceptance similar to traditional formulations, and hybrid formulations with BSG maintained improved protein content while preserving texture. However, concentrations above 20% may negatively impact sensory and technological properties, by introducing undesirable flavors or altering texture. Thus, BSG is a promising source of high-value functional ingredients that contribute to the circular economy and healthier, sustainable foods. Nonetheless, more in vivo studies are needed to validate the health benefits, understand the interactions in complex matrices, assess the shelf life, and evaluate the long-term sensory perception. The “Silent Revolution” of BSG requires a multidisciplinary approach that integrates science, technology, sustainability, and effective communication with consumers. Full article
(This article belongs to the Special Issue New Research in Brewing: Ingredients, Brewing and Quality Improvement)
Show Figures

Figure 1

17 pages, 375 KB  
Article
Quality Assessment of Sremska, Nitrite-Free Dry Fermented Sausage Pasteurized with Mild Heat Treatment
by Miroslav Ducic, Jelena Petrovic, Jelena Vranesevic, Danijela Vranic, Milan Baltic and Ljilja Torovic
Foods 2025, 14(19), 3339; https://doi.org/10.3390/foods14193339 - 26 Sep 2025
Viewed by 522
Abstract
The quality of the Serbian dry fermented sausage, Sremska, was evaluated without added nitrite and pasteurized post-ripening. As an extra safety measure to eliminate Salmonella, mild heat treatments (47 °C/6.5 h or 53 °C/22.1 min) were used. The effect of starter culture [...] Read more.
The quality of the Serbian dry fermented sausage, Sremska, was evaluated without added nitrite and pasteurized post-ripening. As an extra safety measure to eliminate Salmonella, mild heat treatments (47 °C/6.5 h or 53 °C/22.1 min) were used. The effect of starter culture on product quality was also examined. Sausages were tested at the start of production and after 30 days of storage, measuring physicochemical properties, microbiota populations, biogenic amines, lipid oxidation, and sensory qualities. The absence of nitrite did not cause significant changes in microbiota. Pasteurization lowered total viable counts and lactic acid bacteria by up to 3.5 log CFU/g, especially in sausages with starter culture. Enterobacteriaceae were fully eliminated only in pasteurized products. Pathogens like Listeria monocytogenes and Staphylococcus aureus were not detected. Moderate biogenic amine levels were found in all samples (189.4–312.2 mg/kg), with higher amounts in sausages without nitrite. Neither starter culture nor pasteurization significantly affected biogenic amine levels, although pasteurization helped limit their buildup during storage. Lipid oxidation remained low (0.14–0.25 mg/kg), with slightly higher levels in sausages with starter culture; no changes due to pasteurization or nitrite absence were observed. Sensory evaluation showed all sausages received high scores. Texture, juiciness, aroma, and flavor of sausages made with starter culture were unaffected by nitrite absence or pasteurization. Sausages without starter culture scored slightly lower without nitrite compared to those with it. Pasteurization improved texture, juiciness, aroma plus flavor, and overall acceptability of all sausages without starter culture. Overall, the study concluded that nitrite-free Sremska sausages, when pasteurized with a mild heat process, maintained good quality and enhanced safety. Full article
Show Figures

Figure 1

Back to TopTop