Sign in to use this feature.

Years

Between: -

Subjects

remove_circle_outline
remove_circle_outline
remove_circle_outline
remove_circle_outline
remove_circle_outline
remove_circle_outline
remove_circle_outline
remove_circle_outline
remove_circle_outline

Journals

remove_circle_outline
remove_circle_outline
remove_circle_outline
remove_circle_outline
remove_circle_outline

Article Types

Countries / Regions

remove_circle_outline
remove_circle_outline
remove_circle_outline
remove_circle_outline

Search Results (329)

Search Parameters:
Keywords = sun sensor

Order results
Result details
Results per page
Select all
Export citation of selected articles as:
15 pages, 3346 KB  
Article
HDR Merging of RAW Exposure Series for All-Sky Cameras: A Comparative Study for Circumsolar Radiometry
by Paul Matteschk, Max Aragón, Jose Gomez, Jacob K. Thorning, Stefanie Meilinger and Sebastian Houben
J. Imaging 2025, 11(12), 442; https://doi.org/10.3390/jimaging11120442 - 11 Dec 2025
Viewed by 219
Abstract
All-sky imagers (ASIs) used in solar energy meteorology face an extreme intra-image dynamic range, with the circumsolar neighborhood orders of magnitude brighter than the diffuse dome. Many operational ASI pipelines address this gap with high-dynamic-range (HDR) bracketing inside the camera’s image signal processor [...] Read more.
All-sky imagers (ASIs) used in solar energy meteorology face an extreme intra-image dynamic range, with the circumsolar neighborhood orders of magnitude brighter than the diffuse dome. Many operational ASI pipelines address this gap with high-dynamic-range (HDR) bracketing inside the camera’s image signal processor (ISP), i.e., after demosaicing and color processing in a nonlinear 8-bit RGB domain. Near the Sun, such ISP-domain HDR can down-weight the shortest exposure, retain clipped or near-clipped samples from longer frames, and compress highlight contrast, thereby increasing circumsolar saturation and flattening aureole gradients. A radiance-linear HDR fusion in the sensor/RAW domain (RAW–HDR) is therefore contrasted with the vendor ISP-based HDR mode (ISP–HDR). Solar-based geometric calibration enables Sun-centered analysis. Paired, interleaved acquisitions under clear-sky and broken-cloud conditions are evaluated using two circumsolar performance criteria per RGB channel: (i) saturated-area fraction in concentric rings and (ii) a median-based radial gradient in defined arcs. All quantitative analyses operate on the radiance-linear HDR result; post-merge tone mapping is only used for visualization. Across conditions, ISP–HDR exhibits roughly double the near-saturation within 0–4° of the Sun and about a three- to fourfold weaker circumsolar radial gradient within 0–6° relative to RAW–HDR. These findings indicate that radiance-linear fusion in the RAW domain better preserves circumsolar structure than the examined ISP-domain HDR mode and thus provides more suitable input for downstream tasks such as cloud–edge detection, aerosol retrieval, and irradiance estimation. Full article
(This article belongs to the Special Issue Techniques and Applications of Sky Imagers)
Show Figures

Graphical abstract

23 pages, 3344 KB  
Article
Simulation and Design of a CubeSat-Compatible X-Ray Photovoltaic Payload Using Timepix3 Sensors
by Ashraf Farahat, Juan Carlos Martinez Oliveros and Stuart D. Bale
Aerospace 2025, 12(12), 1072; https://doi.org/10.3390/aerospace12121072 - 30 Nov 2025
Viewed by 208
Abstract
This study investigates the use of Si and CdTe-based Timepix3 detectors for photovoltaic energy conversion using solar X-rays and other high-energy electromagnetic radiation in space. As space missions increasingly rely on miniaturized platforms like CubeSats, power generation in compact and radiation-prone environments remains [...] Read more.
This study investigates the use of Si and CdTe-based Timepix3 detectors for photovoltaic energy conversion using solar X-rays and other high-energy electromagnetic radiation in space. As space missions increasingly rely on miniaturized platforms like CubeSats, power generation in compact and radiation-prone environments remains a critical challenge. Conventional solar panels are limited by size and spectral sensitivity, prompting the need for alternative energy harvesting solutions—particularly in the high-energy X-ray domain. A novel CubeSat-compatible payload design incorporates a UV-visible filter to isolate incoming X-rays, which are then absorbed by semiconductor detectors to generate electric current through ionization. Laboratory calibration was performed using Fe-55, Ba-133, and Am-241 sources to compare spectral response and clustering behaviour. CdTe consistently outperformed Si in detection efficiency, spectral resolution, and cluster density due to its higher atomic number and material density. Equalization techniques further improved pixel threshold uniformity, enhancing spectroscopic reliability. In addition to experimental validation, simulations were conducted to quantify the expected energy conversion performance under orbital conditions. Under quiet-Sun conditions at 500 km LEO, CdTe absorbed up to 1.59 µW/cm2 compared to 0.69 µW/cm2 for Si, with spectral power density peaking between 10 and 20 keV. The photon absorption efficiency curves confirmed CdTe’s superior stopping power across the 1–100 keV range. Under solar flare conditions, absorbed power increased dramatically, up to 159 µW/cm2 for X-class and 15.9 µW/cm2 for C-class flares with CdTe sensors. A time-based energy model showed that a 10 min X-class flare could yield nearly 1 mJ/cm2 of harvested energy. These results validate the concept of a compact photovoltaic payload capable of converting high-energy solar radiation into electrical power, with dual-use potential for both energy harvesting and radiation monitoring aboard small satellite platforms. Full article
(This article belongs to the Special Issue Small Satellite Missions (2nd Edition))
Show Figures

Figure 1

21 pages, 10076 KB  
Article
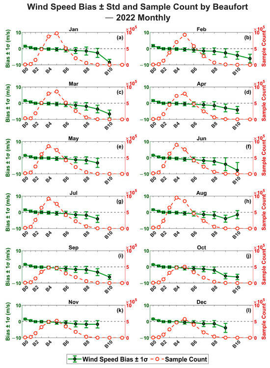
Intercomparison, Fusion and Application of FY-3E/WindRAD and HY-2B/SCA Ocean Surface Wind Products for Tropical Cyclone Monitoring
by Zonghao Qian, Wei Yu, Wei Guo, Lina Bai and Xiaoqin Lu
Remote Sens. 2025, 17(23), 3809; https://doi.org/10.3390/rs17233809 - 24 Nov 2025
Viewed by 387
Abstract
Ocean surface wind vector (OWV) is a key variable for ocean remote sensing and tropical cyclone (TC) monitoring. This study presents the first comprehensive intercomparison of Ku-band OWV products from FY-3E/WindRAD and HY-2B/SCA scatterometers using full-year data from 2022 (583,805 spatiotemporal collocations), with [...] Read more.
Ocean surface wind vector (OWV) is a key variable for ocean remote sensing and tropical cyclone (TC) monitoring. This study presents the first comprehensive intercomparison of Ku-band OWV products from FY-3E/WindRAD and HY-2B/SCA scatterometers using full-year data from 2022 (583,805 spatiotemporal collocations), with both sensors sampling the morning–evening local-time sector in sun-synchronous orbits. Results indicate strong agreement in wind speed (R = 0.95; mean bias −0.47 m/s; RMSE 1.30 m/s) and wind direction (mean bias 0.22°; std 28.13°) for wind speeds ≥ 3.4 m/s (Beaufort scale B3 and above), with the highest consistency across Beaufort scale 3–8 (B3–B8); however, at wind speeds greater than 20.8 m/s (B9) the bias increases. A fusion leveraging FY-3E’s fine resolution and HY-2B’s wide coverage is implemented and applied to Super Typhoon Hinnamnor (2022), enhancing the spatial coverage and structural detail of TC winds. Quadrant 34 kt wind radii (R34) are estimated from the fused wind fields and evaluated against the best-track data from the Joint Typhoon Warning Center (JTWC), showing close agreement during compact, symmetric TC stages but larger differences during structural reorganization. Overall, the findings confirm inter-satellite consistency for the two Chinese scatterometers and demonstrate the practical value of a multi-source fusion approach that benefits TC monitoring, wind radii estimation, and marine weather services. Full article
(This article belongs to the Special Issue Remote Sensing Applications in Ocean Observation (Third Edition))
Show Figures

Figure 1

27 pages, 6501 KB  
Article
Design, Modeling, and Experimental Validation of a Dual-Axis Solar Tracking System with Embedded Control and Monocular Vision
by Adán Acosta-Banda, Verónica Aguilar-Esteva, Eduardo Campos-Mercado, Miguel Patiño-Ortiz, Ricardo Carreño-Aguilera, Jesús Antonio Enriquez-Santiago and Hugo Francisco Abundis-Fong
Energies 2025, 18(22), 5951; https://doi.org/10.3390/en18225951 - 12 Nov 2025
Viewed by 519
Abstract
The growing demand for renewable energy requires efficient technologies to maximize solar resource utilization. This study presents the development and validation of a novel dual-axis solar tracking system that integrates kinematic modeling, embedded control, and a monocular vision algorithm. Unlike fixed photovoltaic systems, [...] Read more.
The growing demand for renewable energy requires efficient technologies to maximize solar resource utilization. This study presents the development and validation of a novel dual-axis solar tracking system that integrates kinematic modeling, embedded control, and a monocular vision algorithm. Unlike fixed photovoltaic systems, the proposed design dynamically aligns solar panels with the sun’s position using a Denavit–Hartenberg-based model and real-time image analysis. The system was experimentally validated in the Isthmus of Tehuantepec, Mexico, a high-irradiance region. Results showed reliable sensor calibration with errors below 3%, and an 18% increase in energy capture compared to a fixed panel system. The prototype achieved a maximum output of 800 W using four 205 Wp modules. This work contributes an innovative, replicable approach to enhance solar energy harvesting under real operating conditions. Full article
(This article belongs to the Special Issue Development and Efficient Utilization of Renewable and Clean Energy)
Show Figures

Figure 1

20 pages, 8158 KB  
Article
Reconstructing Global Chlorophyll-a Concentration for the COCTS Aboard Chinese Ocean Color Satellites via the DINEOF Method
by Xiaomin Ye, Mingsen Lin, Bin Zou, Xiaomei Wang and Zhijia Lin
Remote Sens. 2025, 17(20), 3433; https://doi.org/10.3390/rs17203433 - 15 Oct 2025
Viewed by 708
Abstract
The chlorophyll-a (Chl-a) concentration, a critical parameter for characterizing marine primary productivity and ecological health, plays a vital role in providing ecological environment monitoring and climate change assessment while serving as a core retrieval product in ocean color remote sensing. Currently, more than [...] Read more.
The chlorophyll-a (Chl-a) concentration, a critical parameter for characterizing marine primary productivity and ecological health, plays a vital role in providing ecological environment monitoring and climate change assessment while serving as a core retrieval product in ocean color remote sensing. Currently, more than ten ocean color satellites operate globally, including China’s HY-1C, HY-1D and HY-1E satellites. However, significant spatial data gaps exist in Chl-a concentration retrieval from satellites because of cloud cover, sun-glint, and limitation of sensor swath. This study aimed to systematically enhance the spatiotemporal integrity of ocean monitoring data through multisource data merging and reconstruction techniques. We integrated Chl-a concentration datasets from four major sensor types—Moderate Resolution Imaging Spectroradiometer (MODIS), Visible Infrared Imaging Radiometer Suite (VIIRS), Ocean and Land Color Instrument (OLCI), and Chinese Ocean Color and Temperature Scanner (COCTS)—and quantitatively evaluated their global coverage performance under different payload combinations. The key findings revealed that single-sensor 4-day continuous observation achieved effective coverage levels ranging from only 10.45–26.1%, while multi-sensor merging substantially increased coverage, namely, homogeneous payload merging provided 25.7% coverage for two MODIS satellites, 41.1% coverage for three VIIRS satellites, 24.8% coverage for two OLCI satellites, and 37.1% coverage for three COCTS satellites, with 10-payload merging increasing the coverage rate to 55.4%. Employing the Data Interpolating Empirical Orthogonal Functions (DINEOFS) algorithm, we successfully reconstructed data for China’s ocean color satellites. Validation against VIIRS reconstructions indicated high consistency (a mean relative error of 26% and a linear correlation coefficient of 0.93), whereas self-verification yielded a mean relative error of 27% and a linear correlation coefficient of 0.90. Case studies in Chinese offshore and adjacent waters, waters east of Mindanao Island and north of New Guinea, demonstrated the successful reconstruction of spatiotemporal Chl-a dynamics. The results demonstrated that China’s HY-1C, HY-1D, and HY-1E satellites enable daily global-scale Chl-a reconstruction. Full article
Show Figures

Figure 1

18 pages, 813 KB  
Article
Heart Rate Estimation Using FMCW Radar: A Two-Stage Method Evaluated for In-Vehicle Applications
by Jonas Brandstetter, Eva-Maria Knoch and Frank Gauterin
Biomimetics 2025, 10(9), 630; https://doi.org/10.3390/biomimetics10090630 - 17 Sep 2025
Viewed by 2484
Abstract
Assessing the driver’s state in real time is a critical challenge in modern vehicle safety systems, as human factors account for the vast majority of traffic accidents. Heart rate (HR) is a key physiological indicator of the driver’s condition, yet contactless measurements in [...] Read more.
Assessing the driver’s state in real time is a critical challenge in modern vehicle safety systems, as human factors account for the vast majority of traffic accidents. Heart rate (HR) is a key physiological indicator of the driver’s condition, yet contactless measurements in dynamic in-vehicle environments remain difficult due to motion artifacts, vibrations, and varying operational conditions. This paper presents a novel two-stage method for HR estimation using a commercial 60 GHz frequency-modulated continuous wave (FMCW) radar sensor, specifically designed and validated for in-vehicle applications. In the first stage, coarse HR estimation is performed using the discrete wavelet transform (DWT) and autoregressive (AR) spectral analysis. The second stage refines the estimate using an inverse application of the relevance vector machine (RVM) approach, leveraging a narrowed frequency window derived from Stage 1. Final HR estimates are stabilized through sequential Kalman filtering (SKF) across time segments. The system was implemented using an Infineon BGT60TR13C radar module installed in the sun visor of a passenger vehicle. Extensive data collection was conducted during real-world driving across diverse traffic scenarios. The results demonstrate robust HR estimations with an accuracy comparable to that of commercial wearable devices, validated against a Polar H10 chest strap. This method offers several advantages over prior work, including short measurement windows (5 s), operation under varying lighting and clothing conditions, and validation in realistic driving environments. In this sense, the method contributes to the field of biomimetics by transferring the biological principles of continuous vital sign perception to technical sensorics in the automotive domain. Future work will explore the fusion of sensors with visual methods and potential extension to heart rate variability (HRV) estimations to enhance driver monitoring systems (DMSs) further. Full article
(This article belongs to the Section Bioinspired Sensorics, Information Processing and Control)
Show Figures

Figure 1

37 pages, 6540 KB  
Article
Intelligent Systems for Autonomous Mining Operations: Real-Time Robust Road Segmentation
by Claudio Urrea and Maximiliano Vélez
Systems 2025, 13(9), 801; https://doi.org/10.3390/systems13090801 - 13 Sep 2025
Cited by 1 | Viewed by 1041
Abstract
Intelligent autonomous systems in open-pit mining operations face critical challenges in perception and decision-making due to sensor-based visual degradations, particularly lens soiling and sun glare, which significantly compromise the performance and safety of integrated mining automation systems. We propose a comprehensive intelligent framework [...] Read more.
Intelligent autonomous systems in open-pit mining operations face critical challenges in perception and decision-making due to sensor-based visual degradations, particularly lens soiling and sun glare, which significantly compromise the performance and safety of integrated mining automation systems. We propose a comprehensive intelligent framework leveraging single-domain generalization with traditional data augmentation techniques, specifically Photometric Distortion (PD) and Contrast Limited Adaptive Histogram Equalization (CLAHE), integrated within the BiSeNetV1 architecture. Our systematic approach evaluated four state-of-the-art backbones: ResNet-50, MobileNetV2 (Convolutional Neural Networks (CNN)-based), SegFormer-B0, and Twins-PCPVT-S (ViT-based) within an end-to-end autonomous system architecture. The model was trained on clean images from the AutoMine dataset and tested on degraded visual conditions without requiring architectural modifications or additional training data from target domains. ResNet-50 demonstrated superior system robustness with mean Intersection over Union (IoU) of 84.58% for lens soiling and 80.11% for sun glare scenarios, while MobileNetV2 achieved optimal computational efficiency for real-time autonomous systems with 55.0 Frames Per Second (FPS) inference speed while maintaining competitive accuracy (81.54% and 71.65% mIoU respectively). Vision Transformers showed superior stability in system performance but lower overall performance under severe degradations. The proposed intelligent augmentation-based approach maintains high accuracy while preserving real-time computational efficiency, making it suitable for deployment in autonomous mining vehicle systems. Traditional augmentation approaches achieved approximately 30% superior performance compared to advanced GAN-based domain generalization methods, providing a practical solution for robust perception systems without requiring expensive multi-domain training datasets. Full article
(This article belongs to the Section Artificial Intelligence and Digital Systems Engineering)
Show Figures

Figure 1

25 pages, 33918 KB  
Article
A Digital Twin Framework for Visual Perception in Electrical Substations Under Dynamic Environmental Conditions
by Tiago Trindade Ribeiro, Andre Gustavo Scolari Conceição, Leonardo de Mello Honório, Iago Zanuti Biundini and Celso Moreira Lima
Sensors 2025, 25(18), 5689; https://doi.org/10.3390/s25185689 - 12 Sep 2025
Viewed by 1131
Abstract
Electrical power substations are visually complex and safety-critical environments with restricted access and highly variable lighting; a digital twin (DT) framework provides a controlled and repeatable context for developing and validating vision-based inspections. This paper presents a novel sensor-centric DT framework that combines [...] Read more.
Electrical power substations are visually complex and safety-critical environments with restricted access and highly variable lighting; a digital twin (DT) framework provides a controlled and repeatable context for developing and validating vision-based inspections. This paper presents a novel sensor-centric DT framework that combines accurate 3D substation geometry with physically based lighting dynamics (realistic diurnal variation, interactive sun-pose control) and representative optical imperfections. A Render-In-The-Loop (RITL) pipeline generates synthetic datasets with configurable sensor models, variable lighting, and time-dependent material responses, including dynamic object properties. A representative case study evaluates how well the framework reproduces the typical perceptual challenges of substation inspection, and the results indicate strong potential to support the development, testing, and benchmarking of robotic perception algorithms in large-scale, complex environments. This research is useful to utility operators and asset management teams, robotics/computer vision researchers, and inspection and sensor platform vendors by enabling the generation of reproducible datasets, benchmarking, and pre-deployment testing. Full article
Show Figures

Figure 1

6 pages, 1559 KB  
Proceeding Paper
Validating TIR-Derived Total Column Water Vapor Using Sun Photometers and GPS Measurements
by Ilias Agathangelidis, Yifang Ban, Constantinos Cartalis and Konstantinos Philippopoulos
Environ. Earth Sci. Proc. 2025, 35(1), 6; https://doi.org/10.3390/eesp2025035006 - 8 Sep 2025
Viewed by 1475
Abstract
Total column water vapor (TCWV) is essential for assessing Earth’s radiation budget and hydrological cycle and plays a crucial role in accurate Land Surface Temperature (LST) retrieval from thermal infrared (TIR) imagery. Although TCWV is commonly estimated using near-infrared or microwave observations, TIR-based [...] Read more.
Total column water vapor (TCWV) is essential for assessing Earth’s radiation budget and hydrological cycle and plays a crucial role in accurate Land Surface Temperature (LST) retrieval from thermal infrared (TIR) imagery. Although TCWV is commonly estimated using near-infrared or microwave observations, TIR-based methods offer an efficient alternative; however, their long-term validation remains limited. This study evaluates TCWV retrieval from Landsat 8/9 Thermal Infrared Sensor (TIRS) using an updated version of the Modified Split-Window Covariance-Variance Ratio (MSWCVR) method, implemented on the Google Earth Engine platform, across Europe. Validation is conducted using AERONET sun photometer measurements (2013–2024) and GPS-based TCWV estimates enhanced with meteorological inputs (2020). Retrieval accuracy is evaluated analyzed in relation to seasonal variations, surface characteristics (e.g., land cover, altitude) and background climate. Results demonstrate robust performance of the TIR-based method, with an average Mean Absolute Error (MAE) of 0.6 gr/cm2 across stations and datasets, supporting its applicability for LST retrieval and broader environmental monitoring applications. Full article
Show Figures

Figure 1

28 pages, 9196 KB  
Article
DAR-MDE: Depth-Attention Refinement for Multi-Scale Monocular Depth Estimation
by Saddam Abdulwahab, Hatem A. Rashwan, Moumen T. El-Melegy and Domenec Puig
J. Sens. Actuator Netw. 2025, 14(5), 90; https://doi.org/10.3390/jsan14050090 - 1 Sep 2025
Viewed by 1578
Abstract
Monocular Depth Estimation (MDE) remains a challenging problem due to texture ambiguity, occlusion, and scale variation in real-world scenes. While recent deep learning methods have made significant progress, maintaining structural consistency and robustness across diverse environments remains difficult. In this paper, we propose [...] Read more.
Monocular Depth Estimation (MDE) remains a challenging problem due to texture ambiguity, occlusion, and scale variation in real-world scenes. While recent deep learning methods have made significant progress, maintaining structural consistency and robustness across diverse environments remains difficult. In this paper, we propose DAR-MDE, a novel framework that combines an autoencoder backbone with a Multi-Scale Feature Aggregation (MSFA) module and a Refining Attention Network (RAN). The MSFA module enables the model to capture geometric details across multiple resolutions, while the RAN enhances depth predictions by attending to structurally important regions guided by depth-feature similarity. We also introduce a multi-scale loss based on curvilinear saliency to improve edge-aware supervision and depth continuity. The proposed model achieves robust and accurate depth estimation across varying object scales, cluttered scenes, and weak-texture regions. We evaluated DAR-MDE on the NYU Depth v2, SUN RGB-D, and Make3D datasets, demonstrating competitive accuracy and real-time inference speeds (19 ms per image) without relying on auxiliary sensors. Our method achieves a δ < 1.25 accuracy of 87.25% and a relative error of 0.113 on NYU Depth v2, outperforming several recent state-of-the-art models. Our approach highlights the potential of lightweight RGB-only depth estimation models for real-world deployment in robotics and scene understanding. Full article
Show Figures

Figure 1

28 pages, 6643 KB  
Article
MINISTAR to STARLITE: Evolution of a Miniaturized Prototype for Testing Attitude Sensors
by Vanni Nardino, Cristian Baccani, Massimo Ceccherini, Massimo Cecchi, Francesco Focardi, Enrico Franci, Donatella Guzzi, Fabrizio Manna, Vasco Milli, Jacopo Pini, Lorenzo Salvadori and Valentina Raimondi
Sensors 2025, 25(17), 5360; https://doi.org/10.3390/s25175360 - 29 Aug 2025
Viewed by 816
Abstract
Star trackers are critical electro-optical devices used for satellite attitude determination, typically tested using Optical Ground Support Equipment (OGSE). Within the POR FESR 2014–2020 program (funded by Regione Toscana), we developed MINISTAR, a compact electro-optical prototype designed to generate synthetic star fields in [...] Read more.
Star trackers are critical electro-optical devices used for satellite attitude determination, typically tested using Optical Ground Support Equipment (OGSE). Within the POR FESR 2014–2020 program (funded by Regione Toscana), we developed MINISTAR, a compact electro-optical prototype designed to generate synthetic star fields in apparent motion for realistic ground-based testing of star trackers. MINISTAR supports simultaneous testing of up to three units, assessing optical, electronic, and on-board software performance. Its reduced size and weight allow for direct integration on the satellite platform, enabling testing in assembled configurations. The system can simulate bright celestial bodies (Sun, Earth, Moon), user-defined objects, and disturbances such as cosmic rays and stray light. Radiometric and geometric calibrations were successfully validated in laboratory conditions. Under the PR FESR TOSCANA 2021–2027 initiative (also funded by Regione Toscana), the concept was further developed into STARLITE (STAR tracker LIght Test Equipment), a next-generation OGSE with a higher Technology Readiness Level (TRL). Based largely on commercial off-the-shelf (COTS) components, STARLITE targets commercial maturity and enhanced functionality, meeting the increasing demand for compact, high-fidelity OGSE systems for pre-launch verification of attitude sensors. This paper describes the working principles of a generic system, as well as its main characteristics and the early advancements enabling the transition from the initial MINISTAR prototype to the next-generation STARLITE system. Full article
(This article belongs to the Section Physical Sensors)
Show Figures

Figure 1

13 pages, 5109 KB  
Article
Method for Generating Real-Time Indoor Detailed Illuminance Maps Based on Deep Learning with a Single Sensor
by Seung-Taek Oh, You-Bin Lee and Jae-Hyun Lim
Sensors 2025, 25(16), 5154; https://doi.org/10.3390/s25165154 - 19 Aug 2025
Viewed by 1040
Abstract
Emerging lighting technology aims to enhance indoor light quality while conserving energy through control systems that integrate with natural light. In related technologies, it is crucial to identify quickly and accurately indoor light environments that are constantly changing due to natural light. Consequently, [...] Read more.
Emerging lighting technology aims to enhance indoor light quality while conserving energy through control systems that integrate with natural light. In related technologies, it is crucial to identify quickly and accurately indoor light environments that are constantly changing due to natural light. Consequently, a large number of sensors must be installed, but installing multiple sensors would cause an increasing data processing load and inconvenience to users’ activities. Some have attempted to calculate natural light characteristics, such as solar radiation and color temperature cycles, and implement natural light lighting technology by applying deep learning technology. However, there are only a few cases of using deep learning to analyze indoor illuminance, which is essential for commercializing natural light lighting technology. Research on minimizing the number of sensors is also lacking. This paper proposes a method for generating a detailed indoor illuminance map using deep learning, which calculates the illuminance values of the entire indoor area with a single illuminance sensor. A dataset was constructed by collecting dynamically changing indoor illuminance and the position of the sun, and a single sensor was selected through analysis. Then, a DNN model was built to calculate the illuminance of every region of an indoor space by inputting the illuminance measured by a single sensor and the position of the sun, and it was applied to generate a detailed indoor illuminance map. Research has demonstrated that calculating the illuminance levels across an entire indoor area is feasible. Specifically, on clear days with a color temperature anomaly of about 1%, a detailed illuminance map of the indoor space was created, achieving an average MAE of 2.0 Lux or an MAPE of 2.5%. Full article
Show Figures

Figure 1

27 pages, 17353 KB  
Article
A Framework to Retrieve Water Quality Parameters in Small, Optically Diverse Freshwater Ecosystems Using Sentinel-2 MSI Imagery
by Matheus Henrique Tavares, David Guimarães, Joana Roussillon, Valentin Baute, Julien Cucherousset, Stéphanie Boulêtreau and Jean-Michel Martinez
Remote Sens. 2025, 17(15), 2729; https://doi.org/10.3390/rs17152729 - 7 Aug 2025
Cited by 2 | Viewed by 1230
Abstract
Small lakes (<10 km2) provide a range of ecosystem services but are often overlooked in both monitoring efforts and limnological studies. Remote sensing has been increasingly used to complement in situ monitoring or to provide water colour data for unmonitored inland [...] Read more.
Small lakes (<10 km2) provide a range of ecosystem services but are often overlooked in both monitoring efforts and limnological studies. Remote sensing has been increasingly used to complement in situ monitoring or to provide water colour data for unmonitored inland water bodies. However, due to spatial, radiometric, and spectral constraints, it has been heavily focused on large lakes. Sentinel-2 MSI is the first sensor with the capability to consistently retrieve a wide range of essential water quality variables, such as chlorophyll-a concentration (chl-a) and water transparency, in small water bodies, and to provide long time series. Here, we provide and validate a framework for retrieving two variables, chl-a and turbidity, over lakes with diverse optical characteristics using Sentinel-2 imagery. It is based on GRS for atmospheric and sun glint correction, WaterDetect for water detection, and inversion models that were automatically selected based on two different sets of optical water types (OWTs)—one for each variable; for chl-a, we produced a blended product for improved spatial representation. To validate the approach, we compared the products with more than 600 in situ data from 108 lakes located in the Adour–Garonne river basins, ranging from 3 to ∼5000 ha, as well as remote sensing reflectance (Rrs) data collected during 10 field campaigns during the summer and spring seasons. Rrs retrieval (n = 65) was robust for bands 2 to 5, with MAPE varying from 15 to 32% and achieving correlation from 0.74 up to 0.92. For bands 6 to 8A, the Rrs retrieval was much less accurate, being influenced by adjacency effects. Glint removal significantly enhanced Rrs accuracy, with RMSE improving from 0.0067 to 0.0021 sr−1 for band 4, for example. Water quality retrieval showed consistent results, with an MAPE of 56%, an RMSE of 11.4 mg m−3, and an r of 0.76 for chl-a, and an MAPE of 47%, an RMSE of 9.7 NTU, and an r of 0.87 for turbidity, and no significant effect of lake area or lake depth on retrieval errors. The temporal and spatial representations of the selected parameters were also shown to be consistent, demonstrating that the framework is robust and can be applied over lakes as small as 3 ha. The validated methods can be applied to retrieve time series of chl-a and turbidity starting from 2016 and with a frequency of up to 5 days, largely expanding the database collected by water agencies. This dataset will be extremely useful for studying the dynamics of these small freshwater ecosystems. Full article
(This article belongs to the Section Remote Sensing in Geology, Geomorphology and Hydrology)
Show Figures

Figure 1

40 pages, 7941 KB  
Article
Synergistic Hierarchical AI Framework for USV Navigation: Closing the Loop Between Swin-Transformer Perception, T-ASTAR Planning, and Energy-Aware TD3 Control
by Haonan Ye, Hongjun Tian, Qingyun Wu, Yihong Xue, Jiayu Xiao, Guijie Liu and Yang Xiong
Sensors 2025, 25(15), 4699; https://doi.org/10.3390/s25154699 - 30 Jul 2025
Cited by 1 | Viewed by 1132
Abstract
Autonomous Unmanned Surface Vehicle (USV) operations in complex ocean engineering scenarios necessitate robust navigation, guidance, and control technologies. These systems require reliable sensor-based object detection and efficient, safe, and energy-aware path planning. To address these multifaceted challenges, this paper proposes a novel synergistic [...] Read more.
Autonomous Unmanned Surface Vehicle (USV) operations in complex ocean engineering scenarios necessitate robust navigation, guidance, and control technologies. These systems require reliable sensor-based object detection and efficient, safe, and energy-aware path planning. To address these multifaceted challenges, this paper proposes a novel synergistic AI framework. The framework integrates (1) a novel adaptation of the Swin-Transformer to generate a dense, semantic risk map from raw visual data, enabling the system to interpret ambiguous marine conditions like sun glare and choppy water, enabling real-time environmental understanding crucial for guidance; (2) a Transformer-enhanced A-star (T-ASTAR) algorithm with spatio-temporal attentional guidance to generate globally near-optimal and energy-aware static paths; (3) a domain-adapted TD3 agent featuring a novel energy-aware reward function that optimizes for USV hydrodynamic constraints, making it suitable for long-endurance missions tailored for USVs to perform dynamic local path optimization and real-time obstacle avoidance, forming a key control element; and (4) CUDA acceleration to meet the computational demands of real-time ocean engineering applications. Simulations and real-world data verify the framework’s superiority over benchmarks like A* and RRT, achieving 30% shorter routes, 70% fewer turns, 64.7% fewer dynamic collisions, and a 215-fold speed improvement in map generation via CUDA acceleration. This research underscores the importance of integrating powerful AI components within a hierarchical synergy, encompassing AI-based perception, hierarchical decision planning for guidance, and multi-stage optimal search algorithms for control. The proposed solution significantly advances USV autonomy, addressing critical ocean engineering challenges such as navigation in dynamic environments, object avoidance, and energy-constrained operations for unmanned maritime systems. Full article
Show Figures

Figure 1

10 pages, 1309 KB  
Proceeding Paper
A Sustainable Approach to Cooking: Design and Evaluation of a Sun-Tracking Concentrated Solar Stove
by Hasan Ali Khan, Malik Hassan Nawaz, Main Omair Gul and Mazhar Javed
Mater. Proc. 2025, 23(1), 4; https://doi.org/10.3390/materproc2025023004 - 29 Jul 2025
Viewed by 1022
Abstract
Access to clean cooking remains a major challenge in rural and off-grid areas where traditional fuels are costly, harmful, or scarce. Solar cooking offers a sustainable solution, but many existing systems suffer from fixed positioning and low efficiency. This study presents a low-cost, [...] Read more.
Access to clean cooking remains a major challenge in rural and off-grid areas where traditional fuels are costly, harmful, or scarce. Solar cooking offers a sustainable solution, but many existing systems suffer from fixed positioning and low efficiency. This study presents a low-cost, dual-axis solar tracking parabolic dish cooker designed for such regions, featuring adjustable pot holder height and portability for ease of use. The system uses an Arduino UNO, LDR sensors, and a DC gear motor to automate sun tracking, ensuring optimal alignment throughout the day. A 0.61 m parabolic dish with ≥97% reflective silver-coated mirrors concentrates sunlight to temperatures exceeding 300 °C. Performance tests in April, June, and November showed boiling times as low as 3.37 min in high-irradiance conditions (7.66 kWh/m2/day) and 6.63 min under lower-irradiance conditions (3.86 kWh/m2/day). Compared to fixed or single-axis systems, this design achieved higher thermal efficiency and reliability, even under partially cloudy skies. Built with locally available materials, the system offers an affordable, clean, and effective cooking solution that supports energy access, health, and sustainability in underserved communities. Full article
Show Figures

Figure 1

Back to TopTop