Intercomparison, Fusion and Application of FY-3E/WindRAD and HY-2B/SCA Ocean Surface Wind Products for Tropical Cyclone Monitoring
Highlights
- This study provides the first comprehensive, full-year intercomparison of Ku-band ocean surface wind vector (OWV) products from FY-3E/WindRAD and HY-2B/SCA, showing high consistency in wind speed and direction.
- A fusion experiment combining FY-3E/WindRAD’s higher resolution with HY-2B/SCA’s wider swath improves the spatial completeness of tropical cyclone (TC) wind field structure and enables instantaneous estimates of the 34 kt wind radius (R34).
- The results indicate that Chinese scatterometer missions can reliably contribute to global OWV monitoring.
- Dual-satellite integration enhances TC monitoring and supports operational marine weather services.
Abstract
1. Introduction
2. Materials and Methods
2.1. Data
2.2. Methods
2.2.1. Data Preprocessing
2.2.2. Spatiotemporal Collocation
- Temporal matching: FY-3E and HY-2B are both in sun-synchronous orbits with local equator crossing times of 05:30/17:30 and 06:00/18:00, respectively. Their observation time difference is typically within ±30 min. Accordingly, a temporal window of ±30 min was applied, and only collocated orbits within this interval were retained.
- Spatial matching: Taking FY-3E/WindRAD pixels as the reference, the nearest neighbor in HY-2B/SCA was identified using great-circle distance. Pairs with separation less than 25 km (corresponding to the scatterometer footprint) were retained. The great-circle distance was calculated as follows:
- Wind direction normalization: To resolve 360° periodic ambiguity, wind direction differences were normalized to the [−180°, +180°] interval:
2.2.3. Evaluation Metrics
- Wind speed metrics: Mean Bias, Root Mean Square Error (RMSE), Mean Absolute Error (MAE), and Pearson correlation coefficient (R).
- Wind direction metrics: Mean Bias, Standard Deviation (Std), Median Bias, and Median Absolute Bias.
2.2.4. Satellite Data Fusion
- Quality control and preprocessing: Both datasets underwent unified quality control to remove retrieval failures, precipitation, and land contamination.
- Sample selection: Only pixels with wind speed ≥ 10.8 m/s (Beaufort scale 6 or higher) were retained to focus on TC core structures and reduce low-wind noise.
- Resolution harmonization: HY-2B/SCA data were resampled to 10 km resolution, consistent with FY-3E/WRADKu. The resampling was performed using linear interpolation as the primary method. In cases where linear interpolation failed due to insufficient neighboring data points, nearest-neighbor interpolation was used as a fallback. This two-step interpolation approach ensures the method’s resilience to data gaps and maintains the reliability and stability of the data fusion process.
- Data fusion logic: FY-3E was given priority, meaning that if FY-3E wind data was available at a given grid point, no HY-2B data was used at that point. HY-2B data were used to fill uncovered areas only.
- Spatial tolerance: A spatial tolerance of 0.06° (~6 km) was applied, approximately half of the native FY-3E/WindRADKu footprint. This value balances collation density and representativeness errors, and is consistent with commonly adopted spatial collocation windows in previous scatterometer validation and intercomparison studies [56,57].
2.2.5. Estimation of Wind Radius (R34) and Comparison with JTWC
- Maximum radius (rmax), ranging from 300 km to 600 km.
- Minimum number of samples per quadrant (minN), ranging from 5 to 40.
- Cumulative distribution function (CDF) percentile, ranging from 80% to 95%.
3. Results
3.1. Wind Speed Comparison
3.1.1. Bias Under Different Wind Speeds
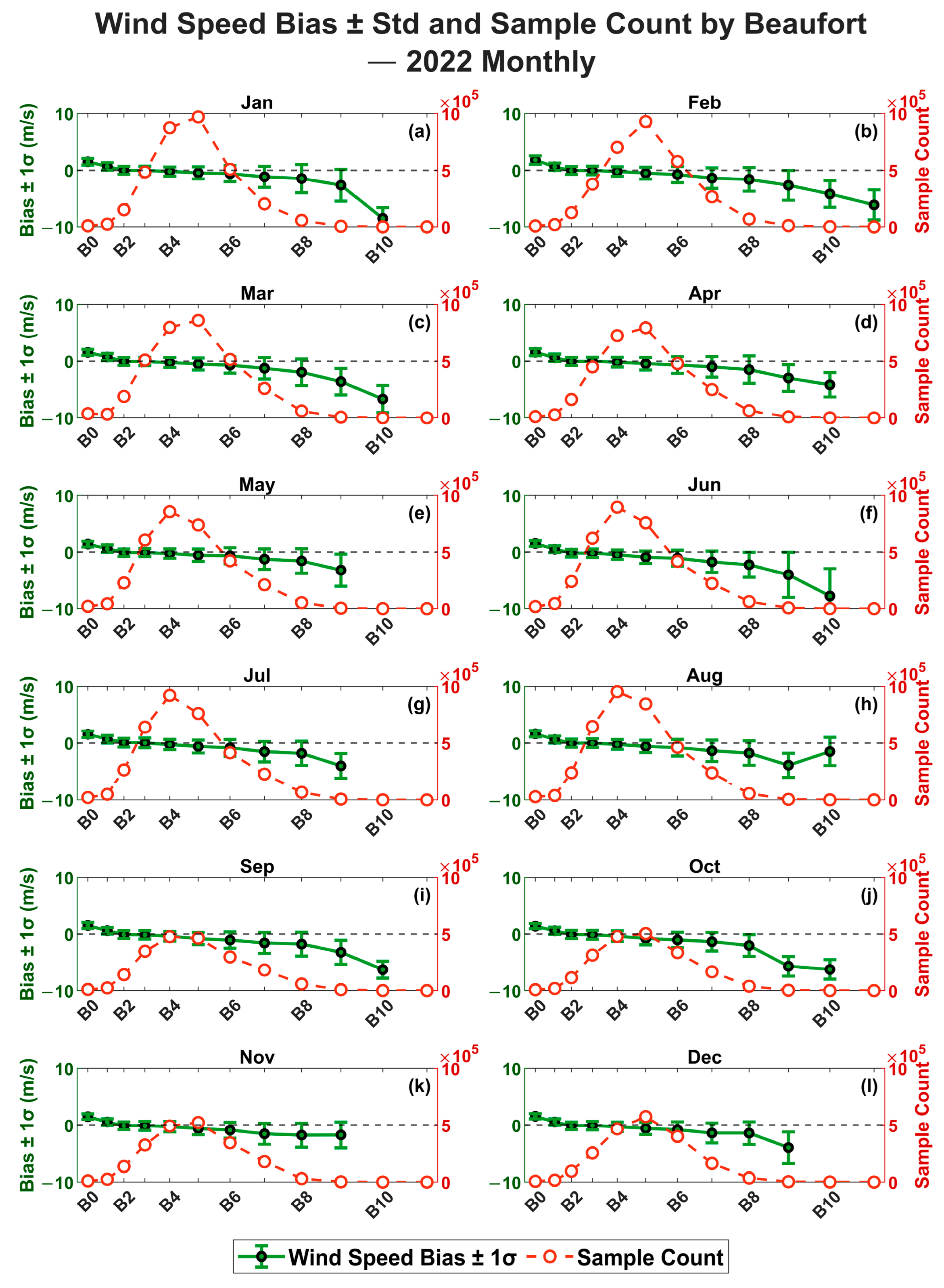
3.1.2. Monthly Bias Variation
3.2. Wind Direction Comparison
3.2.1. Annual Bias Distribution
3.2.2. Wind Direction Bias Under Different Wind Speeds
3.3. Application of Wind Field Fusion in TC Monitoring
- (1)
- Relatively Symmetric Structure: t1 (near 30 August 21:00). During this period, the vortex was compact and relatively symmetric. The closest agreement between and ( = −24 km; Figure 10a) demonstrates the high reliability of the fused product under quasi-steady conditions.
- (2)
- Rapid reorganization and outer-wind expansion: t2 (near 31 August 21:00). Following the ERC, the vortex underwent axisymmetrization with a more compact inner core, reduced azimuthal asymmetry, and a steepened radial wind-speed gradient. Under these quasi-steady, more regular conditions, the fused product and estimates show near-neutral agreement ( ≈ +1 km; Figure 10b). This is consistent with the robustness of our point-set fusion with de-duplication and CDF-percentile detection; when large-scale azimuthal asymmetry (dominant k = 1–2) weakens, the influence of isolated strong-wind samples and sampling randomness is minimized, keeping quadrant biases within tens of kilometers and indicating convergence between the algorithmic estimate and best-track values.
- (3)
- Track reversal and asymmetric reorganization: t3 (near 3 September 09:00). During the V-shaped track reversal within weak steering and a saddle-shaped pressure field, the fused wind map reveals a pronounced south-west (SW)-side enlargement, yielding the largest quadrant-scale positive deviation among the four cases ( ≈ + 140 km; Figure 10c). Other quadrants are much smaller in magnitude (near-neutral to weakly positive/negative), indicating an asymmetric reorganization primarily along the SW–NE axis, but dominated by SW-flank expansion at this time. Notably, the used here corresponds to the nearest IBTrACS v4 entry around 09:00 UTC (FY-3E overpass at 08:48 UTC); since IBTrACS provides non-positional variables via 3 h linear interpolation, the at 09:00 UTC likely underrepresents the instantaneous outer-wind expansion. In contrast, our point-set fusion with de-duplication (FY-3E priority with HY-2B gap-filling) and CDF-percentile detection resolves the instantaneous SW-flank coverage more completely. Therefore, the SW discrepancy mainly reflects interpolation smoothing and sampling completeness, rather than algorithmic overestimation.
- (4)
- Re-intensification and quadrant redistribution: t4 (near 4 September 21:00). After re-intensification over the East China Sea, the overall mean bias turned negative = −68 km; azimuthal asymmetry was evident, with a large negative deviation in the SE quadrant ( ≈ −109 km, ≈ −24.7%), while other quadrants showed smaller departures ( ≈ −71 km, ≈ −16.1%; ≈ −19 km, ≈ −6.3%; ≈ −73 km ≈ −26.4%; Figure 10e). From t1 to t4, increased by about 369%, 449%, 285%, and 231% in the NE, SE, SW, and NW quadrants, respectively, suggesting quadrant redistribution of the 34 kt wind radii rather than a uniform expansion. The same interpolation caveat applies at 21:00 UTC, so departures reflect both smoothing and rapid evolution.
4. Discussion
5. Conclusions
Supplementary Materials
Author Contributions
Funding
Data Availability Statement
Acknowledgments
Conflicts of Interest
Abbreviations
| Beaufort scale 3–8 (B3–B8) | Beaufort scale force 3 to 8 |
| CMA | China Meteorological Administration |
| ERC | Eyewall replacement cycle |
| FY-3E | FengYun-3E polar-orbiting meteorological satellite |
| GMF | Geophysical model function (σ0-to-wind retrieval) |
| HY-2B | HaiYang-2B ocean-dynamics satellite |
| IBTrACS | International Best Track Archive for Climate Stewardship |
| JTWC | Joint Typhoon Warning Center |
| Ku-band | Microwave band near 12–18 GHz used by the scatterometers |
| R34/R50/R64 | Radii of 34/50/64-kt winds (34 kt ≈ 17.5 m/s) |
| RMSE | Root-mean-square error |
| SCA | Scatterometer onboard HY-2B |
| SD | Standard deviation |
| SNR | Signal-to-noise ratio |
| TC | Tropical cyclone |
| WindRAD | Wind Radiometer scatterometer onboard FY-3E |
| WRADKu | FY-3E/WindRAD Ku-band OWV product |
| WRADC | FY-3E/WindRAD C-band OWV product |
References
- Chelton, D.B.; Schlax, M.G.; Freilich, M.H.; Milliff, R.F. Satellite measurements reveal persistent small-scale features in ocean winds. Science 2004, 303, 978–983. [Google Scholar] [CrossRef] [PubMed]
- Eyre, J.R.; English, S.J.; Forsythe, M. Assimilation of satellite data in numerical weather prediction. Part I: The early years. Q. J. R. Meteorol. Soc. 2020, 146, 49–68. [Google Scholar] [CrossRef]
- Liu, W.T.; Tang, W.Q.; Polito, P.S. NASA scatterometer provides global ocean-surface wind fields with more structures than numerical weather prediction. Geophys. Res. Lett. 1998, 25, 761–764. [Google Scholar] [CrossRef]
- Hauser, D.; Abdalla, S.; Ardhuin, F.; Bidlot, J.R.; Bourassa, M.; Cotton, D.; Gommenginger, C.; Evers-King, H.; Johnsen, H.; Knaff, J.; et al. Satellite Remote Sensing of Surface Winds, Waves, and Currents: Where are we Now? Surv. Geophys. 2023, 44, 1357–1446. [Google Scholar] [CrossRef]
- Desbiolles, F.; Bentamy, A.; Blanke, B.; Roy, C.; Mestas-Nuñez, A.M.; Grodsky, S.A.; Herbette, S.; Cambon, G.; Maes, C. Two decades 1992–2012 of surface wind analyses based on satellite scatterometer observations. J. Mar. Syst. 2017, 168, 38–56. [Google Scholar] [CrossRef]
- Atlas, R.; Hoffman, R.N.; Leidner, S.M.; Sienkiewicz, J.; Yu, T.W.; Bloom, S.C.; Brin, E.; Ardizzone, J.; Terry, J.; Bungato, D.; et al. The effects of marine winds from scatterometer data on weather analysis and forecasting. Bull. Am. Meteorol. Soc. 2001, 82, 1965–1990. [Google Scholar] [CrossRef]
- Jones, W.L.; Schroeder, L.C.; Boggs, D.H.; Bracalente, E.M.; Brown, R.A.; Dome, G.J.; Pierson, W.J.; Wentz, F.J. The Seasat-A Satellite Scatterometer—The Geophysical Evaluation Of Remotely Sensed Wind Vectors Over The Ocean. J. Geophys. Res. Ocean. 1982, 87, 3297–3317. [Google Scholar] [CrossRef]
- Bracalente, E.M.; Boggs, D.H.; Grantham, W.L.; Sweet, J.L. The SASS Scattering Coefficient Sigma-Degrees Algorithm. IEEE J. Ocean. Eng. 1980, 5, 145–154. [Google Scholar] [CrossRef]
- Offiler, D. The Calibration Of ERS-1 Satellite Scatterometer Winds. J. Atmos. Ocean. Technol. 1994, 11, 1002–1017. [Google Scholar] [CrossRef]
- Naderi, F.M.; Freilich, M.H.; Long, D.G. Spaceborne Radar Measurement Of Wind Velocity Over The Ocean—An Overview Of The NSCAT Scatterometer System. Proc. IEEE 1991, 79, 850–866. [Google Scholar] [CrossRef]
- Freilich, M.H.; Dunbar, R.S. The accuracy of the NSCAT 1 vector winds: Comparisons with National Data Buoy Center buoys. J. Geophys. Res. Ocean. 1999, 104, 11231–11246. [Google Scholar] [CrossRef]
- Tsai, W.Y.; Spencer, M.; Wu, C.; Winn, C.; Kellogg, K. SeaWinds on QuikSCAT: Sensor description and mission overview. In Proceedings of the IEEE International Geoscience and Remote Sensing Symposium, Honolulu, HI, USA, 24–28 July 2000; pp. 1021–1023. [Google Scholar]
- Figa-Saldaña, J.; Wilson, J.J.W.; Attema, E.; Gelsthorpe, R.; Drinkwater, M.R.; Stoffelen, A. The advanced scatterometer (ASCAT) on the meteorological operational (MetOp) platform: A follow on for European wind scatterometers. Can. J. Remote Sens. 2002, 28, 404–412. [Google Scholar] [CrossRef]
- Chelton, D.B.; Freilich, M.H.; Sienkiewicz, J.M.; Von Ahn, J.M. On the use of QuikSCAT scatterometer measurements of surface winds for marine weather prediction. Mon. Weather Rev. 2006, 134, 2055–2071. [Google Scholar] [CrossRef]
- Von Ahn, J.M.; Sienkiewicz, J.M.; Chang, P.S. Operational impact of QuikSCAT winds at the NOAA Ocean Prediction Center. Weather Forecast. 2006, 21, 523–539. [Google Scholar] [CrossRef]
- Cheng, T.; Chen, Z.; Li, J.; Xu, Q.; Yang, H. Characterizing the Effect of Ocean Surface Currents on Advanced Scatterometer (ASCAT) Winds Using Open Ocean Moored Buoy Data. Remote Sens. 2023, 15, 4630. [Google Scholar] [CrossRef]
- Brennan, M.J.; Hennon, C.C.; Knabb, R.D. The Operational Use of QuikSCAT Ocean Surface Vector Winds at the National Hurricane Center. Weather Forecast. 2009, 24, 621–645. [Google Scholar] [CrossRef]
- Wentz, F.J.; Smith, D.K. A model function for the ocean-normalized radar cross section at 14 GHz derived from NSCAT observations. J. Geophys. Res. Ocean. 1999, 104, 11499–11514. [Google Scholar] [CrossRef]
- Cornillon, P.; Park, K.A. Warm core ring velocities inferred from NSCAT. Geophys. Res. Lett. 2001, 28, 575–578. [Google Scholar] [CrossRef]
- Park, K.A.; Cornillon, P.; Codiga, D.L. Modification of surface winds near ocean fronts: Effects of Gulf Stream rings on scatterometer (QuikSCAT, NSCAT) wind observations. J. Geophys. Res.-Ocean. 2006, 111, C03021. [Google Scholar] [CrossRef]
- Yang, S.; Zhang, L.; Ma, C.F.; Peng, H.L.; Zhou, W.; Lu, Y.C.; Wang, Z.X.; Wei, S.Y.; Mu, B.; Zou, J.H. Evaluating the Accuracy of Scatterometer Winds: A Study of Wind Correction Methods Using Buoy Observations. IEEE Trans. Geosci. Remote Sens. 2024, 62, 2007312. [Google Scholar] [CrossRef]
- Wang, Z.X.; Stoffelen, A.; Zhang, B.; He, Y.J.; Lin, W.M.; Li, X.Z. Inconsistencies in scatterometer wind products based on ASCAT and OSCAT-2 collocations. Remote Sens. Environ. 2019, 225, 207–216. [Google Scholar] [CrossRef]
- Carvalho, D.; Rocha, A.; Gómez-Gesteira, M.; Santos, C.S. Offshore winds and wind energy production estimates derived from ASCAT, OSCAT, numerical weather prediction models and buoys—A comparative study for the Iberian Peninsula Atlantic coast. Renew. Energy 2017, 102, 433–444. [Google Scholar] [CrossRef]
- Shang, J.; Wang, Z.; Dou, F.; Yuan, M.; Yin, H.; Liu, L.; Wang, Y.; Hu, X.; Zhang, P. Preliminary Performance of the WindRAD Scatterometer Onboard the FY-3E Meteorological Satellite. IEEE Trans. Geosci. Remote Sens. 2024, 62, 5100813. [Google Scholar] [CrossRef]
- Fang, H.; Perrie, W.; Zhang, G.S.; Zhang, P.; Chen, L.; Xu, C. Tropical Cyclone Center Estimates Purely From FY-3E WindRAD Measurements in the Dawn-Dusk Orbit. Geophys. Res. Lett. 2025, 52, e2025GL115872. [Google Scholar] [CrossRef]
- He, Y.; Fang, H.; Li, X.H.; Fan, G.F.; He, Z.H.; Cai, J.Z. Assessment of Spatiotemporal Variations in Wind Field Measurements by the Chinese FengYun-3E Wind Radar Scatterometer. IEEE Access 2023, 11, 128224–128234. [Google Scholar] [CrossRef]
- Li, Z.; Verhoef, A.; Stoffelen, A.; Shang, J.; Dou, F.L. First Results from the WindRAD Scatterometer on Board FY-3E: Data Analysis, Calibration and Wind Retrieval Evaluation. Remote Sens. 2023, 15, 2087. [Google Scholar] [CrossRef]
- Liu, L.X.; Jin, A.X.; Jin, A.Z.; Xue, S.Y.; Yao, P.; Dong, G.; Shi, H.Q.; Jin, X.; Liu, S.B.; Lv, A.L.; et al. FY-3E Wind Scatterometer Prelaunch and Commissioning Performance Verification. IEEE Trans. Geosci. Remote Sens. 2023, 61, 5106912. [Google Scholar] [CrossRef]
- Zhang, Y.; Mu, B.; Lin, M.S.; Song, Q.T. An Evaluation of the Chinese HY-2B Satellites Microwave Scatterometer Instrument. IEEE Trans. Geosci. Remote Sens. 2021, 59, 4513–4521. [Google Scholar] [CrossRef]
- Chen, K.; Xie, X.; Zhang, J.; Zou, J.; Zhang, Y. Accuracy analysis of the retrieved wind from HY-2B scatterometer. J. Trop. Oceanogr. 2020, 39, 30–40. [Google Scholar]
- Liu, S.Q.; Lin, W.; Portabella, M.; Wang, Z. Characterization of Tropical Cyclone Intensity Using the HY-2B Scatterometer Wind Data. Remote Sens. 2022, 14, 1035. [Google Scholar] [CrossRef]
- Lv, S.; Lin, W.; Wang, Z.; Zou, J. Blending Sea Surface Winds from the HY-2 Satellite Scatterometers Based on a 2D-Var Method. Remote Sens. 2023, 15, 193. [Google Scholar] [CrossRef]
- Yang, S.; Mu, B.; Shi, H.Q.; Ma, C.F.; Zhou, W.; Zou, J.H.; Lin, M.S. Validation and accuracy analysis of wind products from scatterometer onboard the HY-2B satellite. Acta Oceanol. Sin. 2023, 42, 74–82. [Google Scholar] [CrossRef]
- Wang, H.; Zhu, J.H.; Lin, M.S.; Zhang, Y.G.; Chang, Y.T. Evaluating Chinese HY-2B HSCAT Ocean Wind Products Using Buoys and Other Scatterometers. IEEE Geosci. Remote Sens. Lett. 2020, 17, 923–927. [Google Scholar] [CrossRef]
- Wang, Z.; Stoffelen, A.; Zou, J.; Lin, W.; Verhoef, A.; Zhang, Y.; He, Y.; Lin, M. Validation of New Sea Surface Wind Products From Scatterometers Onboard the HY-2B and MetOp-C Satellites. IEEE Trans. Geosci. Remote Sens. 2020, 58, 4387–4394. [Google Scholar] [CrossRef]
- Li, X.; Yang, J.; Wang, J.; Han, G. Evaluation and Calibration of Remotely Sensed High Winds from the HY-2B/C/D Scatterometer in Tropical Cyclones. Remote Sens. 2022, 14, 4654. [Google Scholar] [CrossRef]
- Hu, T.G.; Wu, Y.Y.; Zheng, G.; Zhang, D.R.; Zhang, Y.Z.; Li, Y. Tropical Cyclone Center Automatic Determination Model Based on HY-2 and QuikSCAT Wind Vector Products. IEEE Trans. Geosci. Remote Sens. 2019, 57, 709–721. [Google Scholar] [CrossRef]
- Stoffelen, A.; Verspeek, J.A.; Vogelzang, J.; Verhoef, A. The CMOD7 Geophysical Model Function for ASCAT and ERS Wind Retrievals. IEEE J. Sel. Top. Appl. Earth Obs. Remote Sens. 2017, 10, 2123–2134. [Google Scholar] [CrossRef]
- Cartwright, J.; Fraser, A.D.; Porter-Smith, R. Polar maps of C-band backscatter parameters from the Advanced Scatterometer. Earth Syst. Sci. Data 2022, 14, 479–490. [Google Scholar] [CrossRef]
- Lu, X.Q.; Yu, H.; Ying, M.; Zhao, B.K.; Zhang, S.; Lin, L.M.; Bai, L.N.; Wan, R.J. Western North Pacific Tropical Cyclone Database Created by the China Meteorological Administration. Adv. Atmos. Sci. 2021, 38, 690–699. [Google Scholar] [CrossRef]
- Sun, Z.; Bai, L.; Zhu, X.; Huang, X.; Jin, R.; Yu, H.; Tang, J. The extraordinarily large vortex structure of Typhoon In-fa (2021), observed by spaceborne microwave radiometer and synthetic aperture radar. Atmos. Res. 2023, 292, 106837. [Google Scholar] [CrossRef]
- Bentamy, A.; Grodsky, S.A.; Carton, J.A.; Croize-Fillon, D.; Chapron, B. Matching ASCAT and QuikSCAT winds. J. Geophys. Res. Ocean. 2012, 117, C02011. [Google Scholar] [CrossRef]
- Ricciardulli, L.; Howell, B.; Jackson, C.R.; Hawkins, J.; Courtney, J.; Stoffelen, A.; Langlade, S.; Fogarty, C.; Mouche, A.; Blackwell, W.; et al. Remote sensing and analysis of tropical cyclones: Current and emerging satellite sensors. Trop. Cyclone Res. Rev. 2023, 12, 267–293. [Google Scholar] [CrossRef]
- Sampson, C.R.; Fukada, E.M.; Knaff, J.A.; Strahl, B.R.; Brennan, M.J.; Marchok, T. Tropical Cyclone Gale Wind Radii Estimates for the Western North Pacific. Weather Forecast. 2017, 32, 1029–1040. [Google Scholar] [CrossRef]
- Knaff, J.A.; Sampson, C.R.; Kucas, M.E.; Slocum, C.J.; Brennan, M.J.; Meissner, T.; Ricciardulli, L.; Mouche, A.; Reul, N.; Morris, M.; et al. Estimating tropical cyclone surface winds: Current status, emerging technologies, historical evolution, and a look to the future. Trop. Cyclone Res. Rev. 2021, 10, 125–150. [Google Scholar] [CrossRef]
- Bai, L.N.; Chan, J.C.L.; Guo, R.; Sun, T.T. Increasing trend in intensity change of tropical cyclones before making landfall in China. Clim. Dyn. 2025, 63, 149. [Google Scholar] [CrossRef]
- National Satellite Meteorological Center. FY-3E WindRAD Ocean Surface Wind Vector Product User Guide (Version 1.2.0); National Satellite Meteorological Center (NSMC): Beijing, China, 2023; Available online: https://img.nsmc.org.cn/PORTAL/NSMC/DATASERVICE/OperatingGuide/FY3E/FY-3E_Product_Instruction_WindRAD_OVW.pdf (accessed on 25 September 2025).
- National Satellite Ocean Application Service. HY-2B Satellite Data User Guide; National Satellite Ocean Application Service (NSOAS): Beijing, China, 2020; Available online: https://osdds.nsoas.org.cn/documentDownload (accessed on 25 September 2025).
- Sergeev, D.; Ermakova, O.; Rusakov, N.; Poplavsky, E.; Gladskikh, D. Verification of C-Band Geophysical Model Function for Wind Speed Retrieval in the Open Ocean and Inland Water Conditions. Geosciences 2023, 13, 361. [Google Scholar] [CrossRef]
- Li, Z.; Verhoef, A.; Stoffelen, A. WindRAD Scatterometer Quality Control in Rain. Remote Sens. 2025, 17, 560. [Google Scholar] [CrossRef]
- Li, Z.; Stoffelen, A.; Verhoef, A.; Wang, Z.X.; Shang, J.; Yin, H.G. Higher-order calibration on WindRAD (Wind Radar) scatterometer winds. Atmos. Meas. Tech. 2023, 16, 4769–4783. [Google Scholar] [CrossRef]
- Wang, Z.X.; Stoffelen, A.; Zhao, C.F.; Vogelzang, J.; Verhoef, A.; Verspeek, J.; Lin, M.S.; Chen, G. An SST-dependent Ku-band geophysical model function for RapidScat. J. Geophys. Res. Ocean. 2017, 122, 3461–3480. [Google Scholar] [CrossRef]
- Wang, Z.X.; Zou, J.H.; Zhang, Y.G.; Stoffelen, A.; Lin, W.M.; He, Y.J.; Feng, Q.; Zhang, Y.; Mu, B.; Lin, M.S. Intercalibration of Backscatter Measurements among Ku-Band Scatterometers Onboard the Chinese HY-2 Satellite Constellation. Remote Sens. 2021, 13, 4783. [Google Scholar] [CrossRef]
- National Centers for Environmental Information. International Best Track Archive for Climate Stewardship (IBTrACS) Version 4r01: Technical Details; NOAA NCEI: Asheville, NC, USA, 2024. [Google Scholar]
- Xie, X.; Wei, J.; Huang, L. Evaluation of ASCAT Coastal Wind Product Using Nearshore Buoy Data. J. Appl. Meteorolgical Sci. 2014, 25, 445–453. [Google Scholar]
- Vogelzang, J.; Stoffelen, A.; Verhoef, A.; Figa-Saldaña, J. On the quality of high-resolution scatterometer winds. J. Geophys. Res. Ocean. 2011, 116, C10033. [Google Scholar] [CrossRef]
- Stoffelen, A. Toward the true near-surface wind speed: Error modeling and calibration using triple collocation. J. Geophys. Res. Ocean. 1998, 103, 7755–7766. [Google Scholar] [CrossRef]
- Wang, Q.; Zhao, D.; Duan, Y.; Guan, S.; Dong, L.; Xu, H.; Wang, H. Super Typhoon Hinnamnor (2022) with a Record-Breaking Lifespan over the Western North Pacific. Adv. Atmos. Sci. 2023, 40, 1558–1566. [Google Scholar] [CrossRef]
- Zheng, M.; Zhang, Z.; Zhang, W. How Did the Merger With a Tropical Depression Amplify the Rapid Weakening of Super Typhoon Hinnamnor (2022)? Geophys. Res. Lett. 2024, 51, e2024GL109049. [Google Scholar] [CrossRef]
- National Hurricane Center. Glossary of NHC Terms—“Best track”. Available online: https://www.nhc.noaa.gov/aboutgloss.shtml (accessed on 25 September 2025).










| Parameter | FY-3E/WindRAD | HY-2B/SCA |
|---|---|---|
| Orbit type | Sun-synchronous orbit | Sun-synchronous orbit |
| Equator crossing time | 05:30 (descending)/17:30 (ascending) | 06:00 (descending)/18:00 (ascending) |
| Orbital period | ~99 min per cycle | ~100 min per cycle |
| Global coverage cycle | Twice daily over global oceans | >90% coverage every 1–2 days |
| Wind measurement mode | Dual-frequency, dual-polarization, conical scanning scatterometer | Single-frequency, dual-polarization, conical scanning scatterometer |
| Operating frequency | C-band (5.3 GHz) + Ku-band (13.256 GHz) | Ku-band (13.256 GHz) |
| Polarization | HH, VV | HH, VV |
| Calibration | External calibration + onboard calibration | Onboard calibration |
| Spatial resolution | ~10/25 km | ~25 km |
| Swath width | ~1250–1300 km | 1350 km (H-pol), 1700 km (V-pol) |
| Wind retrieval model | CMOD7 (C-band), NSCAT-6 (Ku-band), CMOD7 + NSCAT-6 (dual-frequency) | NSCAT-4 GMF model |
| Wind products | WRADC (C-band), WRADKu (Ku-band), WRADX (dual-frequency) | L2B wind speed and direction (HDF5) |
| Wind definition | 10 m stress-equivalent wind | 10 m stress-equivalent wind |
| Wind speed range | 3–40 m/s | 3–35 m/s |
| Quality control | Multi-bit QC flags (e.g., Bit13–Bit16) | Multi-bit QC flags (rain, land contamination, anomalies, retrieval failure) |
| Wind direction processing | MSS + 2DVAR ambiguity removal | MSS + 2DVAR ambiguity removal |
| Data format | HDF5 | HDF5 |
| Beaufort Scale | Wind Speed Range (m/s) |
|---|---|
| 0 | <0.2 |
| 1 | 0.3–1.5 |
| 2 | 1.6–3.3 |
| 3 | 3.4–5.4 |
| 4 | 5.5–7.9 |
| 5 | 8.0–10.7 |
| 6 | 10.8–13.8 |
| 7 | 13.9–17.1 |
| 8 | 17.2–20.7 |
| 9 | 20.8–24.4 |
| 10 | 24.5–28.4 |
| 11 | 28.5–32.6 |
| 12 | ≥32.7 |
Disclaimer/Publisher’s Note: The statements, opinions and data contained in all publications are solely those of the individual author(s) and contributor(s) and not of MDPI and/or the editor(s). MDPI and/or the editor(s) disclaim responsibility for any injury to people or property resulting from any ideas, methods, instructions or products referred to in the content. |
© 2025 by the authors. Licensee MDPI, Basel, Switzerland. This article is an open access article distributed under the terms and conditions of the Creative Commons Attribution (CC BY) license (https://creativecommons.org/licenses/by/4.0/).
Share and Cite
Qian, Z.; Yu, W.; Guo, W.; Bai, L.; Lu, X. Intercomparison, Fusion and Application of FY-3E/WindRAD and HY-2B/SCA Ocean Surface Wind Products for Tropical Cyclone Monitoring. Remote Sens. 2025, 17, 3809. https://doi.org/10.3390/rs17233809
Qian Z, Yu W, Guo W, Bai L, Lu X. Intercomparison, Fusion and Application of FY-3E/WindRAD and HY-2B/SCA Ocean Surface Wind Products for Tropical Cyclone Monitoring. Remote Sensing. 2025; 17(23):3809. https://doi.org/10.3390/rs17233809
Chicago/Turabian StyleQian, Zonghao, Wei Yu, Wei Guo, Lina Bai, and Xiaoqin Lu. 2025. "Intercomparison, Fusion and Application of FY-3E/WindRAD and HY-2B/SCA Ocean Surface Wind Products for Tropical Cyclone Monitoring" Remote Sensing 17, no. 23: 3809. https://doi.org/10.3390/rs17233809
APA StyleQian, Z., Yu, W., Guo, W., Bai, L., & Lu, X. (2025). Intercomparison, Fusion and Application of FY-3E/WindRAD and HY-2B/SCA Ocean Surface Wind Products for Tropical Cyclone Monitoring. Remote Sensing, 17(23), 3809. https://doi.org/10.3390/rs17233809
