Sign in to use this feature.

Years

Between: -

Subjects

remove_circle_outline
remove_circle_outline
remove_circle_outline
remove_circle_outline
remove_circle_outline
remove_circle_outline
remove_circle_outline
remove_circle_outline
remove_circle_outline

Journals

Article Types

Countries / Regions

Search Results (43)

Search Parameters:
Keywords = subpixel edge detection

Order results
Result details
Results per page
Select all
Export citation of selected articles as:
23 pages, 9519 KB  
Article
Physics-Prior-Guided Feature Pyramid Network for Unified Multi-Angle Spectral–Polarimetric Cloud Detection
by Shu Li, Xingyuan Ji, Xiaoxue Chu, Song Ye, Ziyang Zhang, Yongyin Gan, Xinqiang Wang and Fangyuan Wang
Remote Sens. 2026, 18(8), 1150; https://doi.org/10.3390/rs18081150 - 12 Apr 2026
Viewed by 219
Abstract
Accurate cloud detection remains a significant challenge due to the spectral ambiguity between clouds and bright or heterogeneous surfaces (e.g., snow, desert). While multi-angle and polarization data offer rich information, the discriminative power of joint spectral analysis for resolving these ambiguities has been [...] Read more.
Accurate cloud detection remains a significant challenge due to the spectral ambiguity between clouds and bright or heterogeneous surfaces (e.g., snow, desert). While multi-angle and polarization data offer rich information, the discriminative power of joint spectral analysis for resolving these ambiguities has been underexploited. In this work, we demonstrate that physically motivated spectral band ratios and differences can robustly enhance cloud signatures. Motivated by this insight, we propose a novel deep learning framework, the Multi-angle Polarization Feature Pyramid Structure (MP-FPS), that explicitly leverages joint spectral features as discriminative priors. Our architecture employs a dual-branch network to disentangle and adaptively fuse spectral and multi-angle polarization modalities. Within this framework, a hierarchical, multi-scale cross-channel multi-angle fusion module dynamically captures spatial–spectral–angular dependencies, enriching the structural representation of clouds. Furthermore, a channel-space dual-path attention mechanism refines sub-pixel responses, significantly improving detection accuracy in challenging regions such as cloud edges and thin cirrus. Evaluated on the global POLDER-3 dataset, MP-FPS achieves a mean Intersection over Union (mIoU) of 0.8662 across diverse surface types, surpassing the official baseline by 12.4%. This study establishes joint spectral analysis as a critical enabler for high-precision cloud masking, and demonstrates its synergistic value when integrated with multi-angle polarimetric information in a unified deep architecture. Full article
28 pages, 2314 KB  
Article
EF-YOLO: Detecting Small Targets in Early-Stage Agricultural Fires via UAV-Based Remote Sensing
by Jun Tao, Zhihan Wang, Jianqiu Wu, Yunqin Li, Tomohiro Fukuda and Jiaxin Zhang
Remote Sens. 2026, 18(8), 1119; https://doi.org/10.3390/rs18081119 - 9 Apr 2026
Viewed by 267
Abstract
Early detection of agricultural fires with Unmanned Aerial Vehicles (UAVs) is important for environmental safety, yet it remains difficult because ignition cues are extremely small, smoke patterns vary widely, and farmland scenes often contain strong background interference such as specular reflections. Model development [...] Read more.
Early detection of agricultural fires with Unmanned Aerial Vehicles (UAVs) is important for environmental safety, yet it remains difficult because ignition cues are extremely small, smoke patterns vary widely, and farmland scenes often contain strong background interference such as specular reflections. Model development is further constrained by the scarcity of data from the early ignition stage. To address these challenges, we propose a joint data and model optimization framework. We first build a hybrid dataset through an ROI-guided synthesis pipeline, in which latent diffusion models are used to insert high-fidelity, carefully screened fire samples into real farmland backgrounds. We then introduce EF-YOLO, a detector designed for high sensitivity to small targets. The network uses SPD-Conv to reduce feature loss during spatial downsampling and includes a high-resolution P2 head to improve the detection of minute objects. To reduce background clutter, a Dual-Path Frequency–Spatial Enhancement (DP-FSE) module serves as a lightweight statistical surrogate that extracts global contextual cues and local salient features in parallel, thereby suppressing high-frequency noise. Experimental results show that EF-YOLO achieves an APs of 40.2% on sub-pixel targets, exceeding the YOLOv8s baseline by 15.4 percentage points. With a recall of 88.7% and a real-time inference speed of 78 FPS, the proposed framework offers a strong balance between detection performance and efficiency, making it well suited for edge-deployed agricultural fire early-warning systems. Full article
18 pages, 2199 KB  
Article
Brain-Oct-Pvt: A Physics-Guided Transformer with Radial Prior and Deformable Alignment for Neurovascular Segmentation
by Quan Lan, Jianuo Huang, Chenxi Huang, Songyuan Song, Yuhao Shi, Zijun Zhao, Wenwen Wu, Hongbin Chen and Nan Liu
Bioengineering 2026, 13(3), 332; https://doi.org/10.3390/bioengineering13030332 - 13 Mar 2026
Viewed by 457
Abstract
The primary objective of this study is to develop a specialized deep learning framework specifically adapted for the unique physical characteristics of neurovascular Optical Coherence Tomography (OCT) imaging. Although Polyp-PVT, originally designed for polyp segmentation, shows promise for OCT analysis, it faces limitations [...] Read more.
The primary objective of this study is to develop a specialized deep learning framework specifically adapted for the unique physical characteristics of neurovascular Optical Coherence Tomography (OCT) imaging. Although Polyp-PVT, originally designed for polyp segmentation, shows promise for OCT analysis, it faces limitations in neurovascular applications. The default RGB input wastes resources on duplicated grayscale data, while its fixed-scale fusion struggles with vascular curvature variations. Furthermore, the attention mechanism fails to capture radial vessel patterns, and geometric constraints limit thin boundary detection. To address these challenges, we propose Brain-OCT-PVT with key innovations: a single-channel input stem reducing parameters by two-thirds; a Radial Intensity Module (RIM) using polar transforms and angular convolution to model annular structures; and a Deformable Cross-scale Fusion Module (D-CFM) with learnable offsets. The Boundary-aware Attention Module (BAM) combines Laplace edge detection with Swin-Transformer for sub-pixel consistency. A specialized loss function combines Dice Similarity Coefficient (Dice), BoundaryIoU on 2-pixel dilated edges, and Focal Tversky to handle extreme class imbalance. Evaluation on 13 clinical cases achieves a Dice score of 95.06% and an 95% Hausdorff Distance (HD95) of 0.269 mm, demonstrating superior performance compared to existing approaches. Full article
(This article belongs to the Special Issue AI-Driven Imaging and Analysis for Biomedical Applications)
Show Figures

Graphical abstract

28 pages, 48517 KB  
Article
DDF-DETR: A Multi-Scale Spatial Context Method for Field Cotton Seedling Detection
by Feng Xu, Huade Zhou, Yinyi Pan, Yi Lu and Luan Dong
Agriculture 2026, 16(5), 615; https://doi.org/10.3390/agriculture16050615 - 7 Mar 2026
Viewed by 529
Abstract
Accurate assessment of cotton emergence rates is essential for precision agriculture management, and unmanned aerial vehicle (UAV) imagery provides a scalable means for field-level monitoring. However, cotton seedling detection from UAV images faces persistent challenges: individual seedlings appear as small targets with diverse [...] Read more.
Accurate assessment of cotton emergence rates is essential for precision agriculture management, and unmanned aerial vehicle (UAV) imagery provides a scalable means for field-level monitoring. However, cotton seedling detection from UAV images faces persistent challenges: individual seedlings appear as small targets with diverse morphologies across varying flight altitudes; strong plastic film reflections, weeds, and soil cracks introduce substantial background interference; and “missing seedling” targets, which manifest as negative space features, exhibit high similarity to background noise. Existing CNN–Transformer hybrid detection architectures are limited by fixed convolutional receptive fields that cannot adapt to multi-scale target variations, attention mechanisms that lack explicit directional geometric modeling, and interpolation-based upsampling that attenuates high-frequency edge details of small targets. To address these issues, this paper proposes DDF-DETR (Dynamic-Direction-Frequency Detection Transformer), a multi-scale spatial context detection method based on RT-DETR. The method incorporates three components: a Dynamic Gated Mixer Block (DGMB) for adaptive multi-scale feature extraction with background noise suppression, a Direction-Aware Adaptive Transformer Encoder (DAATE) for directional geometric feature modeling at linear computational complexity, and a Frequency-Aware Sub-pixel Upsampling Network (FASN) for high-frequency detail recovery in the feature pyramid. On the self-constructed Xinjiang cotton field dataset, DDF-DETR achieves 83.72% mAP@0.5 and 63.46% mAP@0.5:0.95, representing improvements of 2.38% and 5.28% over the baseline RT-DETR-R18, while reducing the parameter count by 30.6% and computational cost to 42.8 GFLOPs. Generalization experiments on the VisDrone2019 and TinyPerson datasets further validate the robustness of the proposed method for small target detection across different scenarios. Full article
(This article belongs to the Section Artificial Intelligence and Digital Agriculture)
Show Figures

Figure 1

16 pages, 2035 KB  
Article
A Geometry-Driven Quantitative Modeling Framework for Image-Based Human Motion Evaluation: Application to Sub-Pixel Posture Analysis and Feature Attribution
by Tianci Lv, Keming Sheng and Lan Qiao
Mathematics 2026, 14(5), 746; https://doi.org/10.3390/math14050746 - 24 Feb 2026
Viewed by 319
Abstract
Quantitative evaluation of human motion from image data requires both high geometric precision and mathematical interpretability. To address the limitations of pixel-level posture analysis and empirical performance scoring, this study proposes a geometry-driven quantitative modeling framework for image-based motion evaluation. Sub-pixel edge detection [...] Read more.
Quantitative evaluation of human motion from image data requires both high geometric precision and mathematical interpretability. To address the limitations of pixel-level posture analysis and empirical performance scoring, this study proposes a geometry-driven quantitative modeling framework for image-based motion evaluation. Sub-pixel edge detection based on quadratic polynomial interpolation is first employed to construct a precise continuous representation of limb contours from image sequences. By abstracting the human arm as a spatial rigid-body system, posture evaluation is reformulated as an optimization problem governed by geometric constraints and physical principles. An optimal swing trajectory is obtained by minimizing the total kinetic energy of the system, which is solved numerically using Newton’s iterative method, avoiding the explicit solution of highly coupled inverse kinematics. To further analyze the contribution of multiple performance-related variables within a unified quantitative framework, a hybrid feature attribution strategy integrating Random Forest, XGBoost, and LightGBM is introduced. The proposed mixed feature mining approach reduces model dependency and enhances the robustness of factor importance ranking. The effectiveness of the proposed framework is validated using image data collected from a cloud-based table tennis classroom. The experimental results demonstrate that the geometry-driven modeling approach provides stable, interpretable, and discriminative evaluation outcomes, indicating its potential applicability to broader image-based human motion analysis tasks. Full article
(This article belongs to the Special Issue Mathematics Methods in Image Processing and Computer Vision)
Show Figures

Figure 1

25 pages, 6025 KB  
Article
Advanced Computer Vision Technology for Real-Time Rotation Angle Monitoring of Bridge Bearings in Structural Health Assessment
by Liangbo Wang, Ming Li, Rongxin Zhao, Zhaoyuan Xu, Maotai Sun, Delang Peng, Xuewen Yu and Yabin Liang
Buildings 2026, 16(4), 734; https://doi.org/10.3390/buildings16040734 - 11 Feb 2026
Viewed by 321
Abstract
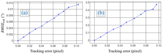
Real-time perception of bearing rotation angles is essential for structural health assessment of bridges. However, existing vision-based rotation angle measurement methods exhibit limited robustness to time-varying operational conditions and tracking errors, particularly in practical applications of bridge monitoring. To address this limitation, this [...] Read more.
Real-time perception of bearing rotation angles is essential for structural health assessment of bridges. However, existing vision-based rotation angle measurement methods exhibit limited robustness to time-varying operational conditions and tracking errors, particularly in practical applications of bridge monitoring. To address this limitation, this study presents an advanced computer vision-based monitoring technology for bridge bearing rotation angles by incorporating specifically configured retroreflective targets, an efficient target tracking approach, and a rotation angle calculation algorithm. Firstly, under LED illumination, retroreflective targets appear as bright, high-contrast features in the images, facilitating precise detection and tracking. Secondly, target centroids are tracked with sub-pixel accuracy through thresholding, edge extraction, and ellipse fitting. Lastly, the bearing rotation angle is calculated by analyzing the angle between the two characteristic lines formed by the target centroids. To validate the effectiveness of the proposed method, comprehensive numerical investigations were conducted, and the results showed that the proposed method maintained high accuracy across various imaging conditions. Additionally, comparative analysis with an existing advanced method also revealed that the proposed method exhibits superior measurement performance even under target tracking uncertainties. To investigate its feasibility and validate its practical effectiveness, a field application on an 80 m + 80 m continuous beam was conducted, and minute rotation angle measurements during 23 railway train drive-by events were obtained using the proposed method, yielding a root mean square error of 0.0008° and mean absolute error of 0.0007°. The successful development and field deployment demonstrate significant potential for advancing structural health monitoring technologies, contributing to intelligent infrastructure management through automated monitoring and early warning capabilities. Full article
Show Figures

Figure 1

28 pages, 16155 KB  
Article
A Robust Skeletonization Method for High-Density Fringe Patterns in Holographic Interferometry Based on Parametric Modeling and Strip Integration
by Sergey Lychev and Alexander Digilov
J. Imaging 2026, 12(2), 54; https://doi.org/10.3390/jimaging12020054 - 24 Jan 2026
Viewed by 424
Abstract
Accurate displacement field measurement by holographic interferometry requires robust analysis of high-density fringe patterns, which is hindered by speckle noise inherent in any interferogram, no matter how perfect. Conventional skeletonization methods, such as edge detection algorithms and active contour models, often fail under [...] Read more.
Accurate displacement field measurement by holographic interferometry requires robust analysis of high-density fringe patterns, which is hindered by speckle noise inherent in any interferogram, no matter how perfect. Conventional skeletonization methods, such as edge detection algorithms and active contour models, often fail under these conditions, producing fragmented and unreliable fringe contours. This paper presents a novel skeletonization procedure that simultaneously addresses three fundamental challenges: (1) topology preservation—by representing the fringe family within a physics-informed, finite-dimensional parametric subspace (e.g., Fourier-based contours), ensuring global smoothness, connectivity, and correct nesting of each fringe; (2) extreme noise robustness—through a robust strip integration functional that replaces noisy point sampling with Gaussian-weighted intensity averaging across a narrow strip, effectively suppressing speckle while yielding a smooth objective function suitable for gradient-based optimization; and (3) sub-pixel accuracy without phase extraction—leveraging continuous bicubic interpolation within a recursive quasi-optimization framework that exploits fringe similarity for precise and stable contour localization. The method’s performance is quantitatively validated on synthetic interferograms with controlled noise, demonstrating significantly lower error compared to baseline techniques. Practical utility is confirmed by successful processing of a real interferogram of a bent plate containing over 100 fringes, enabling precise displacement field reconstruction that closely matches independent theoretical modeling. The proposed procedure provides a reliable tool for processing challenging interferograms where traditional methods fail to deliver satisfactory results. Full article
(This article belongs to the Special Issue Image Segmentation: Trends and Challenges)
Show Figures

Figure 1

19 pages, 8250 KB  
Article
Crack Detection and Displacement Measurement of Earth-Fill Dams Based on Computer Vision and Deep Learning
by Weiwu Feng, Siwen Cao, Lijing Fang, Wenxue Du and Shuaisen Ma
Sustainability 2025, 17(22), 10186; https://doi.org/10.3390/su172210186 - 14 Nov 2025
Cited by 1 | Viewed by 1025
Abstract
Intelligent crack detection and displacement measurement are critical for evaluating the health status of dams. Earth-fill dams, composed of fragmented independent material particles, are particularly vulnerable to climate changes that can exacerbate cracking and displacement. Existing crack segmentation methods often suffer from discontinuous [...] Read more.
Intelligent crack detection and displacement measurement are critical for evaluating the health status of dams. Earth-fill dams, composed of fragmented independent material particles, are particularly vulnerable to climate changes that can exacerbate cracking and displacement. Existing crack segmentation methods often suffer from discontinuous crack segmentation and misidentification due to complex background noise. Furthermore, current skeleton line-based width measurement techniques demonstrate limited accuracy in processing complex crack patterns. To address these limitations, this study introduces a novel three-step approach for crack detection in earth-fill dams. Firstly, an enhanced YOLOv8-CGA crack segmentation method is proposed, incorporating a Cascaded Group Attention (CGA) mechanism into YOLOv8 to improve feature diversity and computational efficiency. Secondly, image processing techniques are applied to extract sub-pixel crack edges and skeletons from the segmented regions. Finally, an adaptive skeleton fitting algorithm is developed to achieve high-precision crack width estimation. This approach effectively integrates the pattern recognition capabilities of deep learning with the detailed delineation strengths of traditional image processing. Additionally, dam crest displacements and crack zone strain field are measured via the digital image correlation (DIC) method. The efficacy and robustness of the proposed method are validated through laboratory experiments on an earth-fill dam model, demonstrating its potential for practical structural health monitoring (SHM) applications in a changing climate. Full article
Show Figures

Figure 1

19 pages, 1948 KB  
Article
Graph-MambaRoadDet: A Symmetry-Aware Dynamic Graph Framework for Road Damage Detection
by Zichun Tian, Xiaokang Shao and Yuqi Bai
Symmetry 2025, 17(10), 1654; https://doi.org/10.3390/sym17101654 - 5 Oct 2025
Cited by 1 | Viewed by 1402
Abstract
Road-surface distress poses a serious threat to traffic safety and imposes a growing burden on urban maintenance budgets. While modern detectors based on convolutional networks and Vision Transformers achieve strong frame-level performance, they often overlook an essential property of road environments—structural symmetry [...] Read more.
Road-surface distress poses a serious threat to traffic safety and imposes a growing burden on urban maintenance budgets. While modern detectors based on convolutional networks and Vision Transformers achieve strong frame-level performance, they often overlook an essential property of road environments—structural symmetry within road networks and damage patterns. We present Graph-MambaRoadDet (GMRD), a symmetry-aware and lightweight framework that integrates dynamic graph reasoning with state–space modeling for accurate, topology-informed, and real-time road damage detection. Specifically, GMRD employs an EfficientViM-T1 backbone and two DefMamba blocks, whose deformable scanning paths capture sub-pixel crack patterns while preserving geometric symmetry. A superpixel-based graph is constructed by projecting image regions onto OpenStreetMap road segments, encoding both spatial structure and symmetric topological layout. We introduce a Graph-Generating State–Space Model (GG-SSM) that synthesizes sparse sample-specific adjacency in O(M) time, further refined by a fusion module that combines detector self-attention with prior symmetry constraints. A consistency loss promotes smooth predictions across symmetric or adjacent segments. The full INT8 model contains only 1.8 M parameters and 1.5 GFLOPs, sustaining 45 FPS at 7 W on a Jetson Orin Nano—eight times lighter and 1.7× faster than YOLOv8-s. On RDD2022, TD-RD, and RoadBench-100K, GMRD surpasses strong baselines by up to +6.1 mAP50:95 and, on the new RoadGraph-RDD benchmark, achieves +5.3 G-mAP and +0.05 consistency gain. Qualitative results demonstrate robustness under shadows, reflections, back-lighting, and occlusion. By explicitly modeling spatial and topological symmetry, GMRD offers a principled solution for city-scale road infrastructure monitoring under real-time and edge-computing constraints. Full article
(This article belongs to the Section Computer)
Show Figures

Figure 1

44 pages, 3439 KB  
Review
Conventional to Deep Learning Methods for Hyperspectral Unmixing: A Review
by Jinlin Zou, Hongwei Qu and Peng Zhang
Remote Sens. 2025, 17(17), 2968; https://doi.org/10.3390/rs17172968 - 27 Aug 2025
Cited by 9 | Viewed by 6288
Abstract
Hyperspectral images often contain many mixed pixels, primarily resulting from their inherent complexity and low spatial resolution. To enhance surface classification and improve sub-pixel target detection accuracy, hyperspectral unmixing technology has consistently become a topical issue. This review provides a comprehensive overview of [...] Read more.
Hyperspectral images often contain many mixed pixels, primarily resulting from their inherent complexity and low spatial resolution. To enhance surface classification and improve sub-pixel target detection accuracy, hyperspectral unmixing technology has consistently become a topical issue. This review provides a comprehensive overview of methodologies for hyperspectral unmixing, from traditional to advanced deep learning approaches. A systematic analysis of various challenges is presented, clarifying underlying principles and evaluating the strengths and limitations of prevalent algorithms. Hyperspectral unmixing is critical for interpreting spectral imagery but faces significant challenges: limited ground-truth data, spectral variability, nonlinear mixing effects, computational demands, and barriers to practical commercialization. Future progress requires bridging the gap to applications through user-centric solutions and integrating multi-modal and multi-temporal data. Research priorities include uncertainty quantification, transfer learning for generalization, neuromorphic edge computing, and developing tuning-free foundation models for cross-scenario robustness. This paper is designed to foster the commercial application of hyperspectral unmixing algorithms and to offer robust support for engineering applications within the hyperspectral remote sensing domain. Full article
(This article belongs to the Special Issue Artificial Intelligence in Hyperspectral Remote Sensing Data Analysis)
Show Figures

Figure 1

17 pages, 7225 KB  
Article
Placido Sub-Pixel Edge Detection Algorithm Based on Enhanced Mexican Hat Wavelet Transform and Improved Zernike Moments
by Yujie Wang, Jinyu Liang, Yating Xiao, Xinfeng Liu, Jiale Li, Guangyu Cui and Quan Zhang
J. Imaging 2025, 11(8), 267; https://doi.org/10.3390/jimaging11080267 - 11 Aug 2025
Viewed by 1446
Abstract
In order to meet the high-precision location requirements of the corneal Placido ring edge in corneal topographic reconstruction, this paper proposes a sub-pixel edge detection algorithm based on multi-scale and multi-position enhanced Mexican Hat Wavelet Transform and improved Zernike moment. Firstly, the image [...] Read more.
In order to meet the high-precision location requirements of the corneal Placido ring edge in corneal topographic reconstruction, this paper proposes a sub-pixel edge detection algorithm based on multi-scale and multi-position enhanced Mexican Hat Wavelet Transform and improved Zernike moment. Firstly, the image undergoes preliminary processing using a multi-scale and multi-position enhanced Mexican Hat Wavelet Transform function. Subsequently, the preliminary edge information extracted is relocated based on the Zernike moments of a 9 × 9 template. Finally, two improved adaptive edge threshold algorithms are employed to determine the actual sub-pixel edge points of the image, thereby realizing sub-pixel edge detection for corneal Placido ring images. Through comparison and analysis of edge extraction results from real human eye images obtained using the algorithm proposed in this paper and those from other existing algorithms, it is observed that the average sub-pixel edge error of other algorithms is 0.286 pixels, whereas the proposed algorithm achieves an average error of only 0.094 pixels. Furthermore, the proposed algorithm demonstrates strong robustness against noise. Full article
(This article belongs to the Section Medical Imaging)
Show Figures

Figure 1

25 pages, 8564 KB  
Article
A Vision-Based Single-Sensor Approach for Identification and Localization of Unloading Hoppers
by Wuzhen Wang, Tianyu Ji, Qi Xu, Chunyi Su and Guangming Zhang
Sensors 2025, 25(14), 4330; https://doi.org/10.3390/s25144330 - 10 Jul 2025
Cited by 1 | Viewed by 1177
Abstract
To promote the automation and intelligence of rail freight, the accurate identification and localization of bulk cargo unloading hoppers have become a key technical challenge. Under the technological wave driven by the deep integration of Industry 4.0 and artificial intelligence, the bulk cargo [...] Read more.
To promote the automation and intelligence of rail freight, the accurate identification and localization of bulk cargo unloading hoppers have become a key technical challenge. Under the technological wave driven by the deep integration of Industry 4.0 and artificial intelligence, the bulk cargo unloading process is undergoing a significant transformation from manual operation to intelligent control. In response to this demand, this paper proposes a vision-based 3D localization system for unloading hoppers, which adopts a single visual sensor architecture and integrates three core modules: object detection, corner extraction, and 3D localization. Firstly, a lightweight hybrid attention mechanism is incorporated into the YOLOv5 network to enable edge deployment and enhance the detection accuracy of unloading hoppers in complex industrial scenarios. Secondly, an image processing approach combining depth consistency constraint (DCC) and geometric structure constraints is designed to achieve sub-pixel level extraction of key corner points. Finally, a real-time 3D localization method is realized by integrating corner-based initialization with an RGB-D SLAM tracking mechanism. Experimental results demonstrate that the proposed system achieves an average localization accuracy of 97.07% under challenging working conditions. This system effectively meets the comprehensive requirements of automation, intelligence, and high precision in railway bulk cargo unloading processes, and exhibits strong engineering practicality and application potential. Full article
(This article belongs to the Section Industrial Sensors)
Show Figures

Figure 1

19 pages, 2465 KB  
Article
The Design and Implementation of a Dynamic Measurement System for a Large Gear Rotation Angle Based on an Extended Visual Field
by Po Du, Zhenyun Duan, Jing Zhang, Wenhui Zhao, Engang Lai and Guozhen Jiang
Sensors 2025, 25(12), 3576; https://doi.org/10.3390/s25123576 - 6 Jun 2025
Cited by 3 | Viewed by 1117
Abstract
High-precision measurement of large gear rotation angles is a critical technology in gear meshing-based measurement systems. To address the challenge of high-precision rotation angle measurement for large gear, this paper proposes a binocular vision method. The methodology consists of the following steps: First, [...] Read more.
High-precision measurement of large gear rotation angles is a critical technology in gear meshing-based measurement systems. To address the challenge of high-precision rotation angle measurement for large gear, this paper proposes a binocular vision method. The methodology consists of the following steps: First, sub-pixel edges of calibration circles on a 2D dot-matrix calibration board are extracted using edge detection algorithms to obtain pixel coordinates of the circle centers. Second, a high-precision calibration of the measurement reference plate is achieved through a 2D four-parameter coordinate transformation algorithm. Third, binocular cameras capture images of the measurement reference plates attached to large gear before and after rotation. Coordinates of the camera’s field-of-view center in the measurement reference plate coordinate system are calculated via image processing and rotation angle algorithms, thereby determining the rotation angle of the large gear. Finally, a binocular vision rotation angle measurement system was developed, and experiments were conducted on a 600 mm-diameter gear to validate the feasibility of the proposed method. The results demonstrate a measurement accuracy of 7 arcseconds (7”) and a repeatability precision of 3 arcseconds (3”) within the 0–30° rotation range, indicating high accuracy and stability. The proposed method and system effectively meet the requirements for high-precision rotation angle measurement of large gear. Full article
(This article belongs to the Section Physical Sensors)
Show Figures

Figure 1

11 pages, 1452 KB  
Article
Research on Concentricity Detection Method of Automobile Brake Piston Parts Based on Improved Canny Algorithm
by Qinghua Li, Wanting Zhao, Siyuan Cheng and Yi Ji
Appl. Sci. 2025, 15(8), 4397; https://doi.org/10.3390/app15084397 - 16 Apr 2025
Viewed by 624
Abstract
The automotive brake piston component is an important part of the automotive brake system, and the concentricity detection of the first piston component is crucial to ensure driving safety. In this paper, an improved Canny algorithm is proposed for non-contact detection of spring [...] Read more.
The automotive brake piston component is an important part of the automotive brake system, and the concentricity detection of the first piston component is crucial to ensure driving safety. In this paper, an improved Canny algorithm is proposed for non-contact detection of spring concentricity of the first piston component. Firstly, the traditional Canny algorithm is improved by replacing the Gaussian filter with a bilateral filter to fully retain the edge information, and accurate edge detection results are obtained by constructing a multi-scale analysis. After obtaining the edge images, a sub-pixel edge detection method with gray moments is introduced to optimize these edges; secondly, a circle is fitted to the extracted edge points by using the RANSAC algorithm to determine the center position and radius of the circle; and finally, the concentricity of the first piston part is calculated based on the fitting results. The experimental results are compared with those of the CMM and the traditional Canny algorithm, and the results show that the improved Canny algorithm reduces the coaxiality error by 4% and enables effective measurement of the concentricity of the first piston assembly spring. Full article
Show Figures

Figure 1

22 pages, 5840 KB  
Article
Fast Monocular Measurement via Deep Learning-Based Object Detection for Real-Time Gas-Insulated Transmission Line Deformation Monitoring
by Guiyun Yang, Wengang Yang, Entuo Li, Qinglong Wang, Huilong Han, Jie Sun and Meng Wang
Energies 2025, 18(8), 1898; https://doi.org/10.3390/en18081898 - 8 Apr 2025
Viewed by 1082
Abstract
Deformation monitoring of Gas-Insulated Transmission Lines (GILs) is critical for the early detection of structural issues and for ensuring safe power transmission. In this study, we introduce a rapid monocular measurement method that leverages deep learning for real-time monitoring. A YOLOv10 model is [...] Read more.
Deformation monitoring of Gas-Insulated Transmission Lines (GILs) is critical for the early detection of structural issues and for ensuring safe power transmission. In this study, we introduce a rapid monocular measurement method that leverages deep learning for real-time monitoring. A YOLOv10 model is developed for automatically identifying regions of interest (ROIs) that may exhibit deformations. Within these ROIs, grayscale data is used to dynamically set thresholds for FAST corner detection, while the Shi–Tomasi algorithm filters redundant corners to extract unique feature points for precise tracking. Subsequent subpixel refinement further enhances measurement accuracy. To correct image tilt, ArUco markers are employed for geometric correction and to compute a scaling factor based on their known edge lengths, thereby reducing errors caused by non-perpendicular camera angles. Simulated experiments validate our approach, demonstrating that combining refined ArUco marker coordinates with manually annotated features significantly improves detection accuracy. Our method achieves a mean absolute error of no more than 1.337 mm and a processing speed of approximately 0.024 s per frame, meeting the precision and efficiency requirements for GIL deformation monitoring. This integrated approach offers a robust solution for long-term, real-time monitoring of GIL deformations, with promising potential for practical applications in power transmission systems. Full article
Show Figures

Figure 1

Back to TopTop