Sign in to use this feature.

Years

Between: -

Subjects

remove_circle_outline
remove_circle_outline
remove_circle_outline
remove_circle_outline
remove_circle_outline
remove_circle_outline
remove_circle_outline

Journals

Article Types

Countries / Regions

remove_circle_outline
remove_circle_outline
remove_circle_outline
remove_circle_outline

Search Results (368)

Search Parameters:
Keywords = structure-based pharmacophores

Order results
Result details
Results per page
Select all
Export citation of selected articles as:
22 pages, 4768 KB  
Article
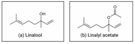
Interactions of Linalool and Linalyl Acetate with Selected Dog Cytochrome P450 (CYP) Proteins Identified by In Silico Drug Discovery Followed by Molecular Docking Analysis
by Raquel Rodrigues Soares-Santos, Arun Kumar Jaiswal, Renata Cristina Mendes Ferreira, Vasco Ariston de Carvalho Azevedo, Flávia Figueira Aburjaile and Benito Soto-Blanco
Pharmaceuticals 2025, 18(10), 1499; https://doi.org/10.3390/ph18101499 - 6 Oct 2025
Abstract
Background: Cytochrome P450 (CYP450) enzymes play a central role in the metabolism of xenobiotics, including plant-derived compounds such as terpenoids. Objectives: This study aimed to predict the molecular interactions of linalool (LIN) and linalyl acetate (LINAct), major constituents of lavender essential oil, [...] Read more.
Background: Cytochrome P450 (CYP450) enzymes play a central role in the metabolism of xenobiotics, including plant-derived compounds such as terpenoids. Objectives: This study aimed to predict the molecular interactions of linalool (LIN) and linalyl acetate (LINAct), major constituents of lavender essential oil, with the canine CYP2B11, CYP2C21, and CYP2D15 isoforms, using in silico approaches. Methods: Three-dimensional (3D) models of the target enzymes were generated through homology modeling using SWISS-MODEL and validated based on global model quality estimate (GMQE) and QMEAN Z-score metrics. Ligand structures were optimized in the Molecular Operating Environment (MOE), and pharmacophoric features were analyzed. Molecular docking simulations were performed using AutoDock Vina, followed by visualization of interactions in MOE. Results: LIN and LINAct exhibit favorable binding affinities with all three isoforms, suggesting their potential as substrates or modulators. Hydrogen bonding and hydrophobic interactions were the predominant forces stabilizing the ligand–enzyme complexes. Conclusions: These findings provide a computational basis for understanding the hepatic metabolism of LIN and LINAct in dogs, offering preliminary insights into the role of specific CYP isoforms in their biotransformation. Full article
Show Figures

Figure 1

53 pages, 16657 KB  
Review
Biologically Active Benzimidazole Hybrids as Cancer Therapeutics: Recent Advances
by Mohamed A. S. Badawy, Stefan Bräse, Taha F. S. Ali, Mohamed Abdel-Aziz and Hamdy M. Abdel-Rahman
Pharmaceuticals 2025, 18(10), 1454; https://doi.org/10.3390/ph18101454 - 28 Sep 2025
Abstract
Cancer is a highly significant medical concern, as it is the second most prevalent cause of mortality after cardiovascular diseases. It arises due to dysregulated cell cycle control, leading to a gradual decline in cellular differentiation and unrestricted cellular proliferation. Therefore, the primary [...] Read more.
Cancer is a highly significant medical concern, as it is the second most prevalent cause of mortality after cardiovascular diseases. It arises due to dysregulated cell cycle control, leading to a gradual decline in cellular differentiation and unrestricted cellular proliferation. Therefore, the primary objective for researchers is to develop a cancer treatment that addresses drug resistance while providing effective therapeutic benefits and minimizing side effects. Benzimidazole has garnered significant attention because it serves as an auxiliary isostere of nucleotides, which are found in several natural and biologically active molecules. Benzimidazole compounds possess a privileged pharmacophore that exhibits various pharmacological actions. Several benzimidazole derivatives exhibit dual or multiple anticancer properties through diverse mechanisms, focusing on specific compounds or employing strategies that are not gene specific. Furthermore, many drugs based on benzimidazole have previously been approved to treat cancer. This comprehensive review encompasses the most important reports on various benzimidazole hybrids, highlighting their anticancer significance, mechanism of action, and structure-activity relationships from 2005 up to 2025. These provide valuable knowledge for designing effective anticancer drugs. Full article
(This article belongs to the Special Issue Advances in Medicinal Chemistry: 2nd Edition)
Show Figures

Graphical abstract

27 pages, 5600 KB  
Article
Comparative Study of Ferrocene- and Indene-Based Tamoxifen Derivatives of Different Molecular Flexibility on High-Mortality Cancer Cell Lines
by Márton Kalabay, Zsófia Szász, Eszter Lajkó, Bálint Bagu, Éva Pállinger, Cintia Duró, Tamás Jernei, Antal Csámpai, Angéla Takács and László Kőhidai
Pharmaceuticals 2025, 18(9), 1417; https://doi.org/10.3390/ph18091417 - 20 Sep 2025
Viewed by 165
Abstract
Tamoxifen is a well-established selective estrogen receptor modulator (SERM) widely used in breast cancer treatment, yet its efficacy varies across tumor types. To enhance its antitumor potential, we previously synthesized and investigated novel ferrocene-linked (T5, T15) derivatives. This publication is a close continuation [...] Read more.
Tamoxifen is a well-established selective estrogen receptor modulator (SERM) widely used in breast cancer treatment, yet its efficacy varies across tumor types. To enhance its antitumor potential, we previously synthesized and investigated novel ferrocene-linked (T5, T15) derivatives. This publication is a close continuation of this work, introducing a new indene-based (T6) derivative. Objectives: The main aim of this study was to further broaden our knowledge of the mechanism behind the increased antitumor effect of the ferrocene-linked drugs (T5 and T15) and compare it with a new, indene-based tamoxifen derivative, T6. The indene moiety was selected as a rigid, hydrophobic aromatic unit to probe pharmacological effects independent of ferrocene’s redox activity. Methods: The compounds were tested on MCF7, MDA-MB231 and PANC1 cells. Cell viability was assessed with the AlamarBlue assay and the xCELLigence SP system. Reactive oxygen species (ROS) production was measured with the ROS Glo assay. Flow cytometry and RT-qPCR experiments were conducted to assess apoptosis and ROS regulation as well. Results: The modified compounds demonstrated an increased cell-viability-decreasing effect in breast (MCF7, MDA-MB-231) and pancreatic (PANC1) cancer cell lines, influencing both estrogen-receptor-dependent and -independent pathways. T6 led to G2/M phase arrest in PANC1 cells. Beyond cell cycle disruption, these derivatives significantly elevated ROS levels, contributing to apoptosis. Conclusions: Our findings suggest that these structural modifications retain tamoxifen’s pharmacophore properties while expanding its mechanism of action, particularly through universal interactions independent of the ER status of tumor cells. The enhanced antitumor effects highlight the potential of these derivatives as promising candidates for improved cancer therapies. Full article
(This article belongs to the Special Issue Chemotherapeutic and Targeted Drugs in Antitumor Therapy)
Show Figures

Graphical abstract

21 pages, 3091 KB  
Article
Pharmacophore-Based Virtual Screening of Alkaloids and Flavonoids for Designing Drugs with Inhibitory Activity on the Enzyme Monoamine Oxidase B
by Ana Carolina de Jesus Silva, Ana Beatriz Bezerra dos Santos, Mariana Pegrucci Barcelos, Carlos Henrique Tomich de Paula da Silva and Lorane Izabel da Silva Hage-Melim
Appl. Sci. 2025, 15(18), 10162; https://doi.org/10.3390/app151810162 - 18 Sep 2025
Viewed by 376
Abstract
Parkinson’s disease is a neurodegenerative disorder characterized by the degeneration of dopaminergic neurons, resulting in multiple motor and cognitive impairments. Among the hypotheses proposed for its etiology, oxidative stress mediated by the enzyme monoamine oxidase B (MAO-B) stands out, as it is directly [...] Read more.
Parkinson’s disease is a neurodegenerative disorder characterized by the degeneration of dopaminergic neurons, resulting in multiple motor and cognitive impairments. Among the hypotheses proposed for its etiology, oxidative stress mediated by the enzyme monoamine oxidase B (MAO-B) stands out, as it is directly associated with dopamine metabolism. In this context, the search for molecules with potential antiparkinsonian activity and low toxicity, particularly those of natural origin, has been extensively investigated using computational approaches. In the present study, a pharmacophore-based virtual screening was carried out on molecules belonging to the alkaloid and flavonoid groups, followed by the evaluation of their pharmacokinetic, toxicological, and biological activity profiles, as well as ligand–receptor interaction analysis through molecular docking. The results indicated that palmatine, genistein, ZINC00597214, and ZINC72342127 exhibited superior performance compared to the other analyzed structures, considering all evaluated criteria. Therefore, this study, through in silico methodologies, demonstrated the antiparkinsonian potential of several chemical structures, attributable to their inhibitory activity on the MAO-B enzyme. Further experimental investigations, both in vitro and in vivo, are necessary to more comprehensively characterize the properties of these molecules, with the ultimate goal of developing new therapeutic strategies for the treatment of Parkinson’s disease. Full article
Show Figures

Figure 1

47 pages, 13281 KB  
Review
Orphan Three-Finger Toxins from Snake Venoms: Unexplored Library of Novel Biological Ligands with Potential New Structures and Functions
by Cho Yeow Koh and R. Manjunatha Kini
Int. J. Mol. Sci. 2025, 26(18), 8792; https://doi.org/10.3390/ijms26188792 - 9 Sep 2025
Viewed by 687
Abstract
Three-finger toxins (3FTxs) from snake venom are the most abundant toxin family of mini non-enzymatic proteins, comprising 40–70% of the venom proteome. Despite their common three-finger structural scaffold, 3FTxs exhibit diverse pharmacological functions. Other than neurotoxins, they also include analgesic acid-sensing ion channel [...] Read more.
Three-finger toxins (3FTxs) from snake venom are the most abundant toxin family of mini non-enzymatic proteins, comprising 40–70% of the venom proteome. Despite their common three-finger structural scaffold, 3FTxs exhibit diverse pharmacological functions. Other than neurotoxins, they also include analgesic acid-sensing ion channel blockers, sodium and potassium channel modulators, integrin- and G-protein-coupled-receptor-targeting ligands, and gamma-aminobutyric acid type A receptor modulators that collectively span pain, cardiovascular, oncologic, and neurologic indications. However, in this fast-growing 3FTx family, there are several hundred 3FTxs whose functions have not yet been determined. Here, we systematically analyzed over 550 amino acid sequences of 3FTxs. Based on their structural features, we have classified them into more than 150 distinct subgroups. This updated information on this novel 3FTx toolkit will provide an unexplored library of investigational ligands and pharmacophores with potential therapeutic and diagnostic leads, as well as research tools. Thus, this review will provide new impetus in toxin research and pave the way for the design of potent, selective ligands for new sets of target receptors, ion channels, and enzymes. Full article
(This article belongs to the Section Molecular Toxicology)
Show Figures

Figure 1

32 pages, 15870 KB  
Article
Molecular Insights into Bromocriptine Binding to GPCRs Within Histamine-Linked Signaling Networks: Network Pharmacology, Pharmacophore Modeling, and Molecular Dynamics Simulation
by Doni Dermawan, Lamiae Elbouamri, Samir Chtita and Nasser Alotaiq
Int. J. Mol. Sci. 2025, 26(17), 8717; https://doi.org/10.3390/ijms26178717 - 7 Sep 2025
Viewed by 1067
Abstract
This study aimed to investigate the molecular binding mechanisms of bromocriptine toward histamine-associated targets, exploring both antagonist-like and other potential interaction modes that may support therapeutic repurposing. Network pharmacology was applied to identify histamine-related pathways and prioritize potential protein targets. CXCR4, GHSR, and [...] Read more.
This study aimed to investigate the molecular binding mechanisms of bromocriptine toward histamine-associated targets, exploring both antagonist-like and other potential interaction modes that may support therapeutic repurposing. Network pharmacology was applied to identify histamine-related pathways and prioritize potential protein targets. CXCR4, GHSR, and OXTR were selected based on combined docking scores and pharmacophore modeling evidence. Molecular dynamics (MD) simulations over 100 ns assessed structural stability, flexibility, compactness, and solvent exposure. Binding site contact analysis and MM/PBSA free binding energy calculations were conducted to characterize binding energetics and interaction persistence. Bromocriptine exhibited stable binding to all three receptors, engaging key residues implicated in receptor modulation (e.g., Asp187 in CXCR4, Asp99 in GHSR, Arg232 in OXTR). The MM/PBSA ΔG_binding values of bromocriptine were −22.67 ± 3.70 kcal/mol (CXCR4 complex), −22.11 ± 3.55 kcal/mol (GHSR complex), and −21.43 ± 2.41 kcal/mol (OXTR complex), stronger than standard agonists and comparable to antagonists. Contact profiles revealed shared and unique binding patterns across targets, reflecting their potential for diverse modulatory effects. Bromocriptine demonstrates high-affinity binding to multiple histamine-associated GPCR targets, potentially exerting both inhibitory and modulatory actions. These findings provide a molecular basis for further experimental validation and therapeutic exploration in histamine-related conditions. Full article
Show Figures

Figure 1

21 pages, 2295 KB  
Article
Discovery of a Promising Hydroxyamino-Piperidine HDAC6 Inhibitor via Integrated Virtual Screening and Experimental Validation in Multiple Myeloma
by Federica Chiera, Antonio Curcio, Roberta Rocca, Ilenia Valentino, Massimo Gentile, Stefano Alcaro, Nicola Amodio and Anna Artese
Pharmaceuticals 2025, 18(9), 1303; https://doi.org/10.3390/ph18091303 - 29 Aug 2025
Viewed by 586
Abstract
Background: Histone deacetylase 6 (HDAC6) is a unique class IIb HDAC isozyme characterized by two catalytic domains and a zinc finger ubiquitin-binding domain. It plays critical roles in various cellular processes, including protein degradation, autophagy, immune regulation, and cytoskeletal dynamics. Due to its [...] Read more.
Background: Histone deacetylase 6 (HDAC6) is a unique class IIb HDAC isozyme characterized by two catalytic domains and a zinc finger ubiquitin-binding domain. It plays critical roles in various cellular processes, including protein degradation, autophagy, immune regulation, and cytoskeletal dynamics. Due to its multifunctional nature and overexpression in several cancer types, HDAC6 has emerged as a promising therapeutic target. Methods: In this study, we employed a ligand-based pharmacophore modeling approach using a structurally diverse set of known HDAC6 inhibitors. This was followed by the virtual screening of over 140,000 commercially available compounds from both the MolPort and Asinex databases. The screening workflow incorporated pharmacophore filtering, molecular docking, and molecular dynamic (MD) simulations. Binding free energies were estimated using Molecular Mechanics Generalized Born Surface Area (MM-GBSA) analysis to prioritize top candidates. A fluorometric enzymatic assay was used to measure HDAC6 activity, while cell viability assay by Cell Titer Glo was used to assess the anti-tumor activity against drug-sensitive and -resistant multiple myeloma (MM) cells. Western blotting was used to evaluate the acetylation of tubulin or histone H4 after treatment with selected compounds. Results: Three promising compounds were identified based on stable binding conformations and favorable interactions within the HDAC6 catalytic pocket. Among them, Molecular Mechanics Generalized Born Surface Area (MM-GBSA) analysis identified Compound 10 (AKOS030273637) as the top theoretical binder, with a ΔGbind value of −45.41 kcal/mol. In vitro enzymatic assays confirmed its binding to the HDAC6 catalytic domain and inhibitory activity. Functional studies on MM cell lines, including drug-resistant variants, showed that Compound 10 reduced cell viability. Increased acetylation of α-tubulin, a substrate of HDAC6, likely suggested on-target mechanism of action. Conclusions: Compound 10, featuring a benzyl 4-[4-(hydroxyamino)-4-oxobutylidene] piperidine-1-carboxylate scaffold, demonstrates potential drug-like properties and a predicted bidentate zinc ion coordination, supporting its potential as an HDAC6 inhibitor for further development in hematologic malignancies. Full article
(This article belongs to the Section Medicinal Chemistry)
Show Figures

Graphical abstract

23 pages, 16301 KB  
Article
Discovery of Small-Molecule PD-L1 Inhibitors via Virtual Screening and Their Immune-Mediated Anti-Tumor Effects
by Chunlai Feng, Yingying Ge, Siqi Wang, Mengru Li, Qiying Chen, Hangyu Dong and Mengjie Rui
Pharmaceuticals 2025, 18(8), 1209; https://doi.org/10.3390/ph18081209 - 15 Aug 2025
Viewed by 817
Abstract
Background/Objectives: Monoclonal antibodies targeting the PD-1/PD-L1 immune checkpoint have achieved clinical success but face drawbacks such as poor oral bioavailability, limited tumor penetration, and immune-related adverse events. Small-molecule inhibitors present a promising alternative that may overcome these challenges. Methods: Here, an [...] Read more.
Background/Objectives: Monoclonal antibodies targeting the PD-1/PD-L1 immune checkpoint have achieved clinical success but face drawbacks such as poor oral bioavailability, limited tumor penetration, and immune-related adverse events. Small-molecule inhibitors present a promising alternative that may overcome these challenges. Methods: Here, an integrated computational framework combining ligand-based pharmacophore modeling and structure-based molecular docking was utilized to screen a comprehensive library consisting of traditional Chinese medicine-derived compounds and clinically approved drugs. The binding affinity between identified candidate compounds and PD-L1 was quantitatively assessed using bio-layer interferometry (BLI). In vitro cytotoxicity assays were conducted on A549 human lung carcinoma and LLC mouse lung carcinoma cell lines. In vivo antitumor efficacy was evaluated in LLC tumor-bearing mice through measurement of tumor growth inhibition, serum cytokine levels (IFN-γ and IL-4) by ELISA, and expression levels of IFN-γ and granzyme B (GZMB) within tumor tissues via immunohistochemistry. Results: In vitro, anidulafungin exhibited anti-tumor effects against both human lung cancer A549 cells and mouse Lewis lung carcinoma (LLC) tumor cells, with IC50 values of 170.6 µg/mL and 160.9 µg/mL, respectively. The BLI analysis revealed a dissociation constant (KD) of 76.9 μM, indicating a high affinity of anidulafungin for PD-L1. In vivo, anidulafungin significantly increased serum levels of IFN-γ and IL-4 in tumor-bearing mice and elevated expression of IFN-γ and granzyme B (GZMB) in tumor tissues, confirming its immune-mediated anti-tumor effects. Conclusions: Anidulafungin represents a promising small-molecule PD-L1 inhibitor, demonstrating significant anti-tumor potential via immune activation and highlighting the feasibility of repurposing approved drugs for cancer immunotherapy. Full article
(This article belongs to the Section Medicinal Chemistry)
Show Figures

Graphical abstract

18 pages, 4256 KB  
Article
Multiscale Computational and Pharmacophore-Based Screening of ALK Inhibitors with Experimental Validation
by Ya-Kun Zhang, Jian-Bo Tong, Yue Sun and Yan-Rong Zeng
Pharmaceuticals 2025, 18(8), 1207; https://doi.org/10.3390/ph18081207 - 15 Aug 2025
Viewed by 597
Abstract
Background: Anaplastic lymphoma kinase (ALK) is a key receptor tyrosine kinase involved in regulating signaling pathways critical for cell proliferation, differentiation, and survival. Mutations or rearrangements of the ALK gene lead to aberrant kinase activation, driving tumorigenesis in various cancers. Although ALK inhibitors [...] Read more.
Background: Anaplastic lymphoma kinase (ALK) is a key receptor tyrosine kinase involved in regulating signaling pathways critical for cell proliferation, differentiation, and survival. Mutations or rearrangements of the ALK gene lead to aberrant kinase activation, driving tumorigenesis in various cancers. Although ALK inhibitors have shown clinical benefits, drug resistance remains a significant barrier to long-term efficacy. Developing novel ALK inhibitors capable of overcoming resistance is therefore essential. Methods: A structure-based pharmacophore model was constructed using the 3D structures of five approved ALK inhibitors. Systematic virtual screening of the Topscience drug-like database was performed incorporating PAINS filtering, ADMET prediction, and molecular docking to identify promising candidates. In vitro antiproliferative assays, molecular docking, molecular dynamics simulations, and MM/GBSA binding free energy calculations were used to evaluate biological activity and elucidate binding mechanisms. Results: Two candidates, F1739-0081 and F2571-0016, were identified. F1739-0081 exhibited moderate antiproliferative activity against the A549 cell line, suggesting potential for further optimization. Computational analyses revealed its probable binding modes and interactions with ALK, supporting the observed activity. Conclusions: This study successfully identified novel ALK inhibitor candidates with promising biological activity. The integrated computational and experimental approach provides valuable insights for the rational design of optimized ALK inhibitors to address drug resistance in cancer therapy. Full article
Show Figures

Graphical abstract

34 pages, 10887 KB  
Article
Heteroaryl-Capped Hydroxamic Acid Derivatives with Varied Linkers: Synthesis and Anticancer Evaluation with Various Apoptosis Analyses in Breast Cancer Cells, Including Docking, Simulation, DFT, and ADMET Studies
by Ekta Shirbhate, Biplob Koch, Vaibhav Singh, Akanksha Dubey, Haya Khader Ahmad Yasin and Harish Rajak
Pharmaceuticals 2025, 18(8), 1148; https://doi.org/10.3390/ph18081148 - 1 Aug 2025
Viewed by 572
Abstract
Background/Objectives: Cancer suffers from unresolved therapeutic challenges owing to the lack of targeted therapies and heightened recurrence risk. This study aimed to investigate the new series of hydroxamate by structurally modifying the pharmacophore of vorinostat. Methods: The present work involves the synthesis of [...] Read more.
Background/Objectives: Cancer suffers from unresolved therapeutic challenges owing to the lack of targeted therapies and heightened recurrence risk. This study aimed to investigate the new series of hydroxamate by structurally modifying the pharmacophore of vorinostat. Methods: The present work involves the synthesis of 15 differently substituted 2H-1,2,3-triazole-based hydroxamide analogs by employing triazole ring as a cap with varied linker fragments. The compounds were evaluated for their anticancer effect, especially their anti-breast cancer response. Molecular docking and molecular dynamics simulations were conducted to examine binding interactions. Results: Results indicated that among all synthesized hybrids, the molecule VI(i) inhibits the growth of MCF-7 and A-549 cells (GI50 < 10 μg/mL) in an antiproliferative assay. Compound VI(i) was also tested for cytotoxic activity by employing an MTT assay against A549, MCF-7, and MDA-MB-231 cell lines, and the findings indicate its potent anticancer response, especially against MCF-7 cells with IC50 of 60 µg/mL. However, it experiences minimal toxicity towards the normal cell line (HEK-293). Mechanistic studies revealed a dual-pathway activation: first, apoptosis (17.18% of early and 10.22% of late apoptotic cells by annexin V/PI analysis); second, cell cycle arrest at the S and G2/M phases. It also promotes ROS generation in a concentration-dependent manner. The HDAC–inhibitory assay, extended in silico molecular docking, and MD simulation experiments further validated its significant binding affinity towards HDAC 1 and 6 isoforms. DFT and ADMET screening further support the biological proclivity of the title compounds. The notable biological contribution of VI(i) highlights it as a potential candidate, especially against breast cancer cells. Full article
(This article belongs to the Section Medicinal Chemistry)
Show Figures

Figure 1

31 pages, 19845 KB  
Article
In Silico Approaches for the Discovery of Novel Pyrazoline Benzenesulfonamide Derivatives as Anti-Breast Cancer Agents Against Estrogen Receptor Alpha (ERα)
by Dadang Muhammad Hasyim, Ida Musfiroh, Rudi Hendra, Taufik Muhammad Fakih, Nur Kusaira Khairul Ikram and Muchtaridi Muchtaridi
Appl. Sci. 2025, 15(15), 8444; https://doi.org/10.3390/app15158444 - 30 Jul 2025
Viewed by 799
Abstract
Estrogen receptor alpha (ERα) plays a vital role in the development and progression of breast cancer by regulating the expression of genes associated with cell proliferation in breast tissue. ERα inhibition is a key strategy in the prevention and treatment of breast cancer. [...] Read more.
Estrogen receptor alpha (ERα) plays a vital role in the development and progression of breast cancer by regulating the expression of genes associated with cell proliferation in breast tissue. ERα inhibition is a key strategy in the prevention and treatment of breast cancer. Previous research modified chalcone compounds into pyrazoline benzenesulfonamide derivatives (Modifina) which show activity as an ERα inhibitor. This study aimed to design novel pyrazoline benzenesulfonamide derivatives (PBDs) as ERα antagonists using in silico approaches. Structure-based and ligand-based drug design approaches were used to create drug target molecules. A total of forty-five target molecules were initially designed and screened for drug likeness (Lipinski’s rule of five), cytotoxicity, pharmacokinetics and toxicity using a web-based prediction tools. Promising candidates were subjected to molecular docking using AutoDock 4.2.6 to evaluate their binding interaction with ERα, followed by molecular dynamics simulations using AMBER20 to assess complex stability. A pharmacophore model was also generated using LigandScout 4.4.3 Advanced. The molecular docking results identified PBD-17 and PBD-20 as the most promising compounds, with binding free energies (ΔG) of −11.21 kcal/mol and −11.15 kcal/mol, respectively. Both formed hydrogen bonds with key ERα residues ARG394, GLU353, and LEU387. MM-PBSA further supported these findings, with binding energies of −58.23 kJ/mol for PDB-17 and −139.46 kJ/mol for PDB-20, compared to −145.31 kJ/mol, for the reference compound, 4-OHT. Although slightly less favorable than 4-OHT, PBD-20 demonstrated a more stable interaction with ERα than PBD-17. Furthermore, pharmacophore screening showed that both PBD-17 and PBD-20 aligned well with the generated model, each achieving a match score of 45.20. These findings suggest that PBD-17 and PBD-20 are promising lead compounds for the development of a potent ERα inhibitor in breast cancer therapy. Full article
(This article belongs to the Special Issue Drug Discovery and Delivery in Medicinal Chemistry)
Show Figures

Figure 1

34 pages, 16124 KB  
Article
Molecular Dynamics Studies on the Inhibition of Cholinesterases by Secondary Metabolites
by Michael D. Gambardella, Yigui Wang and Jiongdong Pang
Catalysts 2025, 15(8), 707; https://doi.org/10.3390/catal15080707 - 25 Jul 2025
Viewed by 614
Abstract
The search for selective anticholinergic agents stems from varying cholinesterase levels as Alzheimer’s Disease progresses from the mid-to-late stage and from butyrylcholinesterase’s (BChE) role in β-amyloid plaque formation. While structure-based and pharmacophore-based virtual screening could search from large libraries in a short time, [...] Read more.
The search for selective anticholinergic agents stems from varying cholinesterase levels as Alzheimer’s Disease progresses from the mid-to-late stage and from butyrylcholinesterase’s (BChE) role in β-amyloid plaque formation. While structure-based and pharmacophore-based virtual screening could search from large libraries in a short time, these methods do not consider dynamic features that result from a ligand’s inhibition of the enzyme and consequently may under- or overexaggerate enzyme selectivity of a given ligand. In this computational study, we probed the selectivity of representative secondary metabolite compounds against acetylcholinesterase and BChE through molecular dynamics simulations. The results were evaluated by analysis of the root mean squared deviation of ligand heavy atoms, the radius of gyration of each inhibited and uninhibited enzyme, root mean squared fluctuation of residues, intermolecular interaction energy, and linear interaction energy approximation of the Gibbs free energy of binding. These considerations further reveal the induced-fit characteristics contributing to ChE selectivity that are predominantly due to the greater flexibility of BChE’s active site gorge. Full article
Show Figures

Figure 1

22 pages, 3355 KB  
Article
Design, Docking Analysis, and Structure–Activity Relationship of Ferrocene-Modified Tyrosine Kinase Inhibitors: Insights into BCR-ABL Interactions
by Irena Philipova, Mariyana Atanasova, Rositsa Mihaylova, Asine Dailova-Barzeva, Stefan M. Ivanov, Rumyana L. Simeonova and Georgi Stavrakov
Molecules 2025, 30(15), 3101; https://doi.org/10.3390/molecules30153101 - 24 Jul 2025
Viewed by 894
Abstract
Ferrocene (Fc), a redox-active organometallic scaffold, has attracted significant attention in medicinal chemistry due to its favorable physicochemical and pharmacological properties. The present study explores the therapeutic potential of novel Fc-functionalized analogues of imatinib and nilotinib, aimed at targeting BCR-ABL1+ chronic myeloid leukemia [...] Read more.
Ferrocene (Fc), a redox-active organometallic scaffold, has attracted significant attention in medicinal chemistry due to its favorable physicochemical and pharmacological properties. The present study explores the therapeutic potential of novel Fc-functionalized analogues of imatinib and nilotinib, aimed at targeting BCR-ABL1+ chronic myeloid leukemia (CML) cells. A series of Fc-based derivatives (compounds 6, 9, 14, and 18) were synthesized by systematically substituting key pharmacophoric regions of the parent tyrosine kinase inhibitors with Fc units. The antiproliferative activity of these compounds was evaluated against four BCR-ABL1-positive leukemia cell lines (K-562, BV-173, AR-230, and LAMA-84), with imatinib serving as a reference drug. Biological assays revealed distinct structure–activity relationships. Compounds 6 and 9 demonstrated superior activity against the K-562 cell line, while compounds 14 and 18 exhibited enhanced potency and higher ligand efficiencies (LEs) against BV-173 and AR-230 cells compared to imatinib. Selectivity assays further indicated favorable toxicity profiles of compounds 9 and 14 toward malignant versus non-malignant cells. Molecular docking studies supported these findings, showing that Fc substitution alters binding interactions within the c-Abl kinase ATP-binding site while retaining key stabilizing contacts. Computationally predicted LEs showed strong correlation with experimental data, especially for K-562 and LAMA-84 cells, confirming the kinase as a relevant target. Full article
Show Figures

Graphical abstract

21 pages, 2880 KB  
Article
Valorization of a Natural Compound Library in Exploring Potential Marburg Virus VP35 Cofactor Inhibitors via an In Silico Drug Discovery Strategy
by Mohamed Mouadh Messaoui, Mebarka Ouassaf, Nada Anede, Kannan R. R. Rengasamy, Shafi Ullah Khan and Bader Y. Alhatlani
Curr. Issues Mol. Biol. 2025, 47(7), 506; https://doi.org/10.3390/cimb47070506 - 2 Jul 2025
Viewed by 738
Abstract
This study focuses on exploring potential inhibitors of the Marburg virus interferon inhibitory domain protein (MARV-VP35), which is responsible for immune evasion and immunosuppression during viral manifestation. A combination of in silico techniques was applied, including structure-based pharmacophore virtual screening, molecular docking, absorption, [...] Read more.
This study focuses on exploring potential inhibitors of the Marburg virus interferon inhibitory domain protein (MARV-VP35), which is responsible for immune evasion and immunosuppression during viral manifestation. A combination of in silico techniques was applied, including structure-based pharmacophore virtual screening, molecular docking, absorption, distribution, metabolism, excretion, and toxicity (ADMET) analysis, molecular dynamics (MD), and molecular stability assessment of the identified hits. The docking scores of the 14 selected ligands ranged between −6.88 kcal/mol and −5.28 kcal/mol, the latter being comparable to the control ligand. ADMET and drug likeness evaluation identified Mol_01 and Mol_09 as the most promising candidates, both demonstrating good predicted antiviral activity against viral targets. Density functional theory (DFT) calculations, along with relevant quantum chemical descriptors, correlated well with the docking score hierarchy, and molecular electrostatic potential (MEP) mapping confirmed favorable electronic distributions supporting the docking orientation. Molecular dynamics simulations further validated complex stability, with consistent root mean square deviation (RMSD), root mean square fluctuation (RMSF), and secondary structure element (SSE) profiles. These findings support Mol_01 and Mol_09 as viable candidates for experimental validation. Full article
(This article belongs to the Special Issue Molecular Research in Bioactivity of Natural Products, 2nd Edition)
Show Figures

Figure 1

19 pages, 3395 KB  
Article
Identification and Characterization of Novel Inhibitors of Human Poly(ADP-Ribose) Polymerase-1
by Ibrahim Morgan, Robert Rennert, Robert Berger, Ahmed Hassanin, Mehdi D. Davari, Daniela Eisenschmidt-Bönn and Ludger A. Wessjohann
Molecules 2025, 30(13), 2728; https://doi.org/10.3390/molecules30132728 - 25 Jun 2025
Viewed by 973
Abstract
Poly(ADP-ribose) polymerases (PARP) are a family of enzymes that were proven to play an essential role in the initiation and activation of DNA repair processes in the case of DNA single-strand breaks. The inhibition of PARP enzymes might be a promising option for [...] Read more.
Poly(ADP-ribose) polymerases (PARP) are a family of enzymes that were proven to play an essential role in the initiation and activation of DNA repair processes in the case of DNA single-strand breaks. The inhibition of PARP enzymes might be a promising option for the treatment of several challenging types of cancers, including triple-negative breast cancer (TNBC) and non-small cell lung carcinoma (NSCLC). This study utilizes several techniques to screen the compound collection of the Leibniz Institute of Plant Biochemistry (IPB) to identify novel hPARP-1 inhibitors. First, an in silico pharmacophore-based docking study was conducted to virtually screen compounds with potential inhibitory effects. To evaluate these compounds in vitro, a cell-free enzyme assay was developed, optimized, and employed to identify hPARP-1 inhibitors, resulting in the discovery of two novel scaffolds represented by compounds 54 and 57, with the latter being the most active one from the compound library. Furthermore, fluorescence microscopy and synergism assays were performed to investigate the cellular and nuclear pathways of hPARP-1 inhibitor 57 and its potential synergistic effect with the DNA-damaging agent temozolomide. The findings suggest that the compound requires further lead optimization to enhance its ability to target the nuclear PARP enzyme effectively. Nonetheless, this new scaffold demonstrated a five-fold higher PARP inhibitory activity at the enzyme level compared to the core structure of olaparib (OLP), phthalazin-1(2H)-one. Full article
Show Figures

Figure 1

Back to TopTop