Sign in to use this feature.

Years

Between: -

Subjects

remove_circle_outline
remove_circle_outline
remove_circle_outline
remove_circle_outline

Journals

Article Types

Countries / Regions

Search Results (17)

Search Parameters:
Keywords = structure–chiral selectivity relationships

Order results
Result details
Results per page
Select all
Export citation of selected articles as:
13 pages, 1882 KB  
Article
Crystallization of Four Troglitazone Isomers: Selectivity and Structural Considerations
by Shinji Matsuura, Koichi Igarashi, Masayuki Azuma and Hiroshi Ooshima
Crystals 2025, 15(10), 866; https://doi.org/10.3390/cryst15100866 - 30 Sep 2025
Viewed by 206
Abstract
The control of crystal form in chiral active pharmaceutical ingredients (APIs) is a critical challenge in pharmaceutical development, as differences in solid-state structure can significantly influence physical properties and manufacturing performance. Troglitazone, a molecule with two chiral centers, exists as four stereoisomers (RR, [...] Read more.
The control of crystal form in chiral active pharmaceutical ingredients (APIs) is a critical challenge in pharmaceutical development, as differences in solid-state structure can significantly influence physical properties and manufacturing performance. Troglitazone, a molecule with two chiral centers, exists as four stereoisomers (RR, SS, RS, SR) that crystallize as two enantiomeric pairs: RR/SS and RS/SR. This study aims to elucidate the relationship between solution-state molecular interactions and crystallization behavior of these diastereomeric pairs. Antisolvent crystallization experiments were conducted for both mixed solutions containing all four isomers and solutions of individual pairs. Crystallization kinetics were monitored by HPLC, and the resulting solids were characterized by PXRD, DSC, TG, and microscopic observation. Nucleation induction times were determined over a range of supersaturation levels. To probe intermolecular interactions in solution, NOESY and targeted NOE NMR experiments were performed, and the results were compared with crystallographic data. The RS/SR crystals(H-form) consistently exhibited shorter induction times and faster crystallization rates than the RR/SS crystals (L-form), even under conditions where RR/SS solutions were more supersaturated. In mixed solutions, H-form crystallized preferentially, with L-form either remaining in solution or being incorporated into H-form crystals as a solid solution. NOESY and NOE analyses revealed intermolecular proximities between protons that are distant in the molecular structure, indicating the presence of ordered aggregates in solution. These aggregates were more structurally compatible with the H-form than with the L-form crystal lattice, as supported by crystallographic distance analysis. The results demonstrate that differences in nucleation kinetics between troglitazone diastereomers are closely linked to solution-state molecular arrangements. Understanding these relationships provides a molecular-level basis for the rational design of selective crystallization processes for chiral APIs. Full article
(This article belongs to the Section Crystal Engineering)
Show Figures

Figure 1

16 pages, 2237 KB  
Article
Chiral Separation of Mandelic Acid Derivatives Using Various Permethylated Cyclodextrin Selectors Containing Stationary Phases in GC
by Zoltan Juvancz, Rita Bodáne-Kendrovics, Csaba Ágoston, Dóra Maklári, Csanad Csaba Voller and Zoltan Kaleta
Molecules 2025, 30(3), 451; https://doi.org/10.3390/molecules30030451 - 21 Jan 2025
Viewed by 1631
Abstract
A good chiral separation usually results in a trial-and-error process; however, through systematic studies, certain principles can be established to correlate structure with chiral selectivity. These principles can then be applied to other chiral separations, reducing the time of developing chiral selective analytical [...] Read more.
A good chiral separation usually results in a trial-and-error process; however, through systematic studies, certain principles can be established to correlate structure with chiral selectivity. These principles can then be applied to other chiral separations, reducing the time of developing chiral selective analytical methods. Using the model compounds, the established principles can be applied to a wider range of compounds. In this study, mandelic acid and its substituted derivatives were selected as model compounds to establish transferable rules. The chiral selectivity of 13 compounds was measured on various permethylated cyclodextrin selectors. Comparing the chiral selectivity of permethylated cyclodextrins with different ring sizes (α, β, and γ) provides further insight into the role of inclusion in the chiral selectivity of the cyclodextrin-based stationary phases. Different derivatives of acidic and hydroxyl functions of mandelic acids were tested. Ring- and alkyl-substituted mandelic acid enantiomeric pairs were also tested. By using these compounds, the role of hydrogen donor–acceptor interactions and dipole–dipole interactions and inclusions in chiral recognition processes were investigated. The chiral selectivity values were measured and extrapolated to the same temperature, for the sake of the comparison. Several general tendencies were concluded, which can be used for chiral separation of other enantiomer pairs. Full article
(This article belongs to the Section Analytical Chemistry)
Show Figures

Figure 1

11 pages, 1528 KB  
Article
Chiral Selectivities of Permethylated α-, β-, and γ-Cyclodextrins Containing Gas Chromatographic Stationary Phases towards Ibuprofen and Its Derivatives
by Zoltan Juvancz, Rita Bodane-Kendrovics, Csaba Agoston, Balazs Czegledi, Zoltan Kaleta, Laszlo Jicsinszky and Gergo Riszter
Int. J. Mol. Sci. 2024, 25(14), 7802; https://doi.org/10.3390/ijms25147802 - 16 Jul 2024
Cited by 1 | Viewed by 1365
Abstract
Ibuprofen is a well-known and broadly used, nonsteroidal anti-inflammatory and painkiller medicine. Ibuprofen is a chiral compound, and its two isomers have different biological effects, therefore, their chiral separation is necessary. Ibuprofen and its derivatives were used as model compounds to establish transportable [...] Read more.
Ibuprofen is a well-known and broadly used, nonsteroidal anti-inflammatory and painkiller medicine. Ibuprofen is a chiral compound, and its two isomers have different biological effects, therefore, their chiral separation is necessary. Ibuprofen and its derivatives were used as model compounds to establish transportable structure chiral selectivity relationships. Chiral selectors were permethylated α-, β-, and γ-cyclodextrins containing gas chromatographic stationary phases. The chiral selectivity of ibuprofen as a free acid and its various alkyl esters (methyl, ethyl, propyl, isopropyl, butyl, isobutyl, and isoamyl esters) derivatives were tested at different temperatures. Every tested stationary phase was capable of the chiral separations of ibuprofen in its free acid form. The less strong included S optical isomers eluted before R optical isomers in every separate case. The results offer to draw transportable guidelines for the chiral selectivity vs. analyte structures. It was recognized that the S isomers of free ibuprofen acid showed an overloading phenomenon, but the R isomer did not. The results were supported by molecular modeling studies. Full article
Show Figures

Figure 1

22 pages, 6146 KB  
Article
The Antimicrobial Peptide Capitellacin: Chemical Synthesis of Analogues to Probe the Role of Disulphide Bridges and Their Replacement with Vinyl Sulphides
by Oscar A. Shepperson, Paul W. R. Harris, Margaret A. Brimble and Alan J. Cameron
Antibiotics 2024, 13(7), 615; https://doi.org/10.3390/antibiotics13070615 - 2 Jul 2024
Cited by 2 | Viewed by 2205
Abstract
Capitellacin (1) is a 20-residue antimicrobial β-hairpin, produced by the marine polychaeta (segmented worms) Capitella teletai. Since its discovery in 2020, only very limited studies have been undertaken to understand capitellacin’s structure–activity relationship (SAR). Using fast-flow Fmoc-SPPS, a focused library [...] Read more.
Capitellacin (1) is a 20-residue antimicrobial β-hairpin, produced by the marine polychaeta (segmented worms) Capitella teletai. Since its discovery in 2020, only very limited studies have been undertaken to understand capitellacin’s structure–activity relationship (SAR). Using fast-flow Fmoc-SPPS, a focused library of capitellacin analogues was prepared to systematically study the influence of the two disulphide bridges on its structure and activity, and their replacement with a vinyl sulphide as a potential bioisostere. Upon studying the resulting peptides’ antimicrobial activity and secondary structure, the most terminal disulphide emerged as the most critical element for maintaining both bioactivity and the secondary structure, properties which were demonstrated to be closely interlinked. The removal of the innermost disulphide bridge or disulphide replacement with a vinyl sulphide emerged as strategies with which to tune the activity spectrum, producing selectivity towards E. coli. Additionally, an enantiomeric d-capitellacin analogue revealed mechanistic insights, suggesting that chirality may be an inherent property of capitellacin’s bacterial membrane target, or that a hitherto unknown secondary mechanism of action may exist. Additionally, we propose the Alloc protecting group as a more appropriate alternative to the common Dde group during fast-flow Fmoc-SPPS, in particular for short-chain diamino acids. Full article
(This article belongs to the Special Issue Recent Advances in Antimicrobial Drug Discovery, 2nd Edition)
Show Figures

Figure 1

16 pages, 4424 KB  
Article
Synthesis and Structure of Unsymmetrical Anthracenyl-Isoxazole Antitumor Agents Via the Diastereoselective Bromination of 3-(9′-Anthryl)-Isoxazole Esters
by Michael J. Campbell, Daniel A. Decato, Chun Li, Matthew J. Weaver and Nicholas R. Natale
Crystals 2024, 14(3), 256; https://doi.org/10.3390/cryst14030256 - 5 Mar 2024
Cited by 1 | Viewed by 2100
Abstract
In pursuit of unsymmetrical precursors for the novel series of anthracenyl-isoxazole amide (AIM) antitumor agents, a series of substituted anthracenes were subjected to bromination and re-aromatization in our study, during which we solved four single crystal X-ray diffractometry (Sc-xrd) structures which we report [...] Read more.
In pursuit of unsymmetrical precursors for the novel series of anthracenyl-isoxazole amide (AIM) antitumor agents, a series of substituted anthracenes were subjected to bromination and re-aromatization in our study, during which we solved four single crystal X-ray diffractometry (Sc-xrd) structures which we report herein. The C-9 nitrile oxide, after its reaction with bromine, was isolated, but when subjected to re-aromatization, it returned to the starting 10-bromo nitrile oxide 1, which did provide an accurate crystal structure, with R = 0.018. The 10-halogenated 3-(9’-anthryl)-isoxazole esters were subjected to bromination and re-aromatization. Surprisingly, the yields obtained in the presence of the isoxazole were reasonably good (62–68% isolated yields), and the major diastereomers allowed for the characterization using Sc-xrd. The penta bromo product 2 showed a trans, trans, cis relationship for the four bromines on the A-ring of the anthracene, and we observed that for the unit cell, the atropisomers displayed a 1:1 ratio at the chiral axis between the isoxazole and anthrancene rings. Similarly, the 10-chloro 3 indicated a ratio of 1:1 at the chiral axis in the crystal structure. A base-induced re-aromatization afforded 3,10-dihalogenated analogues selectively in very good yields (X = Cl, 89%; X = Br 92%), of which the dibromo 4 was characterized using Sc-xrd. The improved yields of the unique diastereomeric bromination products suggested the consideration of a novel electrophilic aromatic substitution mechanism driven by the stereo-electronic environment, imposed by the isoxazole ester substituent. The promise of the application of this chemistry in the future development of AIM antitumor agents is suggested. Full article
(This article belongs to the Special Issue Feature Papers in Biomolecular Crystals in 2022-2023)
Show Figures

Figure 1

30 pages, 4889 KB  
Article
Inhibition of Insulin-Regulated Aminopeptidase by Imidazo [1,5-α]pyridines—Synthesis and Evaluation
by Karin Engen, Thomas Lundbäck, Anubha Yadav, Sharathna Puthiyaparambath, Ulrika Rosenström, Johan Gising, Annika Jenmalm-Jensen, Mathias Hallberg and Mats Larhed
Int. J. Mol. Sci. 2024, 25(5), 2516; https://doi.org/10.3390/ijms25052516 - 21 Feb 2024
Cited by 7 | Viewed by 2465
Abstract
Inhibition of insulin-regulated aminopeptidase (IRAP) has been shown to improve cognitive functions in several animal models. Recently, we performed a screening campaign of approximately 10,000 compounds, identifying novel small-molecule-based compounds acting as inhibitors of the enzymatic activity of IRAP. Here we report on [...] Read more.
Inhibition of insulin-regulated aminopeptidase (IRAP) has been shown to improve cognitive functions in several animal models. Recently, we performed a screening campaign of approximately 10,000 compounds, identifying novel small-molecule-based compounds acting as inhibitors of the enzymatic activity of IRAP. Here we report on the chemical synthesis, structure-activity relationships (SAR) and initial characterization of physicochemical properties of a series of 48 imidazo [1,5-α]pyridine-based inhibitors, including delineation of their mode of action as non-competitive inhibitors with a small L-leucine-based IRAP substrate. The best compound displays an IC50 value of 1.0 µM. We elucidate the importance of two chiral sites in these molecules and find they have little impact on the compound’s metabolic stability or physicochemical properties. The carbonyl group of a central urea moiety was initially believed to mimic substrate binding to a catalytically important Zn2+ ion in the active site, although the plausibility of this binding hypothesis is challenged by observation of excellent selectivity versus the closely related aminopeptidase N (APN). Taken together with the non-competitive inhibition pattern, we also consider an alternative model of allosteric binding. Full article
(This article belongs to the Special Issue The Biology and Therapeutic Potential of Metalloproteases)
Show Figures

Graphical abstract

26 pages, 8677 KB  
Article
Structure-Antitumor Activity Relationships of Aza- and Diaza-Anthracene-2,9,10-Triones and Their Partially Saturated Derivatives
by Carmen Avendaño, Pilar López-Alvarado, José María Pérez, Miguel Ángel Alonso, Eva Pascual-Alfonso, Miriam Ruiz-Serrano and J. Carlos Menéndez
Molecules 2024, 29(2), 489; https://doi.org/10.3390/molecules29020489 - 18 Jan 2024
Cited by 1 | Viewed by 2114
Abstract
The 1,8-Diazaanthracene-2,9,10-triones, their 5,8-dihydro derivatives, and 1,8-diazaanthracene-2,7,9,10-tetraones, structurally related to the diazaquinomycin family of natural products, were synthesized in a regioselective fashion employing Diels–Alder strategies. These libraries were studied for their cytotoxicity in a variety of human cancer cell lines in order to [...] Read more.
The 1,8-Diazaanthracene-2,9,10-triones, their 5,8-dihydro derivatives, and 1,8-diazaanthracene-2,7,9,10-tetraones, structurally related to the diazaquinomycin family of natural products, were synthesized in a regioselective fashion employing Diels–Alder strategies. These libraries were studied for their cytotoxicity in a variety of human cancer cell lines in order to establish structure–activity relationships. From the results obtained, we conclude that some representatives of the 1,8-diazaanthracene-2,9,10-trione framework show potent and selective cytotoxicity against solid tumors. Similar findings were made for the related 1-azaanthracene-2,9,10-trione derivatives, structurally similar to the marcanine natural products, which showed improved activity over their natural counterparts. An enantioselective protocol based on the use of a SAMP-related chiral auxiliary derived was developed for the case of chiral 5-substituted 1,8-diazaanthracene-2,9,10-triones, and showed that their cytotoxicity was not enantiospecific. Full article
Show Figures

Graphical abstract

16 pages, 2750 KB  
Article
Structure–Chiral Selectivity Relationships of Various Mandelic Acid Derivatives on Octakis 2,3-di-O-acetyl-6-O-tert-butyldimethylsilyl-gamma-cyclodextrin Containing Gas Chromatographic Stationary
by Levente Repassy, Zoltan Juvancz, Rita Bodane-Kendrovics, Zoltan Kaleta, Csaba Hunyadi and Gergo Riszter
Int. J. Mol. Sci. 2023, 24(20), 15051; https://doi.org/10.3390/ijms242015051 - 10 Oct 2023
Cited by 5 | Viewed by 2621
Abstract
Frequently, a good chiral separation is the result of long trial and error processes. The three-point interaction mechanisms require the fair geometrical fitting and functional group compatibility of the interacting groups. Structure–chiral selectivity correlations are guidelines that can be established via trough systematic [...] Read more.
Frequently, a good chiral separation is the result of long trial and error processes. The three-point interaction mechanisms require the fair geometrical fitting and functional group compatibility of the interacting groups. Structure–chiral selectivity correlations are guidelines that can be established via trough systematic studies using model compounds. The enantiorecognition of the test compounds was studied on an octakis 2,3-Di-O-acetyl-6-O-tert-butyldimethylsilyl-gamma-cyclodextrin (TBDMSDAGCD) chiral selector. In our work, mandelic acid and its variously substituted compounds were used as model compounds to establish adaptable rules for other enantiomeric pairs. The mandelic acid and its modified compounds were altered at both their carboxyl and hydroxyl positions to test the key interaction forces of the chiral recognition processes. Ring- and alkyl-substituted mandelic acid derivatives were also used in our experiments. The chiral selectivity values of 20 test compounds were measured and extrapolated to 100 °C. The hydrogen donor abilities of test compounds improved their chiral selectivities. The inclusion phenomenon also played a role in chiral recognition processes in several cases. Enantiomer elution reversals were observed for different derivatives of hydroxyl groups, providing evidence for the multimodal character of the selector. The results of our research can serve as guidelines to achieve appropriate chiral separation for other enantiomeric pairs. Full article
(This article belongs to the Special Issue Current Uses and Applications of Cyclodextrins)
Show Figures

Figure 1

40 pages, 1743 KB  
Article
Chirality Matters: Fine-Tuning of Novel Monoamine Reuptake Inhibitors Selectivity through Manipulation of Stereochemistry
by Predrag Kalaba, Katharina Pacher, Philip John Neill, Vladimir Dragacevic, Martin Zehl, Judith Wackerlig, Michael Kirchhofer, Simone B. Sartori, Hubert Gstach, Shima Kouhnavardi, Anna Fabisikova, Matthias Pillwein, Francisco Monje-Quiroga, Karl Ebner, Alexander Prado-Roller, Nicolas Singewald, Ernst Urban, Thierry Langer, Christian Pifl, Jana Lubec, Johann Jakob Leban and Gert Lubecadd Show full author list remove Hide full author list
Biomolecules 2023, 13(9), 1415; https://doi.org/10.3390/biom13091415 - 19 Sep 2023
Cited by 2 | Viewed by 2354
Abstract
The high structural similarity, especially in transmembrane regions, of dopamine, norepinephrine, and serotonin transporters, as well as the lack of all crystal structures of human isoforms, make the specific targeting of individual transporters rather challenging. Ligand design itself is also rather limited, as [...] Read more.
The high structural similarity, especially in transmembrane regions, of dopamine, norepinephrine, and serotonin transporters, as well as the lack of all crystal structures of human isoforms, make the specific targeting of individual transporters rather challenging. Ligand design itself is also rather limited, as many chemists, fully aware of the synthetic and analytical challenges, tend to modify lead compounds in a way that reduces the number of chiral centers and hence limits the potential chemical space of synthetic ligands. We have previously shown that increasing molecular complexity by introducing additional chiral centers ultimately leads to more selective and potent dopamine reuptake inhibitors. Herein, we significantly extend our structure-activity relationship of dopamine transporter-selective ligands and further demonstrate how stereoisomers of defined absolute configuration may fine-tune and direct the activity towards distinct targets. From the pool of active compounds, using the examples of stereoisomers 7h and 8h, we further showcase how in vitro activity significantly differs in in vivo drug efficacy experiments, calling for proper validation of individual stereoisomers in animal studies. Furthermore, by generating a large library of compounds with defined absolute configurations, we lay the groundwork for computational chemists to further optimize and rationally design specific monoamine transporter reuptake inhibitors. Full article
Show Figures

Figure 1

19 pages, 3820 KB  
Article
Sulfonamidoboronic Acids as “Cross-Class” Inhibitors of an Expanded-Spectrum Class C Cephalosporinase, ADC-33, and a Class D Carbapenemase, OXA-24/40: Strategic Compound Design to Combat Resistance in Acinetobacter baumannii
by Maria Luisa Introvigne, Trevor J. Beardsley, Micah C. Fernando, David A. Leonard, Bradley J. Wallar, Susan D. Rudin, Magdalena A. Taracila, Philip N. Rather, Jennifer M. Colquhoun, Shaina Song, Francesco Fini, Kristine M. Hujer, Andrea M. Hujer, Fabio Prati, Rachel A. Powers, Robert A. Bonomo and Emilia Caselli
Antibiotics 2023, 12(4), 644; https://doi.org/10.3390/antibiotics12040644 - 24 Mar 2023
Cited by 5 | Viewed by 3736
Abstract
Acinetobacter baumannii is a Gram-negative organism listed as an urgent threat pathogen by the World Health Organization (WHO). Carbapenem-resistant A. baumannii (CRAB), especially, present therapeutic challenges due to complex mechanisms of resistance to β-lactams. One of the most important mechanisms is the [...] Read more.
Acinetobacter baumannii is a Gram-negative organism listed as an urgent threat pathogen by the World Health Organization (WHO). Carbapenem-resistant A. baumannii (CRAB), especially, present therapeutic challenges due to complex mechanisms of resistance to β-lactams. One of the most important mechanisms is the production of β-lactamase enzymes capable of hydrolyzing β-lactam antibiotics. Co-expression of multiple classes of β-lactamases is present in CRAB; therefore, the design and synthesis of “cross-class” inhibitors is an important strategy to preserve the efficacy of currently available antibiotics. To identify new, nonclassical β-lactamase inhibitors, we previously identified a sulfonamidomethaneboronic acid CR167 active against Acinetobacter-derived class C β-lactamases (ADC-7). The compound demonstrated affinity for ADC-7 with a Ki = 160 nM and proved to be able to decrease MIC values of ceftazidime and cefotaxime in different bacterial strains. Herein, we describe the activity of CR167 against other β-lactamases in A. baumannii: the cefepime-hydrolysing class C extended-spectrum β-lactamase (ESAC) ADC-33 and the carbapenem-hydrolyzing OXA-24/40 (class D). These investigations demonstrate CR167 as a valuable cross-class (C and D) inhibitor, and the paper describes our attempts to further improve its activity. Five chiral analogues of CR167 were rationally designed and synthesized. The structures of OXA-24/40 and ADC-33 in complex with CR167 and select chiral analogues were obtained. The structure activity relationships (SARs) are highlighted, offering insights into the main determinants for cross-class C/D inhibitors and impetus for novel drug design. Full article
(This article belongs to the Section Novel Antimicrobial Agents)
Show Figures

Graphical abstract

16 pages, 2620 KB  
Article
Chiral Separations of Pyrethroic Acids Using Cyclodextrin Selectors
by Zoltán Juvancz, Rita Bodáné-Kendrovics, Zita Laczkó, Róbert Iványi and Erzsébet Varga
Molecules 2022, 27(24), 8718; https://doi.org/10.3390/molecules27248718 - 9 Dec 2022
Cited by 7 | Viewed by 2570
Abstract
Pyrethroid insecticides are broadly used. They have low toxicity for warm-blooded living creatures, but high toxicity for both insects and fish. Therefore, it is important to reduce the environmental impact of pyrethroids. Pyrethroic acids are chiral compounds. An effective way to decrease pollution [...] Read more.
Pyrethroid insecticides are broadly used. They have low toxicity for warm-blooded living creatures, but high toxicity for both insects and fish. Therefore, it is important to reduce the environmental impact of pyrethroids. Pyrethroic acids are chiral compounds. An effective way to decrease pollution is to use enantio-pure insecticide products instead of their racemic mixtures. Enantiomer-pure products require enantiomer selective synthesis and analysis. The chiral selective analysis of pyrethroic acids (an intermediate of pyrethroids) is also important in terms of process control and from the point of view of their degradation metabolism in the environment. This study used various enantiomeric selective chromatographic methods for the separation of different pyrethroic acids, including gas chromatography, supercritical fluid chromatography and capillary electrophoresis. Systematic experiments were conducted to find the optimum conditions for their chiral separation. The employed enantio-selective agents were cyclodextrin derivatives with different ring sizes and substitution patterns. The β-cyclodextrin proved to be excellent for the chiral separation of these acids. The different chiral recognition mechanisms were established using different ring-sized cyclodextrins. The results of these systematic studies demonstrated the correlations of the chiral selectivity features of selectors and the structures of analytes. Full article
(This article belongs to the Special Issue Cyclodextrin Chemistry and Toxicology II)
Show Figures

Figure 1

12 pages, 1997 KB  
Article
DNA-Immobilized Special Conformation Recognition of L-Penicillamine Using a Chiral Molecular Imprinting Technique
by Lianming Zhang, Kui Luo, Jingxia Gao and Jianping Li
Polymers 2022, 14(19), 4133; https://doi.org/10.3390/polym14194133 - 2 Oct 2022
Cited by 2 | Viewed by 2167
Abstract
A new chiral molecularly imprinted polymer (MIP) sensor with dual recognition ability was developed for the highly selective separation of enantiomers with toxic side effects in drugs. The sensor contains double-stranded deoxyribonucleic acid (dsDNA) as the element that immobilizes the chiral molecular conformation: [...] Read more.
A new chiral molecularly imprinted polymer (MIP) sensor with dual recognition ability was developed for the highly selective separation of enantiomers with toxic side effects in drugs. The sensor contains double-stranded deoxyribonucleic acid (dsDNA) as the element that immobilizes the chiral molecular conformation: the dsDNA enables the imprinted cavities to match the three-dimensional structure and functional groups from the chiral molecule. By embedding the spatial orientation of dsDNA in MIPs, one can accurately capture and immobilize the molecular conformation, eliminating the influence of interfering analogues. Herein, L-penicillamine (L-Pen) was selected as the chiral template molecule and embedded into dsDNA to form dsDNA-L-Pen complex, which was then embedded into the MIPs by electropolymerization. After elution, the stereo-selective imprinted cavities were obtained. The ATATATATATAT-TATATATATATA base sequence showed a high affinity for the embedded L-Pen, which endowed the imprinted cavities with a larger number of sites and improved the selectivity toward Pen enantiomers. Under the optimal working conditions, the current response of the MIP/dsDNA sensor exhibited a positive linear relationship with the logarithm of the L-Pen concentration in the range of 3.0 × 10−16 to 3.0 × 10−13 mol/L, and the detection limit was 2.48 × 10−16 mol/L. After the introduction of dsDNA into the MIP, the selectivity of the sensor toward D-Pen increased by 6.4 times, and the sensor was successfully applied in the analysis of L-Pen in penicillamine tablets. Full article
(This article belongs to the Special Issue Advances and Applications of Molecularly Imprinted Polymers)
Show Figures

Figure 1

11 pages, 1431 KB  
Article
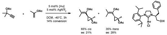
Enantioselective Cyclopropanation Catalyzed by Gold(I)-Carbene Complexes
by Zita Szabo, Sophia Ben Ahmed, Zoltan Nagy, Attila Paczal and Andras Kotschy
Molecules 2022, 27(18), 5805; https://doi.org/10.3390/molecules27185805 - 7 Sep 2022
Viewed by 1920
Abstract
The formation of polysubstituted cyclopropane derivatives in the gold(I)-catalyzed reaction of olefins and propargylic esters is a potentially useful transformation to generate diversity, therefore any method in which its stereoselectivity could be controlled is of significant interest. We prepared and tested a series [...] Read more.
The formation of polysubstituted cyclopropane derivatives in the gold(I)-catalyzed reaction of olefins and propargylic esters is a potentially useful transformation to generate diversity, therefore any method in which its stereoselectivity could be controlled is of significant interest. We prepared and tested a series of chiral gold(I)-carbene complexes as a catalyst in this transformation. With a systematic optimization of the reaction conditions, we were able to achieve high enantioselectivity in the test reaction while the cis:trans selectivity of the transformation was independent of the catalyst. Using the optimized conditions, we reacted a series of various olefins and acetylene derivatives to find that, although the reactions proceeded smoothly and the products were usually isolated in good yield and with good to exclusive cis selectivity, the observed enantioselectivity varied greatly and was sometimes moderate at best. We were unable to establish any structure-property relationship, which suggests that for any given reagent combination, one has to identify individually the best catalyst. Full article
(This article belongs to the Section Organic Chemistry)
Show Figures

Figure 1

18 pages, 1509 KB  
Brief Report
Chirality of Novel Bitopic Agonists Determines Unique Pharmacology at the Dopamine D3 Receptor
by Pramisha Adhikari, Bing Xie, Ana Semeano, Alessandro Bonifazi, Francisco O. Battiti, Amy H. Newman, Hideaki Yano and Lei Shi
Biomolecules 2021, 11(4), 570; https://doi.org/10.3390/biom11040570 - 13 Apr 2021
Cited by 13 | Viewed by 3500
Abstract
The dopamine D2/D3 receptor (D2R/D3R) agonists are used as therapeutics for Parkinson’s disease (PD) and other motor disorders. Selective targeting of D3R over D2R is attractive because of D3R’s restricted tissue distribution with [...] Read more.
The dopamine D2/D3 receptor (D2R/D3R) agonists are used as therapeutics for Parkinson’s disease (PD) and other motor disorders. Selective targeting of D3R over D2R is attractive because of D3R’s restricted tissue distribution with potentially fewer side-effects and its putative neuroprotective effect. However, the high sequence homology between the D2R and D3R poses a challenge in the development of D3R selective agonists. To address the ligand selectivity, bitopic ligands were designed and synthesized previously based on a potent D3R-preferential agonist PF592,379 as the primary pharmacophore (PP). This PP was attached to various secondary pharmacophores (SPs) using chemically different linkers. Here, we characterize some of these novel bitopic ligands at both D3R and D2R using BRET-based functional assays. The bitopic ligands showed varying differences in potencies and efficacies. In addition, the chirality of the PP was key to conferring improved D3R potency, selectivity, and G protein signaling bias. In particular, compound AB04-88 exhibited significant D3R over D2R selectivity, and G protein bias at D3R. This bias was consistently observed at various time-points ranging from 8 to 46 min. Together, the structure-activity relationships derived from these functional studies reveal unique pharmacology at D3R and support further evaluation of functionally biased D3R agonists for their therapeutic potential. Full article
Show Figures

Figure 1

8 pages, 1882 KB  
Communication
Relationships between Substrate Promiscuity and Chiral Selectivity of Esterases from Phylogenetically and Environmentally Diverse Microorganisms
by Cristina Coscolín, Mónica Martínez-Martínez, Jennifer Chow, Rafael Bargiela, Antonio García-Moyano, Gro E. K. Bjerga, Alexander Bollinger, Runar Stokke, Ida H. Steen, Olga V. Golyshina, Michail M. Yakimov, Karl-Erich Jaeger, Alexander F. Yakunin, Wolfgang R. Streit, Peter N. Golyshin and Manuel Ferrer
Catalysts 2018, 8(1), 10; https://doi.org/10.3390/catal8010010 - 5 Jan 2018
Cited by 11 | Viewed by 5601
Abstract
Substrate specificity and selectivity of a biocatalyst are determined by the protein sequence and structure of its active site. Finding versatile biocatalysts acting against multiple substrates while at the same time being chiral selective is of interest for the pharmaceutical and chemical industry. [...] Read more.
Substrate specificity and selectivity of a biocatalyst are determined by the protein sequence and structure of its active site. Finding versatile biocatalysts acting against multiple substrates while at the same time being chiral selective is of interest for the pharmaceutical and chemical industry. However, the relationships between these two properties in natural microbial enzymes remain underexplored. Here, we performed an experimental analysis of substrate promiscuity and chiral selectivity in a set of 145 purified esterases from phylogenetically and environmentally diverse microorganisms, which were assayed against 96 diverse esters, 20 of which were enantiomers. Our results revealed a negative correlation between substrate promiscuity and chiral selectivity in the evaluated enzymes. Esterases displaying prominent substrate promiscuity and large catalytic environments are characterized by low chiral selectivity, a feature that has limited commercial value. Although a low level of substrate promiscuity does not guarantee high chiral selectivity, the probability that esterases with smaller active sites possess chiral selectivity factors of interest for industry (>25) is significantly higher than for promiscuous enzymes. Together, the present study unambiguously demonstrates that promiscuous and selective esterases appear to be rare in nature and that substrate promiscuity can be used as an indicator of the chiral selectivity level of esterases, and vice versa. Full article
(This article belongs to the Special Issue Biocatalysis and Biotransformations)
Show Figures

Graphical abstract

Back to TopTop