Sign in to use this feature.

Years

Between: -

Subjects

remove_circle_outline
remove_circle_outline
remove_circle_outline
remove_circle_outline
remove_circle_outline
remove_circle_outline

Journals

Article Types

Countries / Regions

Search Results (12)

Search Parameters:
Keywords = strontium-substituted apatite

Order results
Result details
Results per page
Select all
Export citation of selected articles as:
15 pages, 3831 KB  
Article
Formation and Bioactivity of Composite Structure with Sr-HA Phase and H2Ti5O11·H2O Nanorods on Ti Surface via Ultrasonic-Assisted Micro-Arc Oxidation and Heat Treatment
by Qing Du, Qiang Zhai, Su Cheng, Yudong Lin, Daqing Wei, Yaming Wang and Yu Zhou
Coatings 2025, 15(6), 666; https://doi.org/10.3390/coatings15060666 - 30 May 2025
Viewed by 866
Abstract
To address the biological inertness of pure titanium implants, a composite coating with a strontium-doped hydroxyapatite (Sr-HA) phase and H2Ti5O11·H2O nanorods was engineered via ultrasonic-assisted micro-arc oxidation (UMAO) with hydrothermal treatment (HT). The ultrasonic field [...] Read more.
To address the biological inertness of pure titanium implants, a composite coating with a strontium-doped hydroxyapatite (Sr-HA) phase and H2Ti5O11·H2O nanorods was engineered via ultrasonic-assisted micro-arc oxidation (UMAO) with hydrothermal treatment (HT). The ultrasonic field was applied to modulate the MAO discharge behavior, enhancing ion transport and coating formation. Structural characterization revealed that UMAO-HT coatings exhibited a lower anatase/rutile ratio and higher Sr-HA crystallinity, as compared to MAO-HT. In vitro simulated body immersion studies showed that UMAO-HT induced rapid apatite formation within 24 h, with a better apatite-inducing ability than the conventional MAO-HT. Density functional theory (DFT) simulations demonstrated that Sr substitution in HA lowered the (001) surface work function, enhancing Ca2⁺ adsorption energy and promoting apatite phase nucleation. This work reported the synergistic effects of ultrasonic-induced microstructure optimization and Sr-HA higher bioactivity, providing a mechanistic framework for designing next-generation bioactive coatings with enhanced osseointegration potential. Full article
Show Figures

Figure 1

24 pages, 7053 KB  
Article
Strontium and Zinc Co-Doped Mesoporous Bioactive Glass Nanoparticles for Potential Use in Bone Tissue Engineering Applications
by Parichart Naruphontjirakul, Meng Li and Aldo R. Boccaccini
Nanomaterials 2024, 14(7), 575; https://doi.org/10.3390/nano14070575 - 26 Mar 2024
Cited by 23 | Viewed by 4152
Abstract
Mesoporous bioactive glass nanoparticles (MBGNs) have attracted significant attention as multifunctional nanocarriers for various applications in both hard and soft tissue engineering. In this study, multifunctional strontium (Sr)- and zinc (Zn)-containing MBGNs were successfully synthesized via the microemulsion-assisted sol–gel method combined with a [...] Read more.
Mesoporous bioactive glass nanoparticles (MBGNs) have attracted significant attention as multifunctional nanocarriers for various applications in both hard and soft tissue engineering. In this study, multifunctional strontium (Sr)- and zinc (Zn)-containing MBGNs were successfully synthesized via the microemulsion-assisted sol–gel method combined with a cationic surfactant (cetyltrimethylammonium bromide, CTAB). Sr-MBGNs, Zn-MBGNs, and Sr-Zn-MBGNs exhibited spherical shapes in the nanoscale range of 100 ± 20 nm with a mesoporous structure. Sr and Zn were co-substituted in MBGNs (60SiO2-40CaO) to induce osteogenic potential and antibacterial properties without altering their size, morphology, negative surface charge, amorphous nature, mesoporous structure, and pore size. The synthesized MBGNs facilitated bioactivity by promoting the formation of an apatite-like layer on the surface of the particles after immersion in Simulated Body Fluid (SBF). The effect of the particles on the metabolic activity of human mesenchymal stem cells was concentration-dependent. The hMSCs exposed to Sr-MBGNs, Zn-MBGNs, and Sr-Zn-MBGNs at 200 μg/mL enhanced calcium deposition and osteogenic differentiation without osteogenic supplements. Moreover, the cellular uptake and internalization of Sr-MBGNs, Zn-MBGNs, and Sr-Zn-MBGNs in hMSCs were observed. These novel particles, which exhibited multiple functionalities, including promoting bone regeneration, delivering therapeutic ions intracellularly, and inhibiting the growth of Staphylococcus aureus and Escherichia coli, are potential nanocarriers for bone regeneration applications. Full article
Show Figures

Graphical abstract

24 pages, 3217 KB  
Article
Apatite/Chitosan Composites Formed by Cold Sintering for Drug Delivery and Bone Tissue Engineering Applications
by Anna Galotta, Öznur Demir, Olivier Marsan, Vincenzo M. Sglavo, Dagnija Loca, Christèle Combes and Janis Locs
Nanomaterials 2024, 14(5), 441; https://doi.org/10.3390/nano14050441 - 28 Feb 2024
Cited by 13 | Viewed by 2559
Abstract
In the biomedical field, nanocrystalline hydroxyapatite is still one of the most attractive candidates as a bone substitute material due to its analogies with native bone mineral features regarding chemical composition, bioactivity and osteoconductivity. Ion substitution and low crystallinity are also fundamental characteristics [...] Read more.
In the biomedical field, nanocrystalline hydroxyapatite is still one of the most attractive candidates as a bone substitute material due to its analogies with native bone mineral features regarding chemical composition, bioactivity and osteoconductivity. Ion substitution and low crystallinity are also fundamental characteristics of bone apatite, making it metastable, bioresorbable and reactive. In the present work, biomimetic apatite and apatite/chitosan composites were produced by dissolution–precipitation synthesis, using mussel shells as a calcium biogenic source. With an eye on possible bone reconstruction and drug delivery applications, apatite/chitosan composites were loaded with strontium ranelate, an antiosteoporotic drug. Due to the metastability and temperature sensitivity of the produced composites, sintering could be carried out by conventional methods, and therefore, cold sintering was selected for the densification of the materials. The composites were consolidated up to ~90% relative density by applying a uniaxial pressure up to 1.5 GPa at room temperature for 10 min. Both the synthesised powders and cold-sintered samples were characterised from a physical and chemical point of view to demonstrate the effective production of biomimetic apatite/chitosan composites from mussel shells and exclude possible structural changes after sintering. Preliminary in vitro tests were also performed, which revealed a sustained release of strontium ranelate for about 19 days and no cytotoxicity towards human osteoblastic-like cells (MG63) exposed up to 72 h to the drug-containing composite extract. Full article
(This article belongs to the Special Issue Nanomaterials for Regenerative Medicine)
Show Figures

Figure 1

18 pages, 3122 KB  
Article
New Triple Metallic Carbonated Hydroxyapatite for Stone Surface Preservation
by Lorena Iancu, Ramona Marina Grigorescu, Rodica-Mariana Ion, Madalina Elena David, Luminita Predoana, Anca Irina Gheboianu and Elvira Alexandrescu
Coatings 2023, 13(8), 1469; https://doi.org/10.3390/coatings13081469 - 21 Aug 2023
Cited by 3 | Viewed by 2070
Abstract
This paper presents the synthesis of the triple substituted carbonated hydroxyapatite with magnesium, strontium and zinc (Mg-Sr-Zn-CHAp), as well as its structural, morphological and compositional characterization. The analytical techniques used (WDXRF, XRD and FTIR) highlighted, on the one hand, the B form for [...] Read more.
This paper presents the synthesis of the triple substituted carbonated hydroxyapatite with magnesium, strontium and zinc (Mg-Sr-Zn-CHAp), as well as its structural, morphological and compositional characterization. The analytical techniques used (WDXRF, XRD and FTIR) highlighted, on the one hand, the B form for the apatite structure, as well as the presence of the three metal ions in the apatite structure, on the other hand (small shifts of 1120–900 cm−1 and 500–600 cm−1 absorption peaks due to the metals incorporated into the CHAp structure). The ratio between the metallic ions that substitute calcium and Ca2+, and phosphorus is increased, the value being 2.11 in comparison with CHAp and pure hydroxyapatite. Also, by using imaging techniques such as optical microscopy and SEM, spherical nanometric particles (between 150 and 250 nm) with a large surface area and large pores (6 m2/g surface area, pores with 6.903 nm diameters and 0.01035 cm3/g medium volume, determined by nitrogen adsorption/desorption analysis) and a pronounced tendency of agglomeration was highlighted. Also, the triple substituted carbonated hydroxyapatite was tested as an inorganic consolidant by using stone specimens prepared in the laboratory. The efficiency of Mg-Sr-Zn-CHAp in the consolidation processes was demonstrated by specific tests in the field: water absorption, peeling, freeze–thaw behavior, chromatic parameters as well as mechanical strength. All these tests presented conclusive values for the use of this consolidant in the consolidation procedures of stone surfaces (lower water absorption, increased mechanical strength, higher consolidation percent, decreased degradation rate by freeze–thaw, no significant color changes). Full article
(This article belongs to the Section Surface Characterization, Deposition and Modification)
Show Figures

Figure 1

13 pages, 3746 KB  
Article
Synthesis and Characterization of Nano-Hydroxyapatite Obtained from Eggshell via the Hydrothermal Process and the Precipitation Method
by Shih-Ching Wu, Hsueh-Chuan Hsu, Hsueh-Fang Wang, Shu-Ping Liou and Wen-Fu Ho
Molecules 2023, 28(13), 4926; https://doi.org/10.3390/molecules28134926 - 22 Jun 2023
Cited by 26 | Viewed by 7594
Abstract
Hydroxyapatite (HA) is a major component of the inorganic minerals in the hard tissues of humans and has been widely used as a biomedical ceramic material in orthopedic and dentistry applications. Because human bone contains several impurities, including carbonates, chlorides, fluorides, magnesium, and [...] Read more.
Hydroxyapatite (HA) is a major component of the inorganic minerals in the hard tissues of humans and has been widely used as a biomedical ceramic material in orthopedic and dentistry applications. Because human bone contains several impurities, including carbonates, chlorides, fluorides, magnesium, and strontium, human bone minerals differ from stoichiometric HA. Additionally, natural bone is composed of nano-sized HA, and the nanoscale particles exhibit a high level of biological activity. In this paper, HA is prepared via the hydrothermal process because its reaction conditions are easy to control and it has been shown to be quite feasible for large-scale production. Therefore, the hydrothermal process is an effective and convenient method for the preparation of HA. Furthermore, eggshell is adopted as a source of calcium, and mulberry leaf extract is selectively added to synthesize HA. The eggshell accounts for 11% of the total weight of a whole egg, and it consists of calcium carbonate, calcium phosphate, magnesium carbonate, and organic matter. Eggshell contains a variety of trace elements, such as magnesium and strontium, making the composition of the synthesized HA similar to that of the human skeleton. These trace elements exert considerable benefits for bone growth. Moreover, the use of eggshell as a raw material can permit the recycling of biowaste and a reduction in process costs. The purpose of this study is to prepare HA powder via the hydrothermal method and to explore the effects of hydrothermal conditions on the structure and properties of the synthesized HA. The room-temperature precipitation method is used for the control group. Furthermore, the results of an immersion test in simulated body fluid confirm that the as-prepared HA exhibits good apatite-forming bioactivity, which is an essential requirement for artificial materials to bond to living bones in the living body and promote bone regeneration. In particular, it is confirmed that the HA synthesized with the addition of the mulberry leaf extract exhibits good in vitro biocompatibility. The morphology, crystallite size, and composition of the carbonated nano-HA obtained herein are similar to those of natural bones. The carbonated nano-HA appears to be an excellent material for bioresorbable bone substitutes or drug delivery. Therefore, the nano-HA powder prepared in this study has great potential in biomedical applications. Full article
(This article belongs to the Section Materials Chemistry)
Show Figures

Figure 1

18 pages, 5310 KB  
Article
Long-Term Fate and Efficacy of a Biomimetic (Sr)-Apatite-Coated Carbon Patch Used for Bone Reconstruction
by Florian Olivier, Christophe Drouet, Olivier Marsan, Vincent Sarou-Kanian, Samah Rekima, Nadine Gautier, Franck Fayon, Sylvie Bonnamy and Nathalie Rochet
J. Funct. Biomater. 2023, 14(5), 246; https://doi.org/10.3390/jfb14050246 - 26 Apr 2023
Cited by 2 | Viewed by 1884
Abstract
Critical bone defect repair remains a major medical challenge. Developing biocompatible materials with bone-healing ability is a key field of research, and calcium-deficient apatites (CDA) are appealing bioactive candidates. We previously described a method to cover activated carbon cloths (ACC) with CDA or [...] Read more.
Critical bone defect repair remains a major medical challenge. Developing biocompatible materials with bone-healing ability is a key field of research, and calcium-deficient apatites (CDA) are appealing bioactive candidates. We previously described a method to cover activated carbon cloths (ACC) with CDA or strontium-doped CDA coatings to generate bone patches. Our previous study in rats revealed that apposition of ACC or ACC/CDA patches on cortical bone defects accelerated bone repair in the short term. This study aimed to analyze in the medium term the reconstruction of cortical bone in the presence of ACC/CDA or ACC/10Sr-CDA patches corresponding to 6 at.% of strontium substitution. It also aimed to examine the behavior of these cloths in the medium and long term, in situ and at distance. Our results at day 26 confirm the particular efficacy of strontium-doped patches on bone reconstruction, leading to new thick bone with high bone quality as quantified by Raman microspectroscopy. At 6 months the biocompatibility and complete osteointegration of these carbon cloths and the absence of micrometric carbon debris, either out of the implantation site or within peripheral organs, was confirmed. These results demonstrate that these composite carbon patches are promising biomaterials to accelerate bone reconstruction. Full article
(This article belongs to the Special Issue Biological and Synthetic Membranes for Tissue Regeneration and Repair)
Show Figures

Figure 1

21 pages, 7705 KB  
Article
Conversion of Nastrophites to Fibrous Strontium Apatites and Their Crystallographic Characterization
by Akira Furukawa and Yasuhito Tanaka
Crystals 2022, 12(12), 1705; https://doi.org/10.3390/cryst12121705 - 24 Nov 2022
Cited by 3 | Viewed by 2138
Abstract
Strontium apatite has attracted considerable attention from researchers in various disciplines, including the medical field, owing to its excellent biocompatibility and beneficial effects on enhanced bone regeneration. In addition to their chemical characteristics, morphological aspects of apatite crystals are of great importance because [...] Read more.
Strontium apatite has attracted considerable attention from researchers in various disciplines, including the medical field, owing to its excellent biocompatibility and beneficial effects on enhanced bone regeneration. In addition to their chemical characteristics, morphological aspects of apatite crystals are of great importance because they can exert a significant influence on various biological functions. In this study, a versatile method for the synthesis of fibrous strontium apatite is developed for the first time. Highly crystalline strontium apatite nanofibers were prepared by alkaline hydrolysis of strontium hydrogen phosphate (SrHPO4) at ambient temperature via nastrophite (NaSrPO4) intermediates. Some strontium ions in the crystal lattice of strontium hydrogen phosphate were substituted with barium (Ba) ions with various molar ratios up to Ba/Sr = 5/5, and their molar ratios were retained in the final products of the substituted fibrous apatites. The products, including hydrogen phosphates, nastrophites, and apatite nanofibers, were characterized using powder X-ray diffraction (XRD), field emission-scanning electron microscopy (FE-SEM), energy dispersive X-ray spectroscopy (EDS), wavelength dispersive X-ray fluorescence (WDX) analysis, and transmission electron microscopy (TEM) with selected area electron diffraction (SAED). These analyses verified the integrity of the speculated structures of the fibrous apatites. The lattice parameters of apatites and other intermediates were calculated using a newly developed calculation process based on the least-squares method and the results were compared to those of EXPO2014. Full article
(This article belongs to the Special Issue Nanocrystalline Bulk Materials at Multiple Scales)
Show Figures

Figure 1

10 pages, 2742 KB  
Article
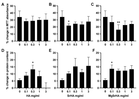
New Sintered Porous Scaffolds of Mg,Sr Co-Substituted Hydroxyapatite Support Growth and Differentiation of Primary Human Osteoblasts In Vitro
by Carlo Galli, Elena Landi, Silvana Belletti, Maria Teresa Colangelo and Stefano Guizzardi
Appl. Sci. 2021, 11(20), 9723; https://doi.org/10.3390/app11209723 - 18 Oct 2021
Cited by 2 | Viewed by 1938
Abstract
Strontium (Sr) and Magnesium (Mg) are bioactive ions that have been proven to exert a beneficial effect on bone; therefore, their incorporation into bone substitutes has long been viewed as a possible approach to improve tissue integration. However, the thermal instability of Mg-substituted [...] Read more.
Strontium (Sr) and Magnesium (Mg) are bioactive ions that have been proven to exert a beneficial effect on bone; therefore, their incorporation into bone substitutes has long been viewed as a possible approach to improve tissue integration. However, the thermal instability of Mg-substituted hydroxyapatites has hitherto limited development. We previously described the creation of thermally consolidated porous constructs of Mg,Sr co-substituted apatites with adequate mechanical properties for their clinical use. The present paper describes the biocompatibility of Mg,Sr co-substituted granules using an alveolar-bone-derived primary model of human osteoblasts. Cells were cultured in the presence of different amounts of hydroxyapatite (HA), Sr-substituted HA, or MgSrHA porous macrogranules (with a size of 400–600 microns, obtained by grinding and sieving the sintered scaffolds) for three and seven days, and their viability was measured by a 3-(4,5-dimethylthiazol-2-yl)-2,5-diphenyltetrazolium bromide (MTT) assay. Protein content was measured using the Lowry assay at the same time points. Cell viability was not impaired by any of the tested compounds. Indirect and direct biocompatibility of these macrogranules was assessed by culturing cells in a previously conditioned medium with HA, SrHA, or MgSrHA, or in the presence of material granules. Osteoblasts formed larger and more numerous nodules around SrHA or MgSrHA granules. Furthermore, cell differentiation was evaluated by alkaline phosphatase staining of primary cells cultured in the presence of HA, SrHA, or MgSrHA granules, confirming the increased osteoconductivity of the doped materials. Full article
Show Figures

Figure 1

15 pages, 8207 KB  
Article
Synthesis and Characterization of Silver–Strontium (Ag-Sr)-Doped Mesoporous Bioactive Glass Nanoparticles
by Shaher Bano, Memoona Akhtar, Muhammad Yasir, Muhammad Salman Maqbool, Akbar Niaz, Abdul Wadood and Muhammad Atiq Ur Rehman
Gels 2021, 7(2), 34; https://doi.org/10.3390/gels7020034 - 24 Mar 2021
Cited by 55 | Viewed by 6993
Abstract
Biomedical implants are the need of this era due to the increase in number of accidents and follow-up surgeries. Different types of bone diseases such as osteoarthritis, osteomalacia, bone cancer, etc., are increasing globally. Mesoporous bioactive glass nanoparticles (MBGNs) are used in biomedical [...] Read more.
Biomedical implants are the need of this era due to the increase in number of accidents and follow-up surgeries. Different types of bone diseases such as osteoarthritis, osteomalacia, bone cancer, etc., are increasing globally. Mesoporous bioactive glass nanoparticles (MBGNs) are used in biomedical devices due to their osteointegration and bioactive properties. In this study, silver (Ag)- and strontium (Sr)-doped mesoporous bioactive glass nanoparticles (Ag-Sr MBGNs) were prepared by a modified Stöber process. In this method, Ag+ and Sr2+ were co-substituted in pure MBGNs to harvest the antibacterial properties of Ag ions, as well as pro-osteogenic potential of Sr2 ions. The effect of the two-ion concentration on morphology, surface charge, composition, antibacterial ability, and in-vitro bioactivity was studied. Scanning electron microscopy (SEM), X-Ray diffraction (XRD), and Fourier transform infrared spectroscopy (FTIR) confirmed the doping of Sr and Ag in MBGNs. SEM and EDX analysis confirmed the spherical morphology and typical composition of MBGNs, respectively. The Ag-Sr MBGNs showed a strong antibacterial effect against Staphylococcus carnosus and Escherichia coli bacteria determined via turbidity and disc diffusion method. Moreover, the synthesized Ag-Sr MBGNs develop apatite-like crystals upon immersion in simulated body fluid (SBF), which suggested that the addition of Sr improved in vitro bioactivity. The Ag-Sr MBGNs synthesized in this study can be used for the preparation of scaffolds or as a filler material in the composite coatings for bone tissue engineering. Full article
Show Figures

Graphical abstract

16 pages, 9194 KB  
Article
Evaluation of the In Vivo Biocompatibility of Amorphous Calcium Phosphate-Containing Metals
by Pio Moerbeck-Filho, Suelen C. Sartoretto, Marcelo J. Uzeda, Maurício Barreto, Alena Medrado, Adriana Alves and Mônica D. Calasans-Maia
J. Funct. Biomater. 2020, 11(2), 45; https://doi.org/10.3390/jfb11020045 - 23 Jun 2020
Cited by 11 | Viewed by 4914
Abstract
Among the biomaterials based on calcium phosphate, hydroxyapatite has been widely used due to its biocompatibility and osteoconduction. The substitution of the phosphate group by the carbonate group associated with the absence of heat treatment and low synthesis temperature leads to the formation [...] Read more.
Among the biomaterials based on calcium phosphate, hydroxyapatite has been widely used due to its biocompatibility and osteoconduction. The substitution of the phosphate group by the carbonate group associated with the absence of heat treatment and low synthesis temperature leads to the formation of carbonated hydroxyapatite (CHA). The association of CHA with other metals (strontium, zinc, magnesium, iron, and manganese) produces amorphous calcium phosphate-containing metals (ACPMetals), which can optimize their properties and mimic biological apatite. This study aimed to evaluate the biocompatibility and biodegradation of ACPMetals in mice subcutaneous tissue. The materials were physicochemically characterized with Fourier Transform InfraRed (FTIR), X-Ray Diffraction (XRD), and Atomic Absorption Spectrometry (AAS). Balb-C mice (n = 45) were randomly divided into three groups: carbonated hydroxyapatite, CHA (n = 15), ACPMetals (n = 15), and without implantation of material (SHAM, n = 15). The groups were subdivided into three experimental periods (1, 3, and 9 weeks). The samples were processed histologically for descriptive and semiquantitative evaluation of the biological effect of biomaterials according to ISO 10993-6:2016. The ACPMetals group was partially biodegradable; however, it presented a severe irritating reaction after 1 and 3 weeks and moderately irritating after nine weeks. Future studies with other concentrations and other metals should be carried out to mimic biological apatite. Full article
Show Figures

Figure 1

22 pages, 4307 KB  
Review
Ionic Substitutions in Non-Apatitic Calcium Phosphates
by Aleksandra Laskus and Joanna Kolmas
Int. J. Mol. Sci. 2017, 18(12), 2542; https://doi.org/10.3390/ijms18122542 - 27 Nov 2017
Cited by 78 | Viewed by 10071
Abstract
Calcium phosphate materials (CaPs) are similar to inorganic part of human mineralized tissues (i.e., bone, enamel, and dentin). Owing to their high biocompatibility, CaPs, mainly hydroxyapatite (HA), have been investigated for their use in various medical applications. One of the most widely used [...] Read more.
Calcium phosphate materials (CaPs) are similar to inorganic part of human mineralized tissues (i.e., bone, enamel, and dentin). Owing to their high biocompatibility, CaPs, mainly hydroxyapatite (HA), have been investigated for their use in various medical applications. One of the most widely used ways to improve the biological and physicochemical properties of HA is ionic substitution with trace ions. Recent developments in bioceramics have already demonstrated that introducing foreign ions is also possible in other CaPs, such as tricalcium phosphates (amorphous as well as α and β crystalline forms) and brushite. The purpose of this paper is to review recent achievements in the field of non-apatitic CaPs substituted with various ions. Particular attention will be focused on tricalcium phosphates (TCP) and “additives” such as magnesium, zinc, strontium, and silicate ions, all of which have been widely investigated thanks to their important biological role. This review also highlights some of the potential biomedical applications of non-apatitic substituted CaPs. Full article
(This article belongs to the Special Issue Novel Biomaterials for Tissue Engineering 2018)
Show Figures

Graphical abstract

13 pages, 7110 KB  
Article
Synthesis, Characterization, and Biological Evaluation of Nanostructured Hydroxyapatite with Different Dimensions
by Zhen Geng, Qin Yuan, Xianglong Zhuo, Zhaoyang Li, Zhenduo Cui, Shengli Zhu, Yanqin Liang, Yunde Liu, Huijing Bao, Xue Li, Qianyu Huo and Xianjin Yang
Nanomaterials 2017, 7(2), 38; https://doi.org/10.3390/nano7020038 - 15 Feb 2017
Cited by 31 | Viewed by 6733
Abstract
Nanosized hydroxyapatite (HA) is a promising candidate for a substitute for apatite in bone in biomedical applications. Furthermore, due to its excellent bone bioactivity, nanosized strontium-substituted HA (SrHA) has aroused intensive interest. However, the size effects of these nanoparticles on cellular bioactivity should [...] Read more.
Nanosized hydroxyapatite (HA) is a promising candidate for a substitute for apatite in bone in biomedical applications. Furthermore, due to its excellent bone bioactivity, nanosized strontium-substituted HA (SrHA) has aroused intensive interest. However, the size effects of these nanoparticles on cellular bioactivity should be considered. In this study, nanosized HA and SrHA with different dimensions and crystallization were synthesized by hydrothermal methods. The phase, crystallization and chemical composition were analyzed by X-ray diffraction (XRD) and Fourier transform infrared spectroscopy (FT-IR), respectively. The morphology was observed under field emission scanning electron microscopy (FE-SEM) and transmission electron microscopy (TEM). The degradation behaviors of the samples were monitored by determining the ions release profile with inductively coupled plasma mass spectrometry (ICP-MS). The releasing behavior of Ca2+ and Sr2+ showed that the degradation rate was proportional to the specific surface area and inversely proportional to crystallization. The in vitro experiment evaluated by MG63 cells showed that SrHA nanorods with a length greater than 100 nm had the best biological performance both in cell proliferation and differentiation (* p < 0.05 compared with HA-1 and SrHA-1; * p < 0.01 compared with HA-2). In addition, HA nanoparticles with a lower aspect ratio had better bioactivity than higher ones (* p < 0.05). This study demonstrated that nanosized HA and SrHA with subtle differences (including dimensions, crystallization, specific surface area, and degradation rate) could affect the cellular growth and thus might have an impact on bone growth in vivo. This work provides a view of the role of nano-HAs as ideal biocompatible materials in future clinical applications. Full article
(This article belongs to the Special Issue Cytotoxicity of Nanoparticles)
Show Figures

Graphical abstract

Back to TopTop