Sign in to use this feature.

Years

Between: -

Subjects

remove_circle_outline
remove_circle_outline
remove_circle_outline
remove_circle_outline
remove_circle_outline
remove_circle_outline
remove_circle_outline
remove_circle_outline
remove_circle_outline

Journals

Article Types

Countries / Regions

Search Results (20)

Search Parameters:
Keywords = standpipe

Order results
Result details
Results per page
Select all
Export citation of selected articles as:
27 pages, 16614 KB  
Article
Urban Sprawl and Drinking Water Services in an African City: The Case of Bukavu in DR Congo
by Didier Mugisho Nyambwe, Sylvain Kulimushi Matabaro, John Baptist Mulengezi Mushegerha, John Kashinzwe Kibekenge, Patrick Bukenya and John Baptist Nzukizi Mudumbi
Urban Sci. 2025, 9(12), 525; https://doi.org/10.3390/urbansci9120525 - 10 Dec 2025
Viewed by 1230
Abstract
This study evaluates urban growth and access to drinking water in Bukavu from 1980 to 2024, combining diachronic Landsat image analysis, demographic and geospatial data, and household surveys. Bukavu’s population rose from 280,000 to over 2 million, with an annual growth rate of [...] Read more.
This study evaluates urban growth and access to drinking water in Bukavu from 1980 to 2024, combining diachronic Landsat image analysis, demographic and geospatial data, and household surveys. Bukavu’s population rose from 280,000 to over 2 million, with an annual growth rate of 4.57%, doubling every 16 years. The urbanized area expanded from 17 km2 in 1984 to nearly 50 km2 in 2024, with progressive densification in risk-prone zones such as steep slopes and wetlands. Theoretical access to drinking water is 61%, falling below 20% in informal neighborhoods. REGIDESO produces 25,000–30,000 m3/day, while the estimated demand is 70,000–72,000 m3/day, creating a deficit of over 30,000 m3/day. Households rely on public standpipes (45%), unimproved sources (33%), and the parallel market (44%), with average collection times of 45 min. High-density areas show elevated health risks, with 57% of water samples contaminated by Salmonella and 36% contaminated by E. coli. Land tenure insecurity affects 29.7% of households. Statistical analysis indicates strong correlations between distance and collection time (r = 0.963) and moderate correlations with disease occurrence (distance r = 0.582; time r = 0.411). These findings demonstrate that rapid urban sprawl, informal settlement, and weak institutional capacity significantly constrain water access, contributing to health risks and highlighting broader implications for African cities experiencing similar growth patterns. Full article
Show Figures

Graphical abstract

30 pages, 16824 KB  
Article
Drill Sticking Prediction Based on Modal Decomposition and Physical Constraint Model of Near-Bit Data
by Tao Zhang, Yixiao Xue, Zhuoran Meng, Malika Sader, Wenjie Zhang and Jun Li
Processes 2025, 13(6), 1802; https://doi.org/10.3390/pr13061802 - 6 Jun 2025
Cited by 2 | Viewed by 829
Abstract
Within the spectrum of complex downhole operational challenges, pipe sticking incidents emerge as one of the most prevalent and costly drilling complications. These incidents characteristically develop through progressive deterioration rather than abrupt failure, with discernible precursor signals typically manifesting as anomalous patterns in [...] Read more.
Within the spectrum of complex downhole operational challenges, pipe sticking incidents emerge as one of the most prevalent and costly drilling complications. These incidents characteristically develop through progressive deterioration rather than abrupt failure, with discernible precursor signals typically manifesting as anomalous patterns in critical drilling parameters (torque fluctuations, drag anomalies, deviations in standpipe pressure). Consequently, early detection of these signals plays a pivotal role in mitigating pipe sticking occurrences. To systematically investigate the characteristic signatures pipe sticking events, this study employs two modal decomposition methods to extract salient features from near-bit downhole data. Conventional pipe sticking prediction methodologies exhibit three predominant limitations: rule-based systems suffer from poor generalizability, physics-based models demonstrate low computational efficiency, and data-driven techniques lack physical interpretability. To overcome these constraints, this study innovatively proposes a physically constrained prediction framework that integrates Variational Mode Decomposition (VMD) with near-bit measurement data. Experimental results demonstrate the superior predictive capability of the proposed VMD-based, near-bit data-physical constraint model. Based on a comprehensive evaluation using six benchmark models, the proposed approach achieves optimal performance, with an R2 metric of approximately 0.9, significantly outperforming existing algorithms. When deployed in actual drilling operations, this model exhibits robust early detection of pipe sticking precursors, enabling proactive intervention. The practical implementation of this framework facilitates timely corrective actions, thereby substantially reducing the incidence of downhole pipe sticking events and enhancing operational safety. Full article
(This article belongs to the Special Issue Condition Monitoring and the Safety of Industrial Processes)
Show Figures

Figure 1

4 pages, 1044 KB  
Proceeding Paper
Characterizing the Impact of Hydrants on Transients
by Charlie Whitelegg, Richard Collins, Joby Boxall and Scott Young
Eng. Proc. 2024, 69(1), 208; https://doi.org/10.3390/engproc2024069208 - 27 Nov 2024
Viewed by 808
Abstract
Attempts have been made to detect and locate leakage using hydraulic transients; however, there has been limited success under field-based conditions on operational systems. It is believed that this is partly due to fire hydrants, the most convenient access points, complicating the signal [...] Read more.
Attempts have been made to detect and locate leakage using hydraulic transients; however, there has been limited success under field-based conditions on operational systems. It is believed that this is partly due to fire hydrants, the most convenient access points, complicating the signal generated and received in the operational systems. Using the transient simulator TSNet based on the method of characteristics (MOC), this paper demonstrates that hydrants can have a significant impact on transient signals and that characterizing and filtering for the hydrant impact can lead to more accurate leak localization. A practical method for characterizing hydrant properties is proposed using an inverse transient analysis approach (ITA) and validated numerically. Full article
Show Figures

Figure 1

25 pages, 7400 KB  
Article
Assessing Potable Water Access and Its Implications for Households’ Livelihoods: The Case of Sibi in the Nkwanta North District, Ghana
by Kingsley Kanjin, Richard Adade, Julia Quaicoe and Minxuan Lan
ISPRS Int. J. Geo-Inf. 2023, 12(9), 365; https://doi.org/10.3390/ijgi12090365 - 2 Sep 2023
Cited by 3 | Viewed by 6359
Abstract
Despite water being a basic human need, the residents of Sibi in Ghana’s Nkwanta North District struggle to obtain potable water, which negatively influences their livelihoods. This study aimed to evaluate the impacts on households’ livelihoods due to difficulties in accessing potable water [...] Read more.
Despite water being a basic human need, the residents of Sibi in Ghana’s Nkwanta North District struggle to obtain potable water, which negatively influences their livelihoods. This study aimed to evaluate the impacts on households’ livelihoods due to difficulties in accessing potable water and accordingly give policy recommendations. Data were collected through questionnaire surveys, interviews, geographic information systems (GIS), and remote sensing (RS) techniques. Questionnaire surveys were administered to 314 randomly selected household heads. The results indicated that the water sources available in Sibi were not sufficient; the boreholes and public tabs/standpipes in the communities were not dependable for regular access. As a result, households needed to depend on distant streams and dams for water. The households generally spent more than two hours at the water sources to collect water. Evidently, the Sibi residents did not have sufficient access to potable water, which severely affected their livelihoods. It is recommended that government agencies collaborate with related non-governmental organizations (NGOs) to help expand potable water projects in Sibi, Ghana. Full article
Show Figures

Figure 1

28 pages, 6863 KB  
Article
A Developed Robust Model and Artificial Intelligence Techniques to Predict Drilling Fluid Density and Equivalent Circulation Density in Real Time
by Mohammed Al-Rubaii, Mohammed Al-Shargabi, Bayan Aldahlawi, Dhafer Al-Shehri and Konstantin M. Minaev
Sensors 2023, 23(14), 6594; https://doi.org/10.3390/s23146594 - 21 Jul 2023
Cited by 17 | Viewed by 5325
Abstract
When drilling deep wells, it is important to regulate the formation pressure and prevent kicks. This is achieved by controlling the equivalent circulation density (ECD), which becomes crucial in high-pressure and high-temperature wells. ECD is particularly important in formations where the pore pressure [...] Read more.
When drilling deep wells, it is important to regulate the formation pressure and prevent kicks. This is achieved by controlling the equivalent circulation density (ECD), which becomes crucial in high-pressure and high-temperature wells. ECD is particularly important in formations where the pore pressure and fracture pressure are close to each other (narrow windows). However, the current methods for measuring ECD using downhole sensors can be expensive and limited by operational constraints such as high pressure and temperature. Therefore, to overcome this challenge, two novel models named ECDeffc.m and MWeffc.m were developed to predict ECD and mud weight (MW) from surface-drilling parameters, including standpipe pressure, rate of penetration, drill string rotation, and mud properties. In addition, by utilizing an artificial neural network (ANN) and a support vector machine (SVM), ECD was estimated with a correlation coefficient of 0.9947 and an average absolute percentage error of 0.23%. Meanwhile, a decision tree (DT) was employed to estimate MW with a correlation coefficient of 0.9353 and an average absolute percentage error of 1.66%. The two novel models were compared with artificial intelligence (AI) techniques to evaluate the developed models. The results proved that the two novel models were more accurate with the value obtained from pressure-while-drilling (PWD) tools. These models can be utilized during well design and while drilling operations are in progress to evaluate and monitor the appropriate mud weight and equivalent circulation density to save time and money, by eliminating the need for expensive downhole equipment and commercial software. Full article
(This article belongs to the Section Physical Sensors)
Show Figures

Figure 1

16 pages, 3748 KB  
Article
Water Hammer Protection Characteristics and Hydraulic Performance of a Novel Air Chamber with an Adjustable Central Standpipe in a Pressurized Water Supply System
by Jianyong Hu, Xuejie Zhai, Xiujun Hu, Zhenzhu Meng, Jinxin Zhang and Gang Yang
Sustainability 2023, 15(12), 9730; https://doi.org/10.3390/su15129730 - 18 Jun 2023
Cited by 6 | Viewed by 3144
Abstract
Water scarcity is an urgent issue for social and economic development in arid and semi-arid areas. Constructing long-distance pressurized water supply projects is a commonly used measure to solve water scarcity problems in these areas. With the increasing complexity of long-distance pressurized water [...] Read more.
Water scarcity is an urgent issue for social and economic development in arid and semi-arid areas. Constructing long-distance pressurized water supply projects is a commonly used measure to solve water scarcity problems in these areas. With the increasing complexity of long-distance pressurized water supply projects, the issue of water hammer protection has become more and more prominent. Air chambers have been widely used to solve the issue of water hammer accidents. In this paper, we propose a novel air chamber with an adjustable central standpipe, and then analyze the hydraulic performance, as well as the water hammer protection characteristics, of the proposed novel air chamber using numerical simulations. The influences of the inner length, the diameter of the central standpipe, and the diameter of the bottom connecting pipe on the hydraulic performance of the air chamber are also studied. Then, the optimization of the relevant parameters of the central standpipe for the proposed air chamber is conducted. In addition, the volumes of the proposed air chamber and conventional air chambers are compared. Full article
(This article belongs to the Special Issue Hydraulic Engineering Modeling and Technology)
Show Figures

Figure 1

12 pages, 1451 KB  
Article
Intelligent Identification Method for Drilling Conditions Based on Stacking Model Fusion
by Yonghai Gao, Xin Yu, Yufa Su, Zhiming Yin, Xuerui Wang and Shaoqiang Li
Energies 2023, 16(2), 883; https://doi.org/10.3390/en16020883 - 12 Jan 2023
Cited by 6 | Viewed by 2584
Abstract
Due to the complex and changing drilling conditions and the large scale of logging data, it is extremely difficult to process the data in real time and identify dangerous working conditions. Based on the multi-classification intelligent algorithm of Stacking model fusion, the 24 [...] Read more.
Due to the complex and changing drilling conditions and the large scale of logging data, it is extremely difficult to process the data in real time and identify dangerous working conditions. Based on the multi-classification intelligent algorithm of Stacking model fusion, the 24 h actual working conditions of an XX well are classified and identified. The drilling conditions are divided into standpipe connection, tripping out, tripping in, Reaming, back Reaming, circulation, drilling, and other conditions. In the Stacking fusion model, the accuracy of the integrated model and the base learner is compared, and the confusion matrix of the drilling multi-condition recognition results is output, which verifies the effectiveness of the Stacking model fusion. Based on the variation in the parameter characteristics of different working conditions, a real-time working condition recognition diagram of the classification results is drawn, and the adaptation rules of the Stacking fusion model under different working conditions are summarized. The stacking model fusion method has a good recognition effect under the standpipe connection condition, tripping in condition, and drilling condition. These three conditions’ accuracy, recall rate, and F1 value are all above 90%. The stacking model fusion method has a relatively poor recognition effect on ‘other conditions‘, and the accuracy rate, recall rate, and F1 value reach less than 80%. Full article
Show Figures

Figure 1

14 pages, 1706 KB  
Article
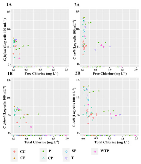
Quantitative Assessment of First Nations Drinking Water Distribution Systems for Detection and Prevalence of Thermophilic Campylobacter Species
by Izhar U. H. Khan, Anita Murdock, Maria Mahmud, Michel Cloutier, Thomas Benoit, Sabrin Bashar, Rakesh Patidar, Ruidong Mi, Bahram Daneshfar, Annemieke Farenhorst and Ayush Kumar
Int. J. Environ. Res. Public Health 2022, 19(17), 10466; https://doi.org/10.3390/ijerph191710466 - 23 Aug 2022
Cited by 5 | Viewed by 3325
Abstract
Water is considered a major route for transmitting human-associated pathogens. Although microbial water quality indicators are used to test for the presence of waterborne pathogens in drinking water, the two are poorly correlated. The current study investigates the prevalence of thermophilic DNA markers [...] Read more.
Water is considered a major route for transmitting human-associated pathogens. Although microbial water quality indicators are used to test for the presence of waterborne pathogens in drinking water, the two are poorly correlated. The current study investigates the prevalence of thermophilic DNA markers specific for Campylobacter spp. (C. jejuni and C. coli) in source water and throughout the water distribution systems of two First Nations communities in Manitoba, Canada. A total of 220 water samples were collected from various points of the drinking water distribution system (DWDS) between 2016 and 2018. Target Campylobacter spp. were always (100%) detected in a home with a fiberglass (CF) cistern, as well as the community standpipe (SP). The target bacteria were also frequently detected in treated water at the Water Treatment Plant (WTP) (78%), homes with polyethylene (CP) (60%) and concrete (CC) (58%) cisterns, homes with piped (P) water (43%) and water truck (T) samples (20%), with a maximum concentration of 1.9 × 103 cells 100 mL−1 (C. jejuni) and 5.6 × 105 cells 100 mL−1 (C. coli). Similarly, target bacteria were detected in 68% of the source water samples with a maximum concentration of 4.9 × 103 cells 100 mL−1 (C. jejuni) and 8.4 × 105 cells 100 mL−1 (C. coli). Neither target Campylobacter spp. was significantly associated with free and total chlorine concentrations in water. The study results indicate that there is an immediate need to monitor Campylobacter spp. in small communities of Canada and, particularly, to improve the DWDS in First Nations communities to minimize the risk of Campylobacter infection from drinking water sources. Further research is warranted in improving/developing processes and technologies to eliminate microbial contaminants from water. Full article
(This article belongs to the Section Environmental Microbiology)
Show Figures

Figure 1

18 pages, 3781 KB  
Article
Evaluation of Drinking Water Quality and Bacterial Antibiotic Sensitivity in Wells and Standpipes at Household Water Points in Freetown, Sierra Leone
by Dauda Kamara, Doris Bah, Momodu Sesay, Anna Maruta, Bockarie Pompey Sesay, Bobson Derrick Fofanah, Ibrahim Franklyn Kamara, Joseph Sam Kanu, Sulaiman Lakoh, Bailah Molleh, Jamie Guth, Karuna D. Sagili, Simon Tavernor and Ewan Wilkinson
Int. J. Environ. Res. Public Health 2022, 19(11), 6650; https://doi.org/10.3390/ijerph19116650 - 29 May 2022
Cited by 8 | Viewed by 5555
Abstract
Water quality surveillance can help to reduce waterborne diseases. Despite better access to safe drinking water in Sierra Leone, about a third of the population (3 million people) drink water from unimproved sources. In this cross-sectional study, we collected water samples from 15 [...] Read more.
Water quality surveillance can help to reduce waterborne diseases. Despite better access to safe drinking water in Sierra Leone, about a third of the population (3 million people) drink water from unimproved sources. In this cross-sectional study, we collected water samples from 15 standpipes and 5 wells and measured the physicochemical and bacteriological water quality, and the antimicrobial sensitivity of Escherichia coli (E. coli) in two communities in Freetown, Sierra Leone in the dry and wet seasons in 2021. All water sources were contaminated with E. coli, and all five wells and 25% of standpipes had at least an intermediate risk level of E. coli. There was no antimicrobial resistance detected in the E. coli tested. The nitrate level exceeded the WHO’s recommended standard (>10 parts per million) in 60% of the wells and in less than 20% of the standpipes. The proportion of samples from standpipes with high levels of total dissolved solids (>10 Nephelometric Turbidity Units) was much higher in the rainy season (73% vs. 7%). The level of water contamination is concerning. We suggest options to reduce E. coli contamination. Further research is required to identify where contamination of the water in standpipes is occurring. Full article
Show Figures

Figure 1

15 pages, 7479 KB  
Review
Measuring Technologies for CFB Solid Circulation Rate: A Review and Future Perspectives
by Xiandong Liu, Man Zhang, Shuangming Zhang, Yi Ding, Zhong Huang, Tuo Zhou, Hairui Yang and Guangxi Yue
Energies 2022, 15(2), 417; https://doi.org/10.3390/en15020417 - 6 Jan 2022
Cited by 13 | Viewed by 3792
Abstract
Solid circulation rate (Gs) represents the mass flux of circulating particles in circulating fluidized bed (CFB) systems and is a significant parameter for the design and operation of CFB reactors. Many measuring technologies for Gs have been proposed, though [...] Read more.
Solid circulation rate (Gs) represents the mass flux of circulating particles in circulating fluidized bed (CFB) systems and is a significant parameter for the design and operation of CFB reactors. Many measuring technologies for Gs have been proposed, though few of them can be applied in industrial units. This paper presents a comprehensive study on measuring technologies, and the results indicate that though the accumulation method is most widely applied, it is constrained by the disturbance of normal particle circulation. Some publications have proposed mathematic models based on pressure drop or other parameters to establish Gs measurement models; these necessitate the accurate modeling of complicated gas-solid flows in industrial devices. Methods based on certain measurement devices to specify parameters like velocity require device endurance in the industrial operation environment and stable local gas-solid flow. The Gs measuring technologies are strongly influenced by local gas-solid flow states, and the packed bed flow in standpipes make the bottom of standpipes an ideal place to realize Gs measurement. Full article
(This article belongs to the Special Issue Progress and Novel Applications of Fluidized Bed Technology)
Show Figures

Figure 1

23 pages, 39002 KB  
Article
Water Infrastructure Development in Nigeria: Trend, Size, and Purpose
by Adegboyega Adeniran, Katherine A. Daniell and Jamie Pittock
Water 2021, 13(17), 2416; https://doi.org/10.3390/w13172416 - 2 Sep 2021
Cited by 29 | Viewed by 22139
Abstract
Water infrastructure development is key to attaining sustainable development, especially for water supply, sanitation and health, agricultural development, and energy production. However, sub-Saharan African countries face specific challenges around infrastructure financing, systemic and repeated malfunctioning, and decentralised infrastructure types. Using Nigeria as a [...] Read more.
Water infrastructure development is key to attaining sustainable development, especially for water supply, sanitation and health, agricultural development, and energy production. However, sub-Saharan African countries face specific challenges around infrastructure financing, systemic and repeated malfunctioning, and decentralised infrastructure types. Using Nigeria as a case, this article aims to analyse historical water infrastructure development in Nigeria with a specific focus on dams and standpipes. Seven themes are discussed: infrastructure divisions; deprioritising water supply; political infrastructures; infrastructure failure and sustainability; infrastructure classification and typologies; optimal use of water resources and infrastructure; and a commentary on the future of water infrastructure development. The article concludes with policy and research suggestions for policymakers and other relevant stakeholders. Full article
(This article belongs to the Section Water Resources Management, Policy and Governance)
Show Figures

Figure 1

18 pages, 7162 KB  
Article
Prediction of Jacking Force in Vertical Tunneling Projects Based on Neuro-Genetic Models
by Xin-Jiang Wei, Xiao Wang, Gang Wei, Cheng-Wei Zhu and Yu Shi
J. Mar. Sci. Eng. 2021, 9(1), 71; https://doi.org/10.3390/jmse9010071 - 12 Jan 2021
Cited by 11 | Viewed by 3095
Abstract
The vertical tunneling method is an emerging technique to build sewage inlets or outlets in constructed horizontal tunnels. The jacking force used to drive the standpipes upward is an essential factor during the construction process. This study aims to predict the jacking forces [...] Read more.
The vertical tunneling method is an emerging technique to build sewage inlets or outlets in constructed horizontal tunnels. The jacking force used to drive the standpipes upward is an essential factor during the construction process. This study aims to predict the jacking forces during the vertical tunneling construction process through two intelligence systems, namely, artificial neural networks (ANNs) and hybrid genetic algorithm optimized ANNs (GA-ANNs). In this paper, the Beihai hydraulic tunnel constructed by the vertical tunneling method in China is introduced, and the direct shear tests have been conducted. A database composed of 546 datasets with ten inputs and one output was prepared. The effective parameters are classified into three categories, including tunnel geometry factors, the geological factor, and jacking operation factors. These factors are considered as input parameters. The tunnel geometry factors include the jacking distance, the thickness of overlaying soil, and the height of overlaying water; the geological factor refers to the geological conditions; and the jacking operation factors consist of the dead weight of standpipes, effective overburden soil pressure, effective lateral soil pressure, average jacking speed, construction hours, and soil weakening measure. The output parameter, on the other hand, refers to the jacking force. Performance indices, including the coefficient of determination (R2), root mean square error (RMSE), and the absolute value of relative error (RE), are computed to compare the performance of the ANN models and the GA-ANN models. Comparison results show that the GA-ANN models perform better than the ANN model, especially on the RMSE values. Finally, parametric sensitivity analysis between the input parameters and output parameter is conducted, reaching the result that the height of overlaying water, the average jacking speed, and the geological condition are the most effective input parameters on the jacking force in this study. Full article
(This article belongs to the Section Ocean Engineering)
Show Figures

Figure 1

16 pages, 3332 KB  
Article
Real-Time Prediction of Rate of Penetration in S-Shape Well Profile Using Artificial Intelligence Models
by Salaheldin Elkatatny
Sensors 2020, 20(12), 3506; https://doi.org/10.3390/s20123506 - 21 Jun 2020
Cited by 19 | Viewed by 4000
Abstract
Rate of penetration (ROP) is defined as the amount of removed rock per unit area per unit time. It is affected by several factors which are inseparable. Current established models for determining the ROP include the basic mathematical and physics equations, as well [...] Read more.
Rate of penetration (ROP) is defined as the amount of removed rock per unit area per unit time. It is affected by several factors which are inseparable. Current established models for determining the ROP include the basic mathematical and physics equations, as well as the use of empirical correlations. Given the complexity of the drilling process, the use of artificial intelligence (AI) has been a game changer because most of the unknown parameters can now be accounted for entirely at the modeling process. The objective of this paper is to evaluate the ability of the optimized adaptive neuro-fuzzy inference system (ANFIS), functional neural networks (FN), random forests (RF), and support vector machine (SVM) models to predict the ROP in real time from the drilling parameters in the S-shape well profile, for the first time, based on the drilling parameters of weight on bit (WOB), drillstring rotation (DSR), torque (T), pumping rate (GPM), and standpipe pressure (SPP). Data from two wells were used for training and testing (Well A and Well B with 4012 and 1717 data points, respectively), and one well for validation (Well C) with 2500 data points. Well A and Well B data were combined in the training-testing phase and were randomly divided into a 70:30 ratio for training/testing. The results showed that the ANFIS, FN, and RF models could effectively predict the ROP from the drilling parameters in the S-shape well profile, while the accuracy of the SVM model was very low. The ANFIS, FN, and RF models predicted the ROP for the training data with average absolute percentage errors (AAPEs) of 9.50%, 13.44%, and 3.25%, respectively. For the testing data, the ANFIS, FN, and RF models predicted the ROP with AAPEs of 9.57%, 11.20%, and 8.37%, respectively. The ANFIS, FN, and RF models overperformed the available empirical correlations for ROP prediction. The ANFIS model estimated the ROP for the validation data with an AAPE of 9.06%, whereas the FN model predicted the ROP with an AAPE of 10.48%, and the RF model predicted the ROP with an AAPE of 10.43%. The SVM model predicted the ROP for the validation data with a very high AAPE of 30.05% and all empirical correlations predicted the ROP with AAPEs greater than 25%. Full article
(This article belongs to the Special Issue Artificial Intelligence and Sensors)
Show Figures

Figure 1

17 pages, 3882 KB  
Article
New Artificial Neural Networks Model for Predicting Rate of Penetration in Deep Shale Formation
by Abdulmalek Ahmed, Abdulwahab Ali, Salaheldin Elkatatny and Abdulazeez Abdulraheem
Sustainability 2019, 11(22), 6527; https://doi.org/10.3390/su11226527 - 19 Nov 2019
Cited by 60 | Viewed by 5580
Abstract
Rate of penetration (ROP) means how fast the drilling bit is drilling through the formations. It is known that in the petroleum industry, most of the well cost is taken by the drilling operations. Therefore, it is very crucial to drill carefully and [...] Read more.
Rate of penetration (ROP) means how fast the drilling bit is drilling through the formations. It is known that in the petroleum industry, most of the well cost is taken by the drilling operations. Therefore, it is very crucial to drill carefully and improve drilling processes. Nevertheless, it is challenging to predict the influence of every single parameter because most of the drilling parameters depend on each other and altering an individual parameter will have an impact on the rest. Due to the complexity of the drilling operations, up to the present time, there is no reliable model that can adequately estimate the ROP. Artificial intelligence (AI) might be capable of building a predictive model from a number of input parameters that correlate to the output parameter. A real field dataset, of shale formation, that contains records of both drilling parameters such as, rotation per minute (RPM), weight on bit (WOB), drilling torque (τ), standpipe pressure (SPP) and flow pump (Q) and mud properties such as, mud weight (MW), funnel and plastic viscosities (FV) (PV), solid (%) and yield point (YP) were used to predict ROP using artificial neural network (ANN). A comparison between the developed ANN-ROP model and the number of selected published ROP models were performed. A novel empirical equation of ROP using the above-mentioned parameters was derived based on ANN technique which is able to estimate ROP with excellent precision (correlation coefficient (R) of 0.996 and average absolute percentage error (AAPE) of 5.776%). The novel ANN-based correlation outperformed three published empirical models and it can be used to predict the ROP without the need for artificial intelligence software. Full article
(This article belongs to the Special Issue Drilling Technologies and Process Safety)
Show Figures

Figure 1

22 pages, 3962 KB  
Article
The Impact of Social Disparities on Microbiological Quality of Drinking Water Supply in Ugu District Municipality of Kwazulu-Natal Province, South Africa
by C. M. N. Khabo-Mmekoa and M. N. B. Momba
Int. J. Environ. Res. Public Health 2019, 16(16), 2972; https://doi.org/10.3390/ijerph16162972 - 18 Aug 2019
Cited by 9 | Viewed by 6445
Abstract
This study was undertaken to highlight the social disparity between rural and urban areas in terms of housing patterns, provision of safe drinking water, access to sanitation facilities, education, employment rate and health-related to diarrhoeal episodes in Ugu District Municipality of KwaZulu-Natal Province [...] Read more.
This study was undertaken to highlight the social disparity between rural and urban areas in terms of housing patterns, provision of safe drinking water, access to sanitation facilities, education, employment rate and health-related to diarrhoeal episodes in Ugu District Municipality of KwaZulu-Natal Province of South Africa. To achieve this aim, a survey was conducted using a structured questionnaire. Drinking water samples were collected from the point of supply and the storage containers to assess the microbiological quality of drinking water in both rural and urban areas. Results of this study revealed prominent residential segregation between rural and urban communities, whereby the houses in the rural areas were generally constructed with corrugated iron sheets, or mud brick and mortar whereas conventional brick-and-mortar construction was used to build those in the urban areas. All of the urban households had flush toilets in their houses (100%), while 98.2% of the rural households were relying on pit latrines and 1.8% were reported to defecate in an open field. The District unemployment rate was at 58.1% in rural areas and none among the urban community. Results also showed that only 13.6% of the rural dwellers completed their secondary education compared to 70.4% of the urban areas. The diarrhoeal episodes were high in rural areas (34.1%) while none of these episodes was reported in urban areas. Great disparity in the water supply persists between rural and urban communities. For the former, the standpipes located outside their homes (90.9%) remain the sole mode of access to drinking water, while in the urban area, all households had pipes/taps inside their houses. Assessment of the drinking water quality revealed only the stored drinking water used by the rural community of Ugu District was contaminated. High prevalence of E. coli ranging from 63.3 % to 66.7% was recorded only in stored water after the sequencing of 16S rRNA genes. Species-specific PCR primers exposed the presence of enteropathogenic Escherichia coli at a rate ranging between 1.4% and 3.7% in this water Overall, this study has been able to highlight the disparity left by the legacy of racial segregation in the Ugu Municipality District. Therefore, the local government must intervene in educating homeowners on safe water storage practices. Full article
(This article belongs to the Special Issue Achieving Environmental Health Equity: Great Expectations)
Show Figures

Figure 1

Back to TopTop