Sign in to use this feature.

Years

Between: -

Subjects

remove_circle_outline
remove_circle_outline
remove_circle_outline
remove_circle_outline
remove_circle_outline
remove_circle_outline
remove_circle_outline
remove_circle_outline
remove_circle_outline

Journals

Article Types

Countries / Regions

remove_circle_outline
remove_circle_outline
remove_circle_outline
remove_circle_outline
remove_circle_outline
remove_circle_outline

Search Results (453)

Search Parameters:
Keywords = spot weld

Order results
Result details
Results per page
Select all
Export citation of selected articles as:
20 pages, 4678 KB  
Article
An Investigation into the Friction Stir Spot Welding Behavior of 3D-Printed Glass Fiber-Reinforced Polylactic Acid
by Emre Kanlı, Oğuz Koçar and Nergizhan Anaç
Polymers 2026, 18(9), 1041; https://doi.org/10.3390/polym18091041 (registering DOI) - 24 Apr 2026
Abstract
The production of fiber-reinforced polymer composites using 3D printing technology offers significant potential and opportunities for industrial applications. However, current dimensional limitations in 3D printing necessitate the use of joining techniques to obtain larger components. Recently, innovative strategies such as friction stir spot [...] Read more.
The production of fiber-reinforced polymer composites using 3D printing technology offers significant potential and opportunities for industrial applications. However, current dimensional limitations in 3D printing necessitate the use of joining techniques to obtain larger components. Recently, innovative strategies such as friction stir spot welding (FSSW) have attracted considerable attention for joining polymer composites due to their ability to produce strong joints with relatively low heat input (solid-state welding). Nevertheless, it is important to understand how the fibers present in fiber-reinforced polymer composites influence material flow and welding performance during the FSSW process. In this study, glass fiber-reinforced polylactic acid (PLA-GF) composite samples produced using a 3D printer were joined by means of FSSW. Five different tool rotational speeds (900, 1200, 1500, 1800, and 2100 rpm) and three different plunge rates (10, 20, and 30 mm/min) were employed during the welding process. Mechanical tests were performed on the welded joints to investigate the relationship between the welding parameters and the resulting mechanical properties. In addition, microstructural analyses were conducted to examine the formation of welding defects. The results revealed that three distinct zones were formed in the material after the FSSW process: the stir zone, mixed zone, and shoulder zone. Defects were observed in the mixed zone of the samples exhibiting relatively lower mechanical properties. The highest tensile force was achieved at a plunge rate of 20 mm/min and a rotational speed of 900 rpm. The highest bending force, on the other hand, was obtained at a plunge rate of 30 mm/min and a tool rotational speed of 2100 rpm. Full article
(This article belongs to the Section Polymer Composites and Nanocomposites)
Show Figures

Figure 1

19 pages, 5140 KB  
Article
Modeling Method and Analysis of Hot-Spot Stress Concentration Factor for Pipe Joint Welds Based on AWS Specifications
by Yongliang Ma, Zhenyu Yang and Guoqing Lu
Modelling 2026, 7(2), 76; https://doi.org/10.3390/modelling7020076 - 20 Apr 2026
Viewed by 191
Abstract
To precisely evaluate the fatigue hot-spot stress concentration factor (SCF) of welded tubular joints and verify the accuracy of existing methods, this research selects Y-type tubular joints as the research subject. The dihedral angle formula is re-derived, and the dihedral angles corresponding to [...] Read more.
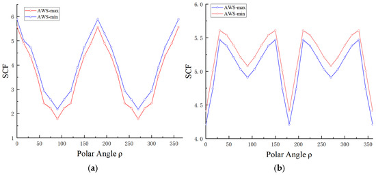
To precisely evaluate the fatigue hot-spot stress concentration factor (SCF) of welded tubular joints and verify the accuracy of existing methods, this research selects Y-type tubular joints as the research subject. The dihedral angle formula is re-derived, and the dihedral angles corresponding to each polar angle along the intersection line are calculated using MATLAB R2018a (MathWorks Inc., Natick, MA, USA). After determining the geometric parameters of the weld profile in accordance with AWS specifications, finite element models named “AWS-max” and “AWS-min” are established in ANSYS 2022 R1 (ANSYS Inc., Canonsburg, PA, USA). These models meet the maximum and minimum allowable weld sizes respectively, and a novel modeling approach is proposed. Tests on tubular joints under axial tension loading are conducted, and the SCF is obtained through the surface stress interpolation method. Comparative analyses are carried out among the SCF from the established “AWS-max” and “AWS-min” weld models, the non-weld model, and the test results of the tubular joints. The results indicate that the weld geometric size has a significant impact on SCF: a larger weld cross-section results in a lower SCF. For the AWS maximum weld model, the SCF of the chord ranges from 4.21 to 5.42, and that of the brace ranges from 1.71 to 5.33; for the AWS minimum weld model, the chord SCF is 4.41–5.73, and the brace SCF is 2.11–5.79. The numerical results are in good accordance with the experimental data, while the non-weld model produces obviously conservative results with inconsistent distribution laws. The calculated dihedral angles obtained by the proposed method are highly consistent with the AWS standard. The modeling method is characterized by reliable accuracy and strong engineering applicability, and can be extended to the SCF calculation and fatigue evaluation of various tubular joints. Full article
Show Figures

Figure 1

36 pages, 4882 KB  
Review
Emerging Trends in Ultrasonic and Friction Stir Spot Welding of Polymers and Metal-Polymer Hybrids: A Review of Process Mechanics, Microstructure, and Joint Performance
by Kanchan Kumari, Swastik Pradhan, Chitrasen Samantra, Manisha Priyadarshini, Abhishek Barua and Debabrata Dhupal
Materials 2026, 19(8), 1602; https://doi.org/10.3390/ma19081602 - 16 Apr 2026
Viewed by 358
Abstract
The growing need for lightweight, multifunctional, and high-performance structures in the automotive, aerospace, electronics, and medical industries has driven the development of advanced joining technologies for polymers and metal-polymer combinations. Among these, ultrasonic welding (USW) and friction stir spot welding (FSSW) have emerged [...] Read more.
The growing need for lightweight, multifunctional, and high-performance structures in the automotive, aerospace, electronics, and medical industries has driven the development of advanced joining technologies for polymers and metal-polymer combinations. Among these, ultrasonic welding (USW) and friction stir spot welding (FSSW) have emerged as promising solid-state techniques capable of producing reliable joints with minimal thermal degradation and enhanced interfacial bonding. This review focuses on recent developments in USW and FSSW of thermoplastics, fiber-reinforced composites, and hybrid metal–polymer systems, with a particular emphasis on process mechanics, microstructural evolution, and joint performance. The mechanisms of heat generation, material flow behavior, and consolidation are discussed in relation to key process parameters, including applied pressure, rotational speed, vibration amplitude, plunge depth, and dwell time. Microstructural transformations such as polymer chain orientation, recrystallization, interfacial diffusion, and defect formation are analyzed to establish process–structure–property relationships. Mechanical performance metrics, including lap shear strength, fatigue resistance, impact behavior, and environmental durability, are critically compared across different materials and welding methods. Furthermore, recent advances in numerical and thermo-mechanical modeling, in situ process monitoring, and data-driven optimization are discussed to highlight pathways toward predictive and scalable manufacturing. Current industrial applications and existing limitations such as challenges in automation, thickness constraints, and hybrid material compatibility are also evaluated. Finally, key research gaps and future directions are identified to improve joint reliability, sustainability, and broader industrial adoption of advanced solid-state welding technologies. Full article
Show Figures

Graphical abstract

41 pages, 12580 KB  
Article
Visualization of the Reverse Side of Cathode and Anode Spots in a Welding Arc
by Yulia I. Karlina, Andrey E. Balanovskiy, Georgy E. Kurdyumov, Vitaliy A. Gladkikh, Vladimir Yu. Konyukhov, Tatiana A. Oparina, Roman V. Kononenko and Viktor V. Kondratiev
Appl. Sci. 2026, 16(7), 3385; https://doi.org/10.3390/app16073385 - 31 Mar 2026
Viewed by 434
Abstract
Improving the quality of welded joints, as well as the advancement of equipment and materials, inevitably requires deep theoretical knowledge of the physical phenomena occurring in the arc column and in the cathode and anode regions. Achievements in the field of controlling metal [...] Read more.
Improving the quality of welded joints, as well as the advancement of equipment and materials, inevitably requires deep theoretical knowledge of the physical phenomena occurring in the arc column and in the cathode and anode regions. Achievements in the field of controlling metal transfer at the micro- and nanoscale through the regulation of current and voltage in welding power sources have encountered the problem of the formation of cathode and anode spots, which affect the stability of welding arcs and the quality of the weld. Under short current pulses and pauses, the stability of the arc discharge depends on the ability to form a cathode spot, melt the wire metal, and transfer it through the arc column. In this article, based on the generalization of known experimental facts and studies performed using a high-speed camera, it is shown that the current-carrying channel of the electric arc has a discrete structure consisting of a multitude of thin channels through which the main discharge current flows. The cathode spot of the arc discharge represents a highly heated and brightly luminous region on the cathode surface. Electron emission sustaining the discharge and the removal of cathode material occur from this region. A new method is proposed for investigating the reverse side of the cathode spot, which makes it possible to identify a structure consisting of individual cells or fragments of the cathode spot. For the first time, anode spots recorded with a high-speed camera are presented. An analysis of the spot structure is carried out. The parameters influencing the mobility of cathode and anode spots are determined. Based on the obtained experimental facts, a hypothesis is proposed regarding the non-uniform structure of cathode and anode spots in the arc discharge. Full article
Show Figures

Figure 1

19 pages, 9787 KB  
Article
Experimental Study and Optimization of Welding Parameters of Stainless Steel During Spot Welding
by Amor Bourebbou, Catalin Tampu, Mourad Bendifallah, Abderrahim Belloufi, Mourad Abdelkrim, Bogdan Chirita, Eugen Herghelegiu, Bogdan Nita and Raluca Tampu
Processes 2026, 14(7), 1056; https://doi.org/10.3390/pr14071056 - 26 Mar 2026
Viewed by 437
Abstract
Welding is a fundamental technique for joining materials in industrial applications and large-scale construction. Various methods are employed to ensure robust connections. Resistance spot welding is ideal for thin sheets due to its speed, low cost, short processing times, and easy integration into [...] Read more.
Welding is a fundamental technique for joining materials in industrial applications and large-scale construction. Various methods are employed to ensure robust connections. Resistance spot welding is ideal for thin sheets due to its speed, low cost, short processing times, and easy integration into automation systems. Stainless steel is widely used in many food and beverage industries because of its durability and ability to withstand diverse conditions. However, despite the existence of modeling approaches, predictive models linking weld parameters to the simultaneous improvement of stiffness and tensile strength in different joint regions remain limited in published studies. Many studies treat the weld as a single homogeneous region or focus primarily on general indicators such as tensile strength or weld diameter. The spatial variation in properties between the weld region, the heat-affected region, and the base metal is often not modeled separately. This study examines the effect of welding current and welding time on the mechanical properties of weld beads. Scanning electron microscopy (SEM) was also used to characterize the weld microstructure. The combination of mechanical evaluation and microstructural analysis provides deeper insight into the relationship between welding parameters and weld quality. Among the conditions studied (6–8 kA, 60–120 ms), the optimal parameters (6 kA, 120 ms) produced the maximum hardness of 178.16 HV observed in the weld zone and a tensile strength of 12 kN. The experimental results demonstrated that welding parameters significantly influence weld bead quality, and the optimization study allowed us to identify the parameters that achieve the best possible mechanical properties and optimal operating conditions. The experimental results demonstrated that welding parameters significantly influence weld bead quality, and the optimization study using Response Surface Methodology (RSM) allowed us to identify the parameters that achieve the best possible mechanical properties and optimal operating conditions. Full article
Show Figures

Figure 1

22 pages, 12195 KB  
Article
Opportunities for Producing Laser Beam Spot-Welded Joints in Nimonic 80A Superalloys
by Călin Lucian Burcă, Olimpiu Karancsi, Dragoş Vâlsan, Ion Mitelea, Corneliu Marius Crăciunescu and Ion-Dragoș Uțu
Appl. Sci. 2026, 16(6), 3054; https://doi.org/10.3390/app16063054 - 21 Mar 2026
Viewed by 259
Abstract
The present work aims to investigate the microstructure and mechanical properties of laser beam spot welds in the superalloy Nimonic 80 A. Considering the importance of this innovative process in the manufacturing of engineering components for high-security industries, it is necessary to study [...] Read more.
The present work aims to investigate the microstructure and mechanical properties of laser beam spot welds in the superalloy Nimonic 80 A. Considering the importance of this innovative process in the manufacturing of engineering components for high-security industries, it is necessary to study the influence of the welding thermal cycle on the microstructure and mechanical properties of welded joints. The rapid heating/cooling, melting, and re-solidification phenomena that occur during welding modify the metallurgical characteristics of the weld compared with the microstructure of the base metal. Because the energy density is high and the process duration is very short, the microstructure obtained after solidification is fine dendritic in the central area of the joint and columnar in the weld–base metal transition zone. For the same reasons, the heat-affected zone (HAZ) is slightly extended. The increase in the size of the crystalline grains in the HAZ is negligible due to the low diffusivity of the nickel-based γ solid solution matrix, which inhibits the rapid migration of grain boundaries during the welding process. Metallographic analyses were performed using optical microscopy and scanning electron microscopy. The microhardness values, 152–168 HV0.05 in the weld and 180–190 HV0.05 in the base metal, together with the tensile–shear strength values (760–780 N/mm2) obtained at room temperature, demonstrate that the proposed welding process is appropriate and feasible for engineering applications involving Nimonic 80A superalloys. Full article
(This article belongs to the Special Issue Sustainable Metal Forming Materials and Technologies)
Show Figures

Figure 1

26 pages, 4321 KB  
Article
Automation of Ultrasonic Monitoring for Resistance Spot Welding Using Deep Learning
by Ryan Scott, Danilo Stocco, Sheida Sarafan, Lukas Behnen, Andriy M. Chertov, Priti Wanjara and Roman Gr. Maev
J. Manuf. Mater. Process. 2026, 10(3), 101; https://doi.org/10.3390/jmmp10030101 - 17 Mar 2026
Viewed by 548
Abstract
Reliable process monitoring and quality evaluation for resistance spot welding (RSW) have become more important now than ever. An ultrasonic probe embedded into welding electrodes has enabled the acquisition of data about molten pool formation throughout welding, but automation of high-performance ultrasonic data [...] Read more.
Reliable process monitoring and quality evaluation for resistance spot welding (RSW) have become more important now than ever. An ultrasonic probe embedded into welding electrodes has enabled the acquisition of data about molten pool formation throughout welding, but automation of high-performance ultrasonic data analyses is still necessary to fully realize a monitoring system. This work proposes a two-stage deep learning (DL) approach for automated ultrasonic data analysis for RSW processing monitoring. The first stage conducts semantic segmentation on ultrasonic M-scan welding process signatures, yielding masks for identified molten pool and stack regions from which weld penetration measurements can be directly extracted, as well as expulsion occurrences throughout welding. From input images and segmentation outputs, the second stage directly estimates resultant weld nugget diameters using an additional neural network. Both stages leveraged architectures based on TransUNet, mixing elements of both convolutional neural networks (CNN) and vision transformers, and the effect of cross-attention for stack-up sheet thickness data fusion was investigated via an ablation study. Additionally, in the diameter estimation stage, the ablation study included alternative feature extraction architectures in the network and investigated the provision of M-scans to the model alongside segmentation masks. In both cases, cross-attention was determined to improve performance, and in the case of diameter estimation, providing M-scans as input was found to be beneficial in general. With cross-attention, the segmentation approach yielded a mean intersection over union (IoU) of 0.942 on molten pool, stack, and expulsion regions in the M-scans with 13.4 ms inference time. With cross-attention, diameter estimates yielded a mean absolute error of 0.432 mm with 4.3 ms inference time, representing a significant improvement over algorithmic approaches based on ultrasonic time of flight. Additionally, the approach attained >90% probability of detection (POD) at 0.830 mm below the acceptable diameter threshold and <10% probability of false alarm (PFA) at 0.828 mm above the threshold. These results demonstrate a novel production-ready application of DL in ultrasonic nondestructive evaluation (NDE) and pave the way for zero-defect RSW manufacturing. Full article
(This article belongs to the Special Issue Recent Advances in Welding and Joining Metallic Materials)
Show Figures

Figure 1

21 pages, 9243 KB  
Article
Welding Fumes in a Chinese Shipyard: Exposure Characteristics and Occupational Health Risk Assessment
by Yulu Hu, Jingbo Zhang, Xiangpei Lyu, Chunhui Ni and Huanqiang Wang
Toxics 2026, 14(3), 259; https://doi.org/10.3390/toxics14030259 - 16 Mar 2026
Viewed by 706
Abstract
Welding fumes in the shipbuilding industry severely threaten workers’ health. This study systematically investigated welding fume exposure in a Chinese shipyard, analyzing mass concentration, particle size distribution, and harmful metal content using data from 2015. Differences were observed across welding sites and processes. [...] Read more.
Welding fumes in the shipbuilding industry severely threaten workers’ health. This study systematically investigated welding fume exposure in a Chinese shipyard, analyzing mass concentration, particle size distribution, and harmful metal content using data from 2015. Differences were observed across welding sites and processes. Confined spaces and gas metal arc welding (GMAW) were associated with significantly higher exposure levels. Welding fumes were dominated by particles smaller than 1.00 μm, a distribution influenced by welding site, distance from the welding spot, and process. Iron (Fe) and manganese (Mn) were the predominant metal components, with concentrations significantly higher in respirable dust than in total dust. Risk assessment indicated minimal non-cancer hazards for Fe, zinc, and copper. However, Mn posed the predominant risk (Hazard Quotient >> 1), while nickel (Ni) and chromium (Cr) also exceeded safety thresholds at most points. Consequently, confined spaces and GMAW should be prioritized as key control targets in shipyards, as respirable dust rich in metal-bearing particles poses greater health risks. Therefore, China urgently requires the establishment of specific occupational exposure limits for respirable welding fumes. Additionally, personal sampling is more focused and efficient than area sampling for precise occupational health risk assessment due to the greater mobility of welding operations. Full article
(This article belongs to the Special Issue Health Effects of Exposure to Environmental Pollutants—2nd Edition)
Show Figures

Graphical abstract

13 pages, 47055 KB  
Article
Properties of Laser-Welded Zr-Al-Co-Nb Bulk Metallic Glass
by Huei-Sen Wang, Chih-Chun Hsieh, Hou-Guang Chen, Shao-Chi Wu, Jason Shian-Ching Jang and Kuo-Jung Lee
Materials 2026, 19(6), 1078; https://doi.org/10.3390/ma19061078 - 11 Mar 2026
Viewed by 336
Abstract
In this study, the Nd:YAG laser process was employed with preselected welding parameters and varying initial welding temperatures (including room temperature, 10 °C, and 0 °C) for spot welding of (Zr53Al17Co29)Nb1 bulk metallic glass. Following welding, [...] Read more.
In this study, the Nd:YAG laser process was employed with preselected welding parameters and varying initial welding temperatures (including room temperature, 10 °C, and 0 °C) for spot welding of (Zr53Al17Co29)Nb1 bulk metallic glass. Following welding, the microstructure—including the parent material, heat-affected zone (HAZ), and weld fusion zone (WFZ)—as well as the microhardness, thermal properties, and corrosion resistance of the welds, were systematically investigated. Owing to the low glass-forming ability of the alloy, a small amount of Zr6CoAl2 phase was observed within the amorphous matrix at the center of the bulk metallic glass cast plate. After the laser welding, sub-micron or nanoscale Zr(AlxCo1−x)2 phases have formed in the HAZ of all welded samples, which significantly influenced the microhardness, thermal properties, and corrosion resistance in this region. As the initial welding temperature decreased, both the volume fraction and the density of the Zr(AlxCo1−x)2 phase were reduced. Notably, for the weld performed at the lowest initial temperature of 0 °C, small crystalline phases were detected only at approximately 70 μm below the surface of the HAZ. To clarify the effect of IWTs on corrosion resistance, welded samples were immersed in 6 M HCl at 35 °C for 72–120 h. Surface morphologies after corrosion were examined by SEM in the PM, HAZ, and WFZ. No evident pitting was detected after 72 h of immersion. After 120 h, pitting corrosion was observed on the HAZ surfaces of welds subjected to RT and 10 °C IWTs, whereas no obvious pitting was found at an IWT of 0 °C. The pit size and density in the HAZ increased with increasing IWT. In contrast, no pitting was observed in the WFZ under any IWT condition. Full article
(This article belongs to the Special Issue Properties and Behaviors of Metallic Materials)
Show Figures

Graphical abstract

13 pages, 18880 KB  
Article
Microstructure and Mechanical Properties of ZM6 Cast Magnesium Alloy with Through-Hole Defects Repaired by Ultrasonic-Assisted TIG Welding
by Faming Shen, Zhien Chen, Ming Che, Zhaoxiang Chang, Xin Qiao, Yongjun Li, Guihua Li, Mingyue Zhao, Yunhao Xia and Sanbao Lin
Crystals 2026, 16(3), 182; https://doi.org/10.3390/cryst16030182 - 9 Mar 2026
Viewed by 331
Abstract
This study addresses the challenge of through-hole defects in ZM6 cast magnesium alloy components by proposing an innovative repair strategy using ultrasonic-assisted Tungsten Inert Gas (U-TIG) welding. The microstructure and mechanical properties of the repaired joint were systematically characterized through optical microscopy, scanning [...] Read more.
This study addresses the challenge of through-hole defects in ZM6 cast magnesium alloy components by proposing an innovative repair strategy using ultrasonic-assisted Tungsten Inert Gas (U-TIG) welding. The microstructure and mechanical properties of the repaired joint were systematically characterized through optical microscopy, scanning electron microscopy (SEM), X-ray diffraction (XRD), and room-temperature tensile testing. The results indicate that, assisted by the ultrasonic energy field, the repair zone successfully reconstitutes a typical and optimized triple-phase microstructure: (1) the matrix: α-Mg solid solution (dark gray), supersaturated with Nd and Zr; (2) the strengthening phase: a eutectic Mg12Nd phase (light gray), rich in Nd, distributed along grain boundaries acting as the primary strengthening component; (3) the grain refiner: dispersed Zr-rich particles (bright white spots), which effectively pin grain boundaries. Crucially, the application of ultrasound significantly refined the α-Mg grains and transformed the continuous network of the Mg12Nd phase into a more fragmented and uniform dispersion. This refined microstructure synergistically integrates the strengthening mechanisms of solid solution, precipitation hardening, and grain refinement. Consequently, the repaired joint exhibits excellent mechanical properties, achieving over 90% of the base metal’s tensile strength and elongation at room temperature. This work not only validates the feasibility of U-TIG welding for repairing ZM6 alloys but also provides a solid theoretical foundation and a promising technical pathway for the in-service repair and remanufacturing of high-performance magnesium alloy components. Full article
(This article belongs to the Section Crystalline Metals and Alloys)
Show Figures

Figure 1

16 pages, 6279 KB  
Article
Joinability and Performance of Double-Flush Riveted and Resistance-Welded Lap Joints in High-Strength Steel Sheets
by Rui F. V. Sampaio, João P. M. Pragana, Ivo M. F. Bragança, Carlos M. A. Silva and Paulo A. F. Martins
J. Manuf. Mater. Process. 2026, 10(3), 91; https://doi.org/10.3390/jmmp10030091 - 4 Mar 2026
Viewed by 467
Abstract
The applicability of two different joining processes for producing lap joints from high-strength steel sheets is investigated, reflecting their increasing use in advanced lightweight structures with demanding performance requirements. The work is primarily focused on the joining-by-forming process known as double-flush riveting, evaluated [...] Read more.
The applicability of two different joining processes for producing lap joints from high-strength steel sheets is investigated, reflecting their increasing use in advanced lightweight structures with demanding performance requirements. The work is primarily focused on the joining-by-forming process known as double-flush riveting, evaluated in two variants: one utilizing forged holes and the other employing machined holes. The performance of these two variants is compared with conventional fusion-based resistance spot welding using lap joints fabricated from 2 mm high-strength low-alloy S500MC steel sheets under varying geometric and process conditions, with support from finite element modelling. Results indicate that both double-flush riveting variants produce similar joint cross-sectional geometries, but the machined hole variant simplifies sheet preparation and eliminates the need for a progressive tooling system. Tensile lap-shear and peel test results reveal that double-flush riveted joints with forged holes exhibit superior strength, attributed to strain hardening in the forged regions. Furthermore, for nuggets and rivets of equivalent size, both double-flush riveting variants surpass resistance spot welding in terms of the mechanical strength of the final joints. These results suggest that double-flush riveting represents a promising alternative for assembling high-strength steel sheets in lightweight structural applications. Full article
(This article belongs to the Special Issue Innovative Approaches in Metal Forming and Joining Technologies)
Show Figures

Figure 1

19 pages, 6377 KB  
Article
The Role of Element Segregation in the Fracture Mechanism and Performance of Spot-Welded AlSi7MnMg Aluminum Alloy Joints
by Hong Xu, Miao Zhao, Rui Wang, Lijun Han, Xiuming Cheng and You Fang
Materials 2026, 19(4), 747; https://doi.org/10.3390/ma19040747 - 14 Feb 2026
Viewed by 402
Abstract
This study systematically investigates the microstructural characteristics and mechanical properties of resistance spot-welded joints in 3 mm thick non-heat-treatable die-cast AlSi7MnMg alloy, with particular focus on the influence of element segregation and secondary phase behavior on fracture mechanisms and the process [...] Read more.
This study systematically investigates the microstructural characteristics and mechanical properties of resistance spot-welded joints in 3 mm thick non-heat-treatable die-cast AlSi7MnMg alloy, with particular focus on the influence of element segregation and secondary phase behavior on fracture mechanisms and the process window. The results indicate that the weld nugget exhibits a typical dual structure consisting of columnar and equiaxed grain zones, with a corresponding “M”-shaped microhardness profile. Significant segregation of Si, Fe, and Mn elements at the nugget boundary was observed, leading to the formation of low-melting-point eutectic regions and secondary phase bands. These features induce microporosity along segregation trajectories, serving as crack initiation sites and resulting in a notably narrowed spot welding process window. From the perspective of microstructure and solute behavior during non-equilibrium solidification, this work elucidates the intrinsic mechanisms governing joint performance and process stability in non-heat-treatable die-cast aluminum alloys, providing a theoretical basis for their engineering applications. Full article
(This article belongs to the Section Metals and Alloys)
Show Figures

Figure 1

22 pages, 4864 KB  
Article
A K-Means Clustering Approach for Accelerated Path Planning in GMA-DED: The Fast Advanced-Pixel Strategy
by Rafael P. Ferreira, Vinicius Lemes Jorge, Emil Schubert and Américo Scotti
J. Manuf. Mater. Process. 2026, 10(2), 55; https://doi.org/10.3390/jmmp10020055 - 5 Feb 2026
Viewed by 662
Abstract
The performance of Gas Metal Arc-Directed Energy Deposition (GMA-DED) strongly depends on efficient path-planning strategies that balance trajectory quality and computational cost. With the purpose of developing a computationally faster and more scalable path-planning approach, this study introduces the Fast Advanced-Pixel strategy by [...] Read more.
The performance of Gas Metal Arc-Directed Energy Deposition (GMA-DED) strongly depends on efficient path-planning strategies that balance trajectory quality and computational cost. With the purpose of developing a computationally faster and more scalable path-planning approach, this study introduces the Fast Advanced-Pixel strategy by integrating the K-means clustering algorithm into to the Advanced Pixel strategy version to reduce the dimensionality of an optimization problem. Computational validation was conducted on four geometrically distinct parts using different clustering configurations. Statistical analysis (ANOVA) was applied to assess the significance of the results. The findings revealed that by increasing the number of clusters, computational time is substantially reduced, achieving up to a twenty-fold improvement compared with the former strategy, while maintaining consistent trajectory quality. Experimental validation using complex parts, such as a “Jaw Gripper” and a “C-frame” of a resistance spot welding gun, confirmed defect-free deposition and dimensional agreement with the CAD models. Accordingly, within the scope of GMA-DED technology and pixel-based path-planning strategies, the Fast Advanced-Pixel approach demonstrates a significant improvement in computational efficiency while preserving trajectory quality, enabling the accurate and reliable fabrication of geometrically complex metallic parts. Full article
Show Figures

Figure 1

20 pages, 3855 KB  
Article
A Meta-Optimization Framework Based on Hybrid Neuro-Regression for Quality-Oriented Laser Transmission Welding of PMMA–Metal Joints
by Nilay Kucukdogan
Appl. Sci. 2026, 16(3), 1563; https://doi.org/10.3390/app16031563 - 4 Feb 2026
Viewed by 343
Abstract
This study presents an integrated modeling and optimization framework for laser transmission welding (LTW) of transparent polymethyl methacrylate (PMMA) joints using single- and multi-core copper wires as energy absorbers. The highly nonlinear relationships between laser power, welding speed, and spot diameter and the [...] Read more.
This study presents an integrated modeling and optimization framework for laser transmission welding (LTW) of transparent polymethyl methacrylate (PMMA) joints using single- and multi-core copper wires as energy absorbers. The highly nonlinear relationships between laser power, welding speed, and spot diameter and the resulting shear force and weld width were modeled using a hybrid neuro-regression strategy combining data-driven learning with physically interpretable analytical formulations. A wide range of candidate mathematical models were systematically evaluated based on training and testing performance, residual behavior, and physical consistency. The results demonstrate that models exhibiting near-perfect training accuracy frequently suffered from severe overfitting and poor generalization, whereas intermediate-complexity formulations provided a more reliable balance between accuracy and robustness. Comparative analysis further showed that multi-core absorbers consistently produced higher shear strength and more uniform weld seams than single-core configurations. The selected robust models were subsequently integrated into a two-level ensemble meta-optimization framework employing Differential Evolution, Nelder–Mead, Random Search, and Simulated Annealing algorithms under multiple design scenarios. The meta-optimization process successfully eliminated model- and algorithm-dependent extreme solutions and identified stable consensus parameter regions. For the multi-core system, an optimal combination of 30 W laser power, 20 mm/s welding speed, and 0.7 mm spot diameter was obtained, achieving improved mechanical performance while remaining within experimentally validated limits. The proposed framework provides a physically grounded and reliable strategy for surrogate-based optimization of nonlinear welding processes. Full article
(This article belongs to the Section Materials Science and Engineering)
Show Figures

Figure 1

19 pages, 6500 KB  
Article
Robotic Sequential Ultrasonic Welding of Thermoplastic Composites: From Coupons to a Full-Scale Fuselage Demonstrator
by Abhas Choudhary, Ioan Bîrgăoanu-Acăei and Irene Fernandez Villegas
Processes 2026, 14(3), 528; https://doi.org/10.3390/pr14030528 - 3 Feb 2026
Viewed by 626
Abstract
Sequential ultrasonic spot welding is an interesting joining method for overlapping thermoplastic composite structures. In the framework of the EU Clean Aviation Multi-functional Fuselage Demonstrator (MFFD) and the lower shell SmarT multifunctional and INteGrated TP fuselage (STUNNING) projects, SAM XL and TU Delft [...] Read more.
Sequential ultrasonic spot welding is an interesting joining method for overlapping thermoplastic composite structures. In the framework of the EU Clean Aviation Multi-functional Fuselage Demonstrator (MFFD) and the lower shell SmarT multifunctional and INteGrated TP fuselage (STUNNING) projects, SAM XL and TU Delft Aerospace Engineering collaboratively developed and demonstrated a robot-based sequential ultrasonic spot welding process for the sub-assembly of structural frames and clips in a fuselage section demonstrator. This full-scale thermoplastic composite fuselage section demonstrator, which was recently awarded the 2025 JEC Innovation award, measures 8.0 m in length and 4.0 m in diameter. Our robot-based sequential ultrasonic spot welding technology played an important role in ensuring the joining of structural clips and frames in the stiffened fuselage skin of the demonstrator, through the use of more than 1600 spot welded joints with an average welding time of approximately 10 s per spot, thereby significantly reducing cycle times as compared to traditional joining methods such as fastening or riveting. This paper provides a comprehensive overview of the technology development process and highlights the results achieved during the sub-assembly of the demonstrator, as well as the challenges encountered. Full article
Show Figures

Figure 1

Back to TopTop