Next Article in Journal
Optimization of Oscillation Welding Processes Toward Robotic Intelligent Decision-Making in Non-Standard Components
Previous Article in Journal
Experimental Investigation of Surfactant-Assisted Low-Salinity Brine Flooding in Oil-Wet Carbonate Reservoirs for Enhanced Oil Recovery
Previous Article in Special Issue
Investigation of the Impact of Intensive EDM Regimes on Manufacturing Efficiency and Surface Quality of C120 Steel Parts
 
 
Font Type:
Arial Georgia Verdana
Font Size:
Aa Aa Aa
Line Spacing:
Column Width:
Background:
Article

Experimental Study and Optimization of Welding Parameters of Stainless Steel During Spot Welding

1
Mechanics Laboratory, University Constantine 1, Constantine 25000, Algeria
2
Faculty of Engineering, “Vasile Alecsandri” University of Bacau, 157 Calea Marasesti, 600115 Bacau, Romania
3
Center of Research in Mechanics, Constantine 25000, Algeria
4
Laboratoire de Mécanique Appliquée et Systèmes Energétiques, Faculté des Sciences Appliquées, Université Kasdi Merbah Ouargla, Ouargla 30000, Algeria
*
Authors to whom correspondence should be addressed.
Processes 2026, 14(7), 1056; https://doi.org/10.3390/pr14071056
Submission received: 8 February 2026 / Revised: 17 March 2026 / Accepted: 20 March 2026 / Published: 26 March 2026

Abstract

Welding is a fundamental technique for joining materials in industrial applications and large-scale construction. Various methods are employed to ensure robust connections. Resistance spot welding is ideal for thin sheets due to its speed, low cost, short processing times, and easy integration into automation systems. Stainless steel is widely used in many food and beverage industries because of its durability and ability to withstand diverse conditions. However, despite the existence of modeling approaches, predictive models linking weld parameters to the simultaneous improvement of stiffness and tensile strength in different joint regions remain limited in published studies. Many studies treat the weld as a single homogeneous region or focus primarily on general indicators such as tensile strength or weld diameter. The spatial variation in properties between the weld region, the heat-affected region, and the base metal is often not modeled separately. This study examines the effect of welding current and welding time on the mechanical properties of weld beads. Scanning electron microscopy (SEM) was also used to characterize the weld microstructure. The combination of mechanical evaluation and microstructural analysis provides deeper insight into the relationship between welding parameters and weld quality. Among the conditions studied (6–8 kA, 60–120 ms), the optimal parameters (6 kA, 120 ms) produced the maximum hardness of 178.16 HV observed in the weld zone and a tensile strength of 12 kN. The experimental results demonstrated that welding parameters significantly influence weld bead quality, and the optimization study allowed us to identify the parameters that achieve the best possible mechanical properties and optimal operating conditions. The experimental results demonstrated that welding parameters significantly influence weld bead quality, and the optimization study using Response Surface Methodology (RSM) allowed us to identify the parameters that achieve the best possible mechanical properties and optimal operating conditions.

1. Introduction

Welding is now a key manufacturing process widely applied across modern industries [1]. This is a fundamental technology for the production of robust and high-precision assemblies in various fields [2], including the medical and food industries, as well as in the industrial sectors of aerospace, energy and automotive [3]. Among the various joining methods, resistance welding, and especially resistance spot welding (RSW), is used in the joining process for thin sheets [4]. This technique is especially valuable in the production of lightweight structures, where strong and reliable joints are essential [5]. Despite the analyses and results obtained in these studies, encompassing all the factors influencing the welding process within a single study remains a crucial and challenging endeavor. This limits the scope of these studies, but does not diminish their importance.
Spot welding is characterized by its efficiency, ease of automation, and high stability, making it ideal for large-scale manufacturing applications. This process is characterized by its efficiency, ease of automation, and high stability, making it ideal for large-scale manufacturing applications. It is particularly favored in the automotive sector due to its cost-effectiveness and the fact that it does not require fillers [6]. In this regard, stainless steel is widely employed in spot welding because of its outstanding characteristics [6], including excellent corrosion resistance, favorable mechanical strength, long-term durability, and visually appealing surface finish [1]. Spot welding of stainless steel presents many challenges due to its thermal and electrical properties [5], its sensitivity to oxidation, and its chemical composition (chromium, nickel, and molybdenum) [7]. The relatively low thermal conductivity of stainless steel causes heat to concentrate at the contact interface, which can cause local overheating, increasing the risk of excessive fusion or the formation of heat-affected zones (HAZs) [8]. Furthermore, the thermo-mechanical stresses generated during welding can cause local hardening or martensitization, which may lead to brittleness in the welds [9]. This highlights the importance of precise control of welding parameters (current, time, pressure, and electrode shape), as well as surface treatments after welding (cleaning, passivation) to ensure long-term assembly performance. It is crucial to study the effect of welding parameters [10], including current, pulse duration, and electrode pressure, on the process and quality of the resulting joint [11]. To achieve this, it is essential to understand the welding process. Among the various methods used to study spot welding [6], experimental methods are the most common for investigating how process parameters such as welding current, welding time and electrode force affect the mechanical performance and overall quality of welded joints [4]. Studies have shown that the overlap length, rolling direction angle, sheet thickness, distance between welding points [12], in addition to the intensity of the welding current, the duration of the welding, and the pressure, all affect the welding bead in terms of hardness, tensile shear load capacity, stress resistance, and metallurgical properties [13]. Analysis of experimental results allows for a comprehensive optimization of welding parameters [14]—particularly welding current and pulse duration—in order to obtain ideal mechanical properties such as stiffness, tensile strength and toughness in all areas of the weld [15], including the (base metal, heat-affected zone, and weld bead) [16]. This optimization seeks to balance the thermal input to ensure adequate melting and fusion without causing overheating or grain coarsening [17], which can degrade mechanical performance [18]. Additionally, it aims to identify operational windows that minimize defects such as cracks or porosity [19], improve microstructural uniformity, and enhance the overall durability and reliability of the welds under service conditions [20]. Despite these analyses and the results derived from these studies, they may change due to secondary factors not considered. For example, the welding process for similar and dissimilar alloys is strongly affected by the process parameters. Numerous studies have demonstrated that key parameters in the welding process [21] rely on experimental observations to assess the importance of different criteria in order to identify the factors that most influence welding properties [22]. The experimental method, along with the simulation procedure, plays a crucial role in determining the characteristics of the weld seam and the extent to which the factors surrounding the welding process affect the quality of the weld [23]. Although numerous studies have investigated the influence of welding parameters on the overall performance of resistance spot welding [24], most of them are limited to experimental observations and global mechanical properties [22]. In particular, predictive modeling of stiffness and tensile strength across different weld zones still needs development. Analysis of variance (ANOVA) was used to determine the optimal parameter settings for achieving high tensile strength and excellent weld quality [25]. A regression equation between input process parameters and bead geometry was also used to optimize the process [26]. Further in-depth studies of the base metal zone, the heat-affected zone, and the weld zone are still needed to better control the welding process [27]. Moreover, the combined effect of welding current and pulse duration on the multi-zone mechanical behavior of AISI 304 stainless steel joints has yet to be comprehensively addressed by previous studies [28].
The novelty of the present work lies in the integration of a rigorous experimental investigation with predictive modeling to evaluate and optimize the hardness and tensile strength in multiple regions of resistance spot-welded AISI 304 stainless steel. This approach not only validates experimental findings but also enables accurate prediction of optimal welding parameters, thereby enhancing joint integrity and mechanical performance.
Accordingly, the objectives of this study are to experimentally analyze the effects of welding current and pulse duration on the mechanical properties of different weld zones and to develop predictive models for optimizing the resistance spot welding process.

2. Materials and Methods

2.1. Materials

2.1.1. Welding of the Stainless Steel Samples

Spot welding of stainless steel was performed using a Serra Soldadura Sp 418 spot welding machine, manufactured by Serra Soldadura, S.A., Barcelona, Spain. Equipped with 10 mm diameter copper alloy electrodes, designed to ensure good electrical conductivity and efficient heat dissipation. This method relies on the principle of converting electrical energy into heat at the surface of the material, without adding any additional materials. The welding machine used in this study primarily consists of a power source to provide the necessary current for weld formation, copper pressure electrodes that act as electrical conductors and as a means of applying clamping force to the plates being welded, and a control system to regulate the current strength and duration. This allows for precise control of the welding cycle parameters, as shown in Figure 1.
In this experimental study, nine pairs of AISI 304 stainless steel specimens were prepared for experimental testing used. Each sample measured 100 mm in length, 20 mm in width, and 2 mm in thickness. These dimensions were chosen to ensure adequate representation of the material while facilitating the handling of the samples during the various testing phases. Referencing the “ASTM A240/A240M Standard Specification for Chromium and Chromium-Nickel Stainless Steel Plate, Sheet, and Strip” (ASTM International, USA) [29], the proportions of the chemical elements composing the AISI 304 stainless steel are shown in Table 1:

2.1.2. Tools Used in the Welding Process

The spot resistance welding of stainless steel was performed using a Serra Soldadura SP 418 resistance spot welding machine equipped with copper alloy electrodes, as illustrated in Figure 2, designed to achieve efficient electrical conductivity and excellent heat dissipation. The system consists of a power supply unit to provide the required welding current, water-cooled 10 mm copper electrodes that act as electrical conductors and a means of applying the bonding force to the plates, and a digital controller to regulate the welding current and pulse duration.

2.2. Methods

Preparing stainless steel samples for spot welding is an essential step to ensure test quality. The plates were cut using guillotine shears to obtain clean edges and minimize mechanical deformation. Before soldering, each contact surface was cleaned with fine sandpaper to remove any oxide, oil, or impurity that might impair the quality of the electrical connection. where the samples were collected in an overlapping position and carefully placed between the electrodes to maintain consistent alignment and overlap. The welding process was also carried out with controlled welding time and current, while maintaining a constant electrode force throughout the process. After the welding process, the joints were left to cool in the air, after which the samples were prepared for hardness measurement, and microscopic and mechanical tests were performed. Figure 3 illustrates the steps followed in the experimental work.
The prepared samples are placed between copper spot welding electrodes to ensure even pressure and current distribution during spot welding, ensuring a strong and uniform bond between the two plates. We place two metal plates at a time on the welding machine, then vary the welding current (amperes) between three values (6, 7, and 8 kA) and the pulse duration between three values (60, 80, and 120 ms) as illustrated in Table 2.
The choice of current range (6 to 8 kA) and pulse duration (60 to 120 ms) depends on the technical specifications and properties of the stainless steel. This material, with its high strength and low thermal conductivity, requires carefully measured heat. The welding current ranges, welding time, and electrode power were selected based on preliminary experiments to ensure weld bead formation while avoiding excessive extrusion and distortion.
During spot welding, each sample is carefully identified and numbered to ensure accurate recording of tests and results. Using an indelible pen, the experiment number is written on the surface of each plate. This number corresponds to the welding parameters used (current, pulse time) listed in the table. Furthermore, to minimize experimental variability, several influential factors were kept constant throughout the study. The faying surfaces were prepared using a controlled cleaning procedure prior to welding. The overlap length and sheet alignment were fixed for all specimens. In addition, the same electrode material, tip geometry, and cooling conditions were maintained for every weld.
The samples were then classified in ascending order of numbers to facilitate tracking during mechanical and metallurgical testing. This identification method allows each weld to be linked to its production conditions, ensuring analytical reliability and reproducibility of experimental results.
After the welding process, the parts shown in Figure 4 were obtained:
Microhardness tests were conducted to determine the durability of the weld lines and heat-affected zones. This method allows for the determination of the local hardness distribution and the assessment of the effect of welding heat on the mechanical properties of the welded parts.

3. Results

3.1. Measurement of Weld Bead Hardness

The hardness of the weld beads on the welded parts was measured using a NEMESIS 9001 hardness tester (INNO-VATEST), manufactured by IBERTEST, (INNOVATEST Shanghai Co., Ltd., Shanghai, China). According to the ISO 6507-1 standard [30], with a test head speed of 2 mm/min. Hardness measurements were performed in multiple zones of the welded stainless steel samples, including the weld zone, heat-affected zone, and base metal.
Microhardness was determined by taking measurements in three different zones for each sample. Figure 5a illustrates the distribution of the base metal (BM), Figure 5b the heat-affected zone (HAZ), and Figure 5c the weld bead zone (WBZ) of each specimen.
Visual analysis after spot welding reveals a weld zone characterized by localized melting and rapid solidification, surrounded by a heat-affected zone that shows slight surface modifications resulting from high thermal gradients without melting. This is clearly evident in the color gradient shown in Figure 5a–c.
Three measurements were taken for each zone, and the final value obtained represents the arithmetic mean of these three values. The corresponding hardness values for each zone are shown in Table 3.
At 6 kA, the longer pulse duration increased hardness in all regions due to increased heat input and microstructural changes, resulting in improved joint strength and uniformity. The highest hardness values, 173 HV and 174.2 HV, were recorded at an 80 ms pulse duration, in both the weld bead and the heat-affected zone. They then decreased slightly at a 120 ms pulse duration.
At 7 kA, the reverse was true for the previous case, where the longer pulse duration reduced the hardness in all regions due to increased heat input and microstructural changes, resulting in decreased joint strength and homogeneity. The highest hardness values, 170.3 VH and 180 VH, were recorded at a pulse duration of 60 ms, in both the weld bead and the heat-affected zone. These values then decreased slightly at a pulse duration of 80 ms and 120 ms.
At 8 kA, hardness remains nearly constant across pulse durations, indicating rapid thermal equilibrium. A slight softening at longer pulses suggests mild annealing from overheating, showing that excessive pulse time can reduce weld strength [31].
From the above, it can be concluded that longer pulses lead to the welded piece remaining at high temperatures for a longer period, which increases the grain size in the fusion zone, and to a lesser extent in the heat-affected zone, and this in turn reduces the hardness. This observation is supported by the microstructural analysis we conducted, whose results are shown in Table 3.

3.2. Tensile Test

Mechanical tests were conducted using a universal testing machine called the EUROSTEST-300, designated EUROSTEST-300, manufactured by IBERTEST (Metrel d.d., Horjul, Slovenia), as illustrated in the Figure 6.
Designed with a maximum capacity of 300 kN, this machine performs tensile and compression tests. It provides high accuracy and reliability in determining the tensile strength of the welded joint, with a tensile speed of 2 mm/min.
Tensile testing is one of the most prominent techniques used to determine the mechanical behavior of materials. In welding, it is a fundamental method for evaluating the tensile strength of welded joints. This technique is considered a key test due to its ease of execution, reliable results, and ability to provide comprehensive insights into the mechanical behavior of the material.
The tensile test results obtained at a welding current of 6 kA for different pulse durations (60, 80 and 120 ms) are shown in Figure 7.
The tensile test results obtained at a welding current of 7 kA for different pulse durations (60, 80 and 120 ms) are shown in Figure 8.
The tensile test results obtained at a welding current of 8 kA for different pulse durations (60, 80 and 120 ms) are shown in Figure 9.
The primary failure modes observed during tensile-shear testing were interfacial fractures at low welding current and short pulse durations, corresponding to lower tensile strength values. At optimal welding parameters, the failure mode shifted to nugget pull-out (delamination), which correlates with higher tensile strength, indicating improved joint integrity. These observations are consistent with the measured hardness and strength results.
At 6 kA, the tensile force increased from 8.8 kN at a pulse time of 60 ms to 12 kN at a pulse time of 120 ms, through to 10.2 kN at a pulse time of 80 ms. At 7 kA, the tensile force was almost equal to just over 12 kN, with the best tensile strength recorded at 120 ms, demonstrating that optimum heat input at longer pulses improves joint quality. At 8 kA, the tensile strength increased to over 16 kN at 60 ms, then decreased slightly at 80 ms, reaching the best tensile strength at 120 ms, or about 19 kN, the highest strength in this study. This gives the weld bead a high-quality finish [32].

3.3. The Effect of Welding Current and Pulse Duration on the Weld Shape

Table 4 presents SEM micrographs (secondary electron mode, 1000× magnification) of resistance spot welds produced on AISI 304 stainless steel under different current intensities and pulse durations. The observations were performed in representative regions encompassing both the fusion zone (weld nugget) and the heat-affected zone (HAZ), allowing a direct comparison of weld morphology and microstructural evolution as a function of heat input.
At low welding current (6 kA), the weld shape and microstructure are strongly influenced by pulse duration. At a short pulse time (60 ms), the fusion zone exhibits an irregular morphology with heterogeneous austenitic grains and locally incomplete fusion, resulting from insufficient heat input. Increasing the pulse duration to 80 ms leads to a more continuous and homogeneous weld bead, characterized by finer polygonal grains and well-defined grain boundaries in both the fusion zone and the HAZ. This refined microstructure reflects improved thermal diffusion and metallurgical bonding, which is consistent with the maximum hardness measured at this condition. Further increasing the pulse duration to 120 ms results in noticeable grain coarsening, particularly in the fusion zone, due to prolonged exposure to elevated temperatures. This microstructural evolution explains the slight reduction in hardness despite improved weld continuity.
At an intermediate welding current (7 kA), the overall heat input is higher, leading to a distinct weld shape evolution. At 60 ms, the weld nugget presents a relatively fine and compact microstructure with limited grain growth, corresponding to the highest hardness values obtained at this current. However, as the pulse duration increases to 80 and 120 ms, excessive heat input promotes significant grain growth and microstructural heterogeneity in the HAZ, accompanied by local surface irregularities. These features indicate overheating and partial recrystallization, which deteriorate weld homogeneity and explain the observed decrease in hardness and mechanical uniformity at longer pulse durations.
At high welding current (8 kA), extensive melting and rapid solidification dominate the weld formation process across all pulse durations. The SEM images reveal a stable but highly fused weld nugget, with irregular surface features and localized over-melted regions. The grain morphology remains relatively unchanged with increasing pulse duration, confirming a near thermal equilibrium condition. However, prolonged pulse times induce mild annealing effects and local softening due to excessive thermal exposure. Despite this, the improved fusion and increased nugget size explain the significant enhancement in tensile strength and the transition from interfacial fracture to nugget pull-out failure observed under optimal welding conditions.

3.4. Optimization Results

MATLAB program (version 2018) was developed to predict and optimize the hardness across three distinct regions of the welded assembly—the base metal, heat-affected zone (HAZ), and the weld beads—taking into account two key variables: welding current and pulse duration.
For each zone, the best predictive model was chosen: a cubic polynomial for the base metal, a support vector regression (SVR) for the HAZ, and an artificial neural network (ANN) for the weld bead. The models were evaluated using R2, RMSE, and MAE on the experimental data. Different models were used because applying a single model (e.g., polynomial) for all zones did not provide satisfactory accuracy. Selecting the most suitable model individually for each zone ensured optimal predictive performance.
Table 5 presents the comparison between experimental and predicted hardness values for the tested welding conditions, along with the deviation (%) for each zone. The deviation ranges from 0.4% to 5.3%, demonstrating the good predictive accuracy of the model even without additional confirmation tests for the optimized parameters.
The multi-objective function was defined to return the three hardness predictions. Optimization was carried out using MATLAB’s multi-objective genetic algorithm (gamultiobj) to generate the Pareto front of optimal solutions. Gamultiobj was selected because it efficiently handles multiple conflicting objectives, provides robust convergence to Pareto-optimal solutions, and is straightforward to implement within MATLAB. Two trade-off criteria were considered:
Distance to the utopia: selection of the solution closest to the ideal point for the three hardnesses.
Normalized product of objectives: selection of the solution favoring a balance between the three zones.

3.4.1. The Results of the Prediction

Evaluation of models on experimental data.
Figure 10 illustrates the prediction results of the experimental hardness in the base metal zone:
Base Metal: R2 = 0.8804|RMSE = 1.3784|MAE = 1.2032
Figure 11 illustrates the prediction results of the experimental hardness in the heat-affected zone:
HAZ: R2 = 0.9182|RMSE = 1.3681|MAE = 1.0582
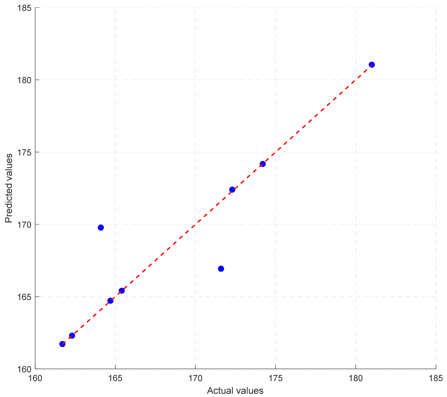
Figure 12 illustrates the prediction results of the experimental hardness in the weld bead zone:

3.4.2. The Optimization Results

The results are visualized through real vs. predicted graphs for each zone and by a 3D plot of the Pareto front, highlighting the two selected trade-offs. This approach allows for obtaining reliable and balanced optimal solutions for maximizing hardness in the different welding zones.
Best compromise (distance to the utopia):
Courant = 6.2213 kA, Time = 119.9970 ms
Predictions: Base Metal = 168.4102 HV, HAZ = 171.6824 HV, Weld = 178.1636 HV
Another compromise (a more balanced and standardized product):
Courant = 6.2213 kA, Time = 119.9970 ms
Predictions: Base Metal = 168.4102 HV, HAZ = 171.6824 HV, Weld = 178.1636 HV
Both optimization criteria, “distance to the utopia” and “normalized product of objectives”, converged on the same parameter set (Current = 6.2213 kA, Time = 119.9970 ms). This convergence indicates that the three objectives—hardness in the base metal, HAZ, and weld bead—are not strongly conflicting under the tested conditions. Physically, this is due to the uniform heat input and the resulting microstructural evolution, which allows for the hardness to be maximized simultaneously in all zones. Consequently, the Pareto front in this region is narrow, highlighting a clear and robust optimal solution for the selected welding parameters. The results are visualized in the real vs. predicted graphs for each zone and in the 3D Pareto front plot, illustrating the selected trade-offs, as shown in the Figure 13.

3.4.3. Confirmatory Trial Results and Validation

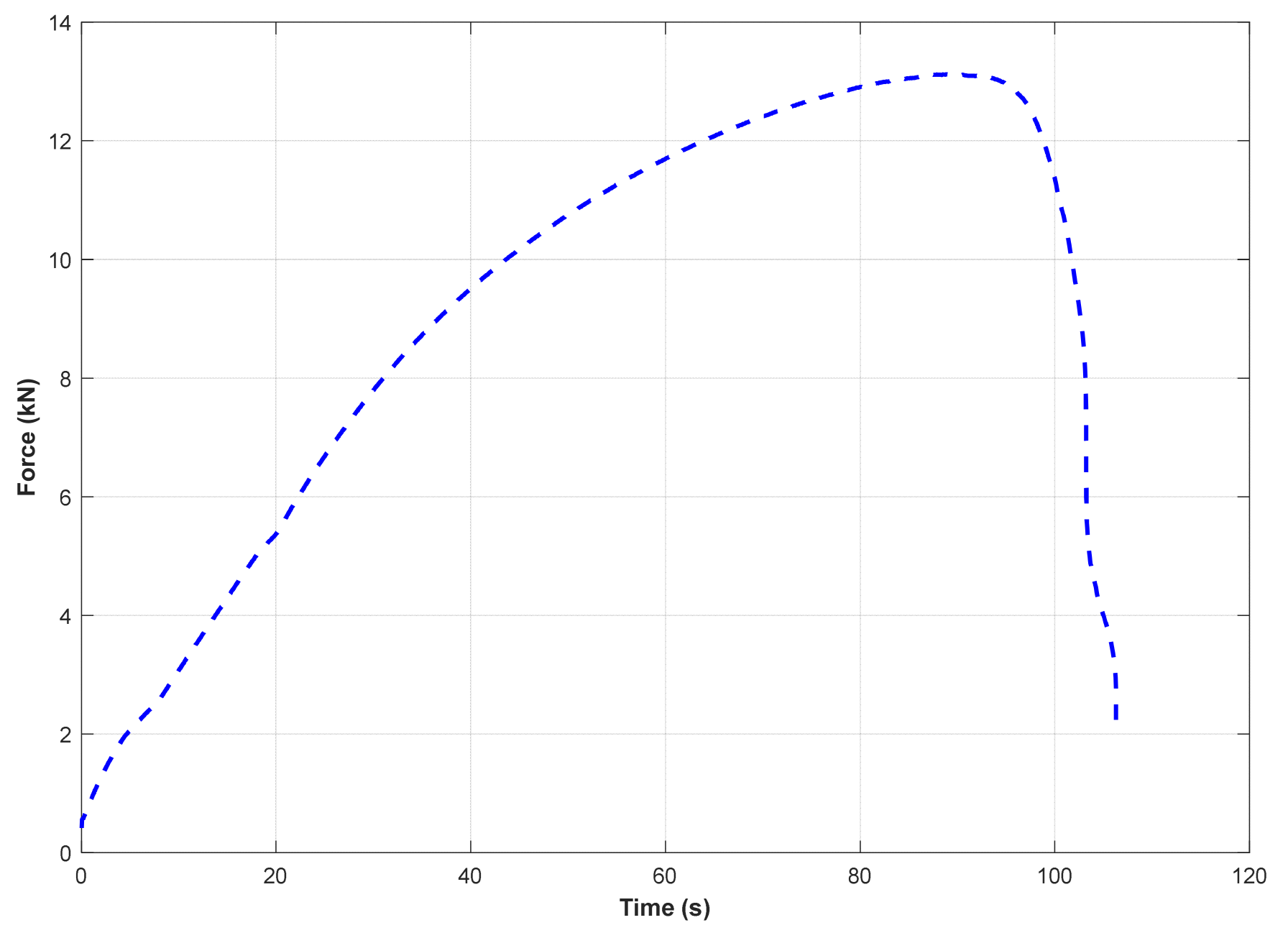
A confirmatory trial was conducted to experimentally validate the optimal welding parameters identified through multi-objective optimization (6 kA, 120 ms), adhering strictly to the initial experimental setup. The mechanical performance of the resulting weld joint strikingly confirms the predictions of the optimization model:
Tensile Shear Strength: A maximum load of 13.12 kN was achieved, confirming the transition to a robust nugget pull-out failure mode.
Microhardness: The measured hardness within the weld bead was 180.1 HV, as indicated in Table 6.
Crucially, the direct comparison between the experimental hardness value and the model’s prediction for the optimal condition demonstrates the exceptional accuracy of the optimization approach:
This minimal deviation (~5%) between the predicted and experimental values validates the statistical model and the conclusions of the multi-objective analysis with high reliability. The force–displacement curve of the confirmation weld (Figure 14), displaying a stable profile and high fracture energy, corroborates these findings.
The confirmatory trial does more than validate the specific welding parameters (6 kA/120 ms) as optimal. It fundamentally validates the employed optimization methodology, proving its ability to accurately predict the final mechanical properties of the resistance spot welds. This statistical robustness significantly reinforces the credibility of the recommended parameters for industrial application.

4. Discussion

The study demonstrates that welding parameters strongly influence the mechanical performance of AISI 304 spot welds. At moderate current (~6–7 kA) with long pulse duration (~120 ms), tensile strength, ductility, and hardness are maximized while minimizing microstructural defects. Microstructural analysis shows fine, uniform grains in the weld zone (178.16 HV) and balanced phase transformations in the HAZ (171.68 HV), with the base metal retaining near-original hardness (168 HV), confirming a strong correlation between microstructure and mechanical properties.
Predictive models, including SVR for the HAZ (R2 = 0.9182) and ANN for the weld (RMSE = 2.45 HV), accurately reproduce hardness variations across all zones, demonstrating the reliability of the models and their ability to capture nonlinear interactions between current and pulse duration. Point clouds align closely with the 1:1 line, showing minimal absolute errors (<1.2 HV) and confirming accurate predictions for all experimental conditions.
Optimization using RSM and Pareto analysis identifies the same optimal solution for all criteria: moderate current (~6.22 kA) and long pulse (~120 ms). This configuration maximizes hardness in the weld while maintaining balanced mechanical performance across base metal, HAZ, and weld. The 3D Pareto front confirms that no other solution simultaneously surpasses all hardness levels, and both compromise criteria (distance to utopia and normalized product) converge on this ideal point.
These results demonstrate that RSW of AISI 304 under optimized conditions can produce high-performance, durable joints, suitable for demanding applications in automotive, aerospace, and food industries where mechanical strength, hardness, and reliability are critical.

5. Conclusions

This work proposed a multi-zone framework to analyze and predict hardness evolution in resistance spot-welded AISI 304 stainless steel. Unlike conventional approaches that treat the joint as a uniform region, separate predictive models were established for the base metal, the heat-affected zone, and the weld bead. This strategy made it possible to capture the nonlinear response of each region to variations in welding current and pulse duration. The results show that the HAZ is the most thermally sensitive region and can undergo softening under excessive heat input. The weld bead, on the other hand, achieves optimal mechanical performance within a specific processing window where bonding is promoted without microstructural degradation. The good agreement between experiments and predictions confirms the capability of the proposed methodology to describe local property evolution.
Multi-objective optimization confirms that a combination of moderate current (~6.22 kA) and long pulse duration (~120 ms) provides a balanced solution, maximizing hardness in all areas while avoiding overheating and excessive grain growth. This approach offers a more comprehensive understanding and a reliable prediction methodology, enhancing the practical utility of the results for the design and control of resistance spot-welded joints.

Author Contributions

Conceptualization, A.B. (Amor Bourebbou), M.B. and C.T.; methodology, A.B. (Abderrahim Belloufi), A.B. (Amor Bourebbou), M.B. and C.T.; software, A.B. (Abderrahim Belloufi) and C.T.; validation, B.N., M.B. and M.A.; formal analysis, A.B. (Amor Bourebbou) and E.H.; investigation, A.B. (Amor Bourebbou), M.B., A.B. (Abderrahim Belloufi) and C.T.; resources, B.C., A.B. (Abderrahim Belloufi) and E.H.; data curation, A.B. (Amor Bourebbou), R.T. and C.T.; writing—original draft preparation, A.B. (Amor Bourebbou), M.B., B.N. and M.A.; writing—review and editing, A.B. (Abderrahim Belloufi), R.T. and B.C.; supervision, B.C. and A.B. (Abderrahim Belloufi); project administration, B.C. and E.H.; funding acquisition, B.C. and E.H. All authors have read and agreed to the published version of the manuscript.

Funding

This research received no external funding.

Data Availability Statement

The original contributions presented in this study are included in the article. Further inquiries can be directed to the corresponding authors.

Conflicts of Interest

The authors declare no conflicts of interest.

Abbreviations

The abbreviations used in this manuscript are as follows:
RSWResistance spot welding
HAZHeat-affected zones
BMBase metal
FZFusion zone
SVRSupport vector regression
ANNArtificial neural network
R2Coefficient of determination
RMSERoot mean square error
MAEMean absolute error
kAKilo ampere
msMillisecond
VHMicrohardness

References

  1. Krishnan, V.; Ayyasamy, E.; Paramasivam, V. Influence of resistance spot welding process parameters on dissimilar austenitic and duplex stainless steel welded joints. J. Process Mech. Eng. 2021, 235, 12–23. [Google Scholar] [CrossRef]
  2. Wang, T.; Sidhar, H.; Mishra, R.S.; Hovanski, Y.; Upadhyay, P.; Carlson, B. Effect of hook characteristics on the fracture behaviour of dissimilar friction stir welded aluminium alloy and mild steel sheets. Sci. Technol. Weld. Join. 2019, 24, 178–184. [Google Scholar] [CrossRef]
  3. Khan, F.; Dwivedi, D.; Sharma, S. Development of response surface model for tensile shear strength of weld-bonds of aluminium alloy 6061 T651. Mater. Des. 2012, 34, 673–678. [Google Scholar] [CrossRef]
  4. Wang, B.; Lou, M.; Shen, Q.; Li, Y.B.; Zhang, H. Shunting effect in resistance spot welding steels—Part 1: Experimental study. Weld. J. 2013, 92, 182s–189s. Available online: https://aws-p-001-delivery.sitecorecontenthub.cloud/api/public/content/c1758a3a74404ddfa631affdf443d604?v=cbf8e277 (accessed on 21 December 2025).
  5. Charde, N.; Rajkumar, R. Investigating spot weld growth on 304 austenitic stainless steel (2 mm) sheets. J. Eng. Sci. Technol. 2013, 8, 69–76. Available online: https://doaj.org/article/6dc8ac8d8b774f00b651c6b071383ba1 (accessed on 23 December 2025).
  6. Nex, C.P.; Smith, R.A. Impact performance of model spot-welded stainless-steel structures. Exp. Mech. 1998, 1, 251–256. Available online: https://nickelinstitute.org/media/1706/impactperformanceofmodelspot_weldedstainlesssteelstructures_14046_.pdf (accessed on 23 December 2025).
  7. Shelly, K.; Sahota, D.S. A review paper on resistance spot welding of austenitic stainless steel 316. Int. J. Eng. Trends Technol. (IJETT) 2017, 47, 424–429. [Google Scholar] [CrossRef]
  8. Khan, F.; Sharma, G.; Dwivedi, D.K. Weld-bonding of 6061 aluminium alloy. Int. J. Adv. Manuf. Technol. 2015, 78, 863–873. [Google Scholar] [CrossRef]
  9. Heidarzadeh, A.; Mironov, S.; Kaibyshev, R.; Çam, G.; Simar, A.; Gerlich, A.; Khodabakhshi, F.; Mostafaei, A.; Field, D.P.; Robson, J.D.; et al. Friction stir welding/processing of metals and alloys: A comprehensive review on microstructural evolution. Prog. Mater. Sci. 2021, 117, 100752. [Google Scholar] [CrossRef]
  10. Malandruccolo, A.; Menapace, C.; Giroletti, I. Metallurgy, properties and applications of superaustenitic stainless steels—SASSs. Materials 2025, 18, 3079. [Google Scholar] [CrossRef]
  11. Moshayedi, H.; Sattari-Far, I. Numerical and experimental study of nugget size growth in resistance spot welding of austenitic stainless steels. J. Mater. Process. Technol. 2012, 212, 347–354. [Google Scholar] [CrossRef]
  12. Arumugam, A.; Nor, M. Spot welding parameter optimization to improve weld characteristics for dissimilar metals. Int. J. Sci. Technol. Res. 2015, 4, 75–80. Available online: https://www.ijstr.org/final-print/jan2015/Spot-Welding-Parameter-Optimization-To-Improve-Weld-Characteristics-For-Dissimilar-Metals.pdf (accessed on 5 January 2026).
  13. Habib, L.; Abdelkader, Z.; Habib, B.; Benallel, B.F. Experimental study of tensile test in resistance spot welding process. Lat. Am. J. Solids Struct. 2016, 13, 1228–1235. [Google Scholar] [CrossRef][Green Version]
  14. Khan, M.M.A.; Romoli, L.; Fiaschi, M.; Dini, G.; Sarri, F. Experimental design approach to the process parameter optimization for laser welding of martensitic stainless steels in a constrained overlap configuration. Opt. Laser Technol. 2011, 43, 158–172. [Google Scholar] [CrossRef]
  15. Faseeulla Khan, M.D.; Sharma, G.; Dwivedi, D.K. Mechanical and Metallurgical Behavior of Weld-Bonds of 6061 Aluminum Alloy. Mater. Manuf. Process. 2012, 27, 670–675. [Google Scholar] [CrossRef]
  16. Bilici, M.K.; Yükler, A.I.; Kurtulmuş, M. The optimization of welding parameters for friction stir spot welding of high-density polyethylene sheets. Mater. Des. 2011, 32, 4074–4079. [Google Scholar] [CrossRef]
  17. Pieta, G.; Dos Santos, J.; Strohaecker, T.R.; Clarke, T. Optimization of friction spot welding process parameters for AA2198-T8 sheets. Mater. Manuf. Process. 2014, 29, 934–940. [Google Scholar] [CrossRef]
  18. Hussein, S.K.; Barrak, O.S. Analysis and optimization of resistance spot welding parameter of dissimilar metals mild steel and aluminum using design of experiment method. Eng. Technol. J. 2015, 33, 1999–2011. [Google Scholar] [CrossRef]
  19. Raut, M.; Achwal, V. Optimization of spot-welding process parameters for maximum tensile strength. Int. J. Mech. Eng. Robot. Res. 2014, 3, 507–517. Available online: https://www.ijmerr.com/uploadfile/2015/0409/20150409043714398.pdf (accessed on 7 January 2026).
  20. Eshraghi, M.; Tschopp, M.A.; Zaeem, M.A.; Felicelli, S.D. Effect of resistance spot welding parameters on weld pool properties in a DP600 dual-phase steel: A parametric study using thermomechanically-coupled finite element analysis. Mater. Des. 2014, 56, 387–397. [Google Scholar] [CrossRef]
  21. Sadowski, T.; Golewski, P.; Kneć, M. Experimental investigation and numerical modelling of spot welding–adhesive joints response. Compos. Struct. 2014, 112, 66–77. [Google Scholar] [CrossRef]
  22. Sivasakthivel, P.S.; Sudhakaran, R. Modelling and optimisation of welding parameters for multiple objectives in pre-heated gas metal arc welding process using nature instigated algorithms. Aust. J. Mech. Eng. 2018, 18, S76–S87. [Google Scholar] [CrossRef]
  23. Ramdani, M.; Benachour, M.; Rahou, M. The effects of resistance spot welding parameters on the mechanical behavior of stainless steel. Eng. Technol. Appl. Sci. Res. 2023, 13, 10501–10504. [Google Scholar] [CrossRef]
  24. Jagadeesha, T.; Jothi, T.J.S. Studies on the influence of process parameters on the AISI 316L resistance spot-welded specimens. Int. J. Adv. Manuf. Technol. 2017, 93, 73–88. [Google Scholar] [CrossRef]
  25. Vignesh, K.; Perumal, A.E.; Velmurugan, P. Optimization of resistance spot welding process parameters and microstructural examination for dissimilar welding of AISI 316L austenitic stainless steel and 2205 duplex stainless steel. Int. J. Adv. Manuf. Technol. 2017, 93, 455–465. [Google Scholar] [CrossRef]
  26. Rauf, M.; Khan, A.N.; Salam, I.U.; Qayyume, R.; Khan, S. Optimization of spot-welding parameters in similar and dissimilar alloys AISI-321 and inconel-X750 alloys. Key Eng. Mater. 2018, 778, 9–15. [Google Scholar] [CrossRef]
  27. Costa, H.R.M.; Reis, J.M.L.; Souza, J.P.B.; Pacheco, P.M.C.L.; Aguiar, R.A.A.; De Barros, S. Experimental investigation of the mechanical behaviour of spot welding–adhesives joints. Compos. Struct. 2015, 133, 847–852. [Google Scholar] [CrossRef]
  28. Biradar, A.K.; Dabade, B.M. Optimization of resistance spot welding process parameters in dissimilar joint of MS and ASS 304 sheets. Mater. Today Proc. 2020, 26, 1284–1288. [Google Scholar] [CrossRef]
  29. ASTM A240/A240M; Standard Specification for Chromium and Chromium-Nickel Stainless Steel Plate, Sheet, and Strip. ASTM International: Conshohocken, PA, USA, 2017.
  30. ISO 6507-1; Metallic Materials—Vickers Hardness Test—Part 1: Test Method. International Organization for Standardization (ISO): Geneva, Switzerland, 2018.
  31. Chaki, S.; Bose, D. Optimisation of spot-welding process using Taguchi based Cuckoo search algorithm. Decis. Mak. Appl. Manag. Eng. 2022, 5, 316–328. [Google Scholar] [CrossRef]
  32. Onsekiz, M.; Altunpak, Y. Effect of electrode materials type on resistance spot welding of AISI 430 ferritic stainless steel. Int. J. Eng. Res. Afr. 2017, 31, 53–58. [Google Scholar] [CrossRef]
Figure 1. Dimensions of stainless steel samples.
Figure 1. Dimensions of stainless steel samples.
Processes 14 01056 g001
Figure 2. Resistance spot welding machine.
Figure 2. Resistance spot welding machine.
Processes 14 01056 g002
Figure 3. Diagram of the experimental procedure.
Figure 3. Diagram of the experimental procedure.
Processes 14 01056 g003
Figure 4. The specimens after the welding process.
Figure 4. The specimens after the welding process.
Processes 14 01056 g004
Figure 5. Hardness measurement areas of the sample ((a) base metal, (b) heat-affected zone, (c) weld zone).
Figure 5. Hardness measurement areas of the sample ((a) base metal, (b) heat-affected zone, (c) weld zone).
Processes 14 01056 g005
Figure 6. Testing machine.
Figure 6. Testing machine.
Processes 14 01056 g006
Figure 7. Force–time curve for a welding current of 6 kA and pulse durations of (60, 80 and 120 ms).
Figure 7. Force–time curve for a welding current of 6 kA and pulse durations of (60, 80 and 120 ms).
Processes 14 01056 g007
Figure 8. Force–time curve for a current of 7 kA and a pulse duration of (60, 80, and 120 ms).
Figure 8. Force–time curve for a current of 7 kA and a pulse duration of (60, 80, and 120 ms).
Processes 14 01056 g008
Figure 9. Force–time curve for a current of 8 kA and a pulse duration of (60, 80, and 120 ms).
Figure 9. Force–time curve for a current of 8 kA and a pulse duration of (60, 80, and 120 ms).
Processes 14 01056 g009
Figure 10. Expected hardness values obtained from experimental results in the base metal region.
Figure 10. Expected hardness values obtained from experimental results in the base metal region.
Processes 14 01056 g010
Figure 11. Expected hardness values obtained from experimental results in the heat-affected zone.
Figure 11. Expected hardness values obtained from experimental results in the heat-affected zone.
Processes 14 01056 g011
Figure 12. The prediction of experimental hardness results in the weld bead.
Figure 12. The prediction of experimental hardness results in the weld bead.
Processes 14 01056 g012
Figure 13. The results of Pareto front optimization.
Figure 13. The results of Pareto front optimization.
Processes 14 01056 g013
Figure 14. Force–time curve for the confirmatory trial weld.
Figure 14. Force–time curve for the confirmatory trial weld.
Processes 14 01056 g014
Table 1. The proportions of chemical components of stainless steel 304.
Table 1. The proportions of chemical components of stainless steel 304.
Proportions of Chemical Components (% by Mass)
CMnSiPSCrNiN
0.0431.4200.4100.0280.00118.0308.0400.055
Table 2. Experimental plan.
Table 2. Experimental plan.
Electric Current (KA)Pulse Time (ms)
660
680
6120
760
780
7120
860
880
8120
Table 3. Welding current values for each region.
Table 3. Welding current values for each region.
Electric Welding Current (KA)Pulse Duration
(ms)
Hardness
Base Metal Zone
(HV)
Standard Deviation (SD)Heat-Affected Zone
(HV)
Standard Deviation (SD)Weld Bead
(HV)
Standard Deviation (SD)
660161.70.425163.40.244164.10.426
80163.00.278173.00.601174.20.711
120165.50.318171.90.482172.30.742
760166.40.431170.30.249181.00.393
80158.40.363160.90.249161.70.560
120163.60.341169.80.464171.60.574
860158.20.355162.60.675165.40.597
80158.60.381163.00.760164.70.202
120159.00.414160.00.245162.30.754
Table 4. Weld shape on function of welding current and pulse duration.
Table 4. Weld shape on function of welding current and pulse duration.
Weld Shape Heat-Affected ZoneHeat-Affected Zone
Processes 14 01056 i001Processes 14 01056 i002
Current = 6 KA, Pulse duration = 60 ms
Processes 14 01056 i003Processes 14 01056 i004
Current = 6 KA, Pulse duration = 80 ms
Processes 14 01056 i005Processes 14 01056 i006
Current = 6 KA, Pulse duration = 120 ms
Processes 14 01056 i007Processes 14 01056 i008
Current = 7 KA, Pulse duration = 60 ms
Processes 14 01056 i009Processes 14 01056 i010
Current = 7 KA, Pulse duration = 80 ms
Processes 14 01056 i011Processes 14 01056 i012
Current = 7 KA, Pulse duration = 120 ms
Processes 14 01056 i013Processes 14 01056 i014
Current = 8 KA, Pulse duration = 60 ms
Processes 14 01056 i015Processes 14 01056 i016
Current = 8 KA, Pulse duration = 80 ms
Processes 14 01056 i017Processes 14 01056 i018
Current = 8 KA, Pulse duration = 120 ms
Table 5. Comparison of experimental and predicted hardness values for welded samples and deviation (%) in different zones.
Table 5. Comparison of experimental and predicted hardness values for welded samples and deviation (%) in different zones.
Electric Welding Current (kA)Pulse Duration (ms)Base Metal Zone (HV)Heat-Affected Zone (HV)Weld Bead (HV)
660161.7 ± 0.43163.4 ± 0.24164.1 ± 0.43
680163.0 ± 0.28173.0 ± 0.60174.2 ± 0.71
6120165.5 ± 0.32171.9 ± 0.48172.3 ± 0.74
760166.4 ± 0.43170.3 ± 0.25181.0 ± 0.39
780158.4 ± 0.36160.9 ± 0.25161.7 ± 0.56
7120163.6 ± 0.34169.8 ± 0.46171.6 ± 0.57
860158.2 ± 0.36162.6 ± 0.68165.4 ± 0.60
880158.6 ± 0.38163.0 ± 0.76164.7 ± 0.20
8120159.0 ± 0.41160.0 ± 0.25162.3 ± 0.75
Table 6. Hardness validation results for the optimal welding condition.
Table 6. Hardness validation results for the optimal welding condition.
ParametersZoneExp. Hardness (HV)Pred. Hardness (HV)Deviation (%)
6 kA, 120 msWeld Bead180.1171.26+5.2
Disclaimer/Publisher’s Note: The statements, opinions and data contained in all publications are solely those of the individual author(s) and contributor(s) and not of MDPI and/or the editor(s). MDPI and/or the editor(s) disclaim responsibility for any injury to people or property resulting from any ideas, methods, instructions or products referred to in the content.

Share and Cite

MDPI and ACS Style

Bourebbou, A.; Tampu, C.; Bendifallah, M.; Belloufi, A.; Abdelkrim, M.; Chirita, B.; Herghelegiu, E.; Nita, B.; Tampu, R. Experimental Study and Optimization of Welding Parameters of Stainless Steel During Spot Welding. Processes 2026, 14, 1056. https://doi.org/10.3390/pr14071056

AMA Style

Bourebbou A, Tampu C, Bendifallah M, Belloufi A, Abdelkrim M, Chirita B, Herghelegiu E, Nita B, Tampu R. Experimental Study and Optimization of Welding Parameters of Stainless Steel During Spot Welding. Processes. 2026; 14(7):1056. https://doi.org/10.3390/pr14071056

Chicago/Turabian Style

Bourebbou, Amor, Catalin Tampu, Mourad Bendifallah, Abderrahim Belloufi, Mourad Abdelkrim, Bogdan Chirita, Eugen Herghelegiu, Bogdan Nita, and Raluca Tampu. 2026. "Experimental Study and Optimization of Welding Parameters of Stainless Steel During Spot Welding" Processes 14, no. 7: 1056. https://doi.org/10.3390/pr14071056

APA Style

Bourebbou, A., Tampu, C., Bendifallah, M., Belloufi, A., Abdelkrim, M., Chirita, B., Herghelegiu, E., Nita, B., & Tampu, R. (2026). Experimental Study and Optimization of Welding Parameters of Stainless Steel During Spot Welding. Processes, 14(7), 1056. https://doi.org/10.3390/pr14071056

Note that from the first issue of 2016, this journal uses article numbers instead of page numbers. See further details here.

Article Metrics

Back to TopTop