Sign in to use this feature.

Years

Between: -

Subjects

remove_circle_outline
remove_circle_outline
remove_circle_outline
remove_circle_outline
remove_circle_outline

Journals

Article Types

Countries / Regions

Search Results (16)

Search Parameters:
Keywords = spin-1 Bose-Einstein condensates

Order results
Result details
Results per page
Select all
Export citation of selected articles as:
16 pages, 3758 KB  
Article
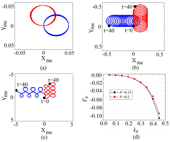
In-Plane Gradient Magnetic Field-Induced Topological Defects in Rotating Spin-1 Bose–Einstein Condensates with SU(3) Spin-Orbit Coupling
by Hui Yang, Peng-Yu Li and Bo Yu
Entropy 2025, 27(5), 508; https://doi.org/10.3390/e27050508 - 9 May 2025
Viewed by 924
Abstract
We study the topological defects and spin structures of rotating SU(3) spin–orbit-coupled spin F=1 Bose–Einstein condensates (BECs) in an in-plane quadrupole field with ferromagnetic spin interaction, and the BECs is confined by a harmonic trap. Without rotation, as the quadrupole field [...] Read more.
We study the topological defects and spin structures of rotating SU(3) spin–orbit-coupled spin F=1 Bose–Einstein condensates (BECs) in an in-plane quadrupole field with ferromagnetic spin interaction, and the BECs is confined by a harmonic trap. Without rotation, as the quadrupole field strength is increased, the spin F=1 BECs with SU(3) spin–orbit coupling (SOC) evolves from the initial Thomas–Fermi phase into the stripe phase; then, it enters a vortex–antivortex cluster state and eventually a polar-core vortex state. In the absence of rotation with the given quadrupole field, the enhancing SU(3) SOC strength can cause a phase transition from a central Mermin–Ho vortex to a vortex–antivortex cluster, subsequently converting to a bending vortex–antivortex chain. In addition, when considering rotation, it is found that this system generates the following five typical quantum phases: a three-vortex-chain cluster structure with mutual angles of approximately 2π3, a tree-fork-like vortex chain cluster, a rotationally symmetric vortex necklace, a diagonal vortex chain cluster, and a density hole vortex cluster. Particularly, the system exhibits unusual topological structures and spin textures, such as a bending half-skyrmion–half-antiskyrmion (meron–antimeron) chain, three half-skyrmion (meron) chains with mutual angles of an approximately 2π3, slightly curved diagonal half-skyrmion (meron) cluster lattice, a skyrmion–half-skyrmion (skyrmion-meron) necklace, and a tree-fork-like half-skyrmion (meron) chain cluster lattice. Full article
(This article belongs to the Section Statistical Physics)
Show Figures

Figure 1

8 pages, 2646 KB  
Article
Determination of the Effective Lifetime of a Spinor Bose–Einstein Condensate
by Xin Wang, Yong Qin, Jun Jian, Wenliang Liu, Jizhou Wu, Yuqing Li, Vladimir Sovkov and Jie Ma
Photonics 2025, 12(2), 124; https://doi.org/10.3390/photonics12020124 - 30 Jan 2025
Viewed by 1157
Abstract
The effective lifetime of ultra-cold atoms in specific quantum states plays a crucial role in studying interaction parameters within quantum systems. Measuring the effective lifetime of various quantum states within ultra-cold atoms is a fundamental task in quantum operations. In this paper, the [...] Read more.
The effective lifetime of ultra-cold atoms in specific quantum states plays a crucial role in studying interaction parameters within quantum systems. Measuring the effective lifetime of various quantum states within ultra-cold atoms is a fundamental task in quantum operations. In this paper, the effective lifetimes of the excited electronic states F=2,mF=2, F=2,mF=1, and F=2,mF=0 for a sodium atomic Bose–Einstein condensate (BEC) are investigated in both the optical dipole trap (ODT) and one-dimensional optical lattice. Through the analysis of experimental data, we demonstrate the significant advantage of lattice loading over the optical dipole trap in terms of atomic lifetimes. The results provide crucial insights into the temporal scales relevant for investigating the evolution of boson gases in optical lattices, facilitating the realization of quantum simulations pertaining to unique quantum phases, and providing an important experimental basis for the research of non-equilibrium dynamics between different spin states. Full article
(This article belongs to the Section Lasers, Light Sources and Sensors)
Show Figures

Figure 1

37 pages, 3477 KB  
Review
Discrete and Semi-Discrete Multidimensional Solitons and Vortices: Established Results and Novel Findings
by Boris A. Malomed
Entropy 2024, 26(2), 137; https://doi.org/10.3390/e26020137 - 2 Feb 2024
Cited by 5 | Viewed by 2509
Abstract
This article presents a concise survey of basic discrete and semi-discrete nonlinear models, which produce two- and three-dimensional (2D and 3D) solitons, and a summary of the main theoretical and experimental results obtained for such solitons. The models are based on the discrete [...] Read more.
This article presents a concise survey of basic discrete and semi-discrete nonlinear models, which produce two- and three-dimensional (2D and 3D) solitons, and a summary of the main theoretical and experimental results obtained for such solitons. The models are based on the discrete nonlinear Schrödinger (DNLS) equations and their generalizations, such as a system of discrete Gross–Pitaevskii (GP) equations with the Lee–Huang–Yang corrections, the 2D Salerno model (SM), DNLS equations with long-range dipole–dipole and quadrupole–quadrupole interactions, a system of coupled discrete equations for the second-harmonic generation with the quadratic (χ(2)) nonlinearity, a 2D DNLS equation with a superlattice modulation opening mini-gaps, a discretized NLS equation with rotation, a DNLS coupler and its PT-symmetric version, a system of DNLS equations for the spin–orbit-coupled (SOC) binary Bose–Einstein condensate, and others. The article presents a review of the basic species of multidimensional discrete modes, including fundamental (zero-vorticity) and vortex solitons, their bound states, gap solitons populating mini-gaps, symmetric and asymmetric solitons in the conservative and PT-symmetric couplers, cuspons in the 2D SM, discrete SOC solitons of the semi-vortex and mixed-mode types, 3D discrete skyrmions, and some others. Full article
(This article belongs to the Special Issue Recent Advances in the Theory of Nonlinear Lattices)
Show Figures

Figure 1

11 pages, 1611 KB  
Article
Rabi Frequency Management of Collapsing Quasi-Two-Dimensional Bose-Einstein Condensates with Pseudospin-1/2
by Shukhrat N. Mardonov and Bobomurat J. Ahmedov
Particles 2022, 5(2), 135-145; https://doi.org/10.3390/particles5020012 - 28 Apr 2022
Viewed by 2714
Abstract
The collapse of quasi-two-dimensional pseudospin-1/2 Bose-Einstein condensate of attracting atoms with intra- and cross-spin interaction is studied in the presence of the Rabi coupling. The condensate dynamics is presented as a function of the self-interaction and Rabi frequency. The evolution of two components [...] Read more.
The collapse of quasi-two-dimensional pseudospin-1/2 Bose-Einstein condensate of attracting atoms with intra- and cross-spin interaction is studied in the presence of the Rabi coupling. The condensate dynamics is presented as a function of the self-interaction and Rabi frequency. The evolution of two components of the condensate by using the Gross-Pitaevskii equations is investigated. The initial Gaussian ansatz for two-component wave functions is selected for the better interpretation of the numerical results. The intra-spin-coupling modifies the critical number of atoms causing the collapse while the collapse is observed only in a single pseudospin component. It is demonstrated that for cross-spin-coupling only double spin-components collapse can occur. Full article
Show Figures

Figure 1

28 pages, 580 KB  
Article
Hilbert Space Structure of the Low Energy Sector of U(N) Quantum Hall Ferromagnets and Their Classical Limit
by Manuel Calixto, Alberto Mayorgas and Julio Guerrero
Symmetry 2022, 14(5), 872; https://doi.org/10.3390/sym14050872 - 24 Apr 2022
Cited by 3 | Viewed by 2516
Abstract
Using the Lieb–Mattis ordering theorem of electronic energy levels, we identify the Hilbert space of the low energy sector of U(N) quantum Hall/Heisenberg ferromagnets at filling factor M for L Landau/lattice sites with the carrier space of irreducible representations of [...] Read more.
Using the Lieb–Mattis ordering theorem of electronic energy levels, we identify the Hilbert space of the low energy sector of U(N) quantum Hall/Heisenberg ferromagnets at filling factor M for L Landau/lattice sites with the carrier space of irreducible representations of U(N) described by rectangular Young tableaux of M rows and L columns, and associated with Grassmannian phase spaces U(N)/U(M)×U(NM). We embed this N-component fermion mixture in Fock space through a Schwinger–Jordan (boson and fermion) representation of U(N)-spin operators. We provide different realizations of basis vectors using Young diagrams, Gelfand–Tsetlin patterns and Fock states (for an electron/flux occupation number in the fermionic/bosonic representation). U(N)-spin operator matrix elements in the Gelfand–Tsetlin basis are explicitly given. Coherent state excitations above the ground state are computed and labeled by complex (NM)×M matrix points Z on the Grassmannian phase space. They adopt the form of a U(N) displaced/rotated highest-weight vector, or a multinomial Bose–Einstein condensate in the flux occupation number representation. Replacing U(N)-spin operators by their expectation values in a Grassmannian coherent state allows for a semi-classical treatment of the low energy (long wavelength) U(N)-spin-wave coherent excitations (skyrmions) of U(N) quantum Hall ferromagnets in terms of Grasmannian nonlinear sigma models. Full article
(This article belongs to the Section Physics)
6 pages, 1326 KB  
Communication
Two-Dimensional Solitons in Bose–Einstein Condensates with Spin–Orbit Coupling and Rydberg–Rydberg Interaction
by Kewei Wang, Hui Jin, Yunbin Lei, Yuan Zhao, Kaiyu Huang and Siliu Xu
Photonics 2022, 9(5), 283; https://doi.org/10.3390/photonics9050283 - 21 Apr 2022
Cited by 3 | Viewed by 2514
Abstract
Applying an imaginary time evolution method (AITEM) to the system of Gross–Pitaevskii equations, we find two-dimensional stable solitons in binary atomic Bose–Einstein condensates with spin–orbit coupling (SOC) and the Rydberg–Rydberg interaction (RRI). The stability of 2D solitons by utilizing their norm and energy [...] Read more.
Applying an imaginary time evolution method (AITEM) to the system of Gross–Pitaevskii equations, we find two-dimensional stable solitons in binary atomic Bose–Einstein condensates with spin–orbit coupling (SOC) and the Rydberg–Rydberg interaction (RRI). The stability of 2D solitons by utilizing their norm and energy is discussed in detail. Depending on the SOC and Rydberg–Rydberg interaction, we find stable zero-vorticity and vortical solitons. Furthermore, we show that the solitons can be effectively tuned by the local and nonlocal nonlinearities of this system. Full article
(This article belongs to the Special Issue Optical Quantum Manipulation of Rydberg Atoms)
Show Figures

Figure 1

9 pages, 396 KB  
Article
Stability of Spin-Wave Solitons in Bose-Einstein Condensates of Magnons: A Possible Application in Ferromagnetic Films
by Lucas Carvalho Pereira and Valter Aragão do Nascimento
Materials 2022, 15(7), 2551; https://doi.org/10.3390/ma15072551 - 31 Mar 2022
Viewed by 1848
Abstract
In this paper, we theoretically investigate the stability of spin-wave solitons in Bose-Einstein condensates of repulsive magnons, confined by an inhomogeneous external magnetic field described by a Gaussian well. For this purpose, we use the quasi-one-dimensional Gross-Pitaevskii equation to describe the behavior of [...] Read more.
In this paper, we theoretically investigate the stability of spin-wave solitons in Bose-Einstein condensates of repulsive magnons, confined by an inhomogeneous external magnetic field described by a Gaussian well. For this purpose, we use the quasi-one-dimensional Gross-Pitaevskii equation to describe the behavior of the condensate. In order to solve the Gross-Pitaevskii equation, we used two different approaches: one analytical (variational method) and another numerical (split-step Crank-Nicolson method). The stability of the solutions and the validation of the numerical results were confirmed, respectively, through the anti-VK criterion and the virial theorem. Furthermore, the simulations described the behavior of physical quantities of interest such as chemical potential, energy per magnon and central density as a function of the nonlinearity of the model (magnon-magnon interactions). The theoretical results provide subsidies for a better understanding of the nonlinear phenomena related to the Bose-Einstein condensates of magnons in ferromagnetic films. Full article
Show Figures

Figure 1

8 pages, 1678 KB  
Article
Spin Transport in a Quantum Hall Insulator
by Azaliya Azatovna Zagitova, Andrey Sergeevich Zhuravlev, Leonid Viktorovich Kulik and Vladimir Umansky
Appl. Sci. 2021, 11(17), 8131; https://doi.org/10.3390/app11178131 - 1 Sep 2021
Viewed by 1987
Abstract
A novel experimental optical method, based on photoluminescence and photo-induced resonant reflection techniques, is used to investigate the spin transport over long distances in a new, recently discovered collective state—magnetofermionic condensate. The given Bose–Einstein condensate exists in a purely fermionic system (ν = [...] Read more.
A novel experimental optical method, based on photoluminescence and photo-induced resonant reflection techniques, is used to investigate the spin transport over long distances in a new, recently discovered collective state—magnetofermionic condensate. The given Bose–Einstein condensate exists in a purely fermionic system (ν = 2 quantum Hall insulator) due to the presence of a non-equilibrium ensemble of spin-triplet magnetoexcitons—composite bosons. It is found that the condensate can spread over macroscopically long distances of approximately 200 μm. The propagation velocity of long-lived spin excitations is measured to be 25 m/s. Full article
(This article belongs to the Special Issue Magneto-Electronic Properties of Material for Spintronic Applications)
Show Figures

Figure 1

59 pages, 608 KB  
Article
Critical Temperature in the BCS-BEC Crossover with Spin-Orbit Coupling
by Luca Dell’Anna and Stefano Grava
Condens. Matter 2021, 6(2), 16; https://doi.org/10.3390/condmat6020016 - 30 Apr 2021
Cited by 3 | Viewed by 4620
Abstract
We review the study of the superfluid phase transition in a system of fermions whose interaction can be tuned continuously along the crossover from Bardeen–Cooper–Schrieffer (BCS) superconducting phase to a Bose–Einstein condensate (BEC), also in the presence of a spin–orbit coupling. Below a [...] Read more.
We review the study of the superfluid phase transition in a system of fermions whose interaction can be tuned continuously along the crossover from Bardeen–Cooper–Schrieffer (BCS) superconducting phase to a Bose–Einstein condensate (BEC), also in the presence of a spin–orbit coupling. Below a critical temperature the system is characterized by an order parameter. Generally a mean field approximation cannot reproduce the correct behavior of the critical temperature Tc over the whole crossover. We analyze the crucial role of quantum fluctuations beyond the mean-field approach useful to find Tc along the crossover in the presence of a spin–orbit coupling, within a path integral approach. A formal and detailed derivation for the set of equations useful to derive Tc is performed in the presence of Rashba, Dresselhaus and Zeeman couplings. In particular in the case of only Rashba coupling, for which the spin–orbit effects are more relevant, the two-body bound state exists for any value of the interaction, namely in the full crossover. As a result the effective masses of the emerging bosonic excitations are finite also in the BCS regime. Full article
Show Figures

Figure 1

18 pages, 3968 KB  
Article
Intrinsic Decoherence and Recurrences in a Large Ferromagnetic F = 1 Spinor Bose–Einstein Condensate
by Juan Carlos Sandoval-Santana, Roberto Zamora-Zamora, Rosario Paredes and Victor Romero-Rochín
Symmetry 2021, 13(1), 67; https://doi.org/10.3390/sym13010067 - 31 Dec 2020
Cited by 1 | Viewed by 2296
Abstract
Decoherence with recurrences appear in the dynamics of the one-body density matrix of an F=1 spinor Bose–Einstein condensate, initially prepared in coherent states, in the presence of an external uniform magnetic field and within the single mode approximation. The phenomenon emerges [...] Read more.
Decoherence with recurrences appear in the dynamics of the one-body density matrix of an F=1 spinor Bose–Einstein condensate, initially prepared in coherent states, in the presence of an external uniform magnetic field and within the single mode approximation. The phenomenon emerges as a many-body effect of the interplay of the quadratic Zeeman effect, which breaks the rotational symmetry, and the spin-spin interactions. By performing full quantum diagonalizations, a very accurate time evolution of large condensates is analyzed, leading to heuristic analytic expressions for the time dependence of the one-body density matrix, in the weak and strong interacting regimes, for initial coherent states. We are able to find accurate analytical expressions for both the decoherence and the recurrence times, in terms of the number of atoms and strength parameters, which show remarkable differences depending on the strength of the spin-spin interactions. The features of the stationary states in both regimes are also investigated. We discuss the nature of these limits in light of the thermodynamic limit. Full article
(This article belongs to the Section Physics)
Show Figures

Figure 1

28 pages, 618 KB  
Article
Quantum Vacuum: The Structure of Empty Space–Time and Quintessence with Gauge Symmetry Group SU(2) ⊗ U(1)
by Ashot Gevorkyan
Particles 2019, 2(2), 281-308; https://doi.org/10.3390/particles2020019 - 28 May 2019
Cited by 4 | Viewed by 5503
Abstract
We consider the formation of structured and massless particles with spin 1, by using the Yang–Mills-like stochastic equations system for the group symmetry S U ( 2 ) U ( 1 ) without taking into account the nonlinear term characterizing self-action. We [...] Read more.
We consider the formation of structured and massless particles with spin 1, by using the Yang–Mills-like stochastic equations system for the group symmetry S U ( 2 ) U ( 1 ) without taking into account the nonlinear term characterizing self-action. We prove that, in the first phase of relaxation, as a result of multi-scale random fluctuations of quantum fields, massless particles with spin 1, further referred as hions, are generated in the form of statistically stable quantized structures, which are localized on 2D topological manifolds. We also study the wave state and the geometrical structure of the hion when as a free particle and, accordingly, while it interacts with a random environment becoming a quasi-particle with a finite lifetime. In the second phase of relaxation, the vector boson makes spontaneous transitions to other massless and mass states. The problem of entanglement of two hions with opposite projections of the spins + 1 and 1 and the formation of a scalar zero-spin boson are also thoroughly studied. We analyze the properties of the scalar field and show that it corresponds to the Bose–Einstein (BE) condensate. The scalar boson decay problems, as well as a number of features characterizing the stability of BE condensate, are also discussed. Then, we report on the structure of empty space–time in the context of new properties of the quantum vacuum, implying on the existence of a natural quantum computer with complicated logic, which manifests in the form of dark energy. The possibilities of space–time engineering are also discussed. Full article
Show Figures

Figure 1

11 pages, 455 KB  
Article
Nonlinear Management of Topological Solitons in a Spin-Orbit-Coupled System
by Hidetsugu Sakaguchi and Boris Malomed
Symmetry 2019, 11(3), 388; https://doi.org/10.3390/sym11030388 - 17 Mar 2019
Cited by 8 | Viewed by 3040
Abstract
We consider possibilities to control dynamics of solitons of two types, maintained by the combination of cubic attraction and spin-orbit coupling (SOC) in a two-component system, namely, semi-dipoles (SDs) and mixed modes (MMs), by making the relative strength of the cross-attraction, γ , [...] Read more.
We consider possibilities to control dynamics of solitons of two types, maintained by the combination of cubic attraction and spin-orbit coupling (SOC) in a two-component system, namely, semi-dipoles (SDs) and mixed modes (MMs), by making the relative strength of the cross-attraction, γ , a function of time periodically oscillating around the critical value, γ = 1 , which is an SD/MM stability boundary in the static system. The structure of SDs is represented by the combination of a fundamental soliton in one component and localized dipole mode in the other, while MMs combine fundamental and dipole terms in each component. Systematic numerical analysis reveals a finite bistability region for the SDs and MMs around γ = 1 , which does not exist in the absence of the periodic temporal modulation (“management”), as well as emergence of specific instability troughs and stability tongues for the solitons of both types, which may be explained as manifestations of resonances between the time-periodic modulation and intrinsic modes of the solitons. The system can be implemented in Bose-Einstein condensates (BECs), and emulated in nonlinear optical waveguides. Full article
(This article belongs to the Special Issue Mathematical Physics and Symmetry)
Show Figures

Figure 1

16 pages, 5620 KB  
Review
Two-Dimensional Vortex Solitons in Spin-Orbit-Coupled Dipolar Bose–Einstein Condensates
by Wei Pang, Haiming Deng, Bin Liu, Jun Xu and Yongyao Li
Appl. Sci. 2018, 8(10), 1771; https://doi.org/10.3390/app8101771 - 30 Sep 2018
Cited by 11 | Viewed by 4550
Abstract
Solitons are self-trapped modes existing in various nonlinear systems. Creating stable solitons in two- and three-dimensional settings is a challenging goal in various branches of physics. Several methods have been developed theoretically and experimentally to achieve this, but few of them can support [...] Read more.
Solitons are self-trapped modes existing in various nonlinear systems. Creating stable solitons in two- and three-dimensional settings is a challenging goal in various branches of physics. Several methods have been developed theoretically and experimentally to achieve this, but few of them can support stable multi-dimensional solitons in free space. Recently, a new scheme using spin-orbit-coupling (SOC) has been proposed to create stable 2D solitons in Bose–Einstein condensates (BECs). This paper reviews recent theoretical progress on creating stable 2D solitons in spinor dipolar BEC with SOC, combined with long-range dipole-dipole interaction (DDI), Zeeman splitting (ZS) and contact nonlinearity, in free space. The continuous family of stable symmetric vortex solitons (SVS), asymmetric vortex solitons (AVS), as well as gap solitons (GS) is found via different settings. Their existence and stability conditions are summarized and discussed in detail. The mobility properties of these types of solitons are also addressed. For SVS, a potential method to manipulate its shape and mobility is investigated. These results are supposed to enrich our understanding of 2D solitons and help create multi-dimensional solitons in experiments. Full article
(This article belongs to the Section Optics and Lasers)
Show Figures

Figure 1

7 pages, 243 KB  
Article
Entanglement Entropy of the Spin-1 Condensates at Zero Temperature
by Zhibing Li, Yimin Liu, Wei Zheng and Chengguang Bao
Entropy 2018, 20(1), 80; https://doi.org/10.3390/e20010080 - 22 Jan 2018
Cited by 1 | Viewed by 4353
Abstract
For spin-1 condensates, the spatial degrees of freedom can be considered as being frozen at temperature zero, while the spin-degrees of freedom remain free. Under this condition, the entanglement entropy has been derived exactly with an analytical form. The entanglement entropy is found [...] Read more.
For spin-1 condensates, the spatial degrees of freedom can be considered as being frozen at temperature zero, while the spin-degrees of freedom remain free. Under this condition, the entanglement entropy has been derived exactly with an analytical form. The entanglement entropy is found to decrease monotonically with the increase of the magnetic polarization as expected. However, for the ground state in polar phase, an extremely steep fall of the entropy is found when the polarization emerges from zero. Then the fall becomes a gentle descent after the polarization exceeds a turning point. Full article
(This article belongs to the Special Issue Residual Entropy and Nonequilibrium States)
Show Figures

Figure 1

45 pages, 754 KB  
Article
Application of Symmetry Methods to Low-Dimensional Heisenberg Magnets
by Irene G. Bostrem, Alexander S. Ovchinnikov and Valentine E. Sinitsyn
Symmetry 2010, 2(2), 722-766; https://doi.org/10.3390/sym2020722 - 9 Apr 2010
Cited by 2 | Viewed by 7535
Abstract
An account of symmetry is very fruitful in studies of quantum spin systems. In the present paper we demonstrate how to use the spin SU(2) and the point symmetries in optimization of the theoretical condensed matter tools: the exact diagonalization, the renormalization group [...] Read more.
An account of symmetry is very fruitful in studies of quantum spin systems. In the present paper we demonstrate how to use the spin SU(2) and the point symmetries in optimization of the theoretical condensed matter tools: the exact diagonalization, the renormalization group approach, the cluster perturbation theory. We apply the methods for study of Bose-Einstein condensation in dimerized antiferromagnets, for investigations of magnetization processes and magnetocaloric effect in quantum ferrimagnetic chain. Full article
(This article belongs to the Special Issue Feature Papers: Symmetry Concepts and Applications)
Show Figures

Figure 1

Back to TopTop