Hilbert Space Structure of the Low Energy Sector of U(N) Quantum Hall Ferromagnets and Their Classical Limit
Abstract
1. Introduction
2. U(N) Ferromagnetism and Lieb–Mattis Ordering of Electronic Energy Levels
3. Low Energy Sector of U(N) Quantum Hall Ferromagnets at Filling Factor M
3.1. Boson Realization of U(N)-Spin Operators, Fock Space, Highest-Weight State and Ladder Operators
3.2. Young Tableaux, Gelfand and Fock Basis States
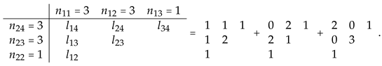
- The top row is read off the shape of the tableau, and it coincides with the highest weight. In terms of the occupancy numbers , we have
- The second row is read off the shape of the tableau that remains after all boxes containing the component/flavor are removed, that is, .
- ⋯
- is read off the shape of the tableau that remains after all boxes containing the flavors are removed, that is, .
- ⋯
- is read off the shape of the tableau that remains after all remaining boxes containing are removed.
- Finally, is read off the shape of the tableau that remains after all remaining boxes containing are removed.
3.2.1. U(2) Quantum Hall Ferromagnet at Filling Factor
3.2.2. U(4) Quantum Hall Ferromagnet at Filling Factor
3.2.3. U(6) Quantum Hall Ferromagnet at Filling Factor
3.3. General Dimension Formulas
4. Matrix Elements of U(N)-Spin Collective Operators
5. Grassmannian Coherent States and Nonlinear Sigma Models
5.1. Grassmannian Coherent States
5.2. Grassmannian Nonlinear Sigma Models
6. Conclusions and Outlook
Author Contributions
Funding
Institutional Review Board Statement
Informed Consent Statement
Data Availability Statement
Acknowledgments
Conflicts of Interest
Appendix A. Quantum Hall Ferromagnets from Exchange Interactions
Appendix B. Proof of Proposition 1
Appendix C. Proof of Proposition 2
Appendix D. Relation between Gelfand–Tsetlin and Fock States
Appendix E. Single Landau Site Hilbert Space Basis for a Bilayer U(4) QHF at M=2
Appendix F. Explicit Particular Expressions of U(N)-Spin Matrix Elements
Appendix F.1. U(2)-Spin Matrices for M = 1 and L = 1
Appendix F.2. U(2)-Spin Matrices for M = 1 and L = 2
Appendix F.3. U(4)-Spin Matrices for M = 2 and L = 1
Appendix G. The Case of Non-Rectangular Young Tableaux
References
- Bernevig, B.A. Topological Insulators and Topological Superconductors; Princeton University Press: Princeton, NJ, USA, 2013. [Google Scholar] [CrossRef]
- Hasan, M.Z.; Kane, C.L. Colloquium: Topological insulators. Rev. Mod. Phys. 2010, 82, 3045–3067. [Google Scholar] [CrossRef]
- Qi, X.L.; Zhang, S.C. Topological insulators and superconductors. Rev. Mod. Phys. 2011, 83, 1057–1110. [Google Scholar] [CrossRef]
- Kou, L.; Ma, Y.; Sun, Z.; Heine, T.; Chen, C. Two-Dimensional Topological Insulators: Progress and Prospects. J. Phys. Chem. Lett. 2017, 8, 1905–1919. [Google Scholar] [CrossRef] [PubMed]
- Kane, C.L.; Mele, E.J. Quantum Spin Hall Effect in Graphene. Phys. Rev. Lett. 2005, 95, 226801. [Google Scholar] [CrossRef]
- Bernevig, B.A.; Hughes, T.L.; Zhang, S.C. Quantum Spin Hall Effect and Topological Phase Transition in HgTe Quantum Wells. Science 2006, 314, 1757–1761. [Google Scholar] [CrossRef] [PubMed]
- Konig, M.; Wiedmann, S.; Brune, C.; Roth, A.; Buhmann, H.; Molenkamp, L.W.; Qi, X.L.; Zhang, S.C. Quantum Spin Hall Insulator State in HgTe Quantum Wells. Science 2007, 318, 766–770. [Google Scholar] [CrossRef]
- Kitaev, A. Fault-tolerant quantum computation by anyons. Ann. Phys. 2003, 303, 2–30. [Google Scholar] [CrossRef]
- Pachos, J.K. Introduction to Topological Quantum Computation; Cambridge University Press: Cambridge, UK, 2012. [Google Scholar] [CrossRef]
- Sarma, S.D.; Freedman, M.; Nayak, C. Majorana zero modes and topological quantum computation. NPJ Quantum Inf. 2015, 1, 15001. [Google Scholar] [CrossRef]
- Zhang, X.; Ezawa, M.; Zhou, Y. Magnetic skyrmion logic gates: Conversion, duplication and merging of skyrmions. Sci. Rep. 2015, 5, 9400. [Google Scholar] [CrossRef] [PubMed]
- Zhang, X.; Zhou, Y.; Ezawa, M.; Zhao, G.P.; Zhao, W. Magnetic skyrmion transistor: Skyrmion motion in a voltage-gated nanotrack. Sci. Rep. 2015, 5, 11369. [Google Scholar] [CrossRef] [PubMed]
- Zhang, X.; Zhou, Y.; Ezawa, M. Magnetic bilayer-skyrmions without skyrmion Hall effect. Nat. Commun. 2016, 7, 10293. [Google Scholar] [CrossRef]
- Jacak, J.E. Quantum mechanism of extremely high energy processes at neutron star collapse and of quasar luminosity. J. High Energy Phys. 2022, 2022, 2. [Google Scholar] [CrossRef]
- Pethick, C.J.; Smith, H. Bose-Einstein Condensation in Dilute Gases, 2nd ed.; Cambridge University Press: Cambridge, UK, 2008. [Google Scholar] [CrossRef]
- Lewenstein, M.; Sanpera, A.; Ahufinger, V. Ultracold Atoms in Optical Lattices: Simulating Quantum Many-Body Systems, 1st ed.; Oxford University Press: Oxford, UK, 2012. [Google Scholar] [CrossRef]
- Cazalilla, M.A.; Rey, A.M. Ultracold Fermi gases with emergent SU(N) symmetry. Rep. Prog. Phys. 2014, 77, 124401. [Google Scholar] [CrossRef] [PubMed]
- Honerkamp, C.; Hofstetter, W. Ultracold Fermions and the SU(N) Hubbard Model. Phys. Rev. Lett. 2004, 92, 170403. [Google Scholar] [CrossRef]
- Cazalilla, M.A.; Ho, A.F.; Ueda, M. Ultracold gases of ytterbium: Ferromagnetism and Mott states in an SU(6) Fermi system. New J. Phys. 2009, 11, 103033. [Google Scholar] [CrossRef]
- Bistritzer, R.; MacDonald, A.H. Moiré bands in twisted double-layer graphene. Proc. Natl. Acad. Sci. USA 2011, 108, 12233–12237. [Google Scholar] [CrossRef] [PubMed]
- Cao, Y.; Fatemi, V.; Demir, A.; Fang, S.; Tomarken, S.L.; Luo, J.Y.; Sanchez-Yamagishi, J.D.; Watanabe, K.; Taniguchi, T.; Kaxiras, E.; et al. Correlated insulator behaviour at half-filling in magic-angle graphene superlattices. Nature 2018, 556, 80–84. [Google Scholar] [CrossRef] [PubMed]
- Perelomov, A. Generalized Coherent States and Their Applications; Springer: Berlin/Heidelberg, Germeny, 1986. [Google Scholar] [CrossRef]
- Gazeau, J. Coherent States in Quantum Physics; John Wiley & Sons, Ltd: Hoboken, NJ, USA, 2009. [Google Scholar] [CrossRef]
- Seki, S.; Mochizuki, M. Skyrmions in Magnetic Materials; Springer: Cham, Switzerland, 2016. [Google Scholar] [CrossRef]
- Han, J.H. Skyrmions in Condensed Matter; Springer: Cham, Switzerland, 2017. [Google Scholar] [CrossRef]
- Finocchio, G.; Panagopoulos, C. (Eds.) Magnetic Skyrmions and Their Applications; Woodhead Publishing: Sawston, UK, 2021. [Google Scholar] [CrossRef]
- Zhang, S. Chiral and Topological Nature of Magnetic Skyrmions; Springer: Cham, Switzerland, 2018. [Google Scholar] [CrossRef]
- Affleck, I. The quantum Hall effects, σ-models at Θ = π and quantum spin chains. Nucl. Physics B 1985, 257, 397–406. [Google Scholar] [CrossRef]
- Affleck, I. Exact critical exponents for quantum spin chains, non-linear σ-models at Θ = π and the quantum hall effect. Nucl. Phys. B 1986, 265, 409–447. [Google Scholar] [CrossRef]
- Affleck, I. Critical behaviour of SU(N) quantum chains and topological non-linear σ-models. Nucl. Phys. B 1988, 305, 582–596. [Google Scholar] [CrossRef]
- Read, N.; Sachdev, S. Some features of the phase diagram of the square lattice SU(N) antiferromagnet. Nucl. Phys. B 1989, 316, 609–640. [Google Scholar] [CrossRef]
- Read, N.; Sachdev, S. Spin-Peierls, valence-bond solid, and Néel ground states of low-dimensional quantum antiferromagnets. Phys. Rev. B 1990, 42, 4568–4589. [Google Scholar] [CrossRef]
- Arovas, D.P.; Karlhede, A.; Lilliehöök, D. SU(N) quantum Hall skyrmions. Phys. Rev. B 1999, 59, 13147–13150. [Google Scholar] [CrossRef]
- Haldane, F. Continuum dynamics of the 1-D Heisenberg antiferromagnet: Identification with the O(3) nonlinear sigma model. Phys. Lett. A 1983, 93, 464–468. [Google Scholar] [CrossRef]
- Haldane, F.D.M. Nonlinear Field Theory of Large-Spin Heisenberg Antiferromagnets: Semiclassically Quantized Solitons of the One-Dimensional Easy-Axis Néel State. Phys. Rev. Lett. 1983, 50, 1153–1156. [Google Scholar] [CrossRef]
- Haldane, F.D.M. O(3) Nonlinear σ Model and the Topological Distinction between Integer- and Half-Integer-Spin Antiferromagnets in Two Dimensions. Phys. Rev. Lett. 1988, 61, 1029–1032. [Google Scholar] [CrossRef]
- Lieb, E.; Mattis, D. Theory of Ferromagnetism and the Ordering of Electronic Energy Levels. Phys. Rev. 1962, 125, 164–172. [Google Scholar] [CrossRef]
- Decamp, J.; Gong, J.; Loh, H.; Miniatura, C. Graph-theory treatment of one-dimensional strongly repulsive fermions. Phys. Rev. Res. 2020, 2, 023059. [Google Scholar] [CrossRef]
- Barut, A.; Raczka, R. Theory of Group Representations and Applications; Polish Scientific Publishers: Warszawa, Poland, 1980. [Google Scholar]
- Casten, R.; Lipas, P.; Warner, D.; Otsuka, T.; Heyde, K.; Draayer, J. Algebraic Approaches to Nuclear Structure: Interacting Boson and Fermion Models, 1st ed.; CRC Press: Boca Raton, FL, USA, 1993. [Google Scholar] [CrossRef]
- Frank, A.; Van Isacker, P. Algebraic Methods in Molecular and Nuclear Structure Physics; Wiley: New York, NY, USA, 1994. [Google Scholar]
- Iachello, F.; Levine, R. Algebraic Theory of Molecules; Oxford University Press: Oxford, UK, 1995. [Google Scholar] [CrossRef]
- Iachello, F.; Arima, A. The Interacting Boson Model; Cambridge Monographs on Mathematical Physics; Cambridge University Press: Cambridge, UK, 1987. [Google Scholar] [CrossRef]
- Calixto, M.; Pérez-Romero, E. Coherent states on the GrassmannianU(4)/U(2)2: Oscillator realization and bilayer fractional quantum Hall systems. J. Phys. A Math. Theor. 2014, 47, 115302. [Google Scholar] [CrossRef]
- Sugita, A. Moments of generalized Husimi distributions and complexity of many-body quantum states. J. Phys. A Math. Gen. 2003, 36, 9081–9103. [Google Scholar] [CrossRef]
- Radcliffe, J.M. Some properties of coherent spin states. J. Phys. A Gen. Phys. 1971, 4, 313–323. [Google Scholar] [CrossRef]
- Arecchi, F.T.; Courtens, E.; Gilmore, R.; Thomas, H. Atomic Coherent States in Quantum Optics. Phys. Rev. A 1972, 6, 2211–2237. [Google Scholar] [CrossRef]
- Gilmore, R. Catastrophe Theory for Scientists and Engineers; Wiley: New York, NY, USA, 1981. [Google Scholar]
- Calixto, M.; Pérez-Romero, E. Some properties of Grassmannian U(4)/U(2) x U(2) coherent states and an entropic conjecture. J. Phys. Math. Theor. 2015, 48, 495304. [Google Scholar] [CrossRef]
- Calixto, M.; Pérez-Romero, E. Interlayer coherence and entanglement in bilayer quantum Hall states at filling factorν = 2/λ. J. Physics Condens. Matter 2014, 26, 485005. [Google Scholar] [CrossRef] [PubMed]
- Calixto, M.; Peón-Nieto, C.; Pérez-Romero, E. Hilbert space and ground-state structure of bilayer quantum Hall systems at ν = 2/λ. Phys. Rev. B 2017, 95, 235302. [Google Scholar] [CrossRef]
- Calixto, M.; Peón-Nieto, C. Husimi function and phase-space analysis of bilayer quantum Hall systems at ν = λ. J. Stat. Mech. Theory Exp. 2018, 2018, 053112. [Google Scholar] [CrossRef]
- Hasebe, K.; Ezawa, Z.F. Grassmannian fields and doubly enhanced Skyrmions in the bilayer quantum Hall system at ν = 2. Phys. Rev. B 2002, 66, 155318. [Google Scholar] [CrossRef]
- Ezawa, Z. Quantum Hall Effects; World Scientific: Singapore, 2013. [Google Scholar] [CrossRef]
- Jacak, J.E. Application of path-integral quantization to indistinguishable particle systems topologically confined by a magnetic field. Phys. Rev. A 2018, 97, 012108. [Google Scholar] [CrossRef]
- MacFarlane, A. Generalizations of σ-models and CpN models, and instantons. Phys. Lett. B 1979, 82, 239–241. [Google Scholar] [CrossRef]
- Calixto, M.; Peón-Nieto, C.; Pérez-Romero, E. Coherent states for N-component fractional quantum Hall systems and their nonlinear sigma models. Ann. Phys. 2016, 373, 52–66. [Google Scholar] [CrossRef]
- Ezawa, Z.F.; Eliashvili, M.; Tsitsishvili, G. Ground-state structure in ν = 2 bilayer quantum Hall systems. Phys. Rev. B 2005, 71, 125318. [Google Scholar] [CrossRef]
- MacDonald, A.H.; Rajaraman, R.; Jungwirth, T. Broken-symmetry ground states in ν = 2 bilayer quantum Hall systems. Phys. Rev. B 1999, 60, 8817–8826. [Google Scholar] [CrossRef]
- Schliemann, J.; MacDonald, A.H. Bilayer Quantum Hall Systems at Filling Factor ν = 2: An Exact Diagonalization Study. Phys. Rev. Lett. 2000, 84, 4437–4440. [Google Scholar] [CrossRef] [PubMed]
- Fukuda, A.; Sawada, A.; Kozumi, S.; Terasawa, D.; Shimoda, Y.; Ezawa, Z.F.; Kumada, N.; Hirayama, Y. Magnetotransport study of the canted antiferromagnetic phase in bilayer ν = 2 quantum Hall state. Phys. Rev. B 2006, 73, 165304. [Google Scholar] [CrossRef]
- Yang, K.; Das Sarma, S.; MacDonald, A.H. Collective modes and skyrmion excitations in graphene SU(4) quantum Hall ferromagnets. Phys. Rev. B 2006, 74, 075423. [Google Scholar] [CrossRef]
- Yang, K.; Moon, K.; Zheng, L.; MacDonald, A.H.; Girvin, S.M.; Yoshioka, D.; Zhang, S.C. Quantum ferromagnetism and phase transitions in double-layer quantum Hall systems. Phys. Rev. Lett. 1994, 72, 732–735. [Google Scholar] [CrossRef] [PubMed]
- Moon, K.; Mori, H.; Yang, K.; Girvin, S.M.; MacDonald, A.H.; Zheng, L.; Yoshioka, D.; Zhang, S.C. Spontaneous interlayer coherence in double-layer quantum Hall systems: Charged vortices and Kosterlitz-Thouless phase transitions. Phys. Rev. B 1995, 51, 5138–5170. [Google Scholar] [CrossRef] [PubMed]
- Yang, K.; Moon, K.; Belkhir, L.; Mori, H.; Girvin, S.M.; MacDonald, A.H.; Zheng, L.; Yoshioka, D. Spontaneous interlayer coherence in double-layer quantum Hall systems: Symmetry-breaking interactions, in-plane fields, and phase solitons. Phys. Rev. B 1996, 54, 11644–11658. [Google Scholar] [CrossRef] [PubMed]
- Dicke, R.H. Coherence in Spontaneous Radiation Processes. Phys. Rev. 1954, 93, 99–110. [Google Scholar] [CrossRef]
- Calixto, M.; Mayorgas, A.; Guerrero, J. Role of mixed permutation symmetry sectors in the thermodynamic limit of critical three-level Lipkin-Meshkov-Glick atom models. Phys. Rev. E 2021, 103, 012116. [Google Scholar] [CrossRef]
- Calixto, M.; Mayorgas, A.; Guerrero, J. Entanglement and U(D)-spin squeezing in symmetric multi-quDit systems and applications to quantum phase transitions in Lipkin–Meshkov–Glick D-level atom models. Quantum Inf. Process. 2021, 20, 304. [Google Scholar] [CrossRef]
- Jiang, H.C.; Wang, Z.; Balents, L. Identifying topological order by entanglement entropy. Nat. Phys. 2012, 8, 902–905. [Google Scholar] [CrossRef]
- Zeng, B.; Chen, X.; Zhou, D.L.; Wen, X.G. Quantum Information Meets Quantum Matter: From Quantum Entanglement to Topological Phases of Many-Body Systems; Springer Nature: Berlin/Heidelberg, Germany, 2019. [Google Scholar] [CrossRef]
- Calixto, M.; Romera, E. Identifying topological-band insulator transitions in silicene and other 2D gapped Dirac materials by means of Rényi-Wehrl entropy. EPL Europhys. Lett. 2015, 109, 40003. [Google Scholar] [CrossRef]
- Romera, E.; Calixto, M. Uncertainty relations and topological-band insulator transitions in 2D gapped Dirac materials. J. Phys. Condens. Matter 2015, 27, 175003. [Google Scholar] [CrossRef] [PubMed][Green Version]
- Calixto, M.; Romera, E. Inverse participation ratio and localization in topological insulator phase transitions. J. Stat. Mech. Theory Exp. 2015, 2015, P06029. [Google Scholar] [CrossRef]
- Romera, E.; Calixto, M. Band inversion at critical magnetic fields in a silicene quantum dot. EPL Europhys. Lett. 2015, 111, 37006. [Google Scholar] [CrossRef][Green Version]
- Romera, E.; Calixto, M.; Bolivar, J. Information measures and topological-band insulator transitions in 2D-Dirac materials under external circularly polarized lasers, and static electric and magnetic fields. Phys. Stat. Mech. Appl. 2018, 511, 174–181. [Google Scholar] [CrossRef]
- Castaños, O.; Romera, E.; Calixto, M. Information theoretic analysis of Landau levels in monolayer phosphorene under magnetic and electric fields. Mater. Res. Express 2019, 6, 106316. [Google Scholar] [CrossRef]
- Calixto, M.; Romera, E.; Castaños, O. Analogies between the topological insulator phase of 2D Dirac materials and the superradiant phase of atom-field systems. Int. J. Quantum Chem. 2021, 121, e26464. [Google Scholar] [CrossRef]
- Bacon, D.; Chuang, I.L.; Harrow, A.W. Efficient Quantum Circuits for Schur and Clebsch-Gordan Transforms. Phys. Rev. Lett. 2006, 97, 170502. [Google Scholar] [CrossRef]
- Cvitanovic, P. Group Theory: Birdtracks, Lie’s and Exceptional Groups; Princeton University Press: Princeton, NJ, USA, 2008. [Google Scholar]
Publisher’s Note: MDPI stays neutral with regard to jurisdictional claims in published maps and institutional affiliations. |
© 2022 by the authors. Licensee MDPI, Basel, Switzerland. This article is an open access article distributed under the terms and conditions of the Creative Commons Attribution (CC BY) license (https://creativecommons.org/licenses/by/4.0/).
Share and Cite
Calixto, M.; Mayorgas, A.; Guerrero, J. Hilbert Space Structure of the Low Energy Sector of U(N) Quantum Hall Ferromagnets and Their Classical Limit. Symmetry 2022, 14, 872. https://doi.org/10.3390/sym14050872
Calixto M, Mayorgas A, Guerrero J. Hilbert Space Structure of the Low Energy Sector of U(N) Quantum Hall Ferromagnets and Their Classical Limit. Symmetry. 2022; 14(5):872. https://doi.org/10.3390/sym14050872
Chicago/Turabian StyleCalixto, Manuel, Alberto Mayorgas, and Julio Guerrero. 2022. "Hilbert Space Structure of the Low Energy Sector of U(N) Quantum Hall Ferromagnets and Their Classical Limit" Symmetry 14, no. 5: 872. https://doi.org/10.3390/sym14050872
APA StyleCalixto, M., Mayorgas, A., & Guerrero, J. (2022). Hilbert Space Structure of the Low Energy Sector of U(N) Quantum Hall Ferromagnets and Their Classical Limit. Symmetry, 14(5), 872. https://doi.org/10.3390/sym14050872

