Two-Dimensional Solitons in Bose–Einstein Condensates with Spin–Orbit Coupling and Rydberg–Rydberg Interaction
Abstract
:1. Introduction
2. Materials and Methods
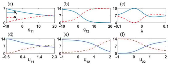
3. Results
4. Conclusions and Discussion
Author Contributions
Funding
Institutional Review Board Statement
Informed Consent Statement
Data Availability Statement
Conflicts of Interest
References
- Chen, Z.; Segev, M.; Christodoulides, D.N. Soliton Review. Rep. Prog. Phys. 2012, 75, 086401. [Google Scholar] [CrossRef] [PubMed]
- Ruostekoski, J.; Anglin, J.R. Creating Vortex Rings and Three-Dimensional Skyrmions in Bose-Einstein Condensates. Phys. Rev. Lett. 2001, 86, 3934. [Google Scholar] [CrossRef] [PubMed] [Green Version]
- Babaev, E. Dual Neutral Variables and Knot Solitons in Triplet Superconductors. Phys. Rev. Lett. 2002, 88, 177002. [Google Scholar] [CrossRef] [PubMed] [Green Version]
- Bergé, L. Wave collapse in physics: Principles and applications to light and plasma waves. Phys. Rep. 1998, 303, 259. [Google Scholar] [CrossRef]
- Mihalache, D. Linear and nonlinear light bullets: Recent theoretical and experimental studies. Rom. J. Phys. 2012, 57, 352. [Google Scholar]
- Liang, Z.X.; Zhang, Z.D.; Liu, W.M. Dynamics of a bright soliton in Bose-Einstein condensates with time-dependent atomic scattering length in an expulsive parabolic potential. Phys. Rev. Lett. 2005, 94, 050402. [Google Scholar] [CrossRef] [Green Version]
- Ji, A.C.; Liu, W.M.; Song, J.; Zhou, F. Dynamical creation of fractionalized vortices and vortex lattices. Phys. Rev. Lett. 2008, 101, 010402. [Google Scholar] [CrossRef] [PubMed] [Green Version]
- Ji, A.C.; Xie, X.C.; Liu, W.M. Quantum magnetic dynamics of polarized light in arrays of microcavities. Phys. Rev. Lett. 2007, 99, 183602. [Google Scholar] [CrossRef] [Green Version]
- Zhang, Y.; Mao, L.; Zhang, C. Mean-Field Dynamics of Spin-Orbit Coupled Bose-Einstein Condensates. Phys. Rev. Lett. 2012, 108, 035302. [Google Scholar] [CrossRef] [PubMed] [Green Version]
- Sakaguchi, H.; Li, B.; Malomed, B.A. The creation of two-dimensional composite solitons in spin-orbit-coupled self-attractive Bose-Einstein condensates in free space. Phys. Rev. E 2014, 89, 032920. [Google Scholar] [CrossRef] [Green Version]
- Sakaguchi, H.; Sherman, E.Y.; Malomed, B.A. Vortex solitons in two-dimensional spin-orbit coupled Bose-Einstein condensates: Effects of the Rashba-Dresselhaus coupling and Zeeman splitting. Phys. Rev. E 2016, 94, 032202. [Google Scholar] [CrossRef] [Green Version]
- Li, H.; Xu, S.L.; Belić, M.R.; Cheng, J.X. Three–dimensional solitons in Bose-Einstein condensates with spin-orbit coupling and Bessel optical lattices. Phys. Rev. A 2018, 98, 033827. [Google Scholar] [CrossRef]
- Reyna, A.S.; de Araújo, C.B. Guiding and confinement of light induced by optical vortex solitons in a cubic–quintic medium. Opt. Lett. 2016, 41, 191. [Google Scholar] [CrossRef] [PubMed]
- Xu, S.L.; Li, H.; Zhou, Q.; Zhou, G.P.; Zhao, D.; Belić, M.R.; He, J.R.; Zhao, Y. Parity–time symmetry light bullets in a cold Rydberg atomic gas. Opt. Express 2020, 28, 16322. [Google Scholar] [CrossRef] [PubMed]
- Xu, S.L.; Zhou, Q.; Zhao, D.; Belić, M.R.; Zhao, Y. Spatiotemporal solitons in cold Rydberg atomic gases with Bessel optical lattices. Appl. Math. Lett. 2020, 104, 106230. [Google Scholar] [CrossRef]
- Zhao, Y.; Lei, Y.; Xu, Y.; Xu, S.L.; Triki, H.; Biswas, A.; Zhou, Q. Vector Spatiotemporal Solitons and Their Memory Features in Cold Rydberg Gases. Chin. Phys. Lett. 2022, 39, 034202. [Google Scholar] [CrossRef]
- Xu, Y.; Zhang, Y.; Wu, B. Bright solitons in spin-orbit-coupled Bose-Einstein condensates. Phys. Rev. A 2013, 87, 013614. [Google Scholar] [CrossRef] [Green Version]
- Henkel, N.; Nath, R.; Pohl, T. Three-dimensional Roton-Excitations and Supersolid formation in Rydberg-excited Bose-Einstein Condensates. Phys. Rev. Lett. 2010, 104, 195302. [Google Scholar] [CrossRef] [PubMed] [Green Version]
- Singer, K.; Stanojevic, J.; Weidemüller, M.; Côté, R. Long-range interactions between alkali Rydberg atom pairs correlated to the ns–ns, np–np and nd–nd asymptotes. J. Phys. B 2005, 38, S295. [Google Scholar] [CrossRef]
- Kartashov, Y.V.; Malomed, B.A.; Vysloukh, V.A.; Torner, L. Stabilization of multibeam necklace solitons in circular arrays with spatially modulated nonlinearity. Phys. Rev. A 2009, 80, 053816. [Google Scholar] [CrossRef] [Green Version]
- Chen, S.-F.; Guo, Q.; Xu, S.L.; Belić, M.R.; Zhao, Y.; Zhao, D.; He, J.R. Vortex solitons in Bose–Einstein condensates with spin-orbit coupling and Gaussian optical lattices. Appl. Math. Lett. 2019, 92, 15. [Google Scholar] [CrossRef]
- Xu, S.L.; Belić, M.R.; Zhou, G.P.; He, J.R.; Xue, L. Vortex solitons in Bose–Einstein condensates with inhomogeneous attractive nonlinearities and a trapping potential. Appl. Math. Lett. 2018, 86, 173. [Google Scholar] [CrossRef]





Publisher’s Note: MDPI stays neutral with regard to jurisdictional claims in published maps and institutional affiliations. |
© 2022 by the authors. Licensee MDPI, Basel, Switzerland. This article is an open access article distributed under the terms and conditions of the Creative Commons Attribution (CC BY) license (https://creativecommons.org/licenses/by/4.0/).
Share and Cite
Wang, K.; Jin, H.; Lei, Y.; Zhao, Y.; Huang, K.; Xu, S. Two-Dimensional Solitons in Bose–Einstein Condensates with Spin–Orbit Coupling and Rydberg–Rydberg Interaction. Photonics 2022, 9, 283. https://doi.org/10.3390/photonics9050283
Wang K, Jin H, Lei Y, Zhao Y, Huang K, Xu S. Two-Dimensional Solitons in Bose–Einstein Condensates with Spin–Orbit Coupling and Rydberg–Rydberg Interaction. Photonics. 2022; 9(5):283. https://doi.org/10.3390/photonics9050283
Chicago/Turabian StyleWang, Kewei, Hui Jin, Yunbin Lei, Yuan Zhao, Kaiyu Huang, and Siliu Xu. 2022. "Two-Dimensional Solitons in Bose–Einstein Condensates with Spin–Orbit Coupling and Rydberg–Rydberg Interaction" Photonics 9, no. 5: 283. https://doi.org/10.3390/photonics9050283
APA StyleWang, K., Jin, H., Lei, Y., Zhao, Y., Huang, K., & Xu, S. (2022). Two-Dimensional Solitons in Bose–Einstein Condensates with Spin–Orbit Coupling and Rydberg–Rydberg Interaction. Photonics, 9(5), 283. https://doi.org/10.3390/photonics9050283
