Sign in to use this feature.

Years

Between: -

Subjects

remove_circle_outline
remove_circle_outline
remove_circle_outline
remove_circle_outline
remove_circle_outline
remove_circle_outline
remove_circle_outline
remove_circle_outline
remove_circle_outline

Journals

remove_circle_outline
remove_circle_outline
remove_circle_outline
remove_circle_outline
remove_circle_outline
remove_circle_outline
remove_circle_outline
remove_circle_outline
remove_circle_outline
remove_circle_outline
remove_circle_outline
remove_circle_outline
remove_circle_outline
remove_circle_outline
remove_circle_outline
remove_circle_outline
remove_circle_outline

Article Types

Countries / Regions

remove_circle_outline
remove_circle_outline
remove_circle_outline
remove_circle_outline
remove_circle_outline

Search Results (1,735)

Search Parameters:
Keywords = spin state

Order results
Result details
Results per page
Select all
Export citation of selected articles as:
22 pages, 2932 KB  
Article
Theoretical Calculation of Caq+ (q = 0, 1, 2) Interacting with a Krypton Atom: Electronic Structure and Vibrational Spectra Association
by Wissem Zrafi, Mohamed Bejaoui, Hela Ladjimi, Jamila Dhiflaoui and Hamid Berriche
Atoms 2026, 14(1), 5; https://doi.org/10.3390/atoms14010005 - 12 Jan 2026
Abstract
The potential energy curves and spectroscopic constants of the ground and several low-lying excited states of the Caq+-Kr (q = 0, 1, 2) van der Waals complexes were investigated using one- and two-electron pseudopotential approaches. This treatment effectively reduces the number [...] Read more.
The potential energy curves and spectroscopic constants of the ground and several low-lying excited states of the Caq+-Kr (q = 0, 1, 2) van der Waals complexes were investigated using one- and two-electron pseudopotential approaches. This treatment effectively reduces the number of active electrons in Caq+-Kr to a single valence electron for q = 1 and two valence electrons for q = 0, allowing the use of large and flexible basis sets for both Ca and Kr atoms. Within this work, potential energy curves (PECs) were calculated at the SCF level for the Ca+-Kr system, while both SCF and full configuration interaction (FCI) calculations were performed for the neutral Ca-Kr. Spin–orbit coupling effects were explicitly included in all calculations to accurately describe the fine-structure splitting of the asymptotic atomic states. The short-range core–core interaction for Ca2+-Kr was obtained using high-level CCSD(T) calculations. Spectroscopic constants were derived from the computed PECs and compared with available theoretical and experimental results, showing consistent trends. Furthermore, the transition dipole moments (TDM) were evaluated as a function of internuclear distances, including spin–orbit effects, to provide a comprehensive description of the electronic structure and radiative properties of these weakly bound systems. Full article
(This article belongs to the Section Atomic, Molecular and Nuclear Spectroscopy and Collisions)
Show Figures

Figure 1

22 pages, 688 KB  
Review
Transition Metal-Doped ZnO and ZrO2 Nanocrystals: Correlations Between Structure, Magnetism, and Vibrational Properties—A Review
by Izabela Kuryliszyn-Kudelska and Witold Daniel Dobrowolski
Appl. Sci. 2026, 16(2), 786; https://doi.org/10.3390/app16020786 - 12 Jan 2026
Abstract
Transition metal (TM)-doped zinc oxide (ZnO) and zirconium dioxide (ZrO2) nanocrystals exhibit complex correlations between crystal structure, defect chemistry, vibrational properties, and magnetic behavior that are strongly governed by synthesis route and dopant incorporation mechanisms. This review critically summarizes recent progress [...] Read more.
Transition metal (TM)-doped zinc oxide (ZnO) and zirconium dioxide (ZrO2) nanocrystals exhibit complex correlations between crystal structure, defect chemistry, vibrational properties, and magnetic behavior that are strongly governed by synthesis route and dopant incorporation mechanisms. This review critically summarizes recent progress on Fe-, Mn-, and Co-doped ZnO and ZrO2 nanocrystals synthesized by wet chemical, hydrothermal, and microwave-assisted hydrothermal methods, with emphasis on synthesis-driven phase evolution and apparent solubility limits. ZnO and ZrO2 are treated as complementary host lattices: ZnO is a semiconducting, piezoelectric oxide with narrow solubility limits for most 3d dopants, while ZrO2 is a dielectric, polymorphic oxide in which transition metal doping may stabilize tetragonal or cubic phases. Structural and microstructural studies using X-ray diffraction, electron microscopy, Raman spectroscopy, and Mössbauer spectroscopy demonstrate that at low dopant concentrations, TM ions may be partially incorporated into the host lattice, giving rise to diluted or defect-mediated magnetic behavior. When solubility limits are exceeded, nanoscopic secondary oxide phases emerge, leading to superparamagnetic, ferrimagnetic, or spin-glass-like responses. Magnetic measurements, including DC magnetization and AC susceptibility, reveal a continuous evolution from paramagnetism in lightly doped samples to dynamic magnetic states characteristic of nanoscale magnetic entities. Vibrational spectroscopy highlights phonon confinement, surface optical phonons, and disorder-activated modes that sensitively reflect nanocrystal size, lattice strain, and defect populations, and often correlate with magnetic dynamics. Rather than classifying these materials as diluted magnetic semiconductors, this review adopts a synthesis-driven and correlation-based framework that links dopant incorporation, local structural disorder, vibrational fingerprints, and magnetic response. By emphasizing multi-technique characterization strategies required to distinguish intrinsic from extrinsic magnetic contributions, this review provides practical guidelines for interpreting magnetism in TM-doped oxide nanocrystals and outlines implications for applications in photocatalysis, sensing, biomedicine, and electromagnetic interference (EMI) shielding. Full article
(This article belongs to the Section Applied Physics General)
30 pages, 28238 KB  
Article
Generative Algorithms for Wildfire Progression Reconstruction from Multi-Modal Satellite Active Fire Measurements and Terrain Height
by Bryan Shaddy, Brianna Binder, Agnimitra Dasgupta, Haitong Qin, James Haley, Angel Farguell, Kyle Hilburn, Derek V. Mallia, Adam Kochanski, Jan Mandel and Assad A. Oberai
Remote Sens. 2026, 18(2), 227; https://doi.org/10.3390/rs18020227 - 10 Jan 2026
Viewed by 59
Abstract
Wildfire spread prediction models, including even the most sophisticated coupled atmosphere–wildfire models, diverge from observed wildfire progression during multi-day simulations, motivating the need for measurement-based assessments of wildfire state and improved data assimilation techniques. Data assimilation in the context of coupled atmosphere–wildfire models [...] Read more.
Wildfire spread prediction models, including even the most sophisticated coupled atmosphere–wildfire models, diverge from observed wildfire progression during multi-day simulations, motivating the need for measurement-based assessments of wildfire state and improved data assimilation techniques. Data assimilation in the context of coupled atmosphere–wildfire models entails estimating wildfire progression history from observations and using this to obtain initial conditions for subsequent simulations through a spin-up process. In this study, an approach is developed for estimating fire progression history from VIIRS active fire measurements, GOES-derived ignition times, and terrain height data. The approach utilizes a conditional Wasserstein Generative Adversarial Network trained on simulations of historic wildfires from the coupled atmosphere–wildfire model WRF-SFIRE, with corresponding measurements for training obtained through the application of an approximate observation operator. Once trained, the cWGAN leverages measurements of real fires and corresponding terrain data to probabilistically generate fire progression estimates that are consistent with the WRF-SFIRE solutions used for training. The approach is validated on five Pacific US wildfires, and results are compared against high-resolution perimeters measured via aircraft, finding an average Sørensen–Dice coefficient of 0.81. The influence of terrain data on fire progression estimates is also assessed, finding an increased contribution when measurements are uninformative. Full article
20 pages, 10445 KB  
Article
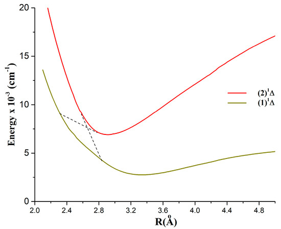
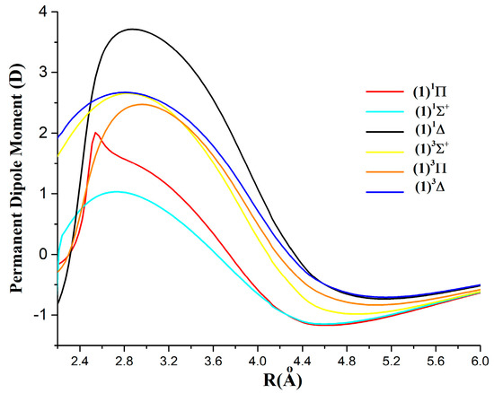
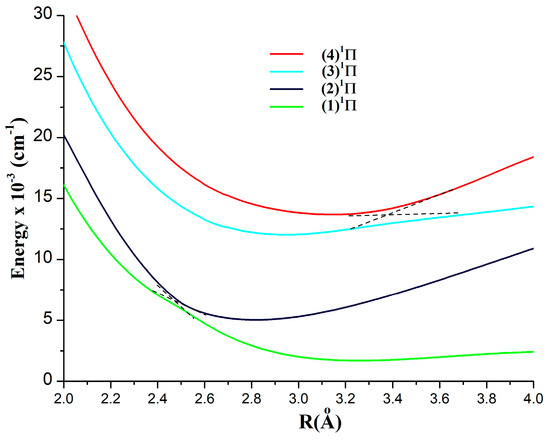
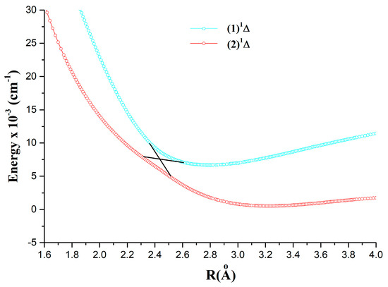
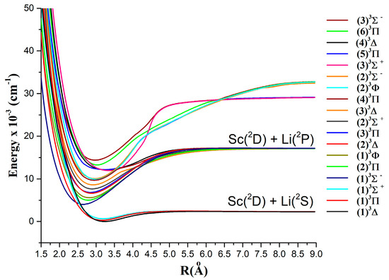
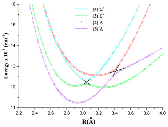
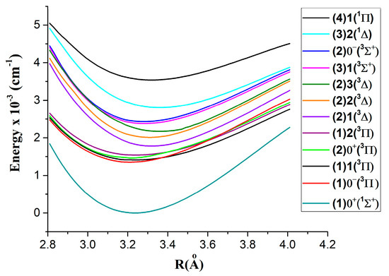
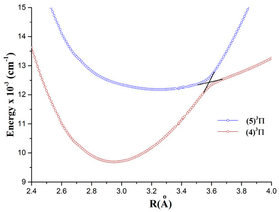
Ab Initio Computational Investigations of Low-Lying Electronic States of Yttrium Lithide and Scandium Lithide
by Jean Tabet, Nancy Zgheib, Sylvie Magnier and Fadia Taher
Computation 2026, 14(1), 14; https://doi.org/10.3390/computation14010014 - 8 Jan 2026
Viewed by 75
Abstract
Ab initio studies using CASSCF/MRCI calculations have been performed to investigate the spectroscopic properties of YLi and ScLi molecules. Our calculations have computed 25 singlet and triplet states for YLi and 37 electronic states for ScLi. The lowest lying states, including the ground [...] Read more.
Ab initio studies using CASSCF/MRCI calculations have been performed to investigate the spectroscopic properties of YLi and ScLi molecules. Our calculations have computed 25 singlet and triplet states for YLi and 37 electronic states for ScLi. The lowest lying states, including the ground state 1+ of YLi, have been investigated for the first time. The spin–orbit coupling in YLi has also been assessed from the splitting between Ω components generated from the lowest triplet lying Λ–S states. Regarding ScLi, the ground state is found to be the (1)3Δ state. Spectroscopic constants, energy levels at equilibrium, permanent dipole moments, and transition dipole moments have also been calculated. The potential energy curves for all calculated states have been displayed to large bond internuclear distances. In both ScLi and YLi, the potential energy curves have shown a small dissociation energy for the lowest states (1) 1,3Δ, (1) 1,3Π and (1) 1,3+. Full article
(This article belongs to the Special Issue Feature Papers in Computational Chemistry)
Show Figures

Figure 1

18 pages, 6167 KB  
Article
Reconfigurable Millimeter-Wave Generation via Mutually Injected Spin-VCSELs
by Yichuan Xiong, Yu Huang, Pei Zhou, Kuenyao Lau and Nianqiang Li
Photonics 2026, 13(1), 28; https://doi.org/10.3390/photonics13010028 - 29 Dec 2025
Viewed by 181
Abstract
We propose a novel scheme for generating high-frequency millimeter-wave signals by exploiting period-one (P1) dynamics in a mutual injection configuration of two spin-polarized vertical-cavity surface-emitting lasers (spin-VCSELs). The frequency of the generated millimeter-wave signal is jointly determined by the birefringence rate of the [...] Read more.
We propose a novel scheme for generating high-frequency millimeter-wave signals by exploiting period-one (P1) dynamics in a mutual injection configuration of two spin-polarized vertical-cavity surface-emitting lasers (spin-VCSELs). The frequency of the generated millimeter-wave signal is jointly determined by the birefringence rate of the spin-VCSEL and the frequency detuning between the two lasers. By leveraging the complex dynamics of free-running spin-VCSELs, we explore the coupling of three distinct dynamic states: continuous-wave (CW) injected into CW, CW injected into P1 oscillation, and P1 oscillation injected into P1 oscillation. Our results reveal that these interactions not only enhance the tunability and frequency of the millimeter-wave output but also significantly reduce the linewidth, offering substantial advantages for reconfigurable photonic systems. This study demonstrates the remarkable potential of mutually injected spin-VCSELs for generating high-performance, tunable photonic millimeter waves and highlights their promising applications in advanced communication and radar systems. Full article
Show Figures

Figure 1

20 pages, 3528 KB  
Article
Sextuple-Q Spin States in Centrosymmetric Hexagonal Magnets
by Satoru Hayami
Magnetism 2026, 6(1), 4; https://doi.org/10.3390/magnetism6010004 - 29 Dec 2025
Viewed by 196
Abstract
We theoretically investigate multiple-Q instabilities in centrosymmetric hexagonal magnets, formulated as superpositions of independent six ordering wave vectors related by sixfold rotational and mirror symmetries. By employing a spin model that incorporates biquadratic interactions and an external magnetic field, we establish a [...] Read more.
We theoretically investigate multiple-Q instabilities in centrosymmetric hexagonal magnets, formulated as superpositions of independent six ordering wave vectors related by sixfold rotational and mirror symmetries. By employing a spin model that incorporates biquadratic interactions and an external magnetic field, we establish a comprehensive low-temperature phase diagram hosting single-Q, double-Q, triple-Q, and sextuple-Q states, as well as skyrmion crystals with topological charges of one and two. The field evolution of the magnetization, scalar spin chirality, and finite wave-vector magnetic amplitudes reveals a hierarchical buildup of multiple-Q order, accompanied by first-order transitions between topologically distinct and trivial phases. At large biquadratic coupling, all six symmetry-related ordering wave vectors coherently participate, giving rise to two sextuple-Q states under magnetic fields and to another spontaneous sextuple-Q state even at zero field. The latter zero-field sextuple-Q state represents a fully developed sixfold interference pattern stabilized solely by the biquadratic interaction, characterized by alternating skyrmion- and antiskyrmion-like cores with vanishing uniform scalar spin chirality. These findings establish a unified framework for understanding hierarchical multiple-Q ordering and demonstrate that the interplay between bilinear and biquadratic interactions under hexagonal symmetry provides a generic route to complex noncoplanar magnetism in centrosymmetric itinerant systems. Full article
Show Figures

Figure 1

14 pages, 990 KB  
Article
Double-Spin Asymmetry ALTcosϕS in the Lambda Production SIDIS Process Within the Collinear Framework
by Keyang She, Hui Li and Xiaoyu Wang
Symmetry 2026, 18(1), 44; https://doi.org/10.3390/sym18010044 - 25 Dec 2025
Viewed by 180
Abstract
We study the longitudinal–transverse double-spin asymmetry ALTcosϕS in semi-inclusive deep inelastic scattering (SIDIS) with Λ hyperon production, where a longitudinally polarized beam scatters off a transversely polarized proton target. After integrating over the final-state hadron transverse momentum, the [...] Read more.
We study the longitudinal–transverse double-spin asymmetry ALTcosϕS in semi-inclusive deep inelastic scattering (SIDIS) with Λ hyperon production, where a longitudinally polarized beam scatters off a transversely polarized proton target. After integrating over the final-state hadron transverse momentum, the asymmetry contributes in two parts: the convolution of the twist-3 distribution function gT(x) of the proton target with the unpolarized fragmentation function D1(z) for Λ, and the convolution of the transversity distribution h1(x) of the proton target with the twist-3 fragmentation function E˜(z) for Λ. We present predictions for the cosϕS asymmetry in CLAS12, COMPASS, and EicC kinematical regions. The numerical results are sizeable. In particular, E˜(z) dominates in the large-z region, suggesting that measuring the ALTcosϕS asymmetry will offer a promising way to access the twist-3 fragmentation function of the Λ hyperon as well as the flavor separation of the distribution functions. Full article
(This article belongs to the Section Physics)
Show Figures

Figure 1

14 pages, 1227 KB  
Article
Exciton Self-Splitting: One More Reason for Poor Photovoltaic Performance of Non-Fullerene Acceptors
by Denis S. Baranov, Elena S. Kobeleva, Mikhail N. Uvarov, Ivan A. Molchanov, Alexey A. Dmitriev, Maxim S. Kazantsev, Vitalii I. Sysoev, Aleksandr S. Sukhikh, Evgeny A. Mostovich and Leonid V. Kulik
Energies 2026, 19(1), 104; https://doi.org/10.3390/en19010104 - 24 Dec 2025
Viewed by 293
Abstract
Novel A-D-A (acceptor–donor–acceptor)-type molecules were synthesized and tested in organic photovoltaics (OPV) devices. For a pristine film of compound 1b with a 2,2′-(naphtho[2,3-b]thiophene-4,9-diylidene)dipropanedinitrile A unit and carbazole-based donor D unit, efficient exciton splitting by intermolecular electron transfer was proved. The observation [...] Read more.
Novel A-D-A (acceptor–donor–acceptor)-type molecules were synthesized and tested in organic photovoltaics (OPV) devices. For a pristine film of compound 1b with a 2,2′-(naphtho[2,3-b]thiophene-4,9-diylidene)dipropanedinitrile A unit and carbazole-based donor D unit, efficient exciton splitting by intermolecular electron transfer was proved. The observation of the out-of-phase electron spin echo in the pristine 1b film unambiguously testifies to a high yield of charge-transfer state formation. Despite this, the yield of free charge generation in pristine 1b is low due to the fast geminate and non-geminate recombination. This process is detrimental for OPV performance when the compound capable of exciton self-splitting is used as an acceptor component of the bulk heterojunction (BHJ) active layer because of the fast charge recombination within this component. Exciton self-splitting can be of general significance for push–pull OPV acceptors or donors in bulk heterojunctions, although it can be masked by other photophysical processes in the BHJ active layer. This is the reason why molecules with a strong intermolecular charge-transfer band are not suitable components of the active layer of efficient OPV devices. Full article
(This article belongs to the Section A2: Solar Energy and Photovoltaic Systems)
Show Figures

Graphical abstract

20 pages, 3311 KB  
Article
DFT Calculation of the Electronic Properties of Cubic Ti3Sb Crystals with Adsorbed and/or Partially Substituted Nitrogen
by Mirsalim M. Asadov, Solmaz N. Mustafaeva and Saida O. Mammadova
Alloys 2026, 5(1), 1; https://doi.org/10.3390/alloys5010001 - 24 Dec 2025
Viewed by 208
Abstract
Intermetallic alloys based on A15-type compounds, including cubic Ti3Sb, attract increasing interest due to their tunable electronic properties and potential for surface-related functional applications. Here, the interaction of nitrogen with Ti3Sb is systematically investigated using spin-polarized density functional theory [...] Read more.
Intermetallic alloys based on A15-type compounds, including cubic Ti3Sb, attract increasing interest due to their tunable electronic properties and potential for surface-related functional applications. Here, the interaction of nitrogen with Ti3Sb is systematically investigated using spin-polarized density functional theory within the GGA-PBE approximation. Nitrogen adsorption was analyzed on the Ti3Sb (111), (100), and (110) surfaces by considering top, bridge, and hollow sites at different surface coverages. Low nitrogen coverage was found to minimize lateral adsorbate interactions, allowing reliable evaluation of single-atom adsorption energies. Among the studied configurations, nitrogen adsorption at the hollow site of the Ti3Sb (111) surface is energetically most favorable. In addition, partial substitution of Ti or Sb atoms by nitrogen in Ti3Sb supercells was examined to assess its effect on bulk electronic properties. Nitrogen incorporation leads to pronounced modifications of the electronic band structure, density of states, and local magnetic moments, with a strong dependence on crystallographic direction. The calculated results reveal distinct electronic anisotropies originating from direction-dependent band dispersion and associated effective carrier masses. These findings clarify the role of nitrogen in tailoring both surface and bulk electronic characteristics of Ti3Sb and provide a theoretical basis for the targeted design of A15-type intermetallic materials for sensing, catalytic, and energy-related applications. Full article
Show Figures

Figure 1

16 pages, 2244 KB  
Article
Fine Structure Investigation and Laser Cooling Study of the CdBr Molecule
by Ali Mostafa, Israa Zeid, Nariman Abu El Kher, Nayla El-Kork and Mahmoud Korek
Int. J. Mol. Sci. 2026, 27(1), 184; https://doi.org/10.3390/ijms27010184 - 23 Dec 2025
Viewed by 262
Abstract
The ab initio calculations of the electronic structure of the low-lying electronic states of the CdBr molecule are characterized in the 2S+1Λ(+/−) and Ω(+/−) representations using the complete active-space self-consistent field (CASSCF) method, followed by the multireference configuration interaction (MRCI) [...] Read more.
The ab initio calculations of the electronic structure of the low-lying electronic states of the CdBr molecule are characterized in the 2S+1Λ(+/−) and Ω(+/−) representations using the complete active-space self-consistent field (CASSCF) method, followed by the multireference configuration interaction (MRCI) method with Davidson correction (+Q). The potential energy curves are investigated, and spectroscopic parameters (Te, Re, ωe, Be, αe, μe, and De) of the bound states are determined and analyzed. In addition, the rovibrational constants (Ev, Bv, Dv, Rmin, and Rmax) are reported for the investigated states with and without spin–orbit coupling. The electronic transition dipole moment curve (TDMC) is obtained for the C2Π1/2 − X2Σ+1/2 transition. Based on these data, Franck–Condon factors (FCFs), Einstein coefficient of spontaneous emission Aν’ν, radiative lifetime τ, vibrational branching ratios, and the associated slowing distance are evaluated. The results indicated that CdBr is a promising candidate for direct laser cooling, and a feasible cooling scheme employing four pumping and repumping lasers in the ultraviolet region with suitable experimentally accessible parameters is presented. These findings provide practical guidance for experimental spectroscopists exploring ultracold diatomic molecules and their applications. Full article
Show Figures

Figure 1

18 pages, 4303 KB  
Article
Characterization and Spectroscopic Studies of the Morin-Zinc Complex in Solution and in PMMA Solid Matrix
by Malgorzata Sypniewska, Beata Jędrzejewska, Marek Pietrzak, Marek Trzcinski, Robert Szczęsny, Mateusz Chorobinski and Lukasz Skowronski
Appl. Sci. 2026, 16(1), 91; https://doi.org/10.3390/app16010091 - 21 Dec 2025
Viewed by 280
Abstract
Flavonoids, natural organic compounds from the polyphenolic group with broad bioactive and pharmaceutical properties, are strong ligands for many metal ions. This work describes the formation of the complex between Zn(II) and morin. The synthesized compound is characterized using three analytical techniques, i.e., [...] Read more.
Flavonoids, natural organic compounds from the polyphenolic group with broad bioactive and pharmaceutical properties, are strong ligands for many metal ions. This work describes the formation of the complex between Zn(II) and morin. The synthesized compound is characterized using three analytical techniques, i.e., 1H NMR, IR, and thermal gravimetric analysis. Importantly, the complex was successfully obtained in the form of a solid, which enables its further physicochemical and structural characterization. Physicochemical characterization of the Morin-Zn complex was performed by steady-state and time-resolved spectroscopy. The absorption spectrum of the complex contains two main bands at ca. 407–415 nm and ca. 265 nm, and the complex emits yellow-green light with higher intensity than the free ligand. In the next step, morin and zinc complex were dispersed in a PMMA (poly (methyl methacrylate)) polymer matrix, and respective thin layers were produced. The studied thin films were deposited on silicon substrates by using the spin-coating method and characterized by X-ray photoelectron spectroscopy (XPS), Atomic Force Microscopy (AFM), Spectroscopic Ellipsometry (SE), UV-VIS spectroscopy, and photoluminescence (PL). The absorption of thin layers showed, similarly to solutions, the presence of two transitions: π→π* and n→π*, and a bathochromic shift for the morin-zinc complex compared to morin. The photoluminescence of the complex thin film showed two bands, the first in the range of 380–440 nm corresponding to PMMA, and the second with a maximum at 490 nm, derived from the synthesized compound. Full article
Show Figures

Figure 1

24 pages, 2173 KB  
Article
Quantum Dot Thermal Machines—A Guide to Engineering
by Eugenia Pyurbeeva and Ronnie Kosloff
Entropy 2026, 28(1), 2; https://doi.org/10.3390/e28010002 - 19 Dec 2025
Viewed by 235
Abstract
Continuous particle exchange thermal machines require no time-dependent driving, can be realised in solid-state electronic devices, and can be miniaturised to nanometre scale. Quantum dots, providing a narrow energy filter and allowing to manipulate particle flow between the hot and cold reservoirs are [...] Read more.
Continuous particle exchange thermal machines require no time-dependent driving, can be realised in solid-state electronic devices, and can be miniaturised to nanometre scale. Quantum dots, providing a narrow energy filter and allowing to manipulate particle flow between the hot and cold reservoirs are at the heart of such devices. It has been theoretically shown that through mitigating passive heat flow, Carnot efficiency can be approached arbitrarily closely in a quantum dot heat engine, and experimentally, values of 0.7ηC have been reached. However, for practical applications, other parameters of a thermal machine, such as maximum power, efficiency at maximum power, and noise—stability of the power output or heat extraction—take precedence over maximising efficiency. We explore the effect of the internal microscopic dynamics of a quantum dot on these quantities and demonstrate that its performance as a thermal machine depends on few parameters—the overall conductance and three inherent asymmetries of the dynamics: entropy difference between the charge states, tunnel coupling asymmetry, and the degree of detailed balance breaking. These parameters act as a guide to engineering the quantum states of the quantum dot, allowing to optimise its performance beyond that of the simplest case of a two-fold spin-degenerate transmission level. Full article
(This article belongs to the Special Issue Thermodynamics at the Nanoscale)
Show Figures

Figure 1

14 pages, 1735 KB  
Article
Entanglement Negativity and Exceptional-Point Signatures in a PT-Symmetric Non-Hermitian XY Dimer: Parameter Regimes and Directional-Coupler Mapping
by Linzhi Jiang, Weicheng Miao, Wen-Yang Sun and Wenchao Ma
Photonics 2025, 12(12), 1239; https://doi.org/10.3390/photonics12121239 - 18 Dec 2025
Viewed by 392
Abstract
We investigate a non-Hermitian two-spin XY model driven by alternating real and imaginary transverse fields and derive an explicit analytic formula for the ground-state entanglement negativity. This provides a systematic analytic characterization of how ground-state entanglement behaves across PT-symmetry breaking in a non-Hermitian [...] Read more.
We investigate a non-Hermitian two-spin XY model driven by alternating real and imaginary transverse fields and derive an explicit analytic formula for the ground-state entanglement negativity. This provides a systematic analytic characterization of how ground-state entanglement behaves across PT-symmetry breaking in a non-Hermitian spin dimer. In the PT-symmetric regime, the anisotropy γ enhances entanglement, whereas the real field h0 suppresses it; in the PT-broken regime dominated by φ3, the negativity decreases monotonically with the imaginary field η0. Moreover, the first derivative of the negativity exhibits a cusp-type non-analyticity at the exceptional point (EP), consistent with the ground-state phase boundary and revealing a direct correspondence between entanglement transitions and exceptional-point physics. To facilitate implementation in integrated quantum photonics, we map h0,η0,γ onto the device parameters Δβ,g,κ of a PT-symmetric directional coupler and propose a two-qubit quantum state tomography readout based on local Pauli measurements, thereby offering a concrete entanglement-based probe of exceptional-point signatures in a realistic photonic platform. Within this model, we identify parameter regimes for observing this signature: a cusp feature is expected near Δβ0 and gκ, which remains observable under small detuning and moderate loss mismatch. These results offer a testable avenue for entanglement-based probing of PT-symmetry breaking and may inform device characterization and quantitative assessment in integrated quantum photonics. These combined advances provide both analytical insight into non-Hermitian entanglement structure and a feasible route toward experimentally diagnosing PT-symmetry breaking using entanglement. Full article
(This article belongs to the Special Issue Quantum Optics: Communication, Sensing, Computing, and Simulation)
Show Figures

Figure 1

14 pages, 1672 KB  
Article
Tuning of Thermally Activated Delayed Fluorescence Properties in the N,N-Diphenylaminophenyl–Phenylene–Quinoxaline D–π–A System
by Masaki Nagaoka, Hiroaki Chihara, Shintaro Kodama, Takeshi Maeda, Shin-ichiro Kato and Shigeyuki Yagi
Compounds 2025, 5(4), 59; https://doi.org/10.3390/compounds5040059 - 16 Dec 2025
Viewed by 270
Abstract
Thermally activated delayed fluorescence (TADF) often achieves high device efficiencies in organic light-emitting diodes. Here we develop TADF dyes, 1-H and 1-Me, based on an N,N-diphenylaminophenyl–phenylene–quinoxaline donor–π–acceptor system, which contains an unsubstituted 1,4-phenylene and a 2,5-dimethyl-1,4-phenylene π-spacer, respectively. In [...] Read more.
Thermally activated delayed fluorescence (TADF) often achieves high device efficiencies in organic light-emitting diodes. Here we develop TADF dyes, 1-H and 1-Me, based on an N,N-diphenylaminophenyl–phenylene–quinoxaline donor–π–acceptor system, which contains an unsubstituted 1,4-phenylene and a 2,5-dimethyl-1,4-phenylene π-spacer, respectively. In UV–vis absorption spectra in toluene at room temperature, 1-H showed a relatively intense shoulder band at 400 nm, whereas 1-Me had a weak, blue-shifted shoulder at 386 nm, indicating 1-Me adopts a more twisted π-conjugation system. On the other hand, the photoluminescence (PL) wavelength of 1-MePL; 558 nm) under the same conditions was slightly red-shifted in comparison with that of 1-HPL; 552 nm), due to larger structural relaxation of 1-Me. From PL lifetime measurements, both the dyes showed TADF in 10 wt%-doped poly(methyl methacrylate) film, and their PL quantum yields were moderate (ΦPL; ca. 0.5 at 300 K). As for the photokinetics, 1-Me exhibited larger rate constants for intersystem crossing and reverse intersystem crossing than 1-H due to the small excited-state singlet–triplet energy gap (ΔEST) of 1-Me. Furthermore, theoretical calculations indicated the triplet state of 1-Me is destabilized by localization of the spin density, resulting in the reduced ΔEST to facilitate TADF. Full article
(This article belongs to the Special Issue Feature Papers in Compounds (2025))
Show Figures

Figure 1

12 pages, 571 KB  
Article
Partition Function Zeros of the Spin-One Ising Model on the Honeycomb Lattice in the Complex Temperature Plane
by Seung-Yeon Kim
Entropy 2025, 27(12), 1258; https://doi.org/10.3390/e27121258 - 15 Dec 2025
Viewed by 242
Abstract
The spin-one Ising model on the honeycomb lattice has never been solved exactly in spite of its simplicity. Even its exact critical temperature is not known. The exact integer values for the density of states of the spin-one Ising model on the [...] Read more.
The spin-one Ising model on the honeycomb lattice has never been solved exactly in spite of its simplicity. Even its exact critical temperature is not known. The exact integer values for the density of states of the spin-one Ising model on the L×2L honeycomb lattice are enumerated up to L=14. The partition function zeros in the complex temperature plane of the spin-one Ising model on the L×2L honeycomb lattice are exactly obtained, using the density of states. The properties of the partition function zeros in the complex temperature plane are related to the behaviors of various thermodynamic functions, in particular, their singular behaviors. The unknown properties of the spin-one Ising model on the honeycomb lattice are investigated, based on its partition function zeros in the complex temperature plane. Full article
(This article belongs to the Special Issue Ising Model—100 Years Old and Still Attractive)
Show Figures

Figure 1

Back to TopTop