Next Article in Journal
An Empirical Data Model for Spare Parts Management: Linking Maintenance, Logistics, Inventory, and Equipment Data to Bridge Information Silos and Reduce Data-Gathering Efforts
Previous Article in Journal
Knee Extension Strength and Mobility as Key Predictors of Falls in Older Adults: Implications for Fall Prevention Programs
Previous Article in Special Issue
Comparative Analysis of Multispectral LED–Sensor Architectures for Scalable Waste Material Classification
 
 
Font Type:
Arial Georgia Verdana
Font Size:
Aa Aa Aa
Line Spacing:
Column Width:
Background:
Article

Characterization and Spectroscopic Studies of the Morin-Zinc Complex in Solution and in PMMA Solid Matrix

by
Malgorzata Sypniewska
1,
Beata Jędrzejewska
2,
Marek Pietrzak
2,
Marek Trzcinski
1,
Robert Szczęsny
3,
Mateusz Chorobinski
1 and
Lukasz Skowronski
1,*
1
Division of Surface Science, Faculty of Chemical Technology and Engineering, Bydgoszcz University of Science and Technology, Kaliskiego 7, 85-796 Bydgoszcz, Poland
2
Faculty of Chemical Technology and Engineering, Bydgoszcz University of Science and Technology, Seminaryjna 3, 85-326 Bydgoszcz, Poland
3
Faculty of Chemistry, Nicolaus Copernicus University in Torun, Gagarina 7, 87-100 Torun, Poland
*
Author to whom correspondence should be addressed.
Appl. Sci. 2026, 16(1), 91; https://doi.org/10.3390/app16010091 (registering DOI)
Submission received: 2 December 2025 / Revised: 17 December 2025 / Accepted: 19 December 2025 / Published: 21 December 2025

Abstract

Flavonoids, natural organic compounds from the polyphenolic group with broad bioactive and pharmaceutical properties, are strong ligands for many metal ions. This work describes the formation of the complex between Zn(II) and morin. The synthesized compound is characterized using three analytical techniques, i.e., 1H NMR, IR, and thermal gravimetric analysis. Importantly, the complex was successfully obtained in the form of a solid, which enables its further physicochemical and structural characterization. Physicochemical characterization of the Morin-Zn complex was performed by steady-state and time-resolved spectroscopy. The absorption spectrum of the complex contains two main bands at ca. 407–415 nm and ca. 265 nm, and the complex emits yellow-green light with higher intensity than the free ligand. In the next step, morin and zinc complex were dispersed in a PMMA (poly (methyl methacrylate)) polymer matrix, and respective thin layers were produced. The studied thin films were deposited on silicon substrates by using the spin-coating method and characterized by X-ray photoelectron spectroscopy (XPS), Atomic Force Microscopy (AFM), Spectroscopic Ellipsometry (SE), UV-VIS spectroscopy, and photoluminescence (PL). The absorption of thin layers showed, similarly to solutions, the presence of two transitions: π→π* and n→π*, and a bathochromic shift for the morin-zinc complex compared to morin. The photoluminescence of the complex thin film showed two bands, the first in the range of 380–440 nm corresponding to PMMA, and the second with a maximum at 490 nm, derived from the synthesized compound.

1. Introduction

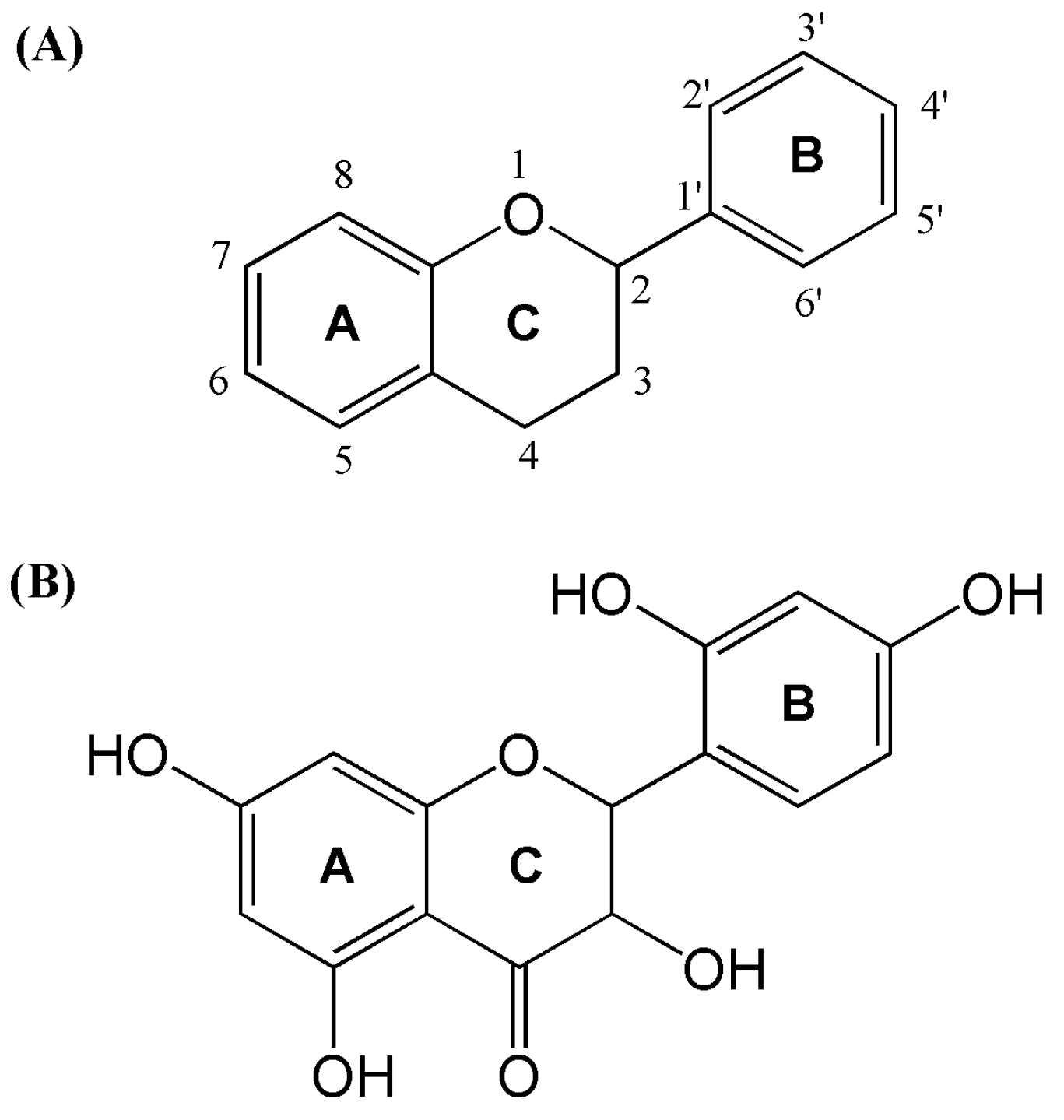
Flavonoids are widely recognized as polyphenolic organic compounds [1,2] that can be found, among others, in plant seeds, bark, or nuts [3]. All flavonoids are composed of flavone (2-phenylchromone) molecules [4]. In flavones, carbon atoms are organized into two aromatic rings (labeled A and B), which are linked by a three-carbon “bridge” (diphenylpropane structure is created), with the central unit being benzopyrone (see Figure 1A) [3]. Different classes of flavonoids are distinguished, such as flavones (flavonones), flavanones, flavanonols, flavonols, flavanols or isoflavonoids, and they differ from each other in the degree of oxidation of the three–carbon bond [1,5]. Individual compounds within each class are mainly distinguished by the number and placement of different groups substituted on the two phenyl rings [6]. For several years, there has been an increasing interest in flavonoid complexes with transition metals [2]. Flavonoids quite easily chelate metal ions via carbonyl and hydroxyl groups [1]. Flavonoid complexes with metal exhibit different properties compared to flavonoids. One aspect is that the solubility of flavonoids is significantly increased when they are chelated with transition metal ions [7]. This is because positively charged metal ions improve lipophilicity in the complexes [8].
Morin (3,5,7,2′,4′-pentahydroxyflavone) (Figure 1B) belongs to the class of flavonols [1,2,9]. It consists of two benzene rings, A and B, which are connected together by a three-carbon linkage constructed into a γ-pyrone ring (C) [1]. This compound is a light-yellow natural plant dye [1], which presents antioxidant, anticancer [10], and anti-inflammatory [11] properties. Additionally, morin has protective effects against UV-B radiation [12]. Another application of morin was its use as a colorimetric reagent for the spectrophotometric determination of metal ions [13]. However, morin itself is a compound sensitive to factors such as light or pH [9]. Therefore, morin–metal complexes are increasingly being created.
Morin can form complexes with p-, d-, and f-electron metal ions due to the location of 3-OH and 4-CO, and 5-OH and 4-CO groups [1,2]. L. Nasso et al. [14] described in their work that morin can act as an antioxidant by chelating low-valent metal ions, such as Fe2+ or Cu2+ [14]. A. Jamiali et al. [3] analyzed the interaction of morin-metal complexes with DNA. They showed that the complexes interact with DNA through an intercalation mode. Therefore, such complexes can be helpful in determining the mechanism of anticancer drugs binding to DNA [3]. E. Woznicka et al. [13] described the physicochemical and antibacterial properties of morin complexes with Tm(III), Yb(III), and Lu(III).
The purpose of our study was to investigate how the complexation of morin with Zn2+ ions affects its photophysical properties in solution and in the PMMA solid matrix. First, we described the synthesis of the complex. A significant result of this study is the successful isolation of the Morin-Zn complex as a solid-state compound, which opens up new possibilities for its further characterization. The material was studied in two physical forms:
as powders, analyzed in solution via spectroscopic techniques,
as thin films, obtained by dispersing the complex in a PMMA (poly(methyl methacrylate)) matrix and depositing it onto silicon substrates via the spin-coating method.
Its structure was analyzed by 1H NMR and IR spectroscopy, and the thermogravimetric method. Then, the steady-state and time-resolved spectroscopy techniques were used to explore the photophysical properties of the Morin-Zn complex tetrahydrofurane. Furthermore, the optical, structural, and morphological properties of thin layers of morin and morin-zinc complex in a PMMA polymer matrix produced by the spin-coating method on quartz and silicon substrates are presented. The properties of these thin films were investigated using UV-VIS spectroscopy, spectroscopic ellipsometry (SE), photoluminescence (PL), X-ray photoelectron spectroscopy (XPS), and atomic force microscopy (AFM). Investigation of the properties of the new morin complexes in the form of a thin film, with PMMA acting as a host matrix, was also an important aspect. Their determination will have an impact on the possible applications of the newly synthesized complex in the future.

2. Materials and Methods

Necessary reagents for synthesis and solvents were obtained from Aldrich Chemical Co. (Saint Louis, MO, USA) and POCh (Gliwice, Poland). All solvents used were of spectroscopic grade and did not require further purification. The Boethius apparatus (Vernon Hills, IL, USA) was utilized to determine the melting point (uncorrected). The 1H NMR spectra were recorded on a Bruker AscendTM 400 NMR spectrometer (Billerica, MA, USA) in dimethylsulfoxide (DMSO-d6) containing the tetramethylsilane (TMS) as an internal standard. The IR spectra were obtained using a Bruker ALPHA spectrophotometer (Bruker, Polska Sp. z o.o., Poznań, Poland), covering the range of 400–4500 cm−1 with the KBr pellet technique. Thermogravimetric analysis (TGA) of the Morin-Zn complex (with a sample weight of 100 mg) was performed in an air atmosphere at a heating rate of 2.5 °C per minute, ranging from room temperature to 600 °C, using the Derivatograph Q-1500 D from MOM (Budapest, Hungary). Steady-state measurements were conducted at room temperature using solvents with varying polarities. Absorption measurements were taken with a Shimadzu UV-Vis Multispec-1501 spectrophotometer (Kyoto, Japan), while emission spectra were recorded using a Hitachi F-7100 spectrofluorometer (Tokyo, Japan).
The fluorescence quantum yield of the dyes was determined by comparing the emitted light to that of a standard fluorescence intensity, as outlined previously [15]. Coumarin 1 in ethanol (A ≈ 0.1 at 366 nm or 404 nm; ϕref = 0.64) was used as a reference [16].
Fluorescence lifetimes were determined from emission decay curves obtained on an Edinburgh Instruments FLS920P spectrometer (Livingston, Scotland), utilizing the time-correlated single photon counting (TCSPC) method. The excitation source was a picosecond diode laser that produces pulses of about 55 ps at a wavelength of 373 nm. Compounds were evaluated at concentrations that resulted in absorbances of 0.2–0.3 in a 10 mm cuvette at 373 nm. The fluorescence decay curves were analyzed by fitting them to double-exponential functions using the FAST program. The average lifetime, τav was calculated based on the determined lifetimes τi and their amplitudes αi as follows:
τ a v = Σ τ i α i Σ α i
Absorption spectra for the thin films were recorded using a spectrophotometer Cary 5000 from Agilent (Santa Clara, CA, USA). The measurements were made in the spectral range from 200 to 600 nm. The luminescent properties of the prepared thin layers on Si substrates were registered by the spectrofluorometer FP-8200 (JASCO International Co., Ltd., Hachioji, Tokyo, Japan) (λex = 320 nm, Xe lamp).
The ellipsometric angles (Ψ and Δ) for the deposited thin layers were recorded for three angles of incidence (65°, 70°, and 75°). The measurements were performed in the spectral range from 200 to 2000 nm. The investigations were made using the V-VASE device (J.A. Woollam Co., Inc., Lincoln, NE, USA).
The surface topography of fabricated films was analyzed using Atomic Force Microscopy (AFM, Innova Bruker, Billerica, MA, USA) with the following scan parameters: size 2 µm × 2 µm with the scan rate of 1 Hz in the tapping mode. The mean surface roughness, i.e., the average roughness ( R a = 1 N i = 1 N y i )) and the root mean square roughness ( R q = 1 N i = 1 N y i 2 )) were determined using the NanoScope Analysis software Version 1.40.
The composition and surface state of the samples were examined using X-ray photoelectron spectroscopy (XPS). The excitation source was an AlKα lamp (1486.6 eV). The energy of the photoelectrons was analyzed using the VG-Scienta R3000 (Uppsala, Sweden) analyser. The energy step was set at ΔE = 100 meV. The obtained spectra were deconvoluted to Gauss-Lorentz shapes using CasaXPS software (Version 2.3.16).

2.1. Synthesis

The synthesis of the Morin-Zn complex was performed based on a modified method reported by S. Subramanian and co-workers [17].
1M Tris-HCl buffer was obtained by dissolving 12.1 g of Tris base (tris(hydroxymethyl)aminomethane) in 80 mL of distilled water and slowly adding 6 mL of concentrated hydrochloric acid dropwise, and then making up to 100 mL.
Morin hydrate (C15H10O7 × H2O; 0.64 g, 2 mmol) was dissolved in 30 mL of ethanol, and then 0.219 g (1 mmol) of zinc acetate dihydrate Zn(CH3CO2)2 × 2H2O was gradually added with stirring. In the next step, 4 mL of 1M Tris-HCl solution was added dropwise to this solution. Then, it was heated in an oil bath and boiled for 8 h. The solution was cooled, and the solvent evaporated (bath temperature 45 °C). Subsequently, 7 mL of ethanol was added, filtered, washed several times with ethanol/water solution (1/3), and dried. Finally, 0.60 g (0.854 mmol) of zinc-morin complex (C30H18O14Zn × 2H2O) was obtained as a yellow powder, yielding 85% (mp > 300 °C (decomposition)).
  • 1H NMR (400 MHz, DMSO-d6) δ (ppm): 12.60 (s, 1H, OH), 11.61 (s, 1H, OH), 10.79 (s, 1H, OH), 9.76 (s, 1H, OH), 7.57 (d, J = 8.7 Hz, 1H), 6.45 (s, 1H), 6.43 (d, J = 9.5 Hz, 1H), 6.24 (s, 1H), 6.18 (s, 1H).
  • IR (KBr) νmax (cm−1): 1654, 1599, 1513, 1438, 1363, 1233, 1181, 1007, 974, 648.

2.2. Thin Films Preparation

In the first stage, a 5% (w/v) solution of PMMA was obtained by dissolving it in tetrahydrofuran (THF) for 7 days. Then, the Morin or Morin-Zn solution with the polymer, 20 mg of powder, was added to the polymer solutions (10 mL) and placed in an ultrasonic bath for approximately 0.5 h. The ratio of the dry mass of PMMA to the additives was 25:1. Thin films of Morin:PMMA and Morin-Zn:PMMA were deposited on a p-Si (100) substrate by the spin-coating method (POLOS SPIN 150i, Putten, Netherlands, 1600 rpm) and then dried for 24 h in an ambient atmosphere and at room temperature.

3. Results and Discussion

3.1. Synthesis and Characterization

This chapter discusses the results of the physicochemical characterization of the morin–zinc complex. The first and second subchapters present the results obtained for powder samples, while the third concerns the characterization of thin films.
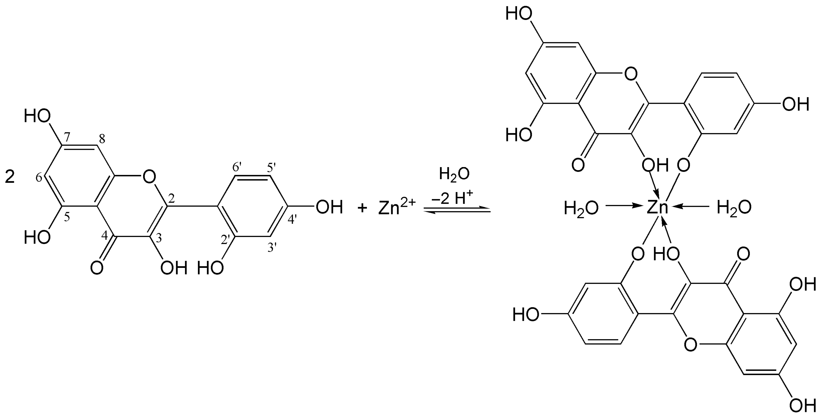
The Zn-Morin complex was prepared in a one-step synthesis, as outlined in Figure 2. The morin hydrate reacts with zinc acetate dihydrate in a 2:1 molar ratio in Tris-HCl buffer to give the complex in 85% yield. Its potential chemical structure was verified by IR and 1H NMR spectroscopy. The 1H and 13C NMR and IR spectra are shown as images in Figures S1–S4 in the Supplementary Materials.
The site of complexation of the Zn ion by morin was proposed based on the analysis of spectroscopic data and analogy to the literature data, and not on the basis of direct structure determination by single crystal X-ray diffraction due to the fine-crystalline nature of the obtained complex.
Different structures of metal-morin complexes depending on the metal cation and the synthesis method are presented in the literature [1,18,19,20]. The most frequently proposed motif is the one in which the metal forms a coordination bond with the oxygen of the ketone group in position 4 and with either the oxygen in position 3 [21,22] or with the oxygen in position 5 [17]. The analysis of the 1H NMR spectrum, consistent with the results obtained by H. Zhang and P. Mei [20], indicates that the bond involves oxygen in the 2′ position and oxygen in the 3 positions, donating electrons to the coordination bond. This is evidenced by the lack of the proton signal from the hydroxyl group in the 2′ position in the 1H NMR spectrum of the complex (δ = 9.37 ppm for morin) and the shift in the signal coming from the proton of the hydroxyl group in the 4′ position (δ = 9.34 ppm for morin and 11.61 ppm for the complex) (see Figure 3).
The formation of such a structure of the complex, which limits the rotation around the bond connecting the aromatic rings and leads to the flattening and stiffening of the molecule, is supported by a significant increase in the fluorescence intensity and the lifetime of the complex compared to morin.
Comparative analysis of the IR spectra (Figure 4) of measured materials is recorded in the 400–4000 cm−1 range, revealing the important spectral changes and, at the same time, similarities. A broad absorption band viewed at 3000–3400 cm−1 in the Morin-Zn complex and its precursor may indicate the presence of OH/H2O stretching vibrations [23]. Simultaneously, the peak at 1660 cm−1 corresponding to the stretching vibrations of the carbonyl group ν(C=O) located at position 4 in the morin molecule is only slightly shifted (to 1653 cm−1) in the IR spectrum of the complex. This means that the morin molecule cannot coordinate a zinc ion from the carbonyl position, as observed in the case of the morin complex with Cu(II) [1] and Cr(III) [18]. Analogously to the complex of morin with Cr(III) [18], the frequencies ν(C–O–C) and ν(C=C) appear at 1311 cm−1 and 1618 cm−1 in morin, and at 1328 cm−1 and 1599 cm−1 in the complex, do not differ significantly. This suggests that ring oxygen is not involved in the complexation process [1,18,19]. In comparison, the visible changes are located at low frequency. The new signal at 649 cm−1 is related to ν(Zn–O) stretching vibrations, indicating the formation of a metal complex [24]. The IR spectrum of free morin does not show such a band [1,18].
The TGA plot (Figure 5) shows the decomposition of the Morin-Zn complex in the air at a heating rate of 2.5 °C per minute. The decomposition occurs in two mass-loss steps (blue curve), i.e., dehydration and decomposition. The complex is thermally stable up to 90 °C, but in the temperature range of 90–175 °C, hydrated water probably evaporates, resulting in a corresponding reduction in sample mass of approximately 10%. This assumption is also partially supported by the IR study. The dehydrated complex remains stable within the temperature range of 180 to 280 °C. At a temperature of approx. 290 °C, an intensive process of compound decomposition begins, causing 70% weight loss. It is a strongly exothermic process. At a temperature of approx. 400 °C, only zinc oxide is likely to remain in the sample since the thermal study is conducted under an air flow.

3.2. UV-Vis and Fluorescence Spectroscopic Study of the Complex

The electronic absorption spectra of morin and its Zn2+ complex recorded in tetrahydrofuran (THF) are presented in Figure 6. For comparison, spectra obtained in other solvents—1,4-dioxane (1,4-Dx), diethyl ether (Et2O), N,N-dimethylformamide (DMF), methanol (MeOH), and ethanol (EtOH)—are shown in the Supplementary Information (Figure S5). Among these solvents, THF was selected for detailed discussion as it provided the most suitable environment, ensuring good solubility of both morin and PMMA, which was used as the polymer matrix in subsequent experiments.
Analysis of the UV-VIS absorption spectra of free morin and its complex with the Zn(II) ion allows the identification of significant electronic changes resulting from the formation of a chelate bond. According to the literature [13,25,26], two typical absorption bands are observed for free morin. The long-wavelength band is localized within the B-ring conjugated with the carbonyl of the C ring, and the short-wavelength one within the A ring and ring C. It is related to the benzoyl system [27].
The Morin-Zn complex, similarly to morin, also has two main absorption bands of high intensity in solutions. Both of them have π→π* character. However, the long-wavelength band covers a weak band associated with the n→π* transition due to the presence of the carbonyl group [1,25,28]. It corresponds to the S0→S1 molecular transition, while the short-wavelength band comes from the transition to higher energy levels. The molar absorption coefficient of Morin-Zn complex is 44,700 M−1cm−1 in THF and changes with the solvent. This value indicates an almost three-fold increase in the absorption intensity of the complex compared to free morin (15,700 M−1cm−1). Moreover, the complexation of morin with Zn causes a red shift in the absorption spectra in the solvents tested (57 nm in THF), with the exception of DMF, for which the absorption maximum shifts by 5 nm towards shorter wavelengths (Table 1). Typically, this bathochromic shift occurs due to the extension of the conjugated system through complexation [13,25,29] and the rigidification of the benzene ring in the cinnamoyl group, which promotes the delocalization of electrons across the molecule. Thus, some authors suggest that this shift is the result of charge transfer from morin to the metal center (LMCT; Ligand to Metal Charge Transfer) [28]. Other researchers claim that complexation promotes the reduction in the HOMO-LUMO gap in the morin molecule [28]. The shift in the long-wavelength absorption band toward shorter wavelengths in DMF may be due to its nature. DMF is a very strong hydrogen bond acceptor, which “pulls” a proton from the 3-OH group, preventing the proton transfer between 3-OH···O=C(4). Due to the weakening of the π coupling, the π→π* transition shifts to a higher energy.
The photophysical data obtained for morin and its Zn complex are collected in Table S1. The position of the UV-VIS spectrum of the tested Zn-complex in apolar solvents is rather independent of the polarity of the environment. The main absorption band is at 415 nm in 1,4-dioxane and at 417 nm in DMF. In polar protic solvents, the maximum also varies slightly from 410 nm in ethanol to 408 nm in methanol.
Figure 7 illustrates fluorescence spectra in tetrahydrofuran for morin and its Zn-complex. The emission spectra of all tested solvents are presented in Figure S6 in the ESI File.
The fluorescence spectra of the compounds tested in THF reveal a Gaussian-like band between 450 and 650 nm for both morin and its zinc complex (see Figure 7 and Figure S6 in the ESI file). The fluorescence band broadening observed for free morin can be attributed to the ESIPT mechanism, leading to the coexistence of emission from the original flavonol and tautomeric forms in the excited state. The phototautomer is formed by the transfer of a proton from the 3-hydroxy group to the carbonyl group [30,31,32]. As studies on galangin have shown [33], the proton in the 3-OH group is induced to trigger the ESIPT process, while the intramolecular hydrogen bond of the 5-OH group is broken by charge transfer and redistribution. Zn2+ coordination prevents ESIPT by blocking the 3-OH group, which causes dominance of one emission form and band narrowing. The observed independence of the shape and position of the fluorescence band from the excitation wavelength (Figure 8b) suggests that the emission originates from the same excited state, regardless of the energy level at which excitation occurs. This effect results from very rapid vibrational relaxation (internal conversion) to the lowest vibrational level of the S1 state before emission, consistent with the so-called Kasha rule [34]. Additionally, the overlap between the fluorescence excitation spectrum and the absorption spectrum indicates (Figure 8a) that the main absorption transitions correspond to the same states that subsequently participate in fluorescence. In other words, the emission is “powered” by the same absorption transitions, indicating the homogeneity of the fluorophore and the absence of significant subpopulations emitting from different states.
The shift in the fluorescence spectrum of the Morin-Zn complex in solvents such as, EtOH, MeOH, 1,4-Dx, Et2O, and THF is minimal, reaching only a few nanometers at most. However, in DMF, this shift exceeds 70 nm (see Table S1). This indicates that the microenvironment around the fluorophore and complexation do not significantly affect fluorescence position in most cases. The red shift in the wavelength of the emission spectra of the complex and its precursor in DMF can be attributed to the lack of peak symmetry and the solvent’s nature. A strong peak occurs around 580 nm, and a second weak emission band at a shorter wavelength after excitation at 404 nm. A comparable effect can be seen in the fluorescence spectra of the morin ligand dissolved in ethanol. However, the position of the fluorescence bands and the fluorescence excitation, as in DMF, do not depend on the excitation wavelength (Figure S7). As described by Demidov et al. [30], the increase in the activation barrier for the proton transfer reaction in a polar environment and the formation of intermolecular hydrogen bonds in protic solvents may result in the appearance of a fluorescence band (or shoulder) shifted towards shorter wavelengths relative to the main band, corresponding to the original flavonol form.
The intensity of the emission peaks varied substantially with the polarity of the solvent; however, it was not a monotonic change. The fluorescence quantum yield of morin is lower than that of its complex and does not exceed 5% in the tested solvents. The significant increase in fluorescence intensity is observed only in 1,4-dioxane, for which ϕFl is 14.2%, probably because the less polar hydrophobic environment limits the movement of the molecule, preventing non-radiative decay. On the other hand, the ϕFl values for Morin-Zn complex in diethyl ether, 1,4-dioxane, and DMF are 46.0%, 27.1%, and 10.3%, respectively. In fact, complexity alters the molecule’s geometry by extending the conjugated π system due to the introduction of an additional ligand molecule. This process stiffens the molecule and decreases the HOMO-LUMO energy gap [28] compared to the ligand. Consequently, the fluorescence intensity increases.
Since morin and its complex do not show clear positive or negative solvatochromism, the Stokes shift also does not show regularity with the change in solvent polarity. The large Stokes shift (5445–8178 cm−1) observed for morin indicates notable differences between the Franck–Condon state and the excited state [35]. Comparing the ligand with its complex, the latter shows smaller Stokes shifts and higher fluorescence quantum yield (Table S1). Considering the planar molecular geometry in both the original flavonol and the phototautomeric forms, we can conclude that the larger Stokes shift values observed for morin are due to the excited photoinduced intramolecular proton transfer (ESIPT) and to the structural features of the solvation shell in the ground state [30,31,32,33].
The lifetimes of the excited states were determined by analyzing the fluorescence decay curves obtained through a single photon counting method, as illustrated in Figure 9 and Figures S8–S14.
The fluorescence lifetime (τ) and quantum yield (ϕ) of morin and its Zn–complex are presented in Tables S1 and S2, respectively. The values of τ and ϕFl appear to be influenced by both the complexation process and the polarity of the solvent. Complexation prevents the phenyl ring from rotating around the single bond connecting the B and C rings, which flattens and stiffens the molecule. As a result, the fluorescence intensity and lifetime of the complex show a significant increase when compared to morin. In particular, the largest increase in the average τ can be observed for the Morin-Zn complex in polar protic solvents, i.e., twice for EtOH and once for MeOH. In contrast, the ϕFl values increase approximately 3- and 8-fold, respectively. The highest increase in fluorescence quantum yield, more than 20 times, was observed in THF. This is crucial for enhancing the radiative deactivation processes of its excited state. The radiative transition rate constants (kr = ϕFl τ−1) of the complex are greater than those for free morin, which correlates with a reduction in non-radiative rate constants, internal conversion, and intersystem transition.

3.3. Thin Films Characterization

The UV-VIS spectra of a thin layer of morin (Morin:PMMA) and morin complex with zinc (Morin-Zn:PMMA) in a PMMA polymer matrix are shown in Figure 10. As in solution, two main bands are observed for the morin layer in the polymer matrix. The first band at 372 nm is assigned to the transitions located in the B ring of the cinnamoyl system (π→π* transition) (see Figure 6a). The second band at 268 nm is assigned to the absorption of the A ring of the benzoyl system [23,36,37]. In the case of the Morin-Zn complex in the PMMA matrix, absorption bands at 270 nm are observed, corresponding to the absorption of the A ring, and a band at 415 nm corresponding to the absorption of the B ring. Compared to the free morin layer, the morin-zinc complex shows a significant bathochromic shift from 372 nm to 415 nm. This shift is attributed to the strong conjugation of the Zn(II)-morin system. This conjugation is induced by the formation of the ring involving the 3-OH and 4-oxo groups combined with the participation of the phenolic oxygen atom of the B-ring in the formation of the Zn(II)-morin coordination environment [23,36,37,38].
Figure 11 shows the PL spectrum for the Morin and Morin-zinc complex in the PMMA polymer matrix at 320 nm excitation. In the case of morin containing thin layers, an absorption band is observed in the range of 380–450 nm, corresponding to the PMMA polymer [39]. The band derived from morin in the case of a thin layer, which is present in the solutions at about 500 nm, has been quenched. In the case of a thin layer of the complex in the polymer matrix, two bands are observed: the first, in the range of 380–450 nm, corresponds to PMMA, and the second, in the range of 460–520 nm, with a maximum at 500 nm.
The two-dimensional AFM images scanned over a surface area of 2 × 2 µm2 are shown in Figure 12. The thin layer of Morin:PMMA is quite smooth and shows low roughness (Ra = 4.5 nm and Rq = 5.8 nm). In the case of the thin layer of Morin-Zn:PMMA complex, agglomerates (with a lateral size of 200–400 nm and a height of 70–110 nm) appeared on the entire sample surface. The following roughness parameters were determined from the AFM images: Ra = 23.3 nm and Rq = 27.6 nm. Such results may result from the lower solubility of the zinc complex in the THF-PMMA mixture compared to the free ligand.
The five-medium optical model of a sample (Si/SiO2/organic layer/surface rough/ambient) see Figure 13, was used to determine the real (n) part of the complex refractive index ( n ~ ) and the extinction coefficient (k), where n ~ = n i k , of the fabricated Morin:PMMA and Morin-Zn:PMMA thin films and thicknesses of the organic (do) and the surface rough (dr) layers. Values of n ~ of Si and SiO2 were taken from [40]. The optical constants of the organic layer were parameterized using the following equation [40,41]:
n ~ 2 = ε + j G a u s s ( A j , E j , B r j ) .
In Equation (2) ε is a high-frequency dielectric constant, whereas quantities Aj, Ej, and Brj are the amplitude, energy, and broadening of the j-th Gaussian oscillator. The mathematical formula of the Gaussian-type oscillator can be found in [40,41]. The surface rough layer was described as an effective medium (the Bruggeman Effective Model Approximation) [40,41]. The quality of the model was investigated using the mean squared error (χ2) [40,41]:
χ 2 = 1 N P j Ψ j m o d Ψ j e x p σ Ψ j 2 + Δ j m o d Δ j e x p σ Δ j 2 .
In Equation (3), N is the number of measured ellipsometric Ψ and Δ azimuths, and P means the number of fitted model parameters. Quantities Ψ j m o d ,   Ψ j e x p , Δ j m o d   and   Δ j e x p are experimental ( Ψ j e x p and Δ j e x p ) and calculated ( Ψ j m o d and Δ j m o d ) ellipsometric azimuths, while σ Ψ j and σ Δ j are the standard deviations of Ψ and Δ, respectively. The model parameters as well as χ2 values for the obtained thin films are summarized in Table 1.
An example of measured and calculated Ψ and Δ ellipsometric azimuths for the Morin:PMMA sample is presented in Figure 13. The thickness of the Morin:PMMA film was found to be do = 55 ± 1 nm, and the thickness of the rough layer—dr = 1 ± 1 nm. The low value of dr means that the film is smooth (see Figure 12), and this result agrees well with roughness parameters obtained from the AFM images (see Table 1). The thicknesses obtained for the Morin-Zn:PMMA films are: do = 26 ± 4 nm and dr = 22 ± 4 nm. The quite high thickness of the rough layer (compared to the value of do) suggests that the Morin-Zn:PMMA thin film tends to form aggregates. The AFM images also show these topographic features (see Figure 12).
The real part of the complex refractive index (n) and the extinction coefficient (k) of the films are presented in Figure 14A,B. The n and k spectra exhibit the semiconducting behavior of the organic films, i.e., the extinction coefficient equals 0 in the IR (and partially in VIS) spectral range, while the real part of n shows the normal dispersion relation, i.e., decreases with the increase in the wavelength: from 1.583@650 nm to 1.553@2000 nm for the Morin:PMMA sample and from 1.593@650 nm to 1.556@2000 nm for the Morin-Zn:PMMA specimen (see Figure 14A).
The band gap energy (Eg) of the fabricated thin films was determined using the Tauc method [42]:
α h ν = B h ν E g m .
In Equation (4) α is the absorption coefficient, and is the energy of an incident photon. The exponent m is associated with the type of transition. Its value is equal to ½ for the direct allowed transition, 3/2 for the direct forbidden transition, 2 for the indirect allowed transition, and 3 for the indirect forbidden transition. In this investigation, the value of m was set to 1/2 [42]. The Tauc plot for the obtained film is shown in Figure 14D. The band-gap energy is 3.02 ± 0.06 eV (410 ± 8 nm) for Morin:PMMA and 2.70 ± 0.03 eV (459 ± 5 nm) for Morin-Zn:PMMA.
The absorption features of the produced thin films are visible in the UV-VIS spectral range (see Figure 14B,C). The strong absorption bands at about 400 nm are associated with the π→π* transitions of the cinnamoyl group, while those visible for wavelengths below 300 nm are related to the n→π* transitions in the benzoyl system. The band in the spectral range from 300 to 400 nm corresponds to the n→σ* transition [5,11,12], wherein the band for Morin-Zn:PMMA is barely visible, because it is screened by adjoining stronger bands. For the thin film with Zn complex, the bathochromic shift is observed. The obtained results agree well with the absorbance spectra (see Figure 11) for the thin films and findings for the morin and Morin-Zn complex solutions (see Figure 6b).
To examine the surface condition of the samples, the layers were subjected to XPS analysis. The main components of the survey spectra, as expected, were carbon and oxygen levels. In the case of the pure morin layer, a trace (less than 1 atomic %) signal from the silicon substrate was also recorded—probably due to local inhomogeneities of the layer. The surface signal from the Morin-Zn sample contained approximately 0.3% atomic zinc content.
The high-resolution C1s level of the Morin and Morin-Zn samples is shown in Figure 15A,C. For both samples, the most intense component was the peak originating from C=C bonds, recorded at approximately 284.3 eV. At approximately 285.2 eV, there is also a peak corresponding to C-C bonds. C-OH, C=O, and COO-bonds are represented by peaks recorded at energies of 285.9, 286.8, and 288.1 eV, respectively. The broadening of the C1s level at lower binding energies is most likely related to the presence of a peak occurring at approximately 283.4 eV, corresponding to carbon atoms adjacent to lattice vacancies (Cvac.) [42]. During deconvolution, the π-π* satellite peak at approximately 290 eV was also considered.
The O1s level, shown in Figure 15B,D, was fitted with four peaks, marked as C-OH, C=O, O-C=O, and COO- occurring at energies of 532.5, 531.2, 533.6, and 535.0 eV, respectively. Figure 15E presents the Zn2p doublet, which was recorded at energies of 1021.3 (Zn 2p3/2) and 1044.7 eV (Zn 2p1/2). The small content of photoelectrons originating from Zn atoms in the surface spectrum and the associated low intensity of the Zn 2p level do not allow us to clearly determine whether we are dealing with more than one type of Zn bond in the case of morin with Zn.

4. Conclusions

In summary, a complex of morin with Zn(II) ion was synthesized. The effect of morin complexation on the photophysical properties was investigated in solution and in the PMMA matrix. Steady-state and time-resolved studies showed that complexation and solvent polarity have a direct effect on its fluorescent properties. In solution at room temperature, the complex is more emissive than morin due to the prevention of rotation of the phenyl ring about the single bond connecting the B and C rings, which flattens and stiffens the molecule. Next, thin layers of morin and morin with zinc complex dispersed in a PMMA polymer matrix were fabricated. The layers were prepared on quartz substrates using the spin-coating method. The morphology of the obtained structures was examined using atomic force microscopy (AFM). The roughness parameters of the layers were also determined: Ra = 4.5 nm and Rq = 5.8 nm for Morin:PMMA and Ra = 23.3 nm and Rq = 27.6 nm for Morin-Zn:PMMA. The structural parameters of the layers clearly indicate the lower homogeneity of the mixture containing the zinc complex. The absorption of thin layers showed, similarly to solutions, the presence of two transitions: π→π* and n→π*, and a bathochromic shift was observed for the morin with zinc complex compared to Morin:PMMA. The photoluminescence of Morin-Zn:PMMA showed two bands, the first in the range of 380–440 nm corresponding to PMMA, and the second with a maximum at 490 nm. In the case of Morin:PMMA, the band at 490 nm was quenched. Spectroscopic ellipsometry was used to determine the refractive indices and extinction coefficients of the obtained layers. Additionally, the energy gap for the layers was determined to be 3.02 eV (410 nm) for Morin:PMMA and 2.70 eV (459 nm) for Morin-Zn:PMMA, respectively.

Supplementary Materials

The following supporting information can be downloaded at: https://www.mdpi.com/article/10.3390/app16010091/s1, Figure S1: 1H NMR spectra of morin in DMSO-d6; Figure S2: 1H NMR spectra of Zn-morin complex in DMSO-d6; Figure S3: IR spectra of morin; Figure S4: IR spectra of Zn(II)-morin complex; Figure S5: Steady-state absorption spectra of the morin (left panel) and Zn-morin complex (right panel) in tested solvents; Figure S6: Normalized fluorescence spectra of the morin (left panel) and Zn-morin complex (right panel) in tested solvents; Ex = 404 nm; Figure S7: (a) Normalized absorption and fluorescence excitation and b) Normalized fluorescence spectra recorded at different excitation wavelength of Morin-Zn complex in DMF; Figure S8: Fluorescence decay curves of morin (left panel) and Zn-morin complex (right panel) in tested solvent; λEX = 373 nm, IRF—instrument response function; Figure S9: Fluorescence decay curves of Zn-morin complex in DMF; λEX = 373 nm, black curve—instrument response function (IRF); Figure S10: Fluorescence decay curves of Zn-morin complex in THF; λEX = 373 nm, black curve—instrument response function (IRF); Figure S11: Fluorescence decay curves of Zn-morin complex in Et2O; λEX = 373 nm, black curve—instrument response function (IRF); Figure S12: Fluorescence decay curves of Zn-morin complex in 1,4-Dx; λEX = 373 nm, black curve—instrument response function (IRF); Figure S13: Fluorescence decay curves of Zn-morin complex in MeOH; λEX = 373 nm, black curve—instrument response function (IRF); Figure S14: Fluorescence decay curves of Zn-morin complex in EtOH; λEX = 373 nm, black curve—instrument response function (IRF); Table S1: Main Photophysical Parameters (a) for the Morin and Its Zn Complex; Table S2: Main Photophysical Parameters (a) for the Morin and Its Zn Complex.

Author Contributions

Conceptualization, B.J., R.S. and L.S.; Formal analysis, M.S., B.J., M.P., M.T., M.C. and L.S.; Investigation, M.S., B.J., M.P., M.T., M.C. and L.S.; Methodology, M.S., B.J., M.P., M.T. and L.S.; Supervision, B.J., R.S. and L.S.; Validation, B.J. and L.S.; Writing—original draft, M.S., B.J., M.T. and L.S.; Writing—review and editing, M.S., B.J., R.S. and L.S. All authors have read and agreed to the published version of the manuscript.

Funding

This research received no external funding.

Institutional Review Board Statement

Not applicable.

Informed Consent Statement

Not applicable.

Data Availability Statement

The original contributions presented in the study are included in the article/Supplementary Material; further inquiries can be directed to the corresponding author.

Conflicts of Interest

The authors declare no conflicts of interest. The funders had no role in the design of the study; in the collection, analyses, or interpretation of data; in the writing of the manuscript; or in the decision to publish the results.

References

  1. Panhwar, Q.K.; Memon, S.; Bhanger, M.I. Synthesis, characterization, spectroscopic and antioxidation studies of Cu(II)–morin complex. J. Mol. Struct. 2010, 967, 47–53. [Google Scholar] [CrossRef]
  2. Woźnicka, E.; Zapała, L.; Pieniążek, E.; Kosińska, M.; Ciszkowicz, E.; Lecka-Szlachta, K.; Pusz, J.; Maciołek, U.; Dronka, J. Synthesis, characterization and antibacterial studies of Tm(III), Yb(III) and Lu(III) complexes of morin. J. Coord. Chem. 2017, 70, 1451–1463. [Google Scholar] [CrossRef]
  3. Jamali, A.A.; Tavakoli, A.; Ezzati Nazhad Dolatabadi, J. Analytical overview of DNA interaction with Morin and its metal complexes. Eur. Food Res. Technol. 2012, 235, 367–373. [Google Scholar] [CrossRef]
  4. Cornard, J.P.; Boudet, A.C.; Merlin, J.C. Complexes of Al(III) with 3′4′-dihydroxy-flavone: Characterization, theoretical and spectroscopic study. Spectrochim. Acta Part A 2001, 57, 591–602. [Google Scholar] [CrossRef]
  5. Chiorcea-Paquim, A.M. Electrochemistry of Flavonoids: A Comprehensive Review. Int. J. Mol. Sci. 2023, 24, 15667. [Google Scholar] [CrossRef]
  6. Engelmann, M.D.; Hutcheson, R.; Cheng, I.F. Stability of Ferric Complexes with 3-Hydroxyflavone (Flavonol), 5,7-Dihydroxyflavone (Chrysin), and 3‘,4‘-Dihydroxyflavone. J. Agric. Food. Chem. 2005, 53, 2953–2960. [Google Scholar] [CrossRef]
  7. Vimalraj, S.; Rajalakshmi, S.; Saravanan, S.; Thirumalai, D.; Kadarkarai, M.; Rajkumar, A.V.; Dhanasekaran, A. Zinc chelated morin promotes osteoblast differentiation over its uncomplexed counterpart. Process Biochem. 2019, 82, 167–172. [Google Scholar] [CrossRef]
  8. Selvaraj, S.; Krishnaswamy, S.; Devashya, V.; Sethuraman, S.; Krishnan, U.M. Flavonoid–Metal Ion Complexes: A Novel Class of Therapeutic Agents. Med. Res. Rev. 2014, 34, 677–702. [Google Scholar] [CrossRef]
  9. Arriagada, F.; Correa, O.; Günther, G.; Nonell, S.; Mura, F.; Olea-Azar, C.; Morales, J. Morin Flavonoid Adsorbed on Mesoporous Silica, a Novel Antioxidant Nanomaterial. PLoS ONE 2016, 11, e0164507. [Google Scholar] [CrossRef]
  10. Sivaramakrishnan, V.; Devaraj, S.N. Morin fosters apoptosis in experimental hepatocellular carcinogenesis model. Chem. Biol. Interact. 2010, 183, 284–292. [Google Scholar] [CrossRef]
  11. Iglesias, C.V.; Aparicio, R.; Rodrigues-Simioni, L.; Camargo, E.A.; Antunes, E.; Marangoni, S.; Toyama, D.O.; Beriam, L.O.S.; Monteiro, H.S.A.; Toyama, M.H. Effects of morin on snake venom phospholipase A2 (PLA2). Toxicon 2005, 46, 751–758. [Google Scholar] [CrossRef] [PubMed]
  12. Lee, J.K.; Shin, Y.-K.; Song, J.-Y.; Lee, K.-W. Protective mechanism of morin against ultraviolet B-induced cellular senescence in human keratinocyte stem cells. Int. J. Radiat. Biol. 2014, 90, 20–28. [Google Scholar] [CrossRef] [PubMed]
  13. Woźnicka, E.; Kopacz, M.; Umbreit, M.; Kłos, J. New complexes of La(III), Ce(III), Pr(III), Nd(III), Sm(III), Eu(III) and Gd(III) ions with morin. J. Inorg. Biochem. 2007, 101, 774–782. [Google Scholar] [CrossRef] [PubMed]
  14. Naso, L.G.; Lezama, L.; Rojo, T.; Etcheverry, S.B.; Valcarcel, M.; Roura, M.; Salado, C.; Ferrer, E.G.; Williams, P.A.M. Biological evaluation of morin and its new oxovanadium(IV) complex as antio-xidant and specific anti-cancer agents. Chem. Biol. Interact. 2013, 206, 289–301. [Google Scholar] [CrossRef]
  15. Jędrzejewska, B.; Gordel, M.; Szeremeta, J.; Grela, I.; Samoć, M. Photostability of push-pull phenanthroimidazole derivative upon one- and two-photon excitation. Dyes Pigm. 2017, 136, 150–160. [Google Scholar] [CrossRef]
  16. Olmsted, J. Calorimetric determinations of absolute fluorescence quantum yields. J. Phys. Chem. 1979, 83, 2581–2584. [Google Scholar] [CrossRef]
  17. Sendrayaperumal, V.; Iyyam Pillai, S.; Subramanian, S. Design, synthesis and characterization of zinc–morin, a metal flavonol complex and evaluation of its antidiabetic potential in HFD–STZ induced type 2 diabetes in rats. Chem. Biol. Interact. 2014, 219, 9–17. [Google Scholar] [CrossRef]
  18. Panhwar, Q.K.; Memon, S. Synthesis of Cr(III)-Morin Complex: Characterization and Antioxidant Study. Sci. World J. 2014, 2014, 845208. [Google Scholar] [CrossRef]
  19. Panhwar, Q.K.; Memon, S. Synthesis and evaluation of antioxidant and antibacterial properties of morin complexes. J. Coord. Chem. 2011, 64, 2117–2129. [Google Scholar] [CrossRef]
  20. Zhang, H.-X.; Mei, P. Synthesis of Morin–Zinc(II) Complex and its Interaction with Serum Albumin. Biol. Trace Elem. Res. 2011, 143, 677–687. [Google Scholar] [CrossRef]
  21. Jabeen, E.; Janjua, N.K.; Ahmed, S.; Murtaza, I.; Ali, T.; Masood, N.; Rizvi, A.S.; Murtaza, G. DFT predictions, synthesis, stoichiometric structures and anti-diabetic activity of Cu (II) and Fe (III) complexes of quercetin, morin, and primuletin. J. Mol. Struct. 2017, 1150, 459–468. [Google Scholar] [CrossRef]
  22. Tanui, H.K.; Nkabyo, H.A.; Pearce, B.H.; Hussein, A.A.; Lopis, A.S.; Luckay, R.C. Iron(III) and copper(II) complexes derived from the flavonoids morin and quercetin: Chelation, crystal structure and DFT studies. J. Mol. Struct. 2022, 1257, 132591. [Google Scholar] [CrossRef]
  23. Sykuła, A.; Kowalska-Baron, A.; Gałęcki, K.; Błazińska, P.; Łodyga-Chruścińska, E. Structural and Spectral Investigation of a Series of Flavanone Derivatives. Molecules 2021, 26, 1298. [Google Scholar] [CrossRef] [PubMed]
  24. Krishnan, P.G.; Veerasubam, R.; Muthukumaran, S.; Raja, V. Ni and Mn simultaneously doped ZnO nanoparticles under Ar ambiance: Structural and optical characterization. Surf. Interfaces 2019, 15, 148–156. [Google Scholar] [CrossRef]
  25. Kasprzak, M.M.; Erxleben, A.; Ochocki, J. Properties and applications of flavonoid metal complexes. RSC Adv. 2015, 5, 45853–45877. [Google Scholar] [CrossRef]
  26. Jomová, K.; Hudecova, L.; Lauro, P.; Simunkova, M.; Alwasel, S.H.; Alhazza, I.M.; Valko, M. A switch between antioxidant and prooxidant properties of the phenolic compounds myricetin, morin, 3′,4′-dihydroxyflavone, taxifolin and 4-hydroxy-coumarin in the presence of copper (II) ions: A spectroscopic, absorption titration and DNA damage study. Molecules 2019, 24, 4335. [Google Scholar] [CrossRef]
  27. Adhikari, A.; Darbar, S.; Chatterjee, T.; Das, M.; Polley, N.; Bhattacharyya, M.; Bhattacharya, S.; Pal, D.; Pal, S.K. Spectroscopic studies on dual role of natural flavonoids in detoxification of lead poisoning: Bench-to-bedside preclinical trial. ACS Omega 2018, 3, 15975–15987. [Google Scholar] [CrossRef]
  28. Ren, J.; Meng, S.; Lekka, C.E.; Kaxiras, E. Complexation of Flavonoids with Iron:  Structure and Optical Signatures. J. Phys. Chem. B 2008, 112, 1845–1850. [Google Scholar] [CrossRef]
  29. Bukhari, S.B.; Memon, S.; Mahroof-Tahir, M.; Bhanger, M.I. Synthesis, characterization and antioxidant activity copper–quercetin complex. Spectrochim. Acta A 2009, 71, 1901–1906. [Google Scholar] [CrossRef]
  30. Demidov, O.O.; Chepeleva, L.V.; Shishkina, S.V.; Gladkov, E.S.; Kyrychenko, A.; Linnik, R.P.; Roshal, A.D. Influence of C3′-and C4′-substitutions on fluorescence, crystal packing, and physicochemical properties of flavonol. RSC Adv. 2025, 15, 36300–36318. [Google Scholar] [CrossRef]
  31. Sengupta, B.; Reilly, S.M.; Davis, D.E., Jr.; Harris, K.; Wadkins, R.M.; Ward, D.; Gholar, D.; Hampton, C. Excited state proton transfer of natural flavonoids and their chromophores in duplex and tetraplex DNAs. J. Phys. Chem. B 2015, 119, 2546–2556. [Google Scholar] [CrossRef] [PubMed]
  32. Deriabina, A.; Prutskij, T.; Morales Ochoa, H.D.; Gonzalez Jimenez, E.; Deriabin, S. Comparative analysis of fluorescence emission in myricetin, kaempferol, and quercetin powders and solutions. Int. J. Mol. Sci. 2024, 25, 2558. [Google Scholar] [CrossRef] [PubMed]
  33. Li, X.; Wang, C.; Tan, X.; Liu, Q.; Cheng, P.; Fei, X.; Tian, J.; Wang, Y. Theoretical study on ESIPT of flavonol Galangin molecules in different solvents. J. Mol. Liq. 2025, 425, 127140. [Google Scholar] [CrossRef]
  34. Lakowicz, J.R. (Ed.) Principles of Fluorescence Spectroscopy; Springer: Boston, MA, USA, 2006. [Google Scholar]
  35. Vabre, R.; Legraverend, M.; Piguel, S. Synthesis and evaluation of spectroscopic properties of newly synthesized push–pull 6-amino-8-styryl purines. Dyes Pigm. 2014, 105, 145–151. [Google Scholar] [CrossRef]
  36. Halevas, E.; Mavroidi, B.; Pelecanou, M.; Hatzidimitriou, A.G. Structurally characterized zinc complexes of flavonoids chrysin and quercetin with antioxidant potential. Inorg. Chim. Acta 2021, 523, 120407. [Google Scholar] [CrossRef]
  37. Halevas, E.; Mavroidi, B.; Antonoglou, O.; Hatzidimitriou, A.; Sagnou, M.; Pantazaki, A.A.; Litsardakis, G.; Pelecanou, M. Structurally characterized gallium–chrysin complexes with anticancer potential. Dalton Trans. 2020, 49, 2734–2746. [Google Scholar] [CrossRef]
  38. Andelescu, A.A.; Cretu, C.; Sasca, V.; Marinescu, S.; Cseh, L.; Costisor, O.; Szerb, E.I. New heteroleptic Zn(II) and Cu(II) complexes with quercetine and N^N ligands, Polyhedron. Polyhedron 2018, 147, 120–125. [Google Scholar] [CrossRef]
  39. Sypniewska, M.; Szczesny, R.; Skowronski, L.; Kamedulski, P.; Gondek, E.; Apostoluk, A.; Derkowska-Zielinska, B. Optical and morphological properties of ZnO and Alq3 incorporated polymeric thin layers fabricated by the dip-coating method. Appl. Nanosci. 2023, 13, 4903–4912. [Google Scholar] [CrossRef]
  40. Woollam, J.A. Guide to Using WVASE32®; W.S.I.N. York, Ed.; NY, USA; J.A. Woollam Co., Inc.: Lincoln, NE, USA, 2010. [Google Scholar]
  41. Fujiwara, H. Spectroscopic Ellipsometry: Principles and Applications; John Wiley & Sons: Chichester, UK, 2009. [Google Scholar]
  42. Abdi, G.; Połczyński, P.; Filip, A.; Kazimierczuk, K.; Jaroń, T.; Jurczakowski, R.; Colmenares, J.C.; Szczurek, A. The new Morin—Based three-dimensional carbon nanostructures with metal oxides deposits. From synthesis to electro- and photocatalytic applications. Mater. Today Commun. 2023, 35, 106073. [Google Scholar] [CrossRef]
Figure 1. Chemical structure of flavonoid (A) and morin (B).
Figure 1. Chemical structure of flavonoid (A) and morin (B).
Applsci 16 00091 g001
Figure 2. The general route for the Morin-Zn complex synthesis.
Figure 2. The general route for the Morin-Zn complex synthesis.
Applsci 16 00091 g002
Figure 3. 1H NMR spectra of morin and its complex with Zn ion in DMSO-d6 with marked chemical shifts in signals due to complexation.
Figure 3. 1H NMR spectra of morin and its complex with Zn ion in DMSO-d6 with marked chemical shifts in signals due to complexation.
Applsci 16 00091 g003
Figure 4. Comparison of the IR spectra of Morin-Zn complex and its ligand.
Figure 4. Comparison of the IR spectra of Morin-Zn complex and its ligand.
Applsci 16 00091 g004
Figure 5. TG-DTA curves of Zn(II)-morin complex.
Figure 5. TG-DTA curves of Zn(II)-morin complex.
Applsci 16 00091 g005
Figure 6. (a) Structural moieties of morin (as an example of those responsible for the main bands in its absorption spectrum); (b) UV-Vis spectra of morin and Morin-Zn complex in THF.
Figure 6. (a) Structural moieties of morin (as an example of those responsible for the main bands in its absorption spectrum); (b) UV-Vis spectra of morin and Morin-Zn complex in THF.
Applsci 16 00091 g006
Figure 7. (A) Normalized fluorescence spectra and (B) fluorescence intensity spectra of morin and its complex with Zn in THF at the same concentration.
Figure 7. (A) Normalized fluorescence spectra and (B) fluorescence intensity spectra of morin and its complex with Zn in THF at the same concentration.
Applsci 16 00091 g007
Figure 8. (a) Normalized absorption and fluorescence excitation and (b) Normalized fluorescence spectra recorded at different excitation wavelengths of Morin-Zn complex in THF.
Figure 8. (a) Normalized absorption and fluorescence excitation and (b) Normalized fluorescence spectra recorded at different excitation wavelengths of Morin-Zn complex in THF.
Applsci 16 00091 g008
Figure 9. The fluorescence decay curves of Morin and Morin-Zn complex recorded in tetrahydrofuran, respectively; λEX = 373 nm, λEM = 500 nm; IRF—instrument response function.
Figure 9. The fluorescence decay curves of Morin and Morin-Zn complex recorded in tetrahydrofuran, respectively; λEX = 373 nm, λEM = 500 nm; IRF—instrument response function.
Applsci 16 00091 g009
Figure 10. Absorption spectrum for morin and morin-zinc complex in PMMA polymer matrix.
Figure 10. Absorption spectrum for morin and morin-zinc complex in PMMA polymer matrix.
Applsci 16 00091 g010
Figure 11. PL spectrum for morin and morin-zinc complex in PMMA polymer matrix at 320 nm excitation.
Figure 11. PL spectrum for morin and morin-zinc complex in PMMA polymer matrix at 320 nm excitation.
Applsci 16 00091 g011
Figure 12. AFM results of (A) Morin:PMMA and (B) Morin-Zn:PMMA.
Figure 12. AFM results of (A) Morin:PMMA and (B) Morin-Zn:PMMA.
Applsci 16 00091 g012
Figure 13. Experimental and calculated Ψ and Δ azimuths for the Morin:PMMA sample (χ2 =3.59). Insert: the optical model of a sample.
Figure 13. Experimental and calculated Ψ and Δ azimuths for the Morin:PMMA sample (χ2 =3.59). Insert: the optical model of a sample.
Applsci 16 00091 g013
Figure 14. (A) The refractive index (n), (B) the extinction coefficient (k), (C) the absorption coefficient, and (D) the Tauc plot for the Morin:PMMA and the Morin-Zn:PMMA thin films.
Figure 14. (A) The refractive index (n), (B) the extinction coefficient (k), (C) the absorption coefficient, and (D) the Tauc plot for the Morin:PMMA and the Morin-Zn:PMMA thin films.
Applsci 16 00091 g014
Figure 15. XPS spectra from morin (A,B) and morin-zinc complex (CE).
Figure 15. XPS spectra from morin (A,B) and morin-zinc complex (CE).
Applsci 16 00091 g015
Table 1. Thicknesses of the organic (do) and rough (dr) layers, parameters of Gaussian-type (A, E, Br) oscillators, mean squared error χ2, band gap energy (e.g., and roughness parameters (Ra and Rq).
Table 1. Thicknesses of the organic (do) and rough (dr) layers, parameters of Gaussian-type (A, E, Br) oscillators, mean squared error χ2, band gap energy (e.g., and roughness parameters (Ra and Rq).
Sampledo
(nm)
dr
(nm)
AE
(eV)
(nm)
Br
(eV)
χ2Eg
(eV)
(nm)
Ra
(nm)
Rq
(nm)
Morin:PMMA 55 ± 11 ± 10.34 ± 0.01

0.28 ± 0.01

0.24 ± 0.01

1.81 ± 0.06
3.32 ± 0.01
373 ± 2
3.69 ± 0.03
336 ± 3
4.71 ± 0.01
263 ± 2
8.16 ± 0.24
152 ± 8
0.44 ± 0.01

1.17 ± 0.04

0.37 ± 0.01

4.21 ± 0.31
3.593.02 ± 0.06
410 ± 8
4.55.8
Morin-Zn:PMMA 26 ± 422 ± 43.79 ± 0.28

0.53 ± 0.02

0.63 ± 0.18

4.60 ± 1.78
2.97 ± 0.01
421 ± 2
4.49 ± 0.25
276 ± 2
5.72 ± 0.16
216 ± 8
10.23 ± 0.96
121 ± 12
0.47 ± 0.03

0.78 ± 0.07

1.51 ± 0.39

3.69 ± 1.56
3.352.70 ± 0.03
459 ± 5
23.327.6
Disclaimer/Publisher’s Note: The statements, opinions and data contained in all publications are solely those of the individual author(s) and contributor(s) and not of MDPI and/or the editor(s). MDPI and/or the editor(s) disclaim responsibility for any injury to people or property resulting from any ideas, methods, instructions or products referred to in the content.

Share and Cite

MDPI and ACS Style

Sypniewska, M.; Jędrzejewska, B.; Pietrzak, M.; Trzcinski, M.; Szczęsny, R.; Chorobinski, M.; Skowronski, L. Characterization and Spectroscopic Studies of the Morin-Zinc Complex in Solution and in PMMA Solid Matrix. Appl. Sci. 2026, 16, 91. https://doi.org/10.3390/app16010091

AMA Style

Sypniewska M, Jędrzejewska B, Pietrzak M, Trzcinski M, Szczęsny R, Chorobinski M, Skowronski L. Characterization and Spectroscopic Studies of the Morin-Zinc Complex in Solution and in PMMA Solid Matrix. Applied Sciences. 2026; 16(1):91. https://doi.org/10.3390/app16010091

Chicago/Turabian Style

Sypniewska, Malgorzata, Beata Jędrzejewska, Marek Pietrzak, Marek Trzcinski, Robert Szczęsny, Mateusz Chorobinski, and Lukasz Skowronski. 2026. "Characterization and Spectroscopic Studies of the Morin-Zinc Complex in Solution and in PMMA Solid Matrix" Applied Sciences 16, no. 1: 91. https://doi.org/10.3390/app16010091

APA Style

Sypniewska, M., Jędrzejewska, B., Pietrzak, M., Trzcinski, M., Szczęsny, R., Chorobinski, M., & Skowronski, L. (2026). Characterization and Spectroscopic Studies of the Morin-Zinc Complex in Solution and in PMMA Solid Matrix. Applied Sciences, 16(1), 91. https://doi.org/10.3390/app16010091

Note that from the first issue of 2016, this journal uses article numbers instead of page numbers. See further details here.

Article Metrics

Article metric data becomes available approximately 24 hours after publication online.
Back to TopTop