Quantum Dot Thermal Machines—A Guide to Engineering
Abstract
1. Introduction
2. Thermal Machine Configurations
3. Thermal Machines: Efficiency and Power
3.1. Heat Engine
3.2. Refrigerator
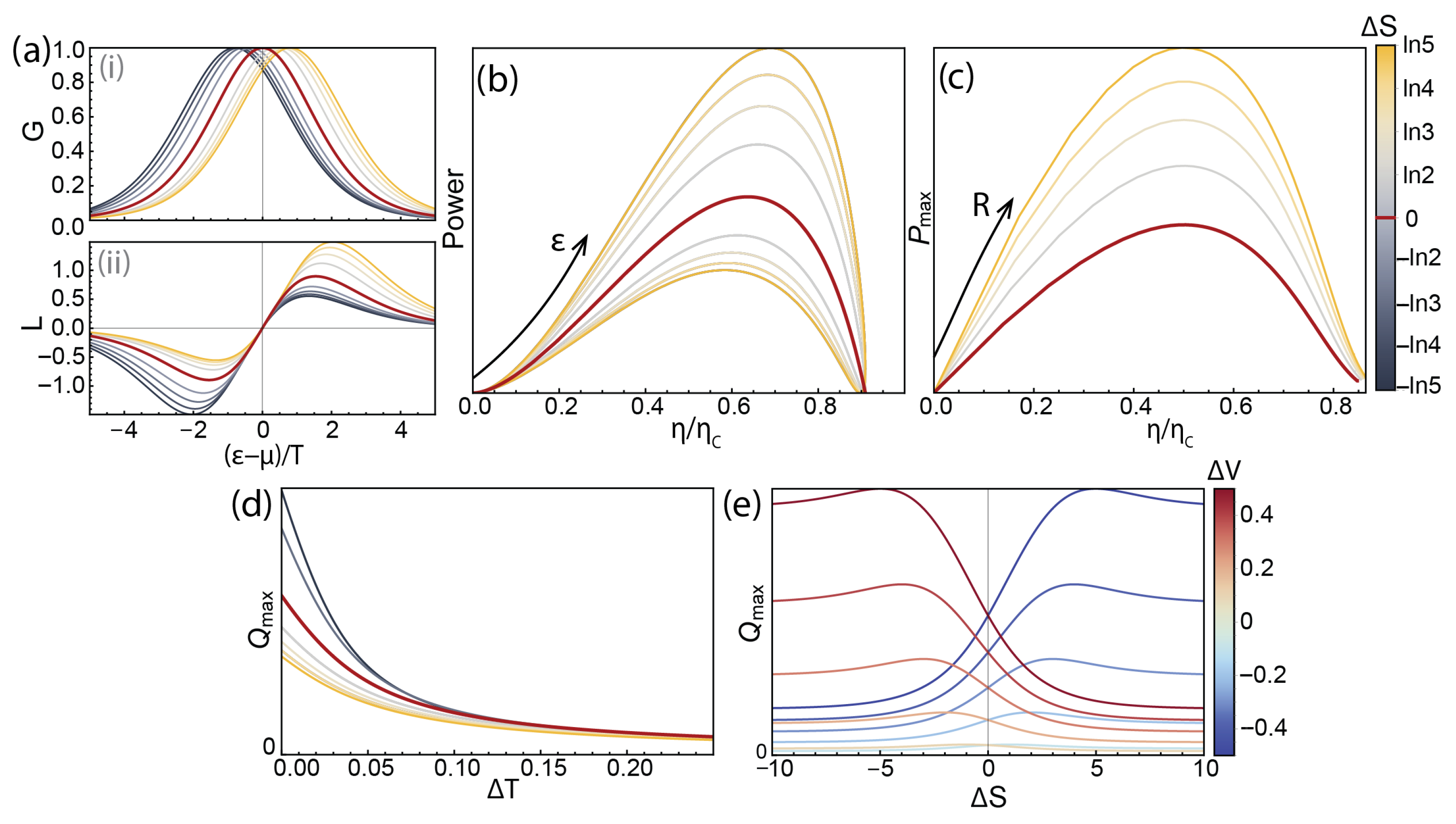
4. The Effect of Quantum Dot Dynamics
4.1. Entropy Difference
4.2. Normalised Conductance
4.3. Detailed Balance Breaking
5. Noise and Constancy
6. Discussion
Author Contributions
Funding
Data Availability Statement
Acknowledgments
Conflicts of Interest
Abbreviations
| QD | Quantum dot |
| SET | Single-electron transistor |
Appendix A. G and L Expression Derivation
Appendix B. The Modified Rates
Appendix C. Detailed Balance Breaking, G and L
References
- Campbell, S.; D’Amico, I.; Ciampini, M.A.; Anders, J.; Ares, N.; Artini, S.; Auffèves, A.; Oftelie, L.B.; Bettmann, L.P.; Bonança, M.V.S.; et al. Roadmap on Quantum Thermodynamics. Quantum Sci. Technol. 2025. [Google Scholar] [CrossRef]
- Cangemi, L.M.; Bhadra, C.; Levy, A. Quantum engines and refrigerators. Phys. Rep. 2024, 1087, 1–71. [Google Scholar] [CrossRef]
- Myers, N.M.; Abah, O.; Deffner, S. Quantum thermodynamic devices: From theoretical proposals to experimental reality. AVS Quantum Sci. 2022, 4, 027101. [Google Scholar] [CrossRef]
- Kosloff, R. Quantum Molecular Devices. ACS Phys. Chem. Au 2024, 4, 226–231. [Google Scholar] [CrossRef] [PubMed]
- Aamir, M.A.; Jamet Suria, P.; Marín Guzmán, J.A.; Castillo-Moreno, C.; Epstein, J.M.; Yunger Halpern, N.; Gasparinetti, S. Thermally driven quantum refrigerator autonomously resets a superconducting qubit. Nat. Phys. 2025, 21, 318–323. [Google Scholar] [CrossRef]
- Kuhn, S.; Stickler, B.A.; Kosloff, A.; Patolsky, F.; Hornberger, K.; Arndt, M.; Millen, J. Optically driven ultra-stable nanomechanical rotor. Nat. Commun. 2017, 8, 1670. [Google Scholar] [CrossRef]
- Roßnagel, J.; Dawkins, S.T.; Tolazzi, K.N.; Abah, O.; Lutz, E.; Schmidt-Kaler, F.; Singer, K. A single-atom heat engine. Science 2016, 352, 325–329. [Google Scholar] [CrossRef]
- Humphrey, T.; Newbury, R.; Taylor, R.; Linke, H. Reversible quantum Brownian heat engines for electrons. Phys. Rev. Lett. 2002, 89, 116801. [Google Scholar] [CrossRef]
- Humphrey, T.E.; Linke, H. Quantum, cyclic, and particle-exchange heat engines. Phys. E Low-Dimens. Syst. Nanostruct. 2005, 29, 390–398. [Google Scholar] [CrossRef]
- Kosloff, R.; Levy, A. Quantum heat engines and refrigerators: Continuous devices. Annu. Rev. Phys. Chem. 2014, 65, 365–393. [Google Scholar] [CrossRef]
- Josefsson, M.; Svilans, A.; Burke, A.M.; Hoffmann, E.A.; Fahlvik, S.; Thelander, C.; Leijnse, M.; Linke, H. A quantum-dot heat engine operating close to the thermodynamic efficiency limits. Nat. Nanotechnol. 2018, 13, 920–924. [Google Scholar] [CrossRef] [PubMed]
- Novikov, I. The efficiency of atomic power stations (a review). J. Nucl. Energy 1958, 7, 125–128. [Google Scholar] [CrossRef]
- Curzon, F.L.; Ahlborn, B. Efficiency of a Carnot engine at maximum power output. Am. J. Phys. 1975, 43, 22–24. [Google Scholar] [CrossRef]
- Mahan, G.D.; Sofo, J.O. The best thermoelectric. Proc. Natl. Acad. Sci. USA 1996, 93, 7436–7439. [Google Scholar] [CrossRef]
- Whitney, R.S. Most efficient quantum thermoelectric at finite power output. Phys. Rev. Lett. 2014, 112, 130601. [Google Scholar] [CrossRef]
- Esposito, M.; Lindenberg, K.; Broeck, C.V.D. Thermoelectric efficiency at maximum power in a quantum dot. Europhys. Lett. 2009, 85, 60010. [Google Scholar] [CrossRef]
- Josefsson, M.; Svilans, A.; Linke, H.; Leijnse, M. Optimal power and efficiency of single quantum dot heat engines: Theory and experiment. Phys. Rev. B 2019, 99, 235432. [Google Scholar] [CrossRef]
- Volosheniuk, S.; Conte, R.; Pyurbeeva, E.; Baum, T.; Vilas-Varela, M.; Fernández, S.; Peña, D.; van der Zant, H.S.J.; Gehring, P. A Single-Molecule Quantum Heat Engine. Nano Lett. 2025. [Google Scholar] [CrossRef]
- Shiraishi, N.; Saito, K.; Tasaki, H. Universal Trade-Off Relation between Power and Efficiency for Heat Engines. Phys. Rev. Lett. 2016, 117, 190601. [Google Scholar] [CrossRef]
- Pietzonka, P.; Seifert, U. Universal Trade-Off between Power, Efficiency, and Constancy in Steady-State Heat Engines. Phys. Rev. Lett. 2018, 120, 190602. [Google Scholar] [CrossRef]
- Holubec, V.; Ryabov, A. Cycling Tames Power Fluctuations near Optimum Efficiency. Phys. Rev. Lett. 2018, 121, 120601. [Google Scholar] [CrossRef] [PubMed]
- Benenti, G.; Saito, K.; Casati, G. Thermodynamic bounds on efficiency for systems with broken time-reversal symmetry. Phys. Rev. Lett. 2011, 106, 230602. [Google Scholar] [CrossRef] [PubMed]
- Pyurbeeva, E.; Hsu, C.; Vogel, D.; Wegeberg, C.; Mayor, M.; Zant, H.V.D.; Mol, J.A.; Gehring, P. Controlling the Entropy of a Single-Molecule Junction. Nano Lett. 2021, 21, 9715–9719. [Google Scholar] [CrossRef] [PubMed]
- Sowa, J.K.; Mol, J.A.; Briggs, G.A.D.; Gauger, E.M. Environment-assisted quantum transport through single-molecule junctions. Phys. Chem. Chem. Phys. 2017, 19, 29534–29539. [Google Scholar] [CrossRef]
- Harzheim, A.; Sowa, J.K.; Swett, J.L.; Briggs, G.A.D.; Mol, J.A.; Gehring, P. Role of metallic leads and electronic degeneracies in thermoelectric power generation in quantum dots. Phys. Rev. Res. 2020, 2, 013140. [Google Scholar] [CrossRef]
- Seifert, U. Entropy Production along a Stochastic Trajectory and an Integral Fluctuation Theorem. Phys. Rev. Lett. 2005, 95, 040602. [Google Scholar] [CrossRef]
- Seifert, U. Stochastic thermodynamics, fluctuation theorems and molecular machines. Rep. Prog. Phys. 2012, 75, 126001. [Google Scholar] [CrossRef]
- Pekola, J.P. Towards quantum thermodynamics in electronic circuits. Nat. Phys. 2015, 11, 118–123. [Google Scholar] [CrossRef]
- Pyurbeeva, E.; Thomas, J.O.; Mol, J.A. Non-equilibrium thermodynamics in a single-molecule quantum system. Mater. Quantum Technol. 2023, 3, 025003. [Google Scholar] [CrossRef]
- Entin-Wohlman, O.; Imry, Y.; Aronov, A.G.; Levinson, Y. Orbital magnetization in the hopping regime. Phys. Rev. B 1995, 51, 11584. [Google Scholar] [CrossRef]
- Nakamura, S.; Yamauchi, Y.; Hashisaka, M.; Chida, K.; Kobayashi, K.; Ono, T.; Leturcq, R.; Ensslin, K.; Saito, K.; Utsumi, Y.; et al. Nonequilibrium fluctuation relations in a quantum coherent conductor. Phys. Rev. Lett. 2010, 104, 080602. [Google Scholar] [CrossRef] [PubMed]
- Zhu, L.; Fan, S. Near-complete violation of detailed balance in thermal radiation. Phys. Rev. B-Condens. Matter Mater. Phys. 2014, 90, 220301(R). [Google Scholar] [CrossRef]
- Khandekar, C.; Khosravi, F.; Li, Z.; Jacob, Z. New spin-resolved thermal radiation laws for nonreciprocal bianisotropic media. N. J. Phys. 2020, 22, 123005. [Google Scholar] [CrossRef]
- Katcko, K.; Urbain, E.; Taudul, B.; Schleicher, F.; Arabski, J.; Beaurepaire, E.; Vileno, B.; Spor, D.; Weber, W.; Lacour, D.; et al. Spin-driven electrical power generation at room temperature. Commun. Phys. 2019, 2, 116. [Google Scholar] [CrossRef]
- Chowrira, B.; Kandpal, L.; Lamblin, M.; Ngassam, F.; Kouakou, C.A.; Zafar, T.; Mertz, D.; Vileno, B.; Kieber, C.; Versini, G.; et al. Quantum Advantage in a Molecular Spintronic Engine that Harvests Thermal Fluctuation Energy. Adv. Mater. 2022, 34, 2206688. [Google Scholar] [CrossRef]
- Alicki, R.; Šindelka, M.; Gelbwaser-Klimovsky, D. Violation of Detailed Balance in Quantum Open Systems. Phys. Rev. Lett. 2023, 131, 040401. [Google Scholar] [CrossRef]
- Blum, S.; Gelbwaser-Klimovsky, D. Thermalization without Detailed Balance: Population Oscillations in the Absence of Coherences. J. Phys. Chem. Lett. 2025, 16, 4066–4071. [Google Scholar] [CrossRef]
- Naaman, R.; Paltiel, Y.; Waldeck, D.H. Chiral molecules and the electron spin. Nat. Rev. Chem. 2019, 3, 250–260. [Google Scholar] [CrossRef]
- Bloom, B.P.; Paltiel, Y.; Naaman, R.; Waldeck, D.H. Chiral Induced Spin Selectivity. Chem. Rev. 2024, 124, 1950–1991. [Google Scholar] [CrossRef]
- Benenti, G.; Casati, G.; Saito, K.; Whitney, R. Fundamental aspects of steady-state conversion of heat to work at the nanoscale. Phys. Rep. 2017, 694, 1–124. [Google Scholar] [CrossRef]
- Barato, A.C.; Seifert, U. Thermodynamic Uncertainty Relation for Biomolecular Processes. Phys. Rev. Lett. 2015, 114, 158101. [Google Scholar] [CrossRef]
- Horowitz, J.M.; Gingrich, T.R. Thermodynamic uncertainty relations constrain non-equilibrium fluctuations. Nat. Phys. 2020, 16, 15–20. [Google Scholar] [CrossRef]
- Macieszczak, K.; Brandner, K.; Garrahan, J.P. Unified Thermodynamic Uncertainty Relations in Linear Response. Phys. Rev. Lett. 2018, 121, 130601. [Google Scholar] [CrossRef]
- Taddei, F.; Fazio, R. Thermodynamic uncertainty relations for systems with broken time reversal symmetry: The case of superconducting hybrid systems. Phys. Rev. B 2023, 108, 115422. [Google Scholar] [CrossRef]
- Landi, G.T.; Kewming, M.J.; Mitchison, M.T.; Potts, P.P. Current Fluctuations in Open Quantum Systems: Bridging the Gap between Quantum Continuous Measurements and Full Counting Statistics. PRX Quantum 2024, 5, 020201. [Google Scholar] [CrossRef]
- Palmqvist, D.; Tesser, L.; Splettstoesser, J. Kinetic uncertainty relations for quantum transport. Phys. Rev. Lett. 2025, 135, 166302. [Google Scholar] [CrossRef] [PubMed]
- Weiss, J.B. Coordinate invariance in stochastic dynamical systems. Tellus A Dyn. Meteorol. Oceanogr. 2003, 55, 208. [Google Scholar] [CrossRef]
- Weiss, J.B. Fluctuation properties of steady-state Langevin systems. Phys. Rev. E 2007, 76, 061128. [Google Scholar] [CrossRef]
- Gnesotto, F.S.; Mura, F.; Gladrow, J.; Broedersz, C.P. Broken detailed balance and non-equilibrium dynamics in living systems: A review. Rep. Prog. Phys. 2018, 81, 066601. [Google Scholar] [CrossRef]
- Kim, Y.; Jeong, W.; Kim, K.; Lee, W.; Reddy, P. Electrostatic control of thermoelectricity in molecular junctions. Nat. Nanotechnol. 2014, 9, 881–885. [Google Scholar] [CrossRef]
- Haack, G.; Giazotto, F. Efficient and tunable Aharonov-Bohm quantum heat engine. Phys. Rev. B 2019, 100, 235442. [Google Scholar] [CrossRef]
- Chen, L.; Giovannelli, I.L.; Shaibe, N.; Anlage, S.M. Asymmetric transmission through a classical analogue of the Aharonov-Bohm ring. Phys. Rev. B 2024, 110, 045103. [Google Scholar] [CrossRef]
- Allahverdyan, A.E.; Balian, R.; Nieuwenhuizen, T.M. Maximal work extraction from finite quantum systems. Europhys. Lett. 2004, 67, 565. [Google Scholar] [CrossRef]
- Allahverdyan, A.E.; Hovhannisyan, K.; Mahler, G. Optimal refrigerator. Phys. Rev. E—Stat. Nonlinear Soft Matter Phys. 2010, 81, 051129. [Google Scholar] [CrossRef]
- Catalytic enhancement in the performance of the microscopic two-stroke heat engine. Phys. Rev. E 2024, 110, 044120. [CrossRef]
- Łobejko, M.; Biswas, T.; Horodecki, M. Equivalence of Discrete and Continuous Otto-Like Engines assisted by Catalysts: Mapping Catalytic Advantages from the Discrete to the Continuous Framework. arXiv 2025, arXiv:2510.24253. [Google Scholar] [CrossRef]
- Fu, C.; Pan, O.; Fan, Z.; Tang, Y.; Su, S.; Lin, Y.; Chen, J. Extending the Limited Performance of the Quantum Refrigerator with Catalysts. arXiv 2025, arXiv:2507.12016. [Google Scholar] [CrossRef]
- Monsel, J.; Acciai, M.; Palmqvist, D.; Chiabrando, N.; Sánchez, R.; Splettstoesser, J. Precision of an autonomous demon exploiting nonthermal resources and information. arXiv 2025, arXiv:2510.14578. [Google Scholar] [CrossRef]
- Pyurbeeva, E.; Mol, J.A. A Thermodynamic Approach to Measuring Entropy in a Few-Electron Nanodevice. Entropy 2021, 23, 640. [Google Scholar] [CrossRef]







Disclaimer/Publisher’s Note: The statements, opinions and data contained in all publications are solely those of the individual author(s) and contributor(s) and not of MDPI and/or the editor(s). MDPI and/or the editor(s) disclaim responsibility for any injury to people or property resulting from any ideas, methods, instructions or products referred to in the content. |
© 2025 by the authors. Licensee MDPI, Basel, Switzerland. This article is an open access article distributed under the terms and conditions of the Creative Commons Attribution (CC BY) license.
Share and Cite
Pyurbeeva, E.; Kosloff, R. Quantum Dot Thermal Machines—A Guide to Engineering. Entropy 2026, 28, 2. https://doi.org/10.3390/e28010002
Pyurbeeva E, Kosloff R. Quantum Dot Thermal Machines—A Guide to Engineering. Entropy. 2026; 28(1):2. https://doi.org/10.3390/e28010002
Chicago/Turabian StylePyurbeeva, Eugenia, and Ronnie Kosloff. 2026. "Quantum Dot Thermal Machines—A Guide to Engineering" Entropy 28, no. 1: 2. https://doi.org/10.3390/e28010002
APA StylePyurbeeva, E., & Kosloff, R. (2026). Quantum Dot Thermal Machines—A Guide to Engineering. Entropy, 28(1), 2. https://doi.org/10.3390/e28010002

