Sign in to use this feature.

Years

Between: -

Subjects

remove_circle_outline
remove_circle_outline
remove_circle_outline
remove_circle_outline
remove_circle_outline
remove_circle_outline
remove_circle_outline
remove_circle_outline
remove_circle_outline

Journals

remove_circle_outline
remove_circle_outline
remove_circle_outline
remove_circle_outline
remove_circle_outline
remove_circle_outline
remove_circle_outline
remove_circle_outline
remove_circle_outline
remove_circle_outline
remove_circle_outline
remove_circle_outline
remove_circle_outline
remove_circle_outline
remove_circle_outline
remove_circle_outline
remove_circle_outline
remove_circle_outline
remove_circle_outline
remove_circle_outline

Article Types

Countries / Regions

remove_circle_outline
remove_circle_outline
remove_circle_outline
remove_circle_outline
remove_circle_outline

Search Results (604)

Search Parameters:
Keywords = specific professional fields

Order results
Result details
Results per page
Select all
Export citation of selected articles as:
54 pages, 2144 KB  
Systematic Review
Demystifying Artificial Intelligence: A Systematic Review of Explainable Artificial Intelligence in Medical Imaging
by Muhammad Fayaz, Kim Hagsong, Sufyan Danish, L. Minh Dang, Abolghasem Sadeghi-Niaraki and Hyeonjoon Moon
Sensors 2026, 26(7), 2131; https://doi.org/10.3390/s26072131 - 30 Mar 2026
Viewed by 344
Abstract
This comprehensive literature review explores the latest advancements in explainable artificial intelligence (XAI) techniques within the field of medical imaging (MI). Over the past decade, machine learning (ML) and deep learning (DL) technologies have made significant strides in healthcare, enabling advancements in tasks [...] Read more.
This comprehensive literature review explores the latest advancements in explainable artificial intelligence (XAI) techniques within the field of medical imaging (MI). Over the past decade, machine learning (ML) and deep learning (DL) technologies have made significant strides in healthcare, enabling advancements in tasks such as disease diagnosis, medical image segmentation, and the detection of various medical conditions. However, despite these successes, the widespread adoption of AI-driven tools in clinical practice remains slow, primarily due to the “black-box” nature of many AI models. These models make decisions without transparent reasoning, which poses significant barriers in critical medical and legal environments, where accountability and trust are paramount. This review investigates various XAI methods, focusing on both intrinsic and post-hoc techniques, to evaluate their potential in addressing these challenges. The paper examines how XAI can enhance the transparency of healthcare algorithms, thereby fostering greater trust and confidence among clinicians, patients, and regulators. Key challenges faced by XAI in healthcare, such as limited interpretability, computational complexity, and the absence of standardized evaluation frameworks, are discussed in detail. Furthermore, this work highlights existing gaps in the literature, including the lack of detailed comparative analyses of specific XAI techniques, especially in terms of their mathematical foundations and applicability across diverse medical imaging contexts. In response to these gaps, the paper introduces a new set of standardized evaluation metrics aimed at assessing XAI performance across various medical imaging tasks, such as image segmentation, classification, and diagnosis. The review proposes actionable recommendations for enhancing the effectiveness of XAI in healthcare, with a focus on real-world clinical applications. Unlike previous studies that focus on broader overviews or limited subsets of methods, this work provides a comprehensive comparative analysis of over 18 XAI techniques, emphasizing their strengths, weaknesses, and practical implications. By offering a detailed understanding of how XAI methods can be integrated into clinical workflows, this paper aims to bridge the gap between cutting-edge AI technologies and their practical use in medical settings. Ultimately, the insights provided are valuable for researchers, clinicians, and industry professionals, encouraging the adoption and standardization of XAI practices in clinical environments, thus ensuring the successful integration of transparent, interpretable, and reliable AI systems into healthcare. Full article
Show Figures

Figure 1

24 pages, 5846 KB  
Article
MKG-CottonCapT6: A Multimodal Knowledge Graph-Enhanced Image Captioning Framework for Expert-Level Cotton Disease and Pest Diagnosis
by Chenzi Zhao, Xiaoyan Meng, Liang Yu and Shuaiqi Yang
Appl. Sci. 2026, 16(6), 3029; https://doi.org/10.3390/app16063029 - 20 Mar 2026
Viewed by 244
Abstract
As one of the world’s leading cotton-producing countries, China frequently experiences severe yield reductions due to crop diseases and pest infestations, with losses often exceeding 20%. Although computer vision models can identify diseased plants, they currently fail to connect visual symptoms to the [...] Read more.
As one of the world’s leading cotton-producing countries, China frequently experiences severe yield reductions due to crop diseases and pest infestations, with losses often exceeding 20%. Although computer vision models can identify diseased plants, they currently fail to connect visual symptoms to the diagnostic reasoning process used by agronomists. This leads to text descriptions that ignore the biological causes of the damage. To fix this, we built Multimodal Knowledge Graph-Enhanced Cross Vision Transformer-18-Dagger-408 and Text-to-Text Transfer Transformer for Cotton Disease and Pest Image Captioning (MKG-CottonCapT6), a model that uses a local knowledge database to generate professional diagnostic reports from field images. The technical core consists of a Multimodal Knowledge Graph (MMKG) containing 14 types of entities (such as Pathogens and Control Agents) and 12 types of relations. We use a Cross Vision-Transformer-18-Dagger-408 (CrossViT) encoder to capture both the overall leaf shape and microscopic details of pests. Through a Visual Entity Grounding (VEG) module, the model maps visual features directly to specific triplets in the graph. These triplets are then turned into text sequences and fused with image data in a Text-to-Text-Transfer-Transformer (T5) decoder. To train the model, we collected a dataset of cotton images paired with expert descriptions of lesions, colors, and affected plant parts. Tests show that MKG-CottonCapT6 performs better than standard models, reaching an Information-based Metric for Image Captioning (InfoMetIC) score of 72.6%. Results prove that by using a specific alignment loss (Lalign), the model generates reports that correctly name the disease stage and recommend specific chemicals, such as Carbendazim or Triadimefon. This framework provides a practical tool for farmers to record and treat cotton diseases with high precision. Full article
(This article belongs to the Topic Digital Agriculture, Smart Farming and Crop Monitoring)
Show Figures

Figure 1

17 pages, 288 KB  
Review
Personalized Nutrition, Lifestyle, and Supplementation Strategies to Support Cognitive Performance and Well-Being in Esports Athletes: A Narrative Review
by Loizos Georgiou, Irene P. Tzanetakou, Konstantinos Giannakou, André Baumann and Elena Hadjimbei
Nutrients 2026, 18(6), 981; https://doi.org/10.3390/nu18060981 - 19 Mar 2026
Viewed by 800
Abstract
Esports are a rapidly expanding form of competitive activity that demand high levels of cognitive alertness, motor precision, stress management, and resilience to mental and physical fatigue. At the same time, the sedentary lifestyle, extended screen exposure, and psychological pressures associated with competitive [...] Read more.
Esports are a rapidly expanding form of competitive activity that demand high levels of cognitive alertness, motor precision, stress management, and resilience to mental and physical fatigue. At the same time, the sedentary lifestyle, extended screen exposure, and psychological pressures associated with competitive gaming raise concerns for both performance and long-term health. Growing evidence highlights the importance of nutrition and lifestyle behaviors in supporting cognitive performance and overall competitive demands. While balanced dietary patterns and adequate hydration are essential, dietary supplements may provide additional benefits when used appropriately and under professional guidance. However, the current research is limited by a predominance of cross-sectional and self-reported studies, short-term or acute interventions, small sample sizes, and insufficient emphasis on esports-specific and personalized strategies. This review examines existing evidence on individualized nutrition, supplementation, and lifestyle strategies in esports, identifies key methodological limitations, and outlines future directions to inform evidence-based practice for athletes, practitioners, and organizations seeking to optimize cognitive performance, well-being, and long-term sustainability in this emerging field. Full article
(This article belongs to the Section Sports Nutrition)
17 pages, 330 KB  
Article
Decoding Positional Variability in U18 Semi-Professional Soccer Players: A Principal Component Analysis Utilizing Inertial Measurement Units to Identify Key Determinants
by José Carlos Barbero-Álvarez, José Antonio Sánchez Fuentes, Luis Manuel Martínez-Aranda, Filipe Manuel Clemente and Ana Filipa Silva
Appl. Sci. 2026, 16(5), 2596; https://doi.org/10.3390/app16052596 - 9 Mar 2026
Viewed by 272
Abstract
This study investigates the performance characteristics of U18 semi-professional soccer players by examining both technical load (TL) and physical load (PL) variables across various playing positions during the 2021/2022 Spanish Football U18 National League Championship. Methods: Principal Component Analysis (PCA) was employed to [...] Read more.
This study investigates the performance characteristics of U18 semi-professional soccer players by examining both technical load (TL) and physical load (PL) variables across various playing positions during the 2021/2022 Spanish Football U18 National League Championship. Methods: Principal Component Analysis (PCA) was employed to simplify the dataset, which comprised 246 match records from 49 athletes (mean age 17.9 ± 0.7 years; height ~177.6 ± 6.3 cm; body mass ~72.0 ± 7.2 kg) across ten matches. This analytical approach aimed to facilitate a deeper understanding of player performance dynamics. Results: Kaiser–Meyer–Olkin (KMO) values varied across positions (technical load: 0.20–0.93; physical load: 0.27–0.91). This indicates acceptable sampling adequacy for several positional models, but low adequacy for others; therefore, results for positions with low-KMO values should be interpreted cautiously. Factor analysis for both technical and physical load variables identified two components each, explaining substantial total variance (technical load: 63.75–86.65%; and physical load: 71.74–88.92% across position), with significantly high factor correlations (p < 0.001). The findings further indicate that players occupying defensive positions, such as goalkeepers and center-backs, generally exhibit lower levels of physical intensity and technical engagement compared to their counterparts in more dynamic roles, including full-backs, wingers, and forwards. The latter groups demonstrate higher involvement in high-intensity running and offensive actions. Conclusions: The observed performance patterns highlight the necessity for tailored training programs that align with the specific demands of each playing position. This approach is expected to optimize individual player performance and enhance overall tactical efficiency. Furthermore, the study underscores the importance of developing individualized conditioning strategies that address the unique physical and technical requirements inherent to each role on the field. This analytical approach using PCA provides a more structured and data-driven understanding of these positional differences, reinforming the need for tailored training programs and individualized conditioning strategies. Full article
(This article belongs to the Special Issue Data-Driven Sports Science: Advances and Applications)
Show Figures

Figure 1

30 pages, 1040 KB  
Systematic Review
Healthcare Professionals’ Subjective Well-Being: A Systematic Review and Methodological Appraisal of Conceptual Models, Measurement Instruments, and Associated Factors
by Iluta Skrūzkalne, Evija Nagle, Otto Andersen, Jeļena Perevozčikova, Luule Sakkeus, Antanas Kairys, Ingūna Griškēviča, Silva Seņkāne, Andrejs Ivanovs and Ieva Reine
Int. J. Environ. Res. Public Health 2026, 23(3), 329; https://doi.org/10.3390/ijerph23030329 - 6 Mar 2026
Viewed by 759
Abstract
The well-being of healthcare professionals (HCPs) is widely recognised as a critical construct related to workforce sustainability, patient safety, and healthcare system performance; however, research in this area remains conceptually fragmented. This systematic review identifies and critically analyses conceptual models, assessment instruments, and [...] Read more.
The well-being of healthcare professionals (HCPs) is widely recognised as a critical construct related to workforce sustainability, patient safety, and healthcare system performance; however, research in this area remains conceptually fragmented. This systematic review identifies and critically analyses conceptual models, assessment instruments, and factors associated with HCPs’ subjective well-being. A comprehensive literature search was conducted across six databases covering 2014 to 2024, focusing on quantitative empirical studies published in English in peer-reviewed journals. The review adhered to Preferred Reporting Items for Systematic Reviews and Meta-Analyses (PRISMA) guidelines. Study quality was assessed using the Joanna Briggs Institute criteria, and the methodological quality of measurement instruments was evaluated with the Consensus-based Standards for the Selection of Health Measurement Instruments (COSMIN) checklist in validation-focused studies. Of the 7838 records initially identified, 48 studies met the inclusion criteria. Three primary thematic areas emerged: (1) conceptual models framing subjective well-being, (2) measurement instruments assessing subjective well-being, and (3) factors associated with subjective well-being among HCPs. Frequently applied conceptual frameworks included the job demands–resources model, Maslach burnout theory, and WHOQOL-related approaches. Commonly used instruments comprised the WHO-5, Maslach Burnout Inventory, and Mini-Z. In validation-focused studies assessed using COSMIN criteria, internal consistency and aspects of construct validity were generally reported as acceptable; however, reporting across measurement property domains was variable. Factors examined in relation to subjective well-being included workload, emotional exhaustion, social support, autonomy, and work–life balance. Overall, the reviewed literature demonstrates substantial variability in conceptual and methodological approaches and frequently focuses on single dimensions of well-being. These findings highlight the potential value of developing integrated, sector-specific frameworks to inform future measurement development and research in this field. Full article
Show Figures

Figure 1

31 pages, 4870 KB  
Article
Design and Preliminary Evaluation of an Integrated Communication and Navigation Security Assurance Platform Based on BeiDou-3: A Case Study in Qinghai Province
by Shengpeng Zhang, Lijiang Zhao and Yongying Zhang
Sustainability 2026, 18(5), 2400; https://doi.org/10.3390/su18052400 - 2 Mar 2026
Viewed by 470
Abstract
Reliable communications, accurate localization, and efficient safety monitoring remain critical bottlenecks for sustainable development in remote high-altitude regions. On the Qinghai–Tibet Plateau, harsh topography and sparse infrastructure create a persistent “digital divide” that threatens human safety and limits field governance efficiency. This study [...] Read more.
Reliable communications, accurate localization, and efficient safety monitoring remain critical bottlenecks for sustainable development in remote high-altitude regions. On the Qinghai–Tibet Plateau, harsh topography and sparse infrastructure create a persistent “digital divide” that threatens human safety and limits field governance efficiency. This study aims to design, implement, and evaluate an integrated communication and navigation security assurance platform to bridge this gap. The specific research objectives are (i) to develop a hybrid high-precision positioning model integrating PPP-B2b, RTK, and MEMS inertial constraints; (ii) to implement an adaptive multi-link communication strategy combining BeiDou-3 short message communication (SMC), 4G LTE, and VHF; (iii) to design a lightweight SM1/SM2 security-and-compression framework optimized for bandwidth-constrained satellite messaging; and (iv) to conduct a mixed-methods field evaluation of technical performance and user-level impacts. A six-month field evaluation was conducted in Qinghai Province to validate the platform. Results show that the platform achieves sub-metre positioning accuracy across representative plateau scenarios (horizontal RMSE: 0.06–0.45 m). While terrestrial cellular links in marginal-coverage areas frequently failed (<15%), the BeiDou-3 SMC maintained stable message delivery (87.5–94.7%). Sustainability-oriented indicators suggest marked improvements in disaster resilience: the 95th-percentile emergency notification time was reduced from >180 min to <2 min, and effective route coverage increased from ~15% to ~95%. User surveys (n = 112) indicate high acceptance, with 91.1% of respondents reporting improved perceived safety, though usability gaps persist among non-professional groups. Overall, this indigenous satellite-based platform functions as a practical “social safety net,” narrowing digital exclusion and supporting UN sustainable development goals (SDG 9, 10, and 11). Full article
Show Figures

Figure 1

14 pages, 631 KB  
Article
Future Physicians in Orthopedics and Trauma Surgery: Their Expectations and Factors for Recruiting New Talent
by Annalena Maria Sophie Göttsche, Marcus Vollmer, Richard Kasch, Lyubomir Haralambiev, Axel Ekkernkamp and Mustafa Sinan Bakir
Int. Med. Educ. 2026, 5(1), 30; https://doi.org/10.3390/ime5010030 - 2 Mar 2026
Viewed by 326
Abstract
Introduction: The potential aggravation of the shortage of skilled professionals in surgical specialties presents challenges. The lack of work–life balance and the pressure of training may deter aspiring surgeons. Surgical disciplines still remain predominantly male so that feminization combined with factors such as [...] Read more.
Introduction: The potential aggravation of the shortage of skilled professionals in surgical specialties presents challenges. The lack of work–life balance and the pressure of training may deter aspiring surgeons. Surgical disciplines still remain predominantly male so that feminization combined with factors such as part-time work and pregnancy-related absence may aggravate workforce shortages. Studies show that the next generation of physicians places more value on work–life balance and seeks a pleasant work environment. This raises the question of whether these developments pose a threat to the future of surgical disciplines or whether generational change may also offer new opportunities. Methodology: This prospective observational study was conducted among a cohort of third-year medical students at a medical university in Germany. A non-validated, self-administered questionnaire was used for data collection. Responses on the Likert scale were dichotomized and the results were statistically analysed using chi-square test and logistic regression. Results: Job expectations differed only marginally across specialties. Students generally rated work–life balance and a pleasant work environment significantly higher than career, income or prestige. Students interested in surgery place significantly less emphasis on work–life balance than non-surgical peers, particularly in orthopedics and trauma surgery (77% vs. 90%, p = 0.025). There was a significant association between interest in surgical specialties and leadership ambitions. Male students were significantly more likely than females to aspire to leadership roles (58.1% vs. 32.7%, p = 0.001) and to choose surgical specialties (46.0% vs. 28.3%, p = 0.018). Female students were not significantly less interested in trauma surgery. Conclusions: Although our data interpretation should be drawn with caution, the increasing feminization of medicine does not appear to exacerbate the shortage of physicians in trauma surgery. In our cohort, we made the indicative suggestion that aspiring surgeons might be willing to trade leisure for career advancement. Specialized curricula could promote identification with the field and develop leadership skills, so that an initial attachment to a specific specialty endures throughout medical studies and results in a corresponding choice of specialty. Full article
(This article belongs to the Special Issue Assessment and Performance in Surgical Training)
Show Figures

Figure 1

26 pages, 1701 KB  
Article
Serious Games for Just Energy Transitions: Theoretical Framework and Application to Enhance Decision-Making for Sustainability
by Vasiliki Kioupi, Morgan Campbell, Gbemi Oluleye and Zoe M. Harris
Sustainability 2026, 18(5), 2382; https://doi.org/10.3390/su18052382 - 1 Mar 2026
Cited by 1 | Viewed by 460
Abstract
Just energy transitions require diverse voices to be considered, but appropriate tools are still lacking. This study aimed to identify a tool by which diverse views could be considered in decision-making for climate change and energy transitions. Specifically, a literature review was conducted [...] Read more.
Just energy transitions require diverse voices to be considered, but appropriate tools are still lacking. This study aimed to identify a tool by which diverse views could be considered in decision-making for climate change and energy transitions. Specifically, a literature review was conducted to understand the current status and gaps in the use and the application of Serious Games (SGs) in the field of sustainability. This was further used to construct a framework of criteria for selecting SGs that can enable diversity in decision-making. A specific Serious Game was selected using the framework criteria and applied in qualitative analysis that investigated a gameplay and method of data collection and analysis to assess the impact group diversity has on collective decision-making for sustainability and the quality of outcomes produced. The New Shores game was used within the context of sustainability and resilience to climate disasters. A more diverse and a less diverse group (age, ethnicity, gender, and professional role) were recruited in winter 2021, to play the game in online workshops and make decisions to sustainably develop an island while balancing personal and community wellbeing. The way each group engaged with each other and addressed the challenges of the gameplay were qualitatively evaluated to scrutinise levels of collaboration; collective decision-making and the final status of the island was quantitatively analysed to assess quality of outcomes produced by each group. Positive findings indicate that heterogenous groups demonstrated stronger collaboration, prioritised collective goals, and achieved more socially equitable and resilient outcomes compared to homogenous groups. While small scale and exploratory, the positive findings of this study indicate the need for further sustained research into use of Serious Games for sustainability decision-making, to better understand how diverse groups make decisions in game playing contexts and the extent and conditions needed for these patterns’ transfer to real-world contexts. Full article
(This article belongs to the Special Issue Achieving Sustainability: Role of Technology and Innovation)
Show Figures

Figure 1

34 pages, 3199 KB  
Review
Lung Cancer Prediction with Machine Learning, Deep Learning and Hybrid Techniques: A Survey
by Abdullah Bin Zahid, Fakhar Un Nisa, Ahmad Kamran Malik and Nafees Qamar
LabMed 2026, 3(1), 7; https://doi.org/10.3390/labmed3010007 - 28 Feb 2026
Viewed by 702
Abstract
Lung cancer remains one of the most formidable health challenges globally, with significant morbidity and mortality rates. Despite advancements in diagnostic and treatment technologies, the disease’s high prevalence, late-stage detection, and complex variations continue to hinder effective management. Early detection and accurate diagnosis [...] Read more.
Lung cancer remains one of the most formidable health challenges globally, with significant morbidity and mortality rates. Despite advancements in diagnostic and treatment technologies, the disease’s high prevalence, late-stage detection, and complex variations continue to hinder effective management. Early detection and accurate diagnosis play a pivotal role in improving survival rates. Crucially, the clinical and translational relevance of AI-based prediction lies in its potential to significantly reduce the incidence of late-stage diagnoses, thus increasing the chance of successful intervention. Lung cancer was first identified by medical professionals in the mid-19th century. Today, cancer remains a significant global health challenge, affecting an estimated 14 million individuals annually and causing 8.2 million fatalities worldwide. Lung cancer ranks among the leading causes of death associated with cancer. This research aims to bridge gaps in lung cancer diagnosis by exploring various learning methodologies. By focusing on studies from the last 10 years, this survey provides a contemporary understanding of the field, emphasizing the importance of automated diagnostic systems in reducing human error and improving efficiency. The selection of relevant research is based on a rigorous methodology, including specific inclusion and exclusion criteria, which are later discussed in detail with supporting figures and comparative data. Ultimately, this work underscores the critical need for innovative diagnostic solutions and comprehensive screening programs to combat lung cancer, save lives, and advance the field of medical research. Full article
Show Figures

Figure 1

18 pages, 459 KB  
Article
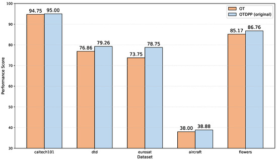
A Federated CLIP Fine-Tuning Method Based on Optimal Transport and Dual Prompt Personalization
by Lei Shi, Zepeng Li, Xu Ding, Yingfei Zhu and Xin Yao
Electronics 2026, 15(5), 972; https://doi.org/10.3390/electronics15050972 - 27 Feb 2026
Viewed by 341
Abstract
The Contrastive Language-Image Pre-training (CLIP) model uses contrastive learning to align image and text representations, and fine-tuning CLIP with federated learning can extend its application to professional fields. However, federated CLIP fine-tuning faces two key challenges: insufficient alignment of fine-grained semantics between vision [...] Read more.
The Contrastive Language-Image Pre-training (CLIP) model uses contrastive learning to align image and text representations, and fine-tuning CLIP with federated learning can extend its application to professional fields. However, federated CLIP fine-tuning faces two key challenges: insufficient alignment of fine-grained semantics between vision and text modalities and poor adaptability to non-independent and identically distributed (non-IID) data. This paper proposes the Optimal Transport Dual Prompt Personalization (OTDPP) framework, injects prompt parameters into the deep networks of both visual and text encoders, achieves fine-grained cross-modal alignment through optimal transport, and designs a dual prompt tuning mechanism. The framework splits prompt parameters into a shared global part aggregated by the server and a private local part reserved by clients, and it enables personalized adaptation without updating large backbone encoders. Extensive experiments show that compared with classic prompt tuning baseline methods, OTDPP reduces computational and communication overhead, retains client-specific personalized features, significantly improves model adaptability and performance, and thus demonstrates broad application prospects. Full article
Show Figures

Figure 1

19 pages, 1244 KB  
Article
Anomaly Detection as a Key Driver of Digital Forensic Resilience: Empirical Evidence from Critical Infrastructure Experts
by Marija Gombar, Darko Možnik and Mirjana Pejić Bach
Systems 2026, 14(2), 213; https://doi.org/10.3390/systems14020213 - 17 Feb 2026
Viewed by 643
Abstract
Ensuring strategic resilience in critical infrastructures supported with a machine learning approach requires moving beyond compliance checklists and post-incident analysis toward proactive, intelligence-based approaches. This study introduces the Forensic Resilience Operational Model (FROM), a systems thinking framework designed to embed forensic intelligence into [...] Read more.
Ensuring strategic resilience in critical infrastructures supported with a machine learning approach requires moving beyond compliance checklists and post-incident analysis toward proactive, intelligence-based approaches. This study introduces the Forensic Resilience Operational Model (FROM), a systems thinking framework designed to embed forensic intelligence into the resilience cycle of complex socio-technical systems. To quantify this integration, the study investigates the determinants of the extent to which four operational pillars (forensic readiness, anomaly detection, governance and privacy safeguards, and structured intelligence integration) affect forensic resilience, using empirical survey data from 212 cybersecurity professionals across critical infrastructure sectors. We deploy Partial Least Squares Structural Equation Modelling (PLS-SEM) to investigate these relationships, and the results confirm that anomaly detection is the strongest contributor to forensic resilience, followed by structured intelligence integration and forensic readiness. Governance safeguards, while comparatively weaker, provide the necessary legitimacy and assurance of compliance. Supported with sector-specific case studies in the maritime, financial, and CERT domains, the findings highlight both the adaptability of the proposed FROM and the operational constraints encountered in real-world contexts. The study contributes to the field of systems-oriented strategic management by demonstrating that, when systematically embedded, forensic intelligence enhances adaptive capacity, supports predictive decision-making, and strengthens resilience in environments characterized by uncertainty and high complexity. Full article
Show Figures

Figure 1

15 pages, 16654 KB  
Article
Preliminary Metrological Characterization of Low-Cost MEMS Inclinometer for Tree Stability Assessment: From Laboratory to Field
by Ilaria Incollu, Francesca Giannetti, Yamuna Giambastiani, Andrea Giachetti, Hervè Atsè Corti, Tommaso Tognetti, Gianni Bartoli and Filippo Giadrossich
Forests 2026, 17(2), 250; https://doi.org/10.3390/f17020250 - 13 Feb 2026
Viewed by 416
Abstract
Urban trees provide important benefits but can also pose safety risks when stability is reduced. Visual Tree Assessment (VTA) is typically the first step in risk analysis and is sometimes complemented by instrumental methods such as dynamic and static tests. Static pulling tests [...] Read more.
Urban trees provide important benefits but can also pose safety risks when stability is reduced. Visual Tree Assessment (VTA) is typically the first step in risk analysis and is sometimes complemented by instrumental methods such as dynamic and static tests. Static pulling tests provide quantitative information on anchorage, but their cost and logistics limit use to site-specific applications. This study evaluates a low-cost Micro-Electro-Mechanical Systems (MEMS) inclinometer for quasi-static inclination measurements during a static pulling test, combining a laboratory calibration against a geometric reference with field comparisons against a professional high-precision inclinometer commonly used in static pulling tests. In the laboratory, using a calibrated tilting beam and a 120 s averaging window, the MEMS sensor yielded absolute errors on the order of a few hundredths of a degree (up to ≈0.015°) compared to the geometric expectation. In the field, comparisons were performed in the relative domain (baseline on the first stable plateau) along the longitudinal component, showing high concordance with the reference high-precision inclinometer commonly used in arboricultural pulling tests (e.g., r0.99, RMSE 0.040.07°, Deming slope 1.021.05). These results support the feasibility of low-cost MEMS for static tilt assessment. Given battery-powered wireless operation and simple processing, they indicate a potential for wider deployments in repeated or scheduled quasi-static assessments (e.g., during controlled pulling tests), complementing professional instrumentation. Full article
(This article belongs to the Special Issue Forest and Urban Green Space Ecosystem Services and Management)
Show Figures

Figure 1

10 pages, 1591 KB  
Proceeding Paper
A Comprehensive Sustainable Performance Assessment in Morocco’s Mining Sector Using Artificial Neural Networks and the Fuzzy Analytic Network Process
by Chayma Farchi, Fadwa Farchi, Badr Touzi and Ahmed Mousrij
Eng. Proc. 2025, 112(1), 82; https://doi.org/10.3390/engproc2025112082 - 6 Feb 2026
Viewed by 300
Abstract
This article provides an in-depth evaluation of sustainability performance within the mining sector by employing the Fuzzy Analytic Network Process (FANP). The assessment centers on five fundamental dimensions: economic, social, environmental, operational, and stakeholder-related factors. FANP facilitates a comprehensive prioritization of both these [...] Read more.
This article provides an in-depth evaluation of sustainability performance within the mining sector by employing the Fuzzy Analytic Network Process (FANP). The assessment centers on five fundamental dimensions: economic, social, environmental, operational, and stakeholder-related factors. FANP facilitates a comprehensive prioritization of both these broad categories and their associated sub-criteria, enabling a well-structured and balanced appraisal of sustainable performance. The methodology is further strengthened by integrating machine learning techniques, specifically a multilayer perceptron, which improves the accuracy and reliability of the multidimensional performance evaluation. Although the study concentrates on the mining industry in Morocco, the developed model is flexible and can be adapted to various other industries and research fields. By filling a significant gap in holistic sustainability assessment, this work offers valuable practical insights to support enhanced management practices and contributes meaningfully to the advancement of sustainable development goals. The findings and approach presented are pertinent to both industry professionals and the academic community alike. Full article
Show Figures

Figure 1

45 pages, 6140 KB  
Systematic Review
Retrospection on E-Commerce: An Updated Bibliometric Analysis
by Laura-Diana Radu, Daniela Popescul and Mircea-Radu Georgescu
J. Theor. Appl. Electron. Commer. Res. 2026, 21(2), 46; https://doi.org/10.3390/jtaer21020046 - 2 Feb 2026
Viewed by 1059
Abstract
Companies need to allocate substantial effort and resources towards adapting to dynamic market trends and promptly meeting their customers’ evolving expectations in the online business context. Although e-commerce research has experienced significant growth over the past two decades, a comprehensive, systematic, and longitudinal [...] Read more.
Companies need to allocate substantial effort and resources towards adapting to dynamic market trends and promptly meeting their customers’ evolving expectations in the online business context. Although e-commerce research has experienced significant growth over the past two decades, a comprehensive, systematic, and longitudinal analysis that maps the evolution of publications, academic collaboration patterns, influential actors and sources, thematic structures, and theoretical foundations of the field is still lacking. This gap limits a holistic understanding of the maturation, intellectual structure, and future research directions of e-commerce as an academic domain. Based on these premises, the primary objective of the present study is to analyse the landscape of e-commerce spanning the period from 2008 to 2024. By employing bibliometric analysis, we have identified the most prolific and influential authors and publications that have made notable contributions to the literature on e-commerce, as well as the collaborations between authors and countries within the same field. Furthermore, we have analysed the thematic map, research trends, and interconnections between research themes over the past 17 years, providing a dynamic summary of scientific topics of interest in the field of e-commerce and suggesting potential directions for future explorations. The results reveal the heterogeneity of themes associated with e-commerce. We found that research topics in this field have evolved alongside technological evolution and social changes. Some themes have persisted over the years, such as customer behaviour or trust, while others have either disappeared or transformed. For instance, research related to supporting e-commerce technologies has become more specific, focusing on topics such as artificial intelligence, deep learning, machine learning, metaverse or blockchain. From a social perspective, the impact of COVID-19 has resonated within the scientific community, becoming a significant focus of researchers around the world. This study serves as a comprehensive guide for professionals and researchers seeking to bridge current research topics with forthcoming developments in the field of e-commerce. Examining contributions and emerging trends reveals new perspectives on how technological progress interacts with the social and economic dimensions of e-commerce. Full article
Show Figures

Figure 1

34 pages, 5402 KB  
Review
The Rise of Foundation Models: Opportunities, Technology, Applications, Challenges, Recent Trends, and Future Directions
by Ali Hussain, Umm E. Farwa, Sikandar Ali and Hee-Cheol Kim
Appl. Syst. Innov. 2026, 9(2), 35; https://doi.org/10.3390/asi9020035 - 30 Jan 2026
Viewed by 1746
Abstract
Foundation models (FMs) have become a paradigm shift in the field of artificial intelligence, allowing one large-scale pretrained model to be customized for a broad set of downstream tasks using very little task-specific data. These models, which include GPT, CLIP, BERT, and vision [...] Read more.
Foundation models (FMs) have become a paradigm shift in the field of artificial intelligence, allowing one large-scale pretrained model to be customized for a broad set of downstream tasks using very little task-specific data. These models, which include GPT, CLIP, BERT, and vision transformers, have altered the scope of transfer learning and multimodal understanding and are built on top of enormous datasets and self-supervised learning. The paper provides a broad view of the modern state of foundation models, with an emphasis on their technological foundation, training, and cross-domain use in fields like natural language processing, computer vision, healthcare, robotics and scientific discovery. We also explore the main opportunities that FMs offer, as well as state-of-the-art methods and techniques for the development of foundation models. we discuss their applications in natural language processing, computer vision, healthcare, etc. Furthermore, their limitations and challenges are also investigated. Lastly, future prospects are discussed so that professionals and scientists obtain a better understanding of the importance of foundation models for addressing their research goals. Full article
Show Figures

Figure 1

Back to TopTop