Sign in to use this feature.

Years

Between: -

Subjects

remove_circle_outline
remove_circle_outline
remove_circle_outline
remove_circle_outline
remove_circle_outline
remove_circle_outline
remove_circle_outline
remove_circle_outline
remove_circle_outline

Journals

remove_circle_outline
remove_circle_outline
remove_circle_outline
remove_circle_outline
remove_circle_outline
remove_circle_outline
remove_circle_outline

Article Types

Countries / Regions

remove_circle_outline
remove_circle_outline
remove_circle_outline
remove_circle_outline

Search Results (944)

Search Parameters:
Keywords = spatial-temporal transition

Order results
Result details
Results per page
Select all
Export citation of selected articles as:
26 pages, 2060 KB  
Essay
Exploring the Impact of Enterprise Entry and Exit on Ecological Environment Performance: Evidence from China’s Strategic Emerging Industries
by Tong Liu, Ziyi Zhang, Peng Zhang and Xujia Zhang
Sustainability 2026, 18(5), 2620; https://doi.org/10.3390/su18052620 (registering DOI) - 7 Mar 2026
Abstract
Strategic Emerging Industries (SEIs) are a critical driver of China’s green transition and high-quality development; however, the Ecological and Environmental Effects of Firm Entry and Exit remain insufficiently explored. Based on micro-level data of Chinese SEI enterprises from 2009 to 2023, this study [...] Read more.
Strategic Emerging Industries (SEIs) are a critical driver of China’s green transition and high-quality development; however, the Ecological and Environmental Effects of Firm Entry and Exit remain insufficiently explored. Based on micro-level data of Chinese SEI enterprises from 2009 to 2023, this study employs kernel density estimation and a panel fixed-effects model to construct a five-dimensional ecological environment evaluation system under the PSDRP framework and to examine the spatio-temporal evolution characteristics of Firm Entry and Exit and their Ecological and Environmental Effects. The results indicate that SEI enterprises exhibit agglomeration in the Eastern Region and gradual diffusion toward the Western Region, with exit activities showing higher spatial concentration. Firm Entry generates stage-specific constraining effects on the ecological environment, whereas Firm Exit alleviates ecological Pressure and enhances Resilience. Significant regional heterogeneity is observed, forming a pattern of optimization in the Eastern Region, improvement in the Central and Western Regions, and greater adjustment challenges in the Northeast Region. This study provides empirical evidence for differentiated and coordinated industrial–environmental policy design. Full article
24 pages, 2685 KB  
Article
Research on an Intelligent Scheduling Method Based on GCN-AM-LSTM for Bus Passenger Flow Prediction
by Xiaolei Ji, Zhe Li, Zhiwei Guo, Haotian Li and Hongpeng Nie
Appl. Sci. 2026, 16(5), 2525; https://doi.org/10.3390/app16052525 - 5 Mar 2026
Abstract
With the acceleration of urbanization, public transit systems face prominent challenges, including insufficient passenger flow prediction accuracy and low scheduling efficiency. This study analyzes passenger flow variation patterns from both spatial and temporal dimensions, constructs spatiotemporal matrices, and employs matrix dimensionality reduction methods [...] Read more.
With the acceleration of urbanization, public transit systems face prominent challenges, including insufficient passenger flow prediction accuracy and low scheduling efficiency. This study analyzes passenger flow variation patterns from both spatial and temporal dimensions, constructs spatiotemporal matrices, and employs matrix dimensionality reduction methods to extract key features. We propose a passenger flow prediction model based on GCN-AM-LSTM and a dynamic real-time intelligent scheduling strategy. For passenger flow prediction, the model first utilizes Graph Convolutional Networks (GCNs) to extract spatial features of the transit network, then employs Attention Mechanism-enhanced Long Short-Term Memory networks (AM-LSTM) to perform weighted extraction of temporal features, and finally integrates external factors such as weather conditions to generate prediction outputs. For scheduling optimization, a dynamic real-time scheduling mode is adopted: the foundational framework optimizes dynamic departure timetables using a multi-objective particle swarm optimization algorithm, which is then combined with real-time passenger flow data to adjust departure intervals at the route level and implement stop-skipping strategies at the station level. Validation was conducted using Xiamen BRT Line 1 as a case study. Experimental results demonstrate that the proposed GCN-AM-LSTM prediction model reduces Mean Absolute Error (MAE) by 14% and 22% compared to CNN and LSTM models, respectively, achieving significantly improved prediction accuracy. Regarding scheduling optimization, the number of departures decreased by 15.24%, passenger waiting time costs were reduced by 3.7%, and transit operating costs decreased by 3.19%, effectively balancing service quality and operational efficiency. Full article
(This article belongs to the Special Issue Research and Estimation of Traffic Flow Characteristics)
Show Figures

Figure 1

31 pages, 24139 KB  
Article
Renewable Energy Communities: An Opportunity for Multi-Benefit Urban Sustainability
by Renata Valente, Louise Anna Mozingo, Salvatore Losco, Maria Rosaria Alfano, Cristiana Donati, Roberto Bosco, Savino Giacobbe, Cipriano Cerullo and Mihaela Bianca Maienza
Energies 2026, 19(5), 1324; https://doi.org/10.3390/en19051324 - 5 Mar 2026
Abstract
Public buildings and open spaces form key elements in an exchange system of both tangible resources (energy, water, physical spaces) and intangible assets (services, skills, time). This study presents an innovative protocol (AGAPE—Automatic GIS Assessment Protocol for Energy and environment) to regenerate metropolitan [...] Read more.
Public buildings and open spaces form key elements in an exchange system of both tangible resources (energy, water, physical spaces) and intangible assets (services, skills, time). This study presents an innovative protocol (AGAPE—Automatic GIS Assessment Protocol for Energy and environment) to regenerate metropolitan suburbs by managing common resources and support sustainable communities. It tackles energy poverty by integrating urban planning, environmental design, and economics into geographic information science. This expedites public well-being by redesigning public facilities to enhance community connections and improve bioclimatic resilience. The model test site is a peripheral suburban area, Melito di Napoli, within the Metropolitan City of Naples (Italy), characterized by high population density and ongoing suburban expansion. The protocol evaluates temporal scenarios for implementing multi-purpose solutions, supporting public agencies in strategic intervention assessments, optimizing funding allocation and community benefits. The modeling of redesigned community assets reveal key outcomes: renewed land-use opportunities, reduced spatial inequities, and increased climate change resilience. The transformation of public buildings and facilities into multi-benefit community cores catalyzes virtuous urban regeneration processes. The model AGAPE provides a replicable decision framework to transform existing settlements and to drive the transition towards more sustainable, equitable urban communities. Full article
Show Figures

Figure 1

23 pages, 2368 KB  
Article
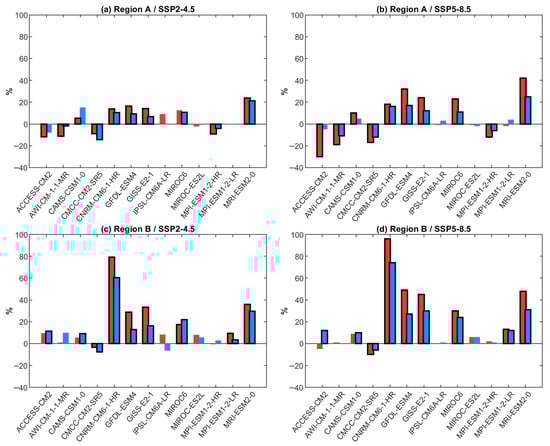
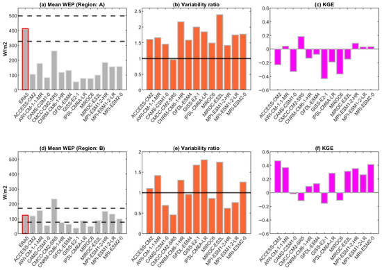
Wind Energy Potential over the Eastern Mediterranean During the Summer Season: Evaluation and Future Projections from CMIP6
by Ioannis Logothetis, Maria-Elissavet Koukouli, Athanasios Kerchoulas, Dimitrios-Sotirios Kourkoumpas, Adamantios Mitsotakis, Panagiotis Grammelis, Kleareti Tourpali and Dimitrios Melas
Climate 2026, 14(3), 64; https://doi.org/10.3390/cli14030064 - 5 Mar 2026
Viewed by 43
Abstract
Renewables are key pillars of the European Union’s (EU) strategy for green transition and climate neutrality. In particular, wind energy lies at the core of a sustainable framework regarding the energy policy (i.e., European Green Deal and REPowerEU plan) supporting clean, secure, and [...] Read more.
Renewables are key pillars of the European Union’s (EU) strategy for green transition and climate neutrality. In particular, wind energy lies at the core of a sustainable framework regarding the energy policy (i.e., European Green Deal and REPowerEU plan) supporting clean, secure, and affordable electricity for a resilient future. In this study, Global Climate Models (GCMs) simulations were used to investigate the efficiency of GCMs to capture and reproduce the spatial and temporal features of Wind Energy Potential (WEP). The GCMs that have been used in this study are available in the context of the Coupled Model Intercomparison Project Phase 6 (CMIP6). The analysis focuses on high-interest regions of the Eastern Mediterranean (EMed) during the summer season (JJA). The ERA5 reanalysis dataset was used as a reference data set. Furthermore, projected changes in WEP were calculated under two Shared Socioeconomic Pathways (the “moderate”, SSP2-4.5 and the “fossil-fueled development”, SSP5-8.5 scenarios), covering the period from 1970 to 2099. The results indicate that most GCMs underestimate mean WEP, with model performance ranging from “poor” to “good” scores based on the Kling–Gupta Efficiency index (−0.45 < KGE < 0.5). Future WEP projections show no consistent spatial patterns among GCMs. By the late 21st century, WEP is projected to decrease (about 10–15%) over the Southeastern Aegean and increase between Crete and Libya (about 10–15%) relative to the baseline historical period (1970–2000) under both SSP scenarios. Finally, findings provide elements for the WEP evolution over the Eastern Mediterranean, contributing to the EU energy policy. Full article
(This article belongs to the Special Issue Wind‑Speed Variability from Tropopause to Surface)
Show Figures

Figure 1

30 pages, 3091 KB  
Article
Classification and Characterization of Vegetation Dynamics in Northeastern Mexico from 25-Year EVI Time Series
by Alejandra Nahiely Espinoza-Coronado, Ángela P. Cuervo-Robayo, Jorge Víctor Horta-Vega, Arturo Mora-Olivo, Ausencio Azuara-Domínguez and Crystian S. Venegas-Barrera
Remote Sens. 2026, 18(5), 787; https://doi.org/10.3390/rs18050787 - 4 Mar 2026
Viewed by 84
Abstract
Vegetation indices are used to analyze vegetation dynamics and primary productivity. However, most studies rely on short time series and peak or integral metrics, which limit the understanding of long-term vegetation dynamics in heterogeneous areas. This study aimed to classify a subarea of [...] Read more.
Vegetation indices are used to analyze vegetation dynamics and primary productivity. However, most studies rely on short time series and peak or integral metrics, which limit the understanding of long-term vegetation dynamics in heterogeneous areas. This study aimed to classify a subarea of northeastern Mexico using a 25-year EVI time series and to characterize the resulting groups using growth parameters derived from temporal analysis. MODIS EVI mosaics from 2000 to 2024 were averaged and classified using the ISODATA algorithm, resulting in 16 groups. Smoothed EVI time series were analyzed with TIMESAT to extract growth parameters, which were compared among groups using Discriminant Function Analysis with cross-validation. Minimum primary productivity expressed as EVI base value (BVAL) explained most of the observed variance among groups (70.7%). The classification exhibited robust statistical separability, achieving a cross-validated accuracy of 75.1% (κ = 0.73), and showed mesoscale spatial structure (~12.5 km). The groups had moderate but significant associations (Cramer’s V = 0.33) with existing vegetation and climate cartography. The results suggest that long-term BVAL is a stable and ecologically meaningful descriptor of landscape functioning. Overall, the proposed classification captures gradients and transition zones not represented in static cartographic products, revealing vegetation dynamics across heterogeneous landscapes. Full article
(This article belongs to the Section Biogeosciences Remote Sensing)
Show Figures

Figure 1

30 pages, 7149 KB  
Article
Volcanic Hazard Assessment of a Monogenetic Volcanic Field with Sporadic and Limited Information: Deterministic Approach for Harrat Lunayyir, Saudi Arabia
by Károly Németh, Abdulrahman Sowaigh, Mahmoud Ashor, Mostafa Toni and Vladimir Sokolov
GeoHazards 2026, 7(1), 33; https://doi.org/10.3390/geohazards7010033 - 4 Mar 2026
Viewed by 222
Abstract
Saudi Arabia is experiencing interactions between ongoing urbanization, tourism growth, infrastructure projects in western regions along the Red Sea, and volcanic hazards. The area contains extensive monogenetic volcanic fields with hundreds of volcanoes formed during the Quaternary period. The large scale of the [...] Read more.
Saudi Arabia is experiencing interactions between ongoing urbanization, tourism growth, infrastructure projects in western regions along the Red Sea, and volcanic hazards. The area contains extensive monogenetic volcanic fields with hundreds of volcanoes formed during the Quaternary period. The large scale of the region often limits and fragments volcanological research, resulting in insufficient age and chemical data to understand the spatial and temporal development of many volcanic fields. Increased tourism has created a need for volcanic hazard assessments, particularly since some volcanic fields are considered possible tourist destinations. Harrat Lunayyir, in northwestern Saudi Arabia, is an example where such assessments have been conducted. Hazard assessments seek to provide information about potential future eruption types, locations, and impacts over timeframes relevant to urban planning and risk management. Due to rapid local development, these assessments may be required on short notice for specific small areas within larger volcanic fields, even when geological data are limited. This report presents a deterministic, scenario-based method for addressing such requests in the Lunayyir Volcanic Field. Results indicate a young Holocene eruption site characterized by a complex scoria cone associated with lava spattering, Strombolian, violent Strombolian activity and extensive transitional-type lava effusion. Full article
Show Figures

Figure 1

24 pages, 1346 KB  
Systematic Review
Artificial Intelligence in Cadastre: A Systematic Review of Methods, Applications, and Trends
by Jingshu Chen, Majid Nazeer, Bo Sum Lee and Man Sing Wong
Land 2026, 15(3), 411; https://doi.org/10.3390/land15030411 - 2 Mar 2026
Viewed by 228
Abstract
Surveying and register administration are core to land administration, and accordingly, land surveying and registration are essential to socio-economic development due to their potential accuracy and efficiency. Until now, customary land surveying and registration have relied on human input, which is a situation [...] Read more.
Surveying and register administration are core to land administration, and accordingly, land surveying and registration are essential to socio-economic development due to their potential accuracy and efficiency. Until now, customary land surveying and registration have relied on human input, which is a situation that undermines efficiency and is prone to errors in data handling. During the last decade, the exponential growth in artificial intelligence (AI), in particular, geospatial artificial intelligence (GeoAI), has provided new methodologies that can overcome these deficiencies. This review examines AI in cadastral management by analyzing technical solutions and trends across three areas including data collection, modeling, and common applications. This review aims to provide a comprehensive survey of the current use of AI in cadastral management to the extent of defining a future research avenue. Based on the comprehensive review of literature, this study has reached the following three conclusions. (1) Automated extraction of parcel boundaries has been achieved through deep learning in data collection and processing, removing the bottlenecks of manual interpretation. Models such as convolutional neural networks (CNNs) and Transformers have been used for pixel-level semantic segmentation of high-resolution remote sensing images, leading to significant improvements in efficiency and accuracy. (2) Non-spatial data have been processed with natural language processing techniques to automatically extract information and construct relationships, thus overcoming the limitations of paper-based archives and traditional relational databases. (3) Deep learning models have been applied to automatically detect parcel changes and to enable integrated analysis of spatial and non-spatial data, which has supported the transition of cadastral management from two-dimensional to three-dimensional. However, several challenges remain, including differences in multi-temporal data processing, spatial semantic ambiguity, and the lack of large-scale, high-quality annotated data. Future research can focus on improving model generalization, advancing cross-modal data fusion, and providing recommendations for the development of a reliable and practical intelligent cadastral system. Full article
Show Figures

Figure 1

28 pages, 12051 KB  
Article
Four-Decade Evolution of Ecological Quality in the Ji River Basin (1986–2024): A Remote Sensing Ecological Index (RSEI) Perspective
by Ling Nan, Qiaorui Ba, Chengyong Wu and Qiang Liu
Sustainability 2026, 18(5), 2396; https://doi.org/10.3390/su18052396 - 2 Mar 2026
Viewed by 118
Abstract
Long-term ecological monitoring is essential for sustainable management in fragile regions. This study assessed four decades (1986–2024) of ecological evolution in the Ji River Basin—a 1276.64 km2 transitional loess–gully ecosystem in China’s Yellow River Basin—using the Remote Sensing Ecological Index (RSEI). We [...] Read more.
Long-term ecological monitoring is essential for sustainable management in fragile regions. This study assessed four decades (1986–2024) of ecological evolution in the Ji River Basin—a 1276.64 km2 transitional loess–gully ecosystem in China’s Yellow River Basin—using the Remote Sensing Ecological Index (RSEI). We integrated multi-temporal Landsat images via Google Earth Engine to construct a 40-year RSEI time series. The index couples greenness (NDVI), wetness (WET), heat (LST), and dryness (NDBSI) through principal component analysis, with PC1 explaining > 82% of the variance. Three evolutionary phases were identified: initial degradation (1986–1996), driven by slope cropland expansion; stabilization (1996–2006), coinciding with early ‘Grain for Green’ policies; and sustained recovery (2006–2024), characterized by the expansion of high-quality zones. We developed a novel resilience zoning framework integrating local spatial consistency, terrain constraints, and functional state (mean RSEI 2016–2024), which delineated three zones: high-resilience refugia (19.37%), moderate-resilience matrix (75.54%), and low-resilience corridors (5.09%). Mid-slope positions (TPI: 1.220–1.510) within moderate-resilience zones demonstrated optimal restoration efficiency, challenging conventional uniform approaches. The findings advocate spatially differentiated strategies—investing in transitional zones, retrofitting degraded corridors, and monitoring stable refugia—to advance the implementation of Sustainable Development Goal 15 in semi-arid regions globally. Full article
(This article belongs to the Section Environmental Sustainability and Applications)
Show Figures

Figure 1

27 pages, 6760 KB  
Article
Predicting Wetland Vulnerability Under Urban Sprawl with an Integrated CA–Markov Model: The Case of Colombo, Sri Lanka
by Varuni Jayasoriya, SKP Christeen, Shobha Muthukumaran and Rathmalgodage Thejani Nilusha
Urban Sci. 2026, 10(3), 128; https://doi.org/10.3390/urbansci10030128 - 1 Mar 2026
Viewed by 221
Abstract
Urban sprawl is reshaping metropolitan landscapes and placing increasing pressure on wetland ecosystems. Using Colombo, Sri Lanka as a case study, multi-temporal Landsat-based land use/land cover classifications for 1997, 2007, and 2017 were integrated with Cellular Automata–Markov land use simulation and Shannon entropy [...] Read more.
Urban sprawl is reshaping metropolitan landscapes and placing increasing pressure on wetland ecosystems. Using Colombo, Sri Lanka as a case study, multi-temporal Landsat-based land use/land cover classifications for 1997, 2007, and 2017 were integrated with Cellular Automata–Markov land use simulation and Shannon entropy analysis to quantify historical urban growth and project future wetland exposure to 2060 under a business-as-usual scenario. Results indicate that built-up land has expanded sharply over the study period, while wetlands have declined by roughly one-quarter, indicating intensifying development pressure on ecologically sensitive areas. Model projections under a business-as-usual scenario showed continued urban expansion and a potential reduction in wetlands to less than one-fifth of their 1997 extent by 2060. Shannon entropy analysis reveals increasingly dispersed suburban growth alongside saturation in several core urban zones, confirming a spatial shift toward decentralized development. The combined results indicate rising wetland vulnerability, particularly in transitional peri-urban areas where future losses are likely to concentrate. These trends pose direct risks to flood regulation, stormwater retention, and microclimate moderation, underscoring the need for strengthened wetland safeguards, green infrastructure integration, and more controlled development strategies. The study demonstrates the utility of CA–Markov modelling for anticipating wetland vulnerability under urban expansion and provides evidence to support resilience-focused planning in rapidly urbanizing regions. Full article
Show Figures

Figure 1

32 pages, 6608 KB  
Article
A Forecasting Model for Passenger Flows of Urban Rail Transit Based on Multi-Source Spatio-Temporal Features and Optimized Ensemble Learning
by Haochu Cui and Yan Sun
Modelling 2026, 7(2), 48; https://doi.org/10.3390/modelling7020048 - 28 Feb 2026
Viewed by 173
Abstract
In this study, we propose a novel model based on multi-source spatio-temporal features and optimized ensemble learning for forecasting station- and line-level passenger flows of urban rail transit. First, we design a spatio-temporal feature engineering method to enhance the accuracy of forecasting using [...] Read more.
In this study, we propose a novel model based on multi-source spatio-temporal features and optimized ensemble learning for forecasting station- and line-level passenger flows of urban rail transit. First, we design a spatio-temporal feature engineering method to enhance the accuracy of forecasting using passenger flow features; the temporal features include periodic and lag effects and the spatial features cover spatio-temporal attention mechanisms, adjacency relationships in the network graph and station clustering features. Furthermore, an improved ensemble learning method based on Extra Randomized Trees (ExtraTrees) and Light Gradient Boosting Machine (LightGBM) is developed to forecast the station-level passenger flows using a weighted sum method in which a particle swarm optimization algorithm is adopted to determine the weights assigned to the forecasting results of the two models. Finally, ridge regression is adopted as the meta-learning model to forecast line-level passenger flows. We employed passenger flow data from three urban rail transit lines in Hangzhou to demonstrate the feasibility of the proposed model. The results indicate that it produces more accurate passenger flow forecasts at the station and line levels than benchmark models. Therefore, it can provide a solid support for optimizing the operations, management, and planning for both a single urban rail transit station and the entire network. Full article
(This article belongs to the Special Issue Machine Learning and Artificial Intelligence in Modelling)
Show Figures

Figure 1

25 pages, 6042 KB  
Article
Three Decades of Land Use and Land Cover Changes in the Bucharest-Ilfov Development Region: From Post-Communist Transition to EU Accession
by Ana Navarro, George-Călin Baltariu and João Catalão
Remote Sens. 2026, 18(5), 711; https://doi.org/10.3390/rs18050711 - 27 Feb 2026
Viewed by 146
Abstract
Following Romania’s regime change in 1989 and its accession to the European Union (EU) in 2007, the country experienced substantial land-use and land cover (LULC) changes driven by political, economic, and demographic processes. Early post-socialist property restitution led to land fragmentation, agricultural abandonment, [...] Read more.
Following Romania’s regime change in 1989 and its accession to the European Union (EU) in 2007, the country experienced substantial land-use and land cover (LULC) changes driven by political, economic, and demographic processes. Early post-socialist property restitution led to land fragmentation, agricultural abandonment, and the expansion of pastures and semi-natural vegetation, while rural areas became dominated by small, semi-subsistence farms. After EU accession, the implementation of the Common Agricultural Policy (CAP), combined with foreign direct investment and market consolidation, reshaped agricultural practices and intensified urbanization, particularly in suburban municipalities, with growth following radial and linear patterns along major transportation corridors. This study analyses LULC dynamics in the Bucharest-Ilfov Development Region across three distinct phases—post-communist transition (1993–2000), EU pre-accession (2000–2015), and post-accession (2015–2022)—combining regional- and municipality-level analyses and using Landsat imagery, GIS, and landscape metrics. Four LULC maps (1993, 2000, 2015, and 2022) were produced with a Random Forest classifier, achieving macro F1-scores above 0.86. Population data from the National Institute of Statistics suggest contrasting patterns between urban expansion and demographic trends, with Bucharest showing population decline despite modest urban growth, and Ilfov County exhibiting parallel increases in population and urbanized areas. Results highlight rapid urban sprawl, sustained agricultural decline, and increasing landscape fragmentation. Discrepancies with earlier studies partly reflect temporal effects related to post-socialist industrial restructuring and differences in data sources and spatial resolution. These findings highlight the need for integrated urban planning strategies to balance development pressures with the preservation of agricultural land and ecological resources. Full article
Show Figures

Figure 1

29 pages, 4518 KB  
Article
Diverging Priorities in Multi-Level Governance: Empirical Evidence from China’s Electricity Market Reforms (1985–2023)
by Yarong Hou, Cong Liu, Yuan Wu and Siqi He
Sustainability 2026, 18(5), 2286; https://doi.org/10.3390/su18052286 - 27 Feb 2026
Viewed by 160
Abstract
China’s electricity market reform has unfolded over several decades within a complex multi-level governance system involving both central and provincial governments. Although prior studies recognize that central–local interactions shape the direction and pace of reform, systematic evidence is limited on whether policy priorities [...] Read more.
China’s electricity market reform has unfolded over several decades within a complex multi-level governance system involving both central and provincial governments. Although prior studies recognize that central–local interactions shape the direction and pace of reform, systematic evidence is limited on whether policy priorities have evolved coherently or diverged across time and regions. To address this gap, we apply the Structural Topic Model (STM) to 13,234 policy documents issued between 1985 and 2023 to identify three core reform agendas and quantify the temporal and spatial evolution of policy attention. Results show that (1) price marketization (P) consistently dominates the central government’s reform agenda, reflecting a long-standing emphasis on market efficiency and institutional restructuring; (2) provincial governments allocate relatively more attention to low-carbon transition (L), often alongside reduced emphasis on price marketization (P), indicating a structured reweighting of priorities across governance levels; (3) comparisons across eight major regulatory zones reveal pronounced spatial heterogeneity: resource-dependent regions emphasize market and pricing reform, renewable-rich areas prioritize low-carbon development, and economically advanced coastal regions focus on service improvement and regulatory modernization. These findings provide systematic empirical evidence that policy coherence in China’s multi-level governance system is dynamic rather than static. Central–local divergence is best interpreted not as policy noncompliance but as structured regional differentiation and adaptive governance in reform implementation. Full article
(This article belongs to the Section Development Goals towards Sustainability)
Show Figures

Figure 1

29 pages, 11021 KB  
Article
Spatiotemporal Evolution Characteristics and Influencing Factors Analysis of Evapotranspiration in the Yellow River Basin from 2001 to 2022
by Zimiao He, Gangxiang Yuan, Zhe Liu, Shilong Hao, Ran Wei, Peiqing Xiao, Lu Zhang, Haoqiang Tong, Huanheng Dou and Yinghong Guo
Sustainability 2026, 18(5), 2280; https://doi.org/10.3390/su18052280 - 27 Feb 2026
Viewed by 111
Abstract
Under global warming, the intensification of the hydrological cycle highlights evapotranspiration (ET) as a key process governing land–atmosphere water and energy exchanges. Understanding the spatiotemporal variability of ET and its driving mechanisms is essential for regional hydrological and ecological studies. Based on MOD16 [...] Read more.
Under global warming, the intensification of the hydrological cycle highlights evapotranspiration (ET) as a key process governing land–atmosphere water and energy exchanges. Understanding the spatiotemporal variability of ET and its driving mechanisms is essential for regional hydrological and ecological studies. Based on MOD16 evapotranspiration products, meteorological data, and multi-source remote sensing datasets, this study systematically analyzed the spatiotemporal characteristics of evapotranspiration (ET) and its driving mechanisms in the Yellow River Basin during 2001–2022 using trend analysis, correlation analysis, and geographical detector methods. Results showed that ET exhibited a significant increasing trend across the YRB (5.29 mm·year−1), with extremely significant increases (p < 0.01) observed in 61.93% of the basin. Among climatic factors, precipitation, temperature, and wind speed exhibited significant increasing trends. Human activities were characterized by a significant increase in NDVI and land-use transitions toward forest and built-up land. Geographical detector results identified NDVI and precipitation as the strongest explanatory factors controlling ET spatial heterogeneity, with distinct driving mechanisms across the upper, middle, and lower reaches. Interaction effects among factors were stronger than individual effects, indicating that the spatial differentiation of ET is jointly controlled by climatic conditions and human activities. These findings empirically characterize the spatial heterogeneity, temporal trends, factor hierarchy, and interaction strength of ET variability at the basin scale and provide basin-scale evidence for understanding hydrological cycle responses under the combined influences of climate change and anthropogenic activities. Full article
Show Figures

Figure 1

30 pages, 11141 KB  
Article
Mapping Spatial Synergies and Trade-Offs: A Geographically Weighted Analysis of Ecosystem Services and Carbon Sequestration in Southern Italy
by Federica Isola, Bilge Kobak, Sabrina Lai, Francesca Leccis, Federica Leone and Corrado Zoppi
Sustainability 2026, 18(4), 2146; https://doi.org/10.3390/su18042146 - 22 Feb 2026
Viewed by 389
Abstract
The transition towards climate neutrality requires the development of spatially explicit planning approaches that account for territorial differences and land-use dynamics. Within this conceptual framework, this study has the objective of identifying and discussing spatially explicit planning approaches that can support the transition [...] Read more.
The transition towards climate neutrality requires the development of spatially explicit planning approaches that account for territorial differences and land-use dynamics. Within this conceptual framework, this study has the objective of identifying and discussing spatially explicit planning approaches that can support the transition to climate neutrality in different regional spatial contexts. With reference to this research question, a methodological framework is introduced and applied that is designed to support climate neutrality through spatial planning strategies. Carbon sequestration (CS) serves as a key metric to evaluate both the current state and the temporal evolution of this process, examined in connection with the provision of specific ecosystem services (ESs) within the relevant spatial setting. The work is structured as follows. An approach is developed to define the provision of ESs. Drawing on previous research and detailed assessments of environmental, landscape, and socio-cultural features, the study considers the following ESs: maintaining or improving habitat quality to sustain the life cycles of wild species valuable to humans; regulating climate by mitigating land surface temperature; agricultural and forestry production; and nature-based recreational opportunities. Moreover, spatial relationships between CS capacity and ES provision are examined through geographically weighted regressions, allowing comparisons across Basilicata, Campania, and Sardinia, three Regions in southern Italy forming the Italian Mezzogiorno. The multifunctional characteristics of ES supply contributes to optimizing CS capacity and advancing climate neutrality goals. In particular, in all three regional contexts, high values of CS capacity elasticity are recognized in relation to habitat quality and ground temperature mitigation, and very low elasticity conditions as regards the supply of recreational ESs and agricultural and forestry production. Full article
Show Figures

Figure 1

16 pages, 3970 KB  
Article
Spatiotemporal Surveillance of SARS-CoV-2 in Wastewater: Comparative Analysis of Viral Loads in Sewer and Treatment Plant Samples from Las Heras, Mendoza, Argentina (2020–2025)
by Israel Anibal Vega and Maximiliano Giraud-Billoud
COVID 2026, 6(2), 31; https://doi.org/10.3390/covid6020031 - 19 Feb 2026
Viewed by 217
Abstract
Wastewater-Based Epidemiology (WBE) has emerged as a critical tool for monitoring SARS-CoV-2 circulation at the community level. This study assessed spatiotemporal viral dynamics in Las Heras, Mendoza, Argentina, by comparing wastewater samples from six sewer maintenance holes and three wastewater treatment plants (WWTPs) [...] Read more.
Wastewater-Based Epidemiology (WBE) has emerged as a critical tool for monitoring SARS-CoV-2 circulation at the community level. This study assessed spatiotemporal viral dynamics in Las Heras, Mendoza, Argentina, by comparing wastewater samples from six sewer maintenance holes and three wastewater treatment plants (WWTPs) between January and June 2021, and by conducting long-term surveillance at Campo Espejo WWTP during epidemic (2020–2021) and endemic (2024–2025) phases of COVID-19. Viral particles from sewer manholes and WWTPs samples were concentrated by polyethylene glycol precipitation or aluminum polychloride adsorption–precipitation methods, and then SARS-CoV-2 RNA was quantified by reverse transcription quantitative polymerase chain reaction targeting N1 and N2 nucleocapsid viral markers. Results showed consistent detection of viral RNA across all sites, with peaks in wastewater preceding diagnosed COVID-19 cases increases, confirming WBE as an early-warning system. Localized sewer sampling identified urban hotspots, while WWTPs monitoring captured broader epidemiological trends. Recently, COVID-19 surveillance showed lower and intermittent viral loads, decoupled from diagnosed cases, compared to epidemic phase, indicating a transition to endemic circulation. Overall, combining upstream and downstream WBE enhanced spatial and temporal resolution, demonstrating its utility for public health monitoring during both epidemic and endemic phases. Full article
(This article belongs to the Special Issue COVID and Public Health)
Show Figures

Figure 1

Back to TopTop