Sign in to use this feature.

Years

Between: -

Subjects

remove_circle_outline
remove_circle_outline
remove_circle_outline
remove_circle_outline
remove_circle_outline
remove_circle_outline
remove_circle_outline
remove_circle_outline
remove_circle_outline

Journals

remove_circle_outline
remove_circle_outline
remove_circle_outline
remove_circle_outline
remove_circle_outline
remove_circle_outline
remove_circle_outline
remove_circle_outline
remove_circle_outline
remove_circle_outline

Article Types

Countries / Regions

remove_circle_outline
remove_circle_outline
remove_circle_outline
remove_circle_outline
remove_circle_outline
remove_circle_outline

Search Results (1,148)

Search Parameters:
Keywords = spatial displacement

Order results
Result details
Results per page
Select all
Export citation of selected articles as:
25 pages, 5664 KB  
Article
Bridging Heterogeneous Experimental Data and Soil Mechanics: An Interpretable Machine Learning Framework for Displacement-Dependent Earth Pressure
by Tianqin Zeng, Zhe Zhang and Yongge Zeng
Buildings 2026, 16(3), 601; https://doi.org/10.3390/buildings16030601 (registering DOI) - 1 Feb 2026
Abstract
Classical earth pressure theories often struggle to account for the complex coupling effects of wall displacement and spatial non-uniformity under non-limit states. This study presents an interpretable machine learning framework designed to extract universal mechanical laws from heterogeneous experimental datasets. Using a multi-source [...] Read more.
Classical earth pressure theories often struggle to account for the complex coupling effects of wall displacement and spatial non-uniformity under non-limit states. This study presents an interpretable machine learning framework designed to extract universal mechanical laws from heterogeneous experimental datasets. Using a multi-source database of rigid retaining walls with sandy backfill, a three-stage feature refinement strategy is proposed that incorporates Recursive Feature Elimination, Collinearity Analysis, and Interpretability Comparison to identify a parsimonious set of five fundamental physical parameters. A SHapley Additive exPlanations-Categorical Boosting (CatBoost-SHAP) framework is established to predict the active earth pressure coefficient (K) and interpret the underlying mechanisms across various movement modes (RB, RT, and T). Results demonstrate that the model effectively captures the progressive evolution of shear bands and the soil arching effect. Specifically, a critical displacement threshold of Δ/H ≈ 0.006 is identified, marking the transition from mode-dominated stress non-uniformity to magnitude-driven limit states. Leave-One-Dataset-Out Cross-Validation (LODOCV) confirms the model’s ability to maintain physical consistency over purely statistical fitting despite significant inter-literature heterogeneity. Finally, a Graphical User Interface (GUI) is developed to facilitate rapid, displacement-based design in engineering practice. This research bridges the gap between empirical laboratory observations and generalized mechanical logic, providing a data-driven foundation for refined geotechnical design. Full article
Show Figures

Figure 1

31 pages, 21886 KB  
Article
Occurrence and Characteristics of Rock Glaciers in Western Tien Shan
by Aibek Merekeyev, Serik Nurakynov, Tobias Bolch, Gulnara Iskaliyeva, Dinara Talgarbayeva and Nurmakhambet Sydyk
Water 2026, 18(3), 367; https://doi.org/10.3390/w18030367 (registering DOI) - 31 Jan 2026
Abstract
Rock glaciers are key indicators of mountain permafrost and act as climatically resilient water reservoirs in arid mountains. This study presents the first inventory and kinematic classification of rock glaciers in Western Tien Shan (Kazakhstan and Kyrgyzstan), combining geomorphological mapping with InSAR time-series [...] Read more.
Rock glaciers are key indicators of mountain permafrost and act as climatically resilient water reservoirs in arid mountains. This study presents the first inventory and kinematic classification of rock glaciers in Western Tien Shan (Kazakhstan and Kyrgyzstan), combining geomorphological mapping with InSAR time-series analysis. Using high-resolution optical imagery (Google Earth Pro (version 7.3.6.10441), Bing Maps, SAS Planet (version 200606.10075), digital elevation models, and Small Baseline Subset InSAR processing, 741 rock glaciers covering more than 70.5 km2 were identified. Activity classification revealed 232 transitional and 509 active forms, with mean seasonal displacement rates of ~15 cm yr−1 calculated based on August and September observations. Spatial analysis showed a strong rock glacier concentration on north-facing slopes (>66% of total area) with reduced potential incoming solar radiation. Rock glaciers mainly occur between 2800 and 3800 m a.s.l., with a mean elevation of 3340 m a.s.l. However, their kinematic activity varies across mid-altitudinal ranges, underscoring the influence of slope, aspect, shading, and local topography. Integration with the Global Permafrost Zonation Index (PZI) indicated a lower permafrost boundary at ~1922 m a.s.l., with the largest and most active glaciers occurring at intermediate PZI values (0.5–0.7). This first rock glacier inventory for the Western Tien Shan establishes a benchmark dataset that supports the validation and refinement of global models at a regional scale, guides priorities for permafrost monitoring, and provides a replicable framework for inventory development in other data-scarce mountain regions. Full article
(This article belongs to the Section Hydrology)
30 pages, 9711 KB  
Article
Primary Radiation Damage in a Strain-Engineering-Based SiGe/Si Heterostructure: A Molecular Dynamics Simulation
by Tian Xing, Shuhuan Liu, Qian Wang, Chao Wang, Yuchen Wang, Mathew Adefusika Adekoya, Xuan Wang, Xinkun Li, Huawei Sheng, Luyang Cai, Jiatong Tan, Yalei Yi and Zhongliang Li
Nanomaterials 2026, 16(3), 193; https://doi.org/10.3390/nano16030193 - 30 Jan 2026
Viewed by 17
Abstract
Space-borne SiGe-based electronics are confronted with high-energy particles and may suffer from displacement damage effects. Here, primary radiation damage of a strain-engineering-based SiGe/Si heterostructure was investigated by molecular dynamics simulations in two cases of independent and overlapping collision cascades. The results showed that [...] Read more.
Space-borne SiGe-based electronics are confronted with high-energy particles and may suffer from displacement damage effects. Here, primary radiation damage of a strain-engineering-based SiGe/Si heterostructure was investigated by molecular dynamics simulations in two cases of independent and overlapping collision cascades. The results showed that among 1 keV, 3 keV, and 5 keV primary knock-on atoms (PKAs) of Si and Ge, 3 keV Ge PKAs generated the most point defects at the heterointerface, which was associated with adequate PKA energy dissipated around the heterointerface. Meanwhile, the Frenkel pairs at the heterointerface continued increasing merely in the first three cascades and tended to annihilate subsequently, whereas the antisites both in the whole heterostructure and at the heterointerface accrued from the first to the fifth cascades. In addition, the spatial distribution of point defects surviving in each collision cascade was dominated by the melting region, and it could be superimposed on the subsequent ones during the overlapping cascades. Overall, this work explored the evolution of the defect and temperature as well as the overlapping effects during the collision cascades in a strain-engineering-based SiGe/Si heterostructure, which shall shed light on radiation effects of SiGe/Si heterostructures and pertinent radiation-hardening techniques of SiGe-based electronics. Full article
(This article belongs to the Section Theory and Simulation of Nanostructures)
16 pages, 6939 KB  
Article
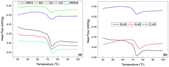
Compositional Effects of the Structure and Properties of 3D Printed Stratified rPET/rPETG Shape Memory Composites
by Ștefan Dumitru Sava, Vasile Ermolai, Bogdan Pricop, Radu-Ioachim Comăneci, Corneliu Munteanu, Nicoleta-Monica Lohan, Mihai Axinte and Leandru-Gheorghe Bujoreanu
Polymers 2026, 18(3), 370; https://doi.org/10.3390/polym18030370 - 30 Jan 2026
Viewed by 57
Abstract
The paper continues the authors’ efforts to characterize and control the shape memory effect (SME) occurring in 3D printed specimens of recycled polyethylene terephthalate (rPET) and polyethylene terephthalate glycol (rPETG). Lamellar and “dog-bone” configuration specimens were 3D printed in the form of stratified [...] Read more.
The paper continues the authors’ efforts to characterize and control the shape memory effect (SME) occurring in 3D printed specimens of recycled polyethylene terephthalate (rPET) and polyethylene terephthalate glycol (rPETG). Lamellar and “dog-bone” configuration specimens were 3D printed in the form of stratified composites with five different rPET/rPETG ratios, 100:0, 60:40, 50:50, 40:60, and 0:100, and two different angles between the specimen’s axis and the deposition direction, 0° and 45°. The lamellar specimens were used for: (i) free-recovery SME-investigating experiments, which monitored the variation of the displacement, of the free end of specimens which were bent at room temperature (RT), vs. temperature, during heating, (ii) differential scanning calorimetry (DSC), which emphasized heat flow variation vs. temperature, during glass transition and (iii) dynamic mechanical analysis (DMA), which recorded storage modulus vs. temperature in the glass transition interval. Dog-bone specimens were subjected to tensile failure and loading-unloading tests, performed at RT. The broken gauges were metallized with an Au layer and analyzed by scanning electron microscopy (SEM). The results showed that the specimens printed with 0° raster developed larger free-recovery SME strokes, the largest one corresponding to the specimen with rPET/rPETG = 40:60, which experienced the highest storage modulus increase, 872 MPa, and maximum value, 1818 MPa, during heating. The straight lamellar composite specimens experienced a supplementary shape recovery when bent at RT and heated, in such a way that their upper surface became concave, at the end of heating. Most of the specimens 3D printed at 0° raster developed stress failure plateaus, which were associated with the formation of delamination areas on SEM fractographs, while the specimens printed with 45° raster angle experienced necking failures, associated with the formation of crazing areas. The results suggested that 3D printed stratified rPET-rPETG composites, with dedicated spatial configurations, have the potential to serve as executive elements of light actuators for low-temperature operation. Full article
(This article belongs to the Section Polymer Processing and Engineering)
Show Figures

Figure 1

18 pages, 8033 KB  
Article
Dynamics of the Southwest Asia Anticyclone: Linking Core Migration and Intensification to Precipitation Variability
by Sousan Heidari, Iman Rousta, Haraldur Olafsson, Leila Ahadi, Eros Manzo and Francesco Petracchini
Atmosphere 2026, 17(2), 140; https://doi.org/10.3390/atmos17020140 - 28 Jan 2026
Viewed by 79
Abstract
The Southwest Asia Anticyclone (SWAA) plays a pivotal role in governing the regional precipitation regime. This study analyzes the structure and spatiotemporal variability of the SWAA core at the 850, 700, and 500 hPa levels, and its relationship with precipitation across Southwest Asia. [...] Read more.
The Southwest Asia Anticyclone (SWAA) plays a pivotal role in governing the regional precipitation regime. This study analyzes the structure and spatiotemporal variability of the SWAA core at the 850, 700, and 500 hPa levels, and its relationship with precipitation across Southwest Asia. Monthly precipitation and geopotential height (HGT) data were obtained from ERA5 reanalysis with a 0.25° spatial resolution over 1940–2023. The results showed that in September the SWAA core migrates from northwestern and western Saudi Arabia, shifting southward during colder periods and retreating landward in warmer periods. At 850 hPa, the core is absent during June–August, while at 700 hPa it is positioned over the southeastern Caspian Sea. The SWAA has intensified in recent decades, and its directional shifts exert a marked influence on precipitation variability: northeastward, eastward, southeastward, and southward displacements enhance rainfall, whereas northward, northwestward, and westward movements suppress it. Overall, the intensity and positioning of the SWAA are strongly linked to precipitation patterns in Southwest Asia. These findings contribute to refining precipitation and climate projections and offer practical implications for water resource management and agricultural planning in the region. Full article
(This article belongs to the Section Climatology)
Show Figures

Figure 1

16 pages, 4718 KB  
Article
Effects of Longwall Mining Subsidence on Cadastral Parcel Areas: A Case Study from the Upper Silesian Coal Basin (Poland)
by Kinga Kłos and Andrzej Araszkiewicz
Appl. Sci. 2026, 16(3), 1281; https://doi.org/10.3390/app16031281 - 27 Jan 2026
Viewed by 92
Abstract
Underground coal mining leads to surface subsidence and ground deformation, which may affect the accuracy of cadastral data. This study evaluates mining-induced displacement caused by longwall VIII-E-E1 extraction in seam 703/1 and examines its potential impact on the Polish EGiB cadastral register. In [...] Read more.
Underground coal mining leads to surface subsidence and ground deformation, which may affect the accuracy of cadastral data. This study evaluates mining-induced displacement caused by longwall VIII-E-E1 extraction in seam 703/1 and examines its potential impact on the Polish EGiB cadastral register. In 2018–2021, precise GNSS observations were collected on a specially designed geodetic monitoring polygon located in the affected area. These measurements enabled a detailed assessment of surface deformation during and after exploitation. The maximum subsidence was recorded above the extracted longwall and decreased outward, forming a typical post-mining deformation basin. Although boundary-point displacements remained generally within acceptable limits, the cumulative reduction of parcel areas reached about 43 m2 in total. Five parcels (0.8% of the dataset) showed area changes exceeding 1 m2. The results indicate that a single longwall has a limited effect on cadastral data integrity; however, continued multi-panel mining may lead to progressive boundary shifts, compromising the spatial and legal reliability of cadastral resources. The study confirms the effectiveness of integrated geospatial monitoring in detecting mining-related deformation and highlights the need for continuous control of cadastral datasets, especially in the Upper Silesian Coal Basin, where large-scale mining remains active. Full article
Show Figures

Figure 1

29 pages, 11156 KB  
Article
Mesoscopic Heterogeneous Modeling Method for Polyurethane-Solidified Ballast Bed Based on Virtual Ray Casting Algorithm
by Yang Xu, Zhaochuan Sheng, Jingyu Zhang, Hongyang Han, Xing Ling, Xu Zhang and Luchao Qie
Materials 2026, 19(3), 474; https://doi.org/10.3390/ma19030474 - 24 Jan 2026
Viewed by 272
Abstract
This study introduces a mesoscale modeling methodology for polyurethane-solidified ballast beds (PSBBs) that eliminates reliance on X-ray computed tomography (XCT) and addresses constraints in specimen size, capital cost, and post-processing complexity. The approach couples the Discrete Element Method (DEM) with the Finite Element [...] Read more.
This study introduces a mesoscale modeling methodology for polyurethane-solidified ballast beds (PSBBs) that eliminates reliance on X-ray computed tomography (XCT) and addresses constraints in specimen size, capital cost, and post-processing complexity. The approach couples the Discrete Element Method (DEM) with the Finite Element Method (FEM). A high-fidelity discrete-element geometry is reconstructed from three-dimensional laser scans of ballast particles. The virtual-ray casting algorithm is then employed to identify the spatial distribution of ballast and polyurethane and map this information onto the finite-element mesh, enabling heterogeneous material reconstruction at the mesoscale. The accuracy of the model and mesh convergence are validated through comparisons with laboratory uniaxial compression tests, determining the optimal mesh size to be 0.4 times the minimum particle size (0.4 Dmin). Based on this, a parametric study on the effect of sleeper width on ballast bed mechanical responses is conducted, revealing that when the sleeper width is no less than 0.73 times the ballast bed width (0.73 Wb) an optimal balance between stress diffusion and displacement control is achieved. This method demonstrates excellent cross-material applicability and can be extended to mesoscale modeling and performance evaluation of other multiphase particle–binder composite systems. Full article
(This article belongs to the Section Materials Simulation and Design)
Show Figures

Graphical abstract

26 pages, 31202 KB  
Article
Analyzing Fault Reactivation Behavior Using InSAR, Stress Inversion, and Field Observations During the 2025 Sındırgı Earthquake Sequence, Simav Fault Zone, Western Türkiye
by Şenol Hakan Kutoğlu, Mustafa Softa, Elif Akgün, Murat Nas and Savaş Topal
Sensors 2026, 26(3), 760; https://doi.org/10.3390/s26030760 - 23 Jan 2026
Viewed by 337
Abstract
The Sındırgı earthquake sequence, with moment magnitudes of 6.1 on 10 August and 27 October 2025, respectively, occurred within the Simav Fault Zone in western Türkiye, rupturing nearby but structurally distinct fault segments. In this study, we combine Sentinel-1 InSAR time-series measurements with [...] Read more.
The Sındırgı earthquake sequence, with moment magnitudes of 6.1 on 10 August and 27 October 2025, respectively, occurred within the Simav Fault Zone in western Türkiye, rupturing nearby but structurally distinct fault segments. In this study, we combine Sentinel-1 InSAR time-series measurements with seismological data, geomorphic observations, and post-event field surveys to examine how deformation evolved between and after these events. InSAR results indicate coseismic line-of-sight displacements of 6–7 cm, followed by post-seismic deformation that persisted for months at 8–10 mm/yr. This behavior signifies that deformation continued well beyond the initial rupture. The estimated displacement does not align with a single fault plane. Instead, it corresponds to a network of early-mapped and previously unrecognized fault segments. Seismicity patterns and stress tensor inversions show that activity migrated spatially after 10 August and that the faulting mechanism altered before the second earthquake. When synthesized, observations indicate stress transfer within a modular, segmented fault system, thought to have been influenced by regional structural complexity. Field investigations after the October earthquake reported new surface cracks and fault traces, providing evidence of shallow deformation. The collected results indicate that post-seismic stress redistribution played a leading role in modulating the 2025 Sındırgı earthquake sequence. Full article
(This article belongs to the Special Issue Sensing Technologies for Geophysical Monitoring)
Show Figures

Figure 1

22 pages, 3594 KB  
Article
Seismic Dynamic Response of Adjacent Oil Well Casings: Effect of Inter-Well Spacing
by Minjing Chen, Wei Lu, Yanjun He, Keyu Duan, Zilong Li, Yang Liu and Zhan Qu
Buildings 2026, 16(2), 459; https://doi.org/10.3390/buildings16020459 - 22 Jan 2026
Viewed by 60
Abstract
With the intensive development of oil and gas fields, multi-well layouts with reduced inter-well spacing are increasingly adopted to improve production efficiency. Such configurations, however, may significantly enhance seismic interaction among adjacent wells. In this study, a nonlinear three-dimensional finite element model incorporating [...] Read more.
With the intensive development of oil and gas fields, multi-well layouts with reduced inter-well spacing are increasingly adopted to improve production efficiency. Such configurations, however, may significantly enhance seismic interaction among adjacent wells. In this study, a nonlinear three-dimensional finite element model incorporating soil–structure interaction is developed using GTS NX to investigate the seismic dynamic response of closely spaced oil well casings. A representative dual-well system is analyzed under horizontal earthquake ground motion. The influence of inter-well spacing on displacement response characteristics is systematically examined. Numerical simulations are conducted for three center-to-center spacing distances (5 m, 7.5 m, and 10 m). The spatial distribution of displacement responses in both the casings and the surrounding soil is analyzed at different depths and monitoring sections. The results indicate that reduced well spacing significantly amplifies dynamic coupling effects, leading to increased displacement responses in the casing–soil system. These findings provide quantitative insight into spacing-dependent seismic interaction mechanisms and offer theoretical support for seismic design and spatial optimization of multi-well systems. Full article
Show Figures

Figure 1

23 pages, 5500 KB  
Article
Low-Damage Seismic Design Approach for a Long-Span Cable-Stayed Bridge in a High Seismic Hazard Zone: A Case Study of the New Panama Canal Bridge
by Zhenghao Xiao, Shan Huang, Sheng Li, Minghua Li and Yao Hu
Buildings 2026, 16(2), 428; https://doi.org/10.3390/buildings16020428 - 20 Jan 2026
Viewed by 146
Abstract
Designing long-span cable-stayed bridges in high seismic hazard zones presents significant challenges due to their flexible structural systems, the influence of multi-support excitation, and the need to control large displacements while limiting seismic demands on critical components. These difficulties are further amplified in [...] Read more.
Designing long-span cable-stayed bridges in high seismic hazard zones presents significant challenges due to their flexible structural systems, the influence of multi-support excitation, and the need to control large displacements while limiting seismic demands on critical components. These difficulties are further amplified in regions with complex geology and for bridges required to maintain high levels of post-earthquake serviceability. This study develops a low-damage seismic design approach for long-span cable-stayed bridges and demonstrates its application in the New Panama Canal Bridge. Probabilistic seismic hazard assessment and site response analyses are performed to generate spatially varying ground motions at the pylons and side piers. The pylons adopt a reinforced concrete configuration with embedded steel stiffeners for anchorage, forming a composite zone capable of efficiently transferring concentrated stay-cable forces. The lightweight main girder consists of a lattice-type steel framework connected to a high-strength reinforced concrete deck slab, providing both rigidity and structural efficiency. A coordinated girder–pylon restraint system—comprising vertical bearings, fuse-type restrainers, and viscous dampers—ensures controlled stiffness and effective energy dissipation. Nonlinear seismic analyses show that displacements of the girder remain well controlled under the Safety Evaluation Earthquake, and the dampers and bearings exhibit stable hysteretic behaviours. Cable tensions remain within 500–850 MPa, meeting minimal-damage performance criteria. Overall, the results demonstrate that low-damage seismic performance targets are achievable and that the proposed design approach enhances structural control and seismic resilience in long-span cable-stayed bridges. Full article
(This article belongs to the Section Building Structures)
Show Figures

Figure 1

21 pages, 3501 KB  
Article
Subsurface Fracture Mapping in Adhesive Interfaces Using Terahertz Spectroscopy
by Mahavir Singh, Sushrut Karmarkar, Marco Herbsommer, Seongmin Yoon and Vikas Tomar
Materials 2026, 19(2), 388; https://doi.org/10.3390/ma19020388 - 18 Jan 2026
Viewed by 244
Abstract
Adhesive fracture in layered structures is governed by subsurface crack evolution that cannot be accessed using surface-based diagnostics. Methods such as digital image correlation and optical spectroscopy measure surface deformation but implicitly assume a straight and uniform crack front, an assumption that becomes [...] Read more.
Adhesive fracture in layered structures is governed by subsurface crack evolution that cannot be accessed using surface-based diagnostics. Methods such as digital image correlation and optical spectroscopy measure surface deformation but implicitly assume a straight and uniform crack front, an assumption that becomes invalid for interfacial fracture with wide crack openings and asymmetric propagation. In this work, terahertz time-domain spectroscopy (THz-TDS) is combined with double-cantilever beam testing to directly map subsurface crack-front geometry in opaque adhesive joints. A strontium titanate-doped epoxy is used to enhance dielectric contrast. Multilayer refractive index extraction, pulse deconvolution, and diffusion-based image enhancement are employed to separate overlapping terahertz echoes and reconstruct two-dimensional delay maps of interfacial separation. The measured crack geometry is coupled with load–displacement data and augmented beam theory to compute spatially averaged stresses and energy release rates. The measurements resolve crack openings down to approximately 100 μm and reveal pronounced width-wise non-uniform crack advance and crack-front curvature during stable growth. These observations demonstrate that surface-based crack-length measurements can either underpredict or overpredict fracture toughness depending on the measurement location. Fracture toughness values derived from width-averaged subsurface crack fronts agree with J-integral estimates obtained from surface digital image correlation. Signal-to-noise limitations near the crack tip define the primary resolution limit. The results establish THz-TDS as a quantitative tool for subsurface fracture mechanics and provide a framework for physically representative toughness measurements in layered and bonded structures. Full article
Show Figures

Graphical abstract

22 pages, 5149 KB  
Article
Integrating Heritage, Mobility, and Sustainability: A TOD-Based Framework for Msheireb Downtown Doha
by Sarah Al-Thani, Jasim Azhar, Raffaello Furlan, Abdulla AlNuaimi, Hameda Janahi and Reem Awwaad
Heritage 2026, 9(1), 34; https://doi.org/10.3390/heritage9010034 - 16 Jan 2026
Viewed by 242
Abstract
Transit-Oriented Development (TOD), formalized by Calthorpe and Poticha in 1993, emerged to counter urban sprawl, reduce car dependency, and revitalize historical community centers. Rooted in “new urbanism”, TOD emphasizes integrated regional land-use planning and high-capacity public transportation. In the Middle East, TOD implementation [...] Read more.
Transit-Oriented Development (TOD), formalized by Calthorpe and Poticha in 1993, emerged to counter urban sprawl, reduce car dependency, and revitalize historical community centers. Rooted in “new urbanism”, TOD emphasizes integrated regional land-use planning and high-capacity public transportation. In the Middle East, TOD implementation remains understudied, particularly regarding heritage integration and social equity in arid climates. Doha’s rapid social and economic transformation presents both opportunities and risks: growth offers urban revitalization yet threatens to displace communities and dilute cultural identity. Shifts in urban planning have aimed to address sustainability, connectivity, and heritage preservation. This study examines Msheireb Downtown Doha (MDD) to assess how TOD can restore historic districts while managing gentrification, enhancing accessibility and promoting inclusiveness. A mixed-methods approach was applied, including 12 semi-structured interviews with stakeholders (Qatar Rail, Msheireb Properties, Ministry of Municipality and Environment), purposive surveys of 80 urban users, site observations, and spatial mapping. Using the Node-Place-People (NPP) model, the study evaluates TOD effectiveness across transportation connectivity (node), built environment quality (place), and equity metrics (people). The findings show that MDD successfully implements fundamental TOD principles through its design, which enhances connectivity, walkability, social inclusiveness, and heritage preservation. However, multiple obstacles remain: the “peripheral island effect” limits benefits to the core, pedestrian–vehicular balance is unresolved, and commercial gentrification is on the rise. This research provides evidence-based knowledge for GCC cities pursuing sustainable urban regeneration by demonstrating both the advantages of TOD and the necessity for critical, context-sensitive implementation that focuses on social equity together with physical transformation. Full article
Show Figures

Figure 1

24 pages, 7504 KB  
Article
Historical Trajectories of the Evolved Cropland Features and Their Reshaped Influences on Agricultural Landscapes and Ecosystem Services in China’s Sanjiang Commodity Grain Base
by Tao Pan, Kun Liu, Zherui Yin, Zexian Li and Lin Shi
Land 2026, 15(1), 175; https://doi.org/10.3390/land15010175 - 16 Jan 2026
Viewed by 202
Abstract
Drastic cropland expansion and its internal structural changes have had an obvious impact on agricultural landscapes and ecosystem services. However, a prolonged investigation of this effect is still lacking in China’s grain-producing bases, such as Sanjiang Plain. To address this issue, half a [...] Read more.
Drastic cropland expansion and its internal structural changes have had an obvious impact on agricultural landscapes and ecosystem services. However, a prolonged investigation of this effect is still lacking in China’s grain-producing bases, such as Sanjiang Plain. To address this issue, half a century of study on the ‘land trajectory migration–landscape evolution–ecological effect,’ covering the period 1970–2020, was elucidated using the synergistic methodology of spatial analysis technology, the reclamation rate algorithm, the landscape indicator, and the newly established ecosystem service improvement model. Satellite observation results indicate that the cropland area exhibited a substantial expansion trend from 23,672.69 km2 to 42,856.17 km2 from 1970 to 2020, representing a net change of +19,183.48 km2 and a huge growth rate of 81.04%, which led to an obvious improvement in the level of agricultural cultivation. Concurrently, the internal structure of the cropland underwent dramatic restructuring, with rice fields increasing from 6.46% to 53.54%, while upland fields decreased from 93.54% to 46.46%. In different regions, spatially heterogeneous improvements of 2.64–52.47% in agricultural cultivation levels across all cities were observed. From 1970 to 2020, the tracked cropland center of gravity trajectories exhibited a distinct biphasic pattern, initially shifting westward and then followed by a southward transition, accumulating a displacement of 19.39 km2. As for the evolved agricultural landscapes, their integrity has improved (SHDI = −0.08%), accompanied by increased connectivity (CON = +8.82%) and patch edge integrity (LSI = −15.71%) but also by reduced fragmentation (PD = −48.14%). Another important discovery was that the evaluated ecosystem services continuously decreased from 2337.84 × 108 CNY in 1970 to 1654.01 × 108 CNY in 2020, a net loss of −683.84 × 108 CNY and a huge loss rate of 33.65%, accompanied by a center–periphery gradient pattern whereby degradation propagated from the low-value central croplands to the high-value surrounding natural covers. These discoveries will play a significant role in guiding farmland structure reformation, landscape optimization, and ecosystem service improvement. Full article
(This article belongs to the Special Issue Monitoring Ecosystem Services and Biodiversity Under Land Use Change)
Show Figures

Figure 1

26 pages, 11938 KB  
Article
Spatiotemporal Analysis of Progressive Rock Slope Landslide Destabilization and Multi-Parameter Reliability Analysis
by Ibrahim Haruna Umar, Jubril Izge Hassan, Chaoyi Yang and Hang Lin
Appl. Sci. 2026, 16(2), 939; https://doi.org/10.3390/app16020939 - 16 Jan 2026
Viewed by 151
Abstract
Progressive rock slope destabilization poses significant geohazard risks, necessitating advanced monitoring frameworks to detect precursory failure signals. This study presents a comprehensive time-dependent evaluation of the displacement probability (CTEDP) model, which integrates GNSS-derived spatiotemporal data with multi-parameter reliability indices to enhance landslide risk [...] Read more.
Progressive rock slope destabilization poses significant geohazard risks, necessitating advanced monitoring frameworks to detect precursory failure signals. This study presents a comprehensive time-dependent evaluation of the displacement probability (CTEDP) model, which integrates GNSS-derived spatiotemporal data with multi-parameter reliability indices to enhance landslide risk assessment. Five monitoring points on a destabilizing rock slope were analyzed from mid-November 2024 to early January 2025 using kinematic metrics (velocity, acceleration, and jerk), statistical measures (e.g., moving averages), and reliability indices (RI0, RI1, RI2, and RIcombined). Point 1 exhibited the most critical behavior, with a cumulative displacement of ~60 mm, peak velocities of 34.5 mm/day, and accelerations up to 1.15 mm/day2. The CTEDP for active points converged to 0.56–0.61, indicating sustained high risk. The 90th percentile displacement threshold was 58.48 mm for Point 1. Sensitivity analysis demonstrated that the GNSS-derived reliability indices dominated the RIcombined variance (r = 0.999, explaining 99.8% of variance). The first- and second-order reliability indices (RI1, RI2) at Point 1 exceeded the 60-index threshold, indicating a transition to Class B (“Low Risk—Trend Surveillance Required”) status, while other points showed coherent deformation of 37–45 mm. Results underscore the framework’s ability to integrate spatiotemporal displacement, kinematic precursors, and statistical variability for early-warning systems. This approach bridges gaps in landslide prediction by accounting for spatial heterogeneity and nonlinear geomechanical responses. Full article
Show Figures

Figure 1

13 pages, 4859 KB  
Article
Numerical Investigation of CO2 Mineralization and Geomechanical Response During CO2 Storage in Saline Aquifer
by Guang Li, Shuyan Wang, Haigang Lao and Pengtao Wang
Processes 2026, 14(2), 317; https://doi.org/10.3390/pr14020317 - 16 Jan 2026
Viewed by 177
Abstract
Utilizing saline aquifers for carbon mineralization has proven to be a reliable approach for CO2 storage. However, less attention has been given to CO2 mineralization and geomechanical response at engineering durations and spatial scales. The objective of the study is to [...] Read more.
Utilizing saline aquifers for carbon mineralization has proven to be a reliable approach for CO2 storage. However, less attention has been given to CO2 mineralization and geomechanical response at engineering durations and spatial scales. The objective of the study is to evaluate the feasibility of a potential CO2 sequestration site in the Ordos Basin, located at a depth of approximately 1100 m, using the CMG-GEM numerical simulator. A coupled hydraulic–mechanical–chemical model was formulated, accounting for multiphase fluid flow, geochemical reactions, and geomechanical response. The simulation results indicated the following: (1) When CO2 is injected into a saline formation, it can react with minerals. These chemical reactions may lead to the precipitation of certain minerals (e.g., calcite, kaolinite) and the dissolution of others (e.g., anorthite), potentially affecting the porosity and permeability of the storage formation; however, the study found that the effect on porosity is negligible, with only a 1.2% reduction observed. (2) The extent of ground uplift caused by CO2 injection is strongly influenced by the injection rate. The maximum vertical ground displacements after 25 years is 6.1 cm at an injection rate of 16,000 kg/day; when the rate is increased to 24,000 kg/day, the maximum displacement rises to 9.4 cm, indicating a 54% increase. Full article
(This article belongs to the Topic Exploitation and Underground Storage of Oil and Gas)
Show Figures

Figure 1

Back to TopTop