Sign in to use this feature.

Years

Between: -

Subjects

remove_circle_outline
remove_circle_outline
remove_circle_outline
remove_circle_outline
remove_circle_outline
remove_circle_outline
remove_circle_outline

Journals

Article Types

Countries / Regions

Search Results (54)

Search Parameters:
Keywords = solid continuum mechanics

Order results
Result details
Results per page
Select all
Export citation of selected articles as:
26 pages, 336 KB  
Review
Research Progress in Microscopic Mechanisms and Cross-Scale Simulation of Seepage Behavior in Porous Media
by Zhaoliang Dou, Shuang Li and Fengbin Liu
Processes 2025, 13(12), 4005; https://doi.org/10.3390/pr13124005 - 11 Dec 2025
Abstract
With the advancement of aerospace equipment toward high-speed and heavy-duty applications, conventional forced lubrication systems are facing significant challenges in terms of reliability and adaptability to complex operating conditions. Porous medium materials, owing to their unique self-lubricating and oil-retention capabilities, are regarded as [...] Read more.
With the advancement of aerospace equipment toward high-speed and heavy-duty applications, conventional forced lubrication systems are facing significant challenges in terms of reliability and adaptability to complex operating conditions. Porous medium materials, owing to their unique self-lubricating and oil-retention capabilities, are regarded as an ideal lubrication solution. However, their seepage behavior is governed by the strong coupling effects of microscopic pore structures and fluid physicochemical properties, the mechanisms of which remain inadequately understood, thereby severely constraining the design and application of high-performance lubricating materials. To address this, this paper systematically reviews recent research progress on seepage behavior in porous media, with the aim of establishing a correlation between microstructural characteristics and macroscopic performance. Starting from the characterization of porous media, this work comprehensively analyzes the structure–seepage relationships in porous polymers, metal foams, and porous ceramics, and constructs a multi-scale theoretical framework encompassing macroscopic continuum theories, mesoscopic lattice Boltzmann methods (LBM), pore network models, and microscopic molecular dynamics. The advantages and limitations of experimental measurements and numerical simulation approaches are also compared. In particular, this study critically highlights the current neglect of key interfacial parameters such as surface wettability and pore roughness, and proposes an in-depth investigation into the seepage mechanisms of polyimide porous cage materials based on LBM. Furthermore, the potential application of emerging research paradigms such as data-driven approaches and intelligent computing in seepage studies is discussed. Finally, it is emphasized that future efforts should focus on developing deeply integrated cross-scale simulation methodologies, strengthening multi-physics coupling and artificial intelligence-assisted research, and advancing the development of intelligent porous lubricating materials with gradient structures or stimulus-responsive characteristics. This is expected to provide a solid theoretical foundation and technical pathway for the rational design and optimization of high-performance lubrication systems. Full article
41 pages, 1678 KB  
Article
Analysis of Adiabatic Strain Localization Coupled to Ductile Fracture and Melting, with Application and Verification for Simple Shear
by John D. Clayton
AppliedMath 2025, 5(4), 169; https://doi.org/10.3390/appliedmath5040169 - 3 Dec 2025
Viewed by 168
Abstract
Material failure by adiabatic shear is analyzed in viscoplastic metals that can demonstrate up to three distinct softening mechanisms: thermal softening, ductile fracture, and melting. An analytical framework is constructed for studying simple shear deformation with superposed static pressure. A continuum power-law viscoplastic [...] Read more.
Material failure by adiabatic shear is analyzed in viscoplastic metals that can demonstrate up to three distinct softening mechanisms: thermal softening, ductile fracture, and melting. An analytical framework is constructed for studying simple shear deformation with superposed static pressure. A continuum power-law viscoplastic formulation is coupled to a ductile damage model and a solid–liquid phase transition model in a thermodynamically consistent manner. Criteria for localization to a band of infinite shear strain are discussed. An analytical–numerical method for determining the critical average shear strain for localization and commensurate stress decay is devised. Averaged results for a high-strength steel agree reasonably well with experimental dynamic torsion data. Calculations probe possible effects of ductile fracture and melting on shear banding, and vice versa, including influences of cohesive energy, equilibrium melting temperature, and initial defects. A threshold energy density for localization onset is positively correlated to critical strain and inversely correlated to initial defect severity. Tensile pressure accelerates damage softening and increases defect sensitivity, promoting shear failure. In the present steel, melting is precluded by ductile fracture for loading conditions and material properties within realistic protocols. For this steel, if conduction, fracture, and damage softening are artificially suppressed, melting is confined to a narrow region in the core of the band. However, for other metals with vastly different physical properties, or for more diverse loading conditions, melting has not been unequivocally ruled out, even if fracture and conduction are permitted. Full article
Show Figures

Figure 1

19 pages, 4059 KB  
Article
Numerical Simulation of Fracture Propagation and Damage Evolution in Coal Seam Under Controlled High-Energy Shock Wave Fracturing
by Sukai Wang, Wei Liu, Yonglong Li, Lipeng Zhang, Yan Liang, Xionghui Liu, Songling Pu, Yu Liang and Shiqi Liu
Appl. Sci. 2025, 15(22), 12279; https://doi.org/10.3390/app152212279 - 19 Nov 2025
Viewed by 294
Abstract
Reservoir stimulation is a critical technique for the efficient development of coalbed methane (CBM), playing a significant role in improving permeability. Controlled shock wave fracturing, as an emerging stimulation method, offers advantages such as safety and high energy utilization, making it a promising [...] Read more.
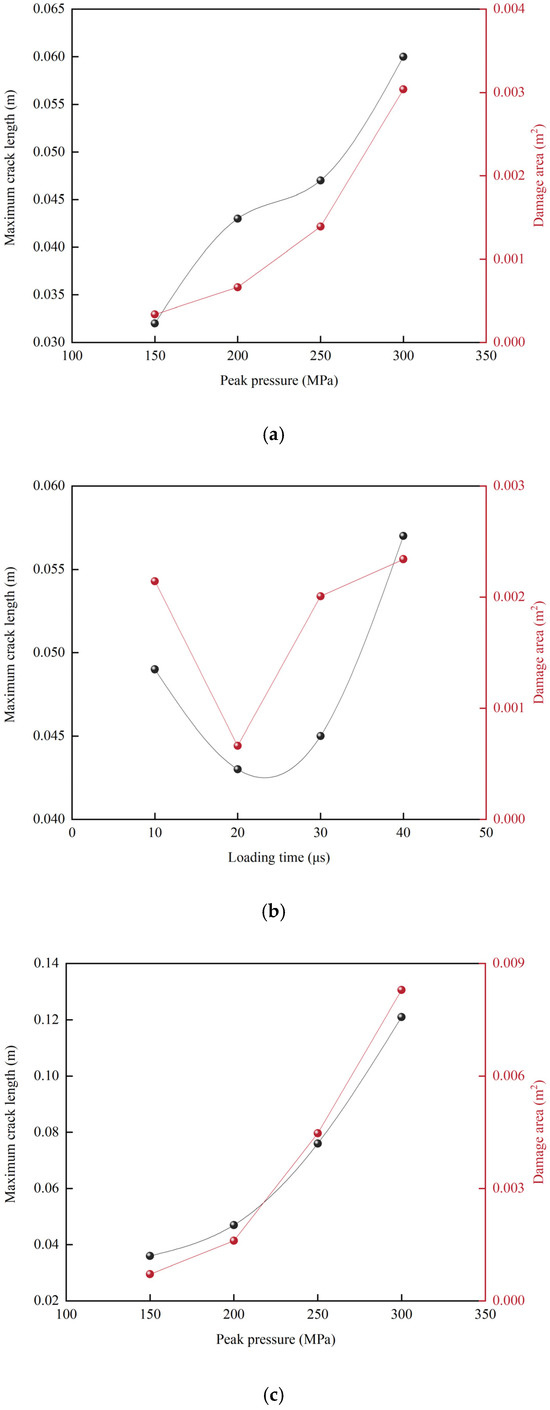
Reservoir stimulation is a critical technique for the efficient development of coalbed methane (CBM), playing a significant role in improving permeability. Controlled shock wave fracturing, as an emerging stimulation method, offers advantages such as safety and high energy utilization, making it a promising candidate for CBM reservoir enhancement. Due to the substantial potential of deep CBM reservoirs, conventional physical simulations and field experiments are limited in accurately analyzing the fracturing effects. Research on the fracture propagation and damage evolution of coal rock under the influence of different geological and engineering parameters is limited, hindering the determination of key operational parameters. In this study, a coupled mathematical model of solid mechanics and damage continuum mechanics is established using the finite element method, alongside a geometric model, to investigate fracture propagation characteristics under the influence of geological and engineering factors. The core contribution of this work is a systematic numerical analysis that clarifies the controlling effects of key parameters. The main conclusions are as follows: (1) a high stress contrast (≥6 MPa) favors fracture extension along the direction of the maximum principal stress while inhibiting the expansion of the damage area; (2) the increase in the orientation of natural fissures and the angle of horizontal stress inhibits the propagation of fractures and the growth of damage area; (3) engineering parameters exert a considerable effect on fracture propagation and multiple shock cycles (≥2 times) and high peak pressure (≥250 MPa) are conducive to fracture formation; and (4) a key distinguishing feature is the formation of radioactive fractures induced by high-energy shock waves, which are beneficial for enhancing communication between rock layers and natural fractures. Compared to hydraulic fracturing, the shock wave method achieves distinctly faster fracture extension in a shorter time, highlighting its unique advantage for improving coalbed permeability and porosity. This study extends the numerical simulation research on controlled shock waves in deep coal seams, elucidates the dynamic response of fracture propagation and damage evolution under the control of geological and engineering parameters, reveals the sensitivity of key parameters to fracture extension, and provides a critical basis for the selection and optimization of operational parameters in field applications of shock wave fracturing. Full article
(This article belongs to the Section Energy Science and Technology)
Show Figures

Figure 1

17 pages, 3709 KB  
Article
A Non-Intrusive DSMC-FEM Coupling Method for Two-Dimensional Conjugate Heat Transfer in Rarefied Hypersonic Conditions
by Ziqu Cao and Chengyu Ma
Aerospace 2025, 12(11), 1021; https://doi.org/10.3390/aerospace12111021 - 18 Nov 2025
Viewed by 327
Abstract
Accurate conjugate heat transfer (CHT) analysis is critical to the thermal management of hypersonic vehicles operating in rarefied environments, where non-equilibrium gas dynamics dominate. While numerous sophisticated CHT solvers exist for continuum flows, they are physically invalidated by rarefaction effects. This paper presents [...] Read more.
Accurate conjugate heat transfer (CHT) analysis is critical to the thermal management of hypersonic vehicles operating in rarefied environments, where non-equilibrium gas dynamics dominate. While numerous sophisticated CHT solvers exist for continuum flows, they are physically invalidated by rarefaction effects. This paper presents a novel partitioned coupling framework that bridges this methodological gap by utilizing the preCICE library to non-intrusively integrate the Direct Simulation Monte Carlo (DSMC) method, implemented in SPARTA, with the finite element method (FEM) via FEniCS for high-fidelity simulations of rarefied hypersonic CHT. The robustness and accuracy of this approach are validated through three test cases: a quasi-1D flat plate benchmark confirms the fundamental coupling mechanism against a reference finite difference solution; a 2D flat-nosed cylinder demonstrates the capability of the framework to handle highly non-uniform heat flux distributions and resolve the ensuing transient thermal response within the solid; finally, a standard cylinder case confirms the compatibility with curved geometries and its stability and accuracy in long-duration simulations. This work establishes a validated and accessible pathway for high-fidelity aerothermal analysis in rarefied gas dynamics, effectively decoupling the complexities of multi-physics implementation from the focus on fundamental physics. Full article
(This article belongs to the Section Aeronautics)
Show Figures

Figure 1

20 pages, 6071 KB  
Article
Study on Gas Pre-Extraction Law of Along-Layer Boreholes Based on Thermo-Hydro-Mechanical-Damage Coupled Model
by Biao Hu, Xuyang Lei, Lu Zhang, Hang Long, Pengfei Ji, Lianmeng Wang, Yonghao Ding and Cuixia Wang
Mathematics 2025, 13(21), 3375; https://doi.org/10.3390/math13213375 - 23 Oct 2025
Viewed by 343
Abstract
Modeling the pre-extraction of coalbed methane presents a significant mathematical challenge due to the complex interplay of multiple physical fields. This paper presents a robust mathematical model based on a thermo-hydro-mechanical damage (THMD) framework to describe this process. The model is formulated as [...] Read more.
Modeling the pre-extraction of coalbed methane presents a significant mathematical challenge due to the complex interplay of multiple physical fields. This paper presents a robust mathematical model based on a thermo-hydro-mechanical damage (THMD) framework to describe this process. The model is formulated as a system of coupled, non-linear partial differential equations (PDEs) that integrate governing equations for heat transfer, fluid seepage, and solid mechanics with a damage evolution law derived from continuum damage mechanics. A key contribution of this work is the integration of this multi-physics model, solved numerically using the Finite Element Method (FEM), with a statistical modeling approach using Response Surface Methodology (RSM) and Analysis of Variance (ANOVA). This integrated framework allows for a systematic analysis of the model’s parameter space and a rigorous quantification of sensitivities. The ANOVA results reveal that the model’s damage output is most sensitive to the borehole diameter (F = 2531.51), while the effective extraction radius is predominantly governed by the initial permeability (F = 4219.59). This work demonstrates the power of combining a PDE-based multi-physics model with statistical metamodeling to provide deep, quantitative insights for optimizing gas extraction strategies in deep, low-permeability coal seams. Full article
Show Figures

Figure 1

16 pages, 1765 KB  
Article
A Meshless Multiscale and Multiphysics Slice Model for Continuous Casting of Steel
by Božidar Šarler, Boštjan Mavrič, Tadej Dobravec and Robert Vertnik
Metals 2025, 15(9), 1007; https://doi.org/10.3390/met15091007 - 10 Sep 2025
Viewed by 440
Abstract
A simple Lagrangian travelling slice model has been successfully used to predict the relations between the process parameters and the strand temperatures in the continuous casting of steel. The present paper aims to include a simple macrosegregation, grain structure and mechanical stress and [...] Read more.
A simple Lagrangian travelling slice model has been successfully used to predict the relations between the process parameters and the strand temperatures in the continuous casting of steel. The present paper aims to include a simple macrosegregation, grain structure and mechanical stress and deformation model on top of the thermal slice framework. The basis of all the mentioned models is the slice heat-conduction model that considers the complex heat extraction mechanisms in the mould, with the sprays, rolls, and through radiation. Its main advantage is the fast calculation time, which is suitable for the online control of the caster. The macroscopic thermal and species transfer models are based on the continuum mixture theory. The macrosegregation model is based on the lever rule microsegregation model. The thermal conductivity and species diffusivity of the liquid phase are artificially enhanced to consider the convection of the melt. The grain structure model is based on cellular automata and phase-field concepts. The calculated thermal field is used to estimate the thermal contraction of the solid shell, which, in combination with the metallostatic pressure, drives the elastic-viscoplastic solid-mechanics models. The solution procedure of all the models is based on the meshless radial basis function generated finite difference method on the macroscopic scale and the meshless point automata concept on the grain structure scale. Simulation results point out the areas susceptible to hot tearing. Full article
Show Figures

Figure 1

30 pages, 3495 KB  
Review
Research Progress on Micro/Nanopore Flow Behavior
by Jinbo Yu, Meng Du, Yapu Zhang, Xinliang Chen and Zhengming Yang
Molecules 2025, 30(8), 1807; https://doi.org/10.3390/molecules30081807 - 17 Apr 2025
Cited by 8 | Viewed by 2154
Abstract
Fluid flow in microporous and nanoporous media exhibits unique behaviors that deviate from classical continuum predictions due to dominant surface forces at small scales. Understanding these microscale flow mechanisms is critical for optimizing unconventional reservoir recovery and other energy applications. This review provides [...] Read more.
Fluid flow in microporous and nanoporous media exhibits unique behaviors that deviate from classical continuum predictions due to dominant surface forces at small scales. Understanding these microscale flow mechanisms is critical for optimizing unconventional reservoir recovery and other energy applications. This review provides a comparative analysis of the existing literature, highlighting key advances in experimental techniques, theoretical models, and numerical simulations. We discuss how innovative micro/nanofluidic devices and high-resolution imaging methods now enable direct observation of confined flow phenomena, such as slip flow, phase transitions, and non-Darcy behavior. Recent theoretical models have clarified scale-dependent flow regimes by distinguishing microscale effects from macroscopic Darcy flow. Likewise, advanced numerical simulations—including molecular dynamics (MD), lattice Boltzmann methods (LBM), and hybrid multiscale frameworks—capture complex fluid–solid interactions and multiphase dynamics under realistic pressure and wettability conditions. Moreover, the integration of artificial intelligence (e.g., data-driven modeling and physics-informed neural networks) is accelerating data interpretation and multiscale modeling, offering improved predictive capabilities. Through this critical review, key phenomena, such as adsorption layers, fluid–solid interactions, and pore surface heterogeneity, are examined across studies, and persistent challenges are identified. Despite notable progress, challenges remain in replicating true reservoir conditions, bridging microscale and continuum models, and fully characterizing multiphase interface dynamics. By consolidating recent progress and perspectives, this review not only summarizes the state-of-the-art but underscores remaining knowledge gaps and future directions in micro/nanopore flow research. Full article
Show Figures

Graphical abstract

22 pages, 582 KB  
Article
On Symmetry Properties of Tensors for Electromagnetic Deformable Solids
by Angelo Morro and Claudio Giorgi
Symmetry 2025, 17(4), 557; https://doi.org/10.3390/sym17040557 - 6 Apr 2025
Cited by 1 | Viewed by 421
Abstract
As a generalization of the symmetry of the stress tensor of continuum mechanics, the paper investigates symmetry properties arising in models of magneto- and electro-mechanical interaction. First, the balance of angular momentum is considered, thus obtaining a symmetry condition that is applied as [...] Read more.
As a generalization of the symmetry of the stress tensor of continuum mechanics, the paper investigates symmetry properties arising in models of magneto- and electro-mechanical interaction. First, the balance of angular momentum is considered, thus obtaining a symmetry condition that is applied as a mathematical constraint on admissible constitutive equations. Next, thermodynamic restrictions are also investigated and, among others, a further symmetry condition is determined. The joint validity of the two symmetry conditions implies that the dependence on electromagnetic fields has to be through variables involving deformation gradients. These variables constitute two classes that prove to be Euclidean invariants. The simplest selection of the variables is just that of Lagrangian fields in the literature. Furthermore, the variables of one class allow a positive magnetostriction and of the other one allow a negative magnetostriction. Some applications to (NO) Fe-Si are outlined. The use of entropy production as a constitutive function allows generalization to dissipative and heat-conducting electromagnetic solids. Full article
(This article belongs to the Section Mathematics)
Show Figures

Figure 1

30 pages, 7648 KB  
Article
Comparative Analysis of Different Adhesive Model Representations in Single Lap Joints Using Finite Element Analysis
by Ibrahim Adediran, John Fritz and Timothy Truster
Appl. Sci. 2025, 15(5), 2661; https://doi.org/10.3390/app15052661 - 1 Mar 2025
Cited by 2 | Viewed by 2997
Abstract
This study addresses an existing gap in the literature by providing a comparative analysis of various adhesive model representation approaches, using cohesive zone models—both local and continuum models. Through a systematic investigation of stress distribution and force–displacement characteristics across different modeling techniques, we [...] Read more.
This study addresses an existing gap in the literature by providing a comparative analysis of various adhesive model representation approaches, using cohesive zone models—both local and continuum models. Through a systematic investigation of stress distribution and force–displacement characteristics across different modeling techniques, we reveal the advantages and limitations of each method. This study provides a comparison of various adhesive modeling approaches, including single-row cohesive elements, interfacial elements, middle cohesive elements, and single-row continuum solid elements, highlighting their effects on stress distribution and failure modes in single lap joints across a range of adherend thicknesses and overlap lengths. The findings demonstrate that the choice of modeling techniques yields a similar prediction of failure modes in single lap joints under tensile loading. Consequently, choosing among these methods can be guided by the level of detail in capturing localized damage mechanisms. The results offer a foundation for informed decision making in adhesive modeling, with implications for improving joint design and reliability in real-world applications. Full article
(This article belongs to the Special Issue Structural Mechanics: Theory, Method and Applications)
Show Figures

Figure 1

16 pages, 1169 KB  
Article
A Phenomenological Fluid–Structure Interaction Study of Plaque Rupture in Stenosed Bifurcated Elastic Arteries
by Mudassar Razzaq, Muhammad Adnan Anwar, Kaleem Iqbal, Izharul Haq and Marcel Gurris
Mathematics 2025, 13(4), 621; https://doi.org/10.3390/math13040621 - 13 Feb 2025
Cited by 1 | Viewed by 1033
Abstract
Atherosclerosis is an accumulation of plaque, which can result in changes in blood flow in the vicinity, leading to severe heart attack. This paper presents a phenomenological fluid–structure interaction study of plaque rupture in stenosed bifurcated elastic arteries. We use the coupled monolithic [...] Read more.
Atherosclerosis is an accumulation of plaque, which can result in changes in blood flow in the vicinity, leading to severe heart attack. This paper presents a phenomenological fluid–structure interaction study of plaque rupture in stenosed bifurcated elastic arteries. We use the coupled monolithic Arbitrary Lagrange Euler (ALE) formulation for fluids and solids. We consider the Navier–Stokes equation to govern the non-Newton blood flow and linear elastic model for walls. We treat the interface as a continuum. We utilize the stable P2P1 finite element pair for velocity and pressure discretization in space. The nonlinear discretized algebraic system is tackled using the Newton method, with the Jacobian matrices approximated via a divided differences approach. The resulting linear systems are addressed using the direct solver MUltifrontal Massively Parallel Sparse direct Solver (MUMPS). We then determine the wall shear stress (WSS) for both minimum and maximum times, accounting for elastic walls. The study’s findings enhance our understanding of the mechanisms behind plaque rupture and aid in developing better diagnostic and therapeutic strategies. Full article
Show Figures

Figure 1

11 pages, 1730 KB  
Article
Research on the Mechanism of the Skidding Device of Bulk Grain into Silo
by Mingxu Wang, Saiqiang Li, Haojun Zhao, Zhijie Song, Kunlun Liu and Jianzhang Wu
Appl. Sci. 2024, 14(15), 6620; https://doi.org/10.3390/app14156620 - 29 Jul 2024
Viewed by 1459
Abstract
In the field of handling, storage and transportation, chutes are used to transfer bulk solids between conveyors and warehouses. In these systems, traditional analytical methods based on the principles of continuum mechanics approximate an accelerated flow that contains the physical body solid properties [...] Read more.
In the field of handling, storage and transportation, chutes are used to transfer bulk solids between conveyors and warehouses. In these systems, traditional analytical methods based on the principles of continuum mechanics approximate an accelerated flow that contains the physical body solid properties obtained from standardized tests. Because it is difficult to physically observe the flow inside the transfer structure, there have been few studies to validate the method at full scale. In contrast, discrete element modeling (DEM) allows flow visualization through a transfer chute and qualitative and quantitative analysis if accurate simulation parameters are selected. In order to adapt to the needs of modern intelligent warehousing, we reduced the grain crushing and damage in the process of grain storage. To design and investigate the motion performance of grain particles in a sliding dustpan, this paper utilizes rocky simulation technology, combined with the corresponding bench experiments, to study the impact of the angle arrangement of the dustpan, and to verify the results of the simulation analysis based on the stress–strain analysis of the particle impact. It was found that when the angle of the dustpan arrangement was 40 degrees, the flow of all particles had a better performance in terms of pass ability and energy loss. In the continuous cycle obtained from the simulation, the particle group state at each moment is almost the same as the particle characteristics in the experiment, indicating that the angle of the bucket has an effect on the particle permeability. In this paper, the results of the study on the state of the grain group on the silo device will provide a useful reference for the design of a grain silo device. Full article
Show Figures

Figure 1

10 pages, 4083 KB  
Article
Kinetics of HCP-BCC Phase Transition Boundary in Magnesium at High Pressure
by Nitin P. Daphalapurkar
Metals 2024, 14(6), 609; https://doi.org/10.3390/met14060609 - 22 May 2024
Cited by 2 | Viewed by 1932
Abstract
Under high pressures, many crystalline metals undergo solid–solid phase transformations. In order to accurately model the behavior of materials under extreme loading conditions, it is essential to understand the kinetics of phase transition. Using molecular dynamics simulations, this work demonstrates the feasibility of [...] Read more.
Under high pressures, many crystalline metals undergo solid–solid phase transformations. In order to accurately model the behavior of materials under extreme loading conditions, it is essential to understand the kinetics of phase transition. Using molecular dynamics simulations, this work demonstrates the feasibility of characterizing the speeds of a moving phase boundary using atomistic simulations employing a suitable empirical potential for single-crystal magnesium. The model can provide temperature- and tensorial stress-dependent velocity of a moving phase boundary as a rate-limiting contribution to the kinetics of phase transformation in continuum codes. Results demonstrate that a nonlinear interaction exists between plasticity and phase transition, facilitating a jump in the velocity of a moving phase boundary, facilitated by activated plastic deformation mechanisms. Full article
(This article belongs to the Special Issue Dynamic Response of Metals under Extreme Conditions)
Show Figures

Figure 1

33 pages, 3175 KB  
Article
Mechanics of Small-Scale Spherical Inclusions Using Nonlocal Poroelasticity Integrated with Light Gradient Boosting Machine
by Ali Farajpour and Wendy V. Ingman
Micromachines 2024, 15(2), 210; https://doi.org/10.3390/mi15020210 - 30 Jan 2024
Cited by 4 | Viewed by 1612
Abstract
Detecting inclusions in materials at small scales is of high importance to ensure the quality, structural integrity and performance efficiency of microelectromechanical machines and products. Ultrasound waves are commonly used as a non-destructive method to find inclusions or structural flaws in a material. [...] Read more.
Detecting inclusions in materials at small scales is of high importance to ensure the quality, structural integrity and performance efficiency of microelectromechanical machines and products. Ultrasound waves are commonly used as a non-destructive method to find inclusions or structural flaws in a material. Mathematical continuum models can be used to enable ultrasound techniques to provide quantitative information about the change in the mechanical properties due to the presence of inclusions. In this paper, a nonlocal size-dependent poroelasticity model integrated with machine learning is developed for the description of the mechanical behaviour of spherical inclusions under uniform radial compression. The scale effects on fluid pressure and radial displacement are captured using Eringen’s theory of nonlocality. The conservation of mass law is utilised for both the solid matrix and fluid content of the poroelastic material to derive the storage equation. The governing differential equations are derived by decoupling the equilibrium equation and effective stress–strain relations in the spherical coordinate system. An accurate numerical solution is obtained using the Galerkin discretisation technique and a precise integration method. A Dormand–Prince solution is also developed for comparison purposes. A light gradient boosting machine learning model in conjunction with the nonlocal model is used to extract the pattern of changes in the mechanical response of the poroelastic inclusion. The optimised hyperparameters are calculated by a grid search cross validation. The modelling estimation power is enhanced by considering nonlocal effects and applying machine learning processes, facilitating the detection of ultrasmall inclusions within a poroelastic medium at micro/nanoscales. Full article
Show Figures

Figure 1

22 pages, 3808 KB  
Article
Studying the Flotation of Gold-Bearing Ores Using Carrier Minerals
by Sergei Ivanovich Evdokimov, Nikolay S. Golikov, Denis A. Zadkov, Elena V. Voitovich, Viktor V. Kondratiev, Aleksey A. Petrovskiy, Vladimir Yu. Konyukhov and Vitaliy A. Gladkikh
Minerals 2024, 14(1), 88; https://doi.org/10.3390/min14010088 - 11 Jan 2024
Cited by 10 | Viewed by 3477
Abstract
This work is aimed at the analysis of the development of flotation technology by applying carrier minerals. Based on the concepts of continuum mechanics, a theoretical analysis of the influence of the carrier minerals (wall) on the motion of a single solid particle [...] Read more.
This work is aimed at the analysis of the development of flotation technology by applying carrier minerals. Based on the concepts of continuum mechanics, a theoretical analysis of the influence of the carrier minerals (wall) on the motion of a single solid particle is provided, taking into account their hydrodynamic interaction (in the case of low Reynolds numbers). A correction was obtained in the form of a ratio of the particle size to its distance from the wall to take into account the influence of the wall on the hydrodynamic force acting on the particle. The influence of the wall is manifested through a rapid approximation of the liquid vortex flow in the gap between the solid wall and the particle to the steady-state mode, accompanied by the suppression of the transverse movement of particles. When the liquid slides along a wall-mounted gas–liquid layer with a reduced viscosity, the liquid flow increases in the interfacial gap, which can be analyzed by a dimensionless correction that includes values describing the properties of a continuous medium (dynamic viscosity) and a disperse phase (geometric particle size). The reason for the decrease in the induction time when gold grains adhere to each other is assumed to be due to the forces of hydrophobic attraction (when the grains have a mirror-smooth surface) and the sliding of the flow along the hydrophobic surface of the particles along the gas layer (when the grains have a rough surface). When polydisperse particles are aggregated, the threshold energy of the fast coagulation was established to be lower than that arising during the interaction of monodisperse particles, whose aggregation requires a large depth of the potential pit. Performing natural experiments on the ore using a rougher concentrate as a carrier material showed that the concentrate yield decreases by 20.52% rel. In the second case, the gold extraction was higher by 4.69% abs. While maintaining the achieved level of gold extraction, the double mixing of the rougher concentrate and the initial feed increased the gold content in the rougher concentrate from 4.97 to 6.29 g/t. Full article
(This article belongs to the Special Issue Design, Modeling, Optimization and Control of Flotation Process)
Show Figures

Figure 1

8 pages, 651 KB  
Article
On Λ-Fractional Wave Propagation in Solids
by Kostantinos A. Lazopoulos and Anastasios K. Lazopoulos
Mathematics 2023, 11(19), 4183; https://doi.org/10.3390/math11194183 - 6 Oct 2023
Viewed by 1415
Abstract
Wave propagation in solids is discussed, based upon inherently non-local Λ-fractional analysis. Following the governing equations of Λ-fractional continuum mechanics, the Λ-fractional wave equations are derived. Since the variational procedures are only global, in the present Λ-fractional analysis, various jumpings, either in the [...] Read more.
Wave propagation in solids is discussed, based upon inherently non-local Λ-fractional analysis. Following the governing equations of Λ-fractional continuum mechanics, the Λ-fractional wave equations are derived. Since the variational procedures are only global, in the present Λ-fractional analysis, various jumpings, either in the strain or the stress, may be shown. The proposed theory is applied to impact-induced transitions in two-phase elastic materials and viscoelastic materials. Full article
Show Figures

Figure 1

Back to TopTop