Sign in to use this feature.

Years

Between: -

Subjects

remove_circle_outline
remove_circle_outline
remove_circle_outline
remove_circle_outline
remove_circle_outline
remove_circle_outline
remove_circle_outline
remove_circle_outline
remove_circle_outline

Journals

remove_circle_outline
remove_circle_outline
remove_circle_outline
remove_circle_outline
remove_circle_outline
remove_circle_outline
remove_circle_outline
remove_circle_outline
remove_circle_outline
remove_circle_outline
remove_circle_outline
remove_circle_outline
remove_circle_outline
remove_circle_outline
remove_circle_outline
remove_circle_outline
remove_circle_outline
remove_circle_outline
remove_circle_outline
remove_circle_outline
remove_circle_outline

Article Types

Countries / Regions

remove_circle_outline
remove_circle_outline
remove_circle_outline
remove_circle_outline
remove_circle_outline
remove_circle_outline

Search Results (2,017)

Search Parameters:
Keywords = social world analysis

Order results
Result details
Results per page
Select all
Export citation of selected articles as:
35 pages, 5590 KB  
Article
Value Positioning and Spatial Activation Path of Modern Chinese Industrial Heritage: Social Media Data-Based Perception Analysis of Huaxin Cement Plant via the Four-Quadrant Model
by Zhengcong Wei, Yongning Xiong and Yile Chen
Buildings 2026, 16(3), 519; https://doi.org/10.3390/buildings16030519 - 27 Jan 2026
Abstract
Industrial heritage—particularly large modern cement plants—serves as a crucial witness to the architectural and technological evolution of modern urbanization. In Europe, North America, and East Asia, many decommissioned cement factories have been transformed into cultural venues, creative districts, or urban landmarks, while a [...] Read more.
Industrial heritage—particularly large modern cement plants—serves as a crucial witness to the architectural and technological evolution of modern urbanization. In Europe, North America, and East Asia, many decommissioned cement factories have been transformed into cultural venues, creative districts, or urban landmarks, while a greater number of sites still face the risks of functional decline and spatial disappearance. In China, early large-scale cement plants have received limited attention in international industrial heritage research, and their conservation and adaptive reuse practices remain underdeveloped. This study takes the Huaxin Cement Plant, founded in 1907, as the research object. As the birthplace of China’s modern cement industry, it preserves the world’s only complete wet-process rotary kiln production line, representing exceptional rarity and typological significance. Combining social media perception analysis with the Hidalgo-Giralt four-quadrant model, the study aims to clarify the plant’s value positioning and propose a design-oriented pathway for spatial activation. Based on 378 short videos and 75,001 words of textual data collected from five major platforms, the study conducts a value-tag analysis of public perceptions across five dimensions—historical, technological, social, aesthetic, and economic. Two composite indicators, Cultural Representativeness (CR) and Utilization Intensity (UI), are further established to evaluate the relationship between heritage value and spatial performance. The findings indicate that (1) historical and aesthetic values dominate public perception, whereas social and economic values are significantly underrepresented; (2) the Huaxin Cement Plant falls within the “high cultural representativeness/low utilization intensity” quadrant, revealing concentrated heritage value but insufficient spatial activation; (3) the gap between value cognition and spatial transformation primarily arises from limited public accessibility, weak interpretive narratives, and a lack of immersive experience. In response, the study proposes five optimization strategies: expanding public access, building a multi-layered interpretive system, introducing immersive and interactive design, integrating into the Yangtze River Industrial Heritage Corridor, and encouraging community co-participation. As a representative case of modern Chinese industrial heritage distinguished by its integrity and scarcity, the Huaxin Cement Plant not only enriches the understanding of industrial heritage typology in China but also provides a methodological paradigm for the “value positioning–spatial utilization–heritage activation” framework, bearing both international comparability and disciplinary methodological significance. Full article
17 pages, 1089 KB  
Article
Abortion on Request, Contraceptive Access Barriers, and Mental Health-Related Quality of Life Among Women Attending a Romanian Tertiary Center
by Bogdan Dumitriu, Flavius George Socol, Ioana Denisa Socol, Lavinia Stelea, Alina Dumitriu and Adrian Gluhovschi
Healthcare 2026, 14(3), 310; https://doi.org/10.3390/healthcare14030310 - 26 Jan 2026
Abstract
Background and Objectives: Abortion on request, contraceptive access barriers, and mental health may jointly shape women’s quality of life (QoL). We examined how abortion history, structural barriers, and psychosocial factors relate to modern contraceptive use, depressive and anxiety symptoms, and QoL among [...] Read more.
Background and Objectives: Abortion on request, contraceptive access barriers, and mental health may jointly shape women’s quality of life (QoL). We examined how abortion history, structural barriers, and psychosocial factors relate to modern contraceptive use, depressive and anxiety symptoms, and QoL among women attending a Romanian tertiary center. Methods: We conducted a single-center observational study combining retrospective chart review with an online survey of 200 women aged 18–45 years. Validated instruments (Patient Health Questionnaire-9 [PHQ-9], Generalized Anxiety Disorder-7 [GAD-7], World Health Organization Five-Item Well-Being Index [WHO-5], and World Health Organization Quality of Life–BREF [WHOQOL-BREF]) and indices of access barriers, perceived stigma, and social support were used. Analyses included multivariable regression, structural equation modelling, latent class analysis, and moderation analysis. Results: Overall, 55.0% of women reported ≥1 abortion on request. Compared with those without abortion history, they were older (31.2 ± 4.9 vs. 26.8 ± 4.8 years, p < 0.001), more often had lower levels of education (51.8% vs. 33.3%, p = 0.013), and were less likely to use modern contraception at last intercourse (52.7% vs. 71.1%, p = 0.012). PHQ-9 (8.8 ± 4.0 vs. 7.3 ± 4.3) and GAD-7 (7.0 ± 3.2 vs. 5.7 ± 3.4) scores were higher (both p = 0.010), while QoL was lower (55.4 ± 8.1 vs. 59.5 ± 7.8, p < 0.001). In adjusted models, access barriers (OR per point = 1.3, 95% CI 1.1–1.6), but not abortion history, predicted non-use of modern contraception. QoL correlated strongly with PHQ-9 (r = −0.6) and WHO-5 (r = 0.5; both p < 0.001). Latent class analysis identified a “high-barrier, distressed, abortion-experienced” profile with the poorest mental health and QoL. Conclusions: Structural access barriers and current depressive and anxiety symptoms, rather than abortion history alone, were key correlates of contraceptive gaps and reduced QoL, underscoring the need for integrated reproductive and mental health care. Full article
Show Figures

Figure 1

14 pages, 2524 KB  
Article
From Practice to Territory: Experiences of Participatory Agroecology in the AgrEcoMed Project
by Lucia Briamonte, Domenica Ricciardi, Michela Ascani and Maria Assunta D’Oronzio
World 2026, 7(2), 19; https://doi.org/10.3390/world7020019 - 26 Jan 2026
Abstract
The environmental and social crises affecting global agri-food systems highlight the need for a profound transformation of production models and their territorial relations. In this context, agroecology, understood as science, practice, and movement, has emerged as a paradigm capable of integrating ecological sustainability, [...] Read more.
The environmental and social crises affecting global agri-food systems highlight the need for a profound transformation of production models and their territorial relations. In this context, agroecology, understood as science, practice, and movement, has emerged as a paradigm capable of integrating ecological sustainability, social equity, and community participation. Within this framework, the work carried out by CREA in the AgrEcoMed project (new agroecological approach for soil fertility and biodiversity restoration to improve economic and social resilience of Mediterranean farming systems), funded by the PRIMA programme, investigates agroecology as a social and political process of territorial regeneration. This process is grounded in co-design with local stakeholders, collective learning, and the construction of multi-actor networks for agroecology in the Mediterranean. The Manifesto functions as a tool for participatory governance and value convergence, aiming to consolidate a shared vision for the Mediterranean agroecological transition. The article examines, through an analysis of the existing literature, the role of agroecological networks and empirically examines the function of the collective co-creation of the Manifesto as a tool for social innovation. The methodology is based on a participatory action-research approach that used local focus groups, World Café, and thematic analysis to identify the needs of the companies involved. The results highlight the formation of a multi-actor network currently comprising around 90 members and confirm the effectiveness of the Manifesto as a boundary object for horizontal governance. This demonstrates how sustainability can emerge from dialogue, cooperation, and the co-production of knowledge among local actors. Full article
Show Figures

Figure 1

17 pages, 2551 KB  
Article
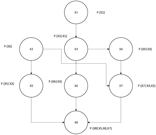
Bayesian Network Analysis of Policing Governance: Implications for Mining and Regional Sustainability
by Bhakti Suhendarwan and Akhmad Fauzi
Sustainability 2026, 18(3), 1217; https://doi.org/10.3390/su18031217 - 26 Jan 2026
Abstract
The real-world effects of mining issues are closely tied to the inadequate enforcement efforts by relevant institutions, which could undermine the credibility of law enforcement agencies and affect regional performance. This study focused on assessing police performance in relation to mining activities in [...] Read more.
The real-world effects of mining issues are closely tied to the inadequate enforcement efforts by relevant institutions, which could undermine the credibility of law enforcement agencies and affect regional performance. This study focused on assessing police performance in relation to mining activities in Indonesia. By employing a Bayesian network, it examined the complex relationships between economic, institutional, and social factors of policing governance and their impact on regional sustainability, with competitiveness as a key variable. The study used the regional policing governance index and mining permits as intervention variables, while considering social security, profitability, and corruption levels as intermediate variables. Results revealed that the ease or stringency of mining permits and the policing index significantly affect regional competitiveness. A sensitivity analysis was conducted to identify the most influential factors in regional competitiveness. It showed that corruption, the policing index, and social security are the most sensitive factors. The findings offer valuable insights for improving resource governance to foster sustainable regional development. Full article
Show Figures

Figure 1

25 pages, 1109 KB  
Article
A Scenario-Robust Intuitionistic Fuzzy AHP–TOPSIS Model for Sustainable Healthcare Waste Treatment Selection: Evidence from Türkiye
by Pınar Özkurt
Sustainability 2026, 18(3), 1167; https://doi.org/10.3390/su18031167 - 23 Jan 2026
Viewed by 120
Abstract
Selecting a sustainable healthcare waste treatment method is a complex multi-criteria problem influenced by environmental, economic, social and technological factors. This study addresses key gaps in the literature by proposing an intuitionistic fuzzy AHP–TOPSIS framework that explicitly models cognitive uncertainty and expert hesitation, [...] Read more.
Selecting a sustainable healthcare waste treatment method is a complex multi-criteria problem influenced by environmental, economic, social and technological factors. This study addresses key gaps in the literature by proposing an intuitionistic fuzzy AHP–TOPSIS framework that explicitly models cognitive uncertainty and expert hesitation, while demonstrating its application through a real-world case study in Adana, Türkiye. In contrast to prior studies utilizing fewer criteria, our framework evaluates four treatment alternatives—incineration, steam sterilization, microwave, and landfill—across 17 comprehensive criteria that directly integrate circular economy principles such as resource recovery and energy efficiency. The results indicate that steam sterilization is the most sustainable option, demonstrating superior performance across environmental, economic, social, and technological dimensions. A 15-scenario sensitivity analysis ensures ranking resilience across varying decision contexts. Furthermore, a systematic comparative analysis highlights the methodological advantages of the proposed framework in terms of analytical granularity and robustness compared to existing models. The study also offers step-by-step operational guidance, creating a transparent and policy-responsive decision-support tool for healthcare waste management authorities to advance sustainable practices. Full article
27 pages, 4995 KB  
Article
Evolution of Urban Mosque Architecture in Nigeria: A Case Study of Ilorin Central Mosque
by Muhammed Madandola, Akel Ismail Kahera and Djamel Boussaa
Buildings 2026, 16(2), 421; https://doi.org/10.3390/buildings16020421 - 20 Jan 2026
Viewed by 198
Abstract
Mosque architecture often exhibits distinct identities, elements, and forms associated with geographical locations or dynastic patronage in the Islamic world. However, there has been a significant paradigm shift in mosque architecture over the past century, with external factors influencing the construction and sustainability [...] Read more.
Mosque architecture often exhibits distinct identities, elements, and forms associated with geographical locations or dynastic patronage in the Islamic world. However, there has been a significant paradigm shift in mosque architecture over the past century, with external factors influencing the construction and sustainability of contemporary mosques. This study examines the evolution of mosque architecture in Nigeria, concentrating on the Ilorin Central Mosque as a pivotal case study connecting the northern and southern regions. The study employs a qualitative research methodology, utilizing descriptive approach, historical research, architectural analysis, and field observations to examine the architectural language, urban context, and socio-historical factors shaping the mosque’s development. Although geographical settings have always influenced traditional religious designs in Nigeria, the findings reveal a transformation from simple mud structures to grand modern edifices. The Ilorin Central Mosque exemplifies this shift, with its Ottoman-inspired domes and minarets contrasting with the traditional vernacular mosques of the 19th century. The study highlights the challenges of globalization, sustainability, foreign architectural influences, and the tension between local identity and contemporary trends in mosque architecture. The study concludes by arguing that future mosques must reintegrate regionalism, local materials, and climate-responsive principles into contemporary aesthetics while considering the quintessential principles of the Prophet’s Mosque and the religious and social significance of mosques within the urban fabric. The Ilorin Central Mosque exemplifies a microcosm of the transformations in Nigerian mosque architecture, highlighting the necessity of a balanced approach that embraces both cultural heritage and contemporary needs. Full article
(This article belongs to the Section Architectural Design, Urban Science, and Real Estate)
Show Figures

Figure 1

16 pages, 1118 KB  
Review
Electric Mobility and Social Sustainability Research: A Bibliometric Review
by Thomas Ogoro Ombati
Energies 2026, 19(2), 505; https://doi.org/10.3390/en19020505 - 20 Jan 2026
Viewed by 111
Abstract
Electric mobility is increasingly recognised as a sustainable transportation solution worldwide. While the economic and environmental aspects of e-mobility have been explored extensively, social dimensions such as equity, accessibility, and inclusiveness remain underexplored. Existing literature on these social aspects is fragmented across disciplines, [...] Read more.
Electric mobility is increasingly recognised as a sustainable transportation solution worldwide. While the economic and environmental aspects of e-mobility have been explored extensively, social dimensions such as equity, accessibility, and inclusiveness remain underexplored. Existing literature on these social aspects is fragmented across disciplines, shaped by varying regional contexts, which complicates efforts to form a coherent understanding of the field. To address this gap, a bibliometric analysis was conducted using the R-studio software via the Biblioshiny app. Version 4.3.0. This analysis systematically maps the intellectual landscape, identifies dominant themes, and highlights critical research gaps at the intersection of e-mobility and social sustainability. A total of 490 publications were extracted from the Scopus database as of 23 March 2025. The findings reveal a sharp increase in scholarly attention since 2018, peaking at 110 publications in 2024. The top-ranked country is China, which has 130 publications. In addition, the research has clustered around four thematic areas: energy and charging infrastructure, social and economic impacts, public policy and regulations, and technological innovations. Despite this growth, persistent gaps remain, particularly concerning social equity, inclusive policy design, socio-economic disparities, and the real-world effects of emerging technologies on vulnerable populations. Future research should specifically explore how e-mobility initiatives can reduce regional access inequalities, generate quality green employment, and ensure that technologies such as vehicle-to-grid systems are equitably deployed to benefit low-income and marginalised populations. Full article
(This article belongs to the Section E: Electric Vehicles)
Show Figures

Figure 1

25 pages, 3597 KB  
Article
Social Engineering Attacks Using Technical Job Interviews: Real-Life Case Analysis and AI-Assisted Mitigation Proposals
by Tomás de J. Mateo Sanguino
Information 2026, 17(1), 98; https://doi.org/10.3390/info17010098 - 18 Jan 2026
Viewed by 240
Abstract
Technical job interviews have become a vulnerable environment for social engineering attacks, particularly when they involve direct interaction with malicious code. In this context, the present manuscript investigates an exploratory case study, aiming to provide an in-depth analysis of a single incident rather [...] Read more.
Technical job interviews have become a vulnerable environment for social engineering attacks, particularly when they involve direct interaction with malicious code. In this context, the present manuscript investigates an exploratory case study, aiming to provide an in-depth analysis of a single incident rather than seeking to generalize statistical evidence. The study examines a real-world covert attack conducted through a simulated interview, identifying the technical and psychological elements that contribute to its effectiveness, assessing the performance of artificial intelligence (AI) assistants in early detection and proposing mitigation strategies. To this end, a methodology was implemented that combines discursive reconstruction of the attack, code exploitation and forensic analysis. The experimental phase, primarily focused on evaluating 10 large language models (LLMs) against a fragment of obfuscated code, reveals that the malware initially evaded detection by 62 antivirus engines, while assistants such as GPT 5.1, Grok 4.1 and Claude Sonnet 4.5 successfully identified malicious patterns and suggested operational countermeasures. The discussion highlights how the apparent legitimacy of platforms like LinkedIn, Calendly and Bitbucket, along with time pressure and technical familiarity, act as catalysts for deception. Based on these findings, the study suggests that LLMs may play a role in the early detection of threats, offering a potentially valuable avenue to enhance security in technical recruitment processes by enabling the timely identification of malicious behavior. To the best of available knowledge, this represents the first academically documented case of its kind analyzed from an interdisciplinary perspective. Full article
Show Figures

Figure 1

23 pages, 13094 KB  
Article
PDR-STGCN: An Enhanced STGCN with Multi-Scale Periodic Fusion and a Dynamic Relational Graph for Traffic Forecasting
by Jie Hu, Bingbing Tang, Langsha Zhu, Yiting Li, Jianjun Hu and Guanci Yang
Systems 2026, 14(1), 102; https://doi.org/10.3390/systems14010102 - 18 Jan 2026
Viewed by 136
Abstract
Accurate traffic flow prediction is a core component of intelligent transportation systems, supporting proactive traffic management, resource optimization, and sustainable urban mobility. However, urban traffic networks exhibit heterogeneous multi-scale periodic patterns and time-varying spatial interactions among road segments, which are not sufficiently captured [...] Read more.
Accurate traffic flow prediction is a core component of intelligent transportation systems, supporting proactive traffic management, resource optimization, and sustainable urban mobility. However, urban traffic networks exhibit heterogeneous multi-scale periodic patterns and time-varying spatial interactions among road segments, which are not sufficiently captured by many existing spatio-temporal forecasting models. To address this limitation, this paper proposes PDR-STGCN (Periodicity-Aware Dynamic Relational Spatio-Temporal Graph Convolutional Network), an enhanced STGCN framework that jointly models multi-scale periodicity and dynamically evolving spatial dependencies for traffic flow prediction. Specifically, a periodicity-aware embedding module is designed to capture heterogeneous temporal cycles (e.g., daily and weekly patterns) and emphasize dominant social rhythms in traffic systems. In addition, a dynamic relational graph construction module adaptively learns time-varying spatial interactions among road nodes, enabling the model to reflect evolving traffic states. Spatio-temporal feature fusion and prediction are achieved through an attention-based Bidirectional Long Short-Term Memory (BiLSTM) network integrated with graph convolution operations. Extensive experiments are conducted on three datasets, including Metro Traffic Los Angeles (METR-LA), Performance Measurement System Bay Area (PEMS-BAY), and a real-world traffic dataset from Guizhou, China. Experimental results demonstrate that PDR-STGCN consistently outperforms state-of-the-art baseline models. For next-hour traffic forecasting, the proposed model achieves average reductions of 16.50% in RMSE, 9.00% in MAE, and 0.34% in MAPE compared with the second-best baseline. Beyond improved prediction accuracy, PDR-STGCN reveals latent spatio-temporal evolution patterns and dynamic interaction mechanisms, providing interpretable insights for traffic system analysis, simulation, and AI-driven decision-making in urban transportation networks. Full article
Show Figures

Figure 1

14 pages, 1165 KB  
Article
Lean-NET-Based Local Brain Connectome Analysis for Autism Spectrum Disorder Classification
by Aoumria Chelef, Demet Yuksel Dal, Mahmut Ozturk, Mosab A. A. Yousif and Gokce Koc
Bioengineering 2026, 13(1), 99; https://doi.org/10.3390/bioengineering13010099 - 15 Jan 2026
Viewed by 239
Abstract
Autism spectrum disorder (ASD) is a neurodevelopmental condition characterized by impairments in social interaction and communication, along with atypical behavioral patterns. Affected individuals often seem isolated in their inner world and exhibit particular sensory reactions. The World Health Organization has indicated a persistent [...] Read more.
Autism spectrum disorder (ASD) is a neurodevelopmental condition characterized by impairments in social interaction and communication, along with atypical behavioral patterns. Affected individuals often seem isolated in their inner world and exhibit particular sensory reactions. The World Health Organization has indicated a persistent increase in the global prevalence of autism, with approximately 1 in 127 persons affected worldwide. This study contributes to the growing research effort by presenting a comprehensive analysis of functional connectivity patterns for ASD prediction using rs-fMRI datasets. A novel approach was used for ASD identification using the ABIDE II dataset, based on functional networks derived from BOLD signals. The sparse functional brain connectome (Lean-NET) model is employed to construct subject-specific connectomes, from which local graph metrics are extracted to quantify regional network properties. Statistically significant features are selected using Welch’s t-test, then subjected to False Discovery Rate (FDR) correction and classified using a Support Vector Machine (SVM). Our experimental results demonstrate that locally derived graph metrics effectively discriminate ASD from typically developing (TD) subjects and achieve accuracy ranging from 70% up to 91%, highlighting the potential of graph learning approaches for functional connectivity analysis and ASD characterization. Full article
(This article belongs to the Special Issue Neuroimaging Techniques and Applications in Neuroscience)
Show Figures

Figure 1

25 pages, 991 KB  
Article
Sustainable Development Performances Assessment in Upper-Middle Income Developing Countries: A Novel Hybrid Evaluation System in Fuzzy and Non-Fuzzy Environments
by Nazli Tekman Ordu and Muhammed Ordu
Systems 2026, 14(1), 88; https://doi.org/10.3390/systems14010088 - 13 Jan 2026
Viewed by 133
Abstract
Advancing the Sustainable Development Goals (SDGs)—framed around social, environmental, and governance dimensions—offers societies across the world the possibility of achieving long-term prosperity and ensuring that future generations enjoy a high quality of life. Governments pursue the 17 SDGs in accordance with their own [...] Read more.
Advancing the Sustainable Development Goals (SDGs)—framed around social, environmental, and governance dimensions—offers societies across the world the possibility of achieving long-term prosperity and ensuring that future generations enjoy a high quality of life. Governments pursue the 17 SDGs in accordance with their own socioeconomic and cultural contexts, institutional capacities, and available resources. Because countries differ substantially in structure and capability, their progress toward these goals varies, making the systematic measurement and analysis of SDG performance essential for appropriate timing and efficient resource allocation. This study proposes a hybrid assessment system to evaluate the sustainable development performance of upper-middle-income developing countries under both fuzzy and non-fuzzy environments. This integrated evaluation system consists of four main stages. In the first stage, evaluation criteria and alternative countries are specified, relevant data are obtained, and an initial decision matrix is developed. In the second stage, an efficiency analysis is conducted to identify countries that are efficient and those that are not. In the third stage, evaluation criteria are weighted using AHP and Fuzzy AHP methods. In the final stage, the TOPSIS and Fuzzy TOPSIS methods are used to rank efficient countries depending on sustainable development performance criteria. As a result, six countries were identified as inefficient countries based on sustainable development: China, Kazakhstan, Mongolia, Paraguay, Namibia and Turkmenistan. The AHP and Fuzzy AHP methods produced similar criterion weight values compared to each other. The criteria were prioritized from most important to least one as follows: Life expectancy, expected years of schooling, mean years of schooling, gross national income per capita, CO2 emissions per capita, and material footprint per capita. While some countries achieved similar rankings using the TOPSIS and Fuzzy TOPSIS methods, most countries achieved different rankings because of the multidimensional nature of sustainable development. When the rankings obtained from the fuzzy and non-fuzzy approaches were compared, a noticeable level of overlap was observed, with a Spearman’s rank correlation coefficient of 68.73%. However, the fuzzy TOPSIS method is considered more reliable for assessing sustainable development performance due to its ability to handle data uncertainty, imprecision, and the multidimensional nature of SDG indicators. The results of this study demonstrate that analyses related to sustainable development, which may not contain precise and clear values and have a complex structure encompassing many areas such as social, environmental, and governance, should preferably be conducted within a fuzzy logic framework to ensure more robust and credible evaluations. Full article
(This article belongs to the Section Systems Practice in Social Science)
Show Figures

Figure 1

16 pages, 260 KB  
Commentary
COMPASS Guidelines for Conducting Welfare-Focused Research into Behaviour Modification of Animals
by Paul D. McGreevy, David J. Mellor, Rafael Freire, Kate Fenner, Katrina Merkies, Amanda Warren-Smith, Mette Uldahl, Melissa Starling, Amy Lykins, Andrew McLean, Orla Doherty, Ella Bradshaw-Wiley, Rimini Quinn, Cristina L. Wilkins, Janne Winther Christensen, Bidda Jones, Lisa Ashton, Barbara Padalino, Claire O’ Brien, Caleigh Copelin, Colleen Brady and Cathrynne Henshalladd Show full author list remove Hide full author list
Animals 2026, 16(2), 206; https://doi.org/10.3390/ani16020206 - 9 Jan 2026
Viewed by 832
Abstract
Researchers are increasingly engaged in studies to determine and correct negative welfare consequences of animal husbandry and behaviour modification procedures, not least in response to industries’ growing need to maintain their social licence through demonstrable welfare standards that address public expectations. To ensure [...] Read more.
Researchers are increasingly engaged in studies to determine and correct negative welfare consequences of animal husbandry and behaviour modification procedures, not least in response to industries’ growing need to maintain their social licence through demonstrable welfare standards that address public expectations. To ensure that welfare recommendations are scientifically credible, the studies must be rigorously designed and conducted, and the data produced must be interpreted with full regard to conceptual, methodological, and experimental design limitations. This commentary provides guidance on these matters. In addition to, and complementary with, the ARRIVE guidelines that deal with animal studies in general, there is a need for additional specific advice on the design of studies directed at procedures that alter behaviour, whether through training, handling, or restraint. The COMPASS Guidelines offer clear direction for conducting welfare-focused behaviour modification research. They stand for the following: Controls and Calibration, emphasising rigorous design, baseline measures, equipment calibration, and replicability; Objectivity and Open data, ensuring transparency, validated tools, and data accessibility; Motivation and Methods, with a focus on learning theory, behavioural science, and evidence-based application of positive reinforcers and aversive stimuli; Precautions and Protocols, embedding the precautionary principle, minimising welfare harms, listing stop criteria, and using real-time monitoring; Animal-centred Assessment, with multimodal welfare evaluation, using physiological, behavioural, functional, and objective indicators; Study ethics and Standards, noting the 3Rs (replacement, reduction, and refinement), welfare endpoints, long-term effects, industry independence, and risk–benefit analysis; and Species-relevance and Scientific rigour, facilitating cross-species applicability with real-world relevance and robust methodology. To describe these guidelines, the current article is organised into seven major sections that outline detailed, point-by-point considerations for ethical and scientifically rigorous design. It concludes with a call for continuous improvement and collaboration. A major purpose is to assist animal ethics committees when considering the design of experiments. It is also anticipated that these Guidelines will assist reviewers and editorial teams in triaging manuscripts that report studies in this context. Full article
(This article belongs to the Section Companion Animals)
17 pages, 516 KB  
Article
How Wasta Practiced by HRM Employees Hampers Entrepreneurs’ Innovation and Sustainable Development: The Case of the MENA Region
by Yousif Abdelrahim
Sustainability 2026, 18(2), 606; https://doi.org/10.3390/su18020606 - 7 Jan 2026
Viewed by 212
Abstract
This study examines the relationship between Wasta—a social network based on family, lineage, tribe, and extended family ties—as practiced by senior HRM employees, and its effects on entrepreneurial creativity, innovation, and sustainable development in the MENA region. The study also explores why entrepreneurs [...] Read more.
This study examines the relationship between Wasta—a social network based on family, lineage, tribe, and extended family ties—as practiced by senior HRM employees, and its effects on entrepreneurial creativity, innovation, and sustainable development in the MENA region. The study also explores why entrepreneurs and countries in the MENA region are not ranked among the top 100 innovators in the Global Innovation Index. Additionally, it addresses why Wasta, as practiced by HRM employees, can impede sustainable development. The author drew on Amabile’s Componential Theory of Organizational Creativity and Model of Creativity and Innovation in Organizations. Evidence was gathered from articles on Wasta, secondary data from the Global Innovation Index (GII) for 2023, and the Global Entrepreneurship Monitor (GEM NECI) in 2024. Secondary datasets were analyzed using constant comparative analysis of documents. These datasets included accessible online indices, the Global Innovation Index in 2023, the World’s Most Innovative Companies Index by Forbes, and the Top 100 Global Innovators 2024 Rankings by Clarivate. The study develops a theoretical framework for the link between Wasta and sustainable development. It concludes that Wasta, when practiced by senior HRM employees, is likely a reason why MENA entrepreneurs fall short in achieving sustainable development and why the region’s countries are not among the top 100 innovative countries globally. The study answers why Wasta hinders sustainable development among MENA entrepreneurs. This study recommends that entrepreneurs recognize the importance of fair HRM practices in hiring, supervisor selection, candidate selection, and promotions to foster innovation and sustainable development. The conclusions may also encourage policymakers to create and enforce new rules to reduce Wasta if they aim to stimulate innovation, sustainable development, and economic advantage in the MENA region. Full article
Show Figures

Figure 1

18 pages, 1314 KB  
Article
Opinion Mining-Driven Classification Model for Early Autism Spectrum Disorders Identification Based on Standardized Assessments
by José Roberto Grande-Ramírez, Eduardo Roldán-Reyes, Guillermo Cortés-Robles, Jesús Delgado-Maciel, Marisol Morales-Saucedo and Marco Antonio Díaz-Martínez
Technologies 2026, 14(1), 36; https://doi.org/10.3390/technologies14010036 - 5 Jan 2026
Viewed by 228
Abstract
The efforts to achieve early detection of autism spectrum disorders (ASD) are becoming increasingly important due to the high prevalence that continues to persist globally. The World Health Organization (WHO) and other official institutions agree that in marginalized regions, it is urgently necessary [...] Read more.
The efforts to achieve early detection of autism spectrum disorders (ASD) are becoming increasingly important due to the high prevalence that continues to persist globally. The World Health Organization (WHO) and other official institutions agree that in marginalized regions, it is urgently necessary to develop effective alternatives and methods to improve the quality of life of children and their families. This study presents an integrated model for the early detection of ASD, based on the analysis of parental observations and supported by validated diagnostic tools. The proposed approach consists of four sequential modules, aiming to improve early detection through techniques such as natural language processing (NLP) and machine learning (ML) metrics. Records from two Latin American countries were standardized, thereby consolidating a single database comprising 153 records of children aged 2 to 6 years. The Parent Interview Instrument (PII) was administered by specialists to caregivers and subsequently compared with standardized tests. Encouraging results were obtained from the support vector machine (SVM) classification algorithm, yielding an accuracy range of 89.88–91.34%, a maximum precision of 90.02%, a recall of 89.02%, and a maximum F-measure of 91.12%. The results of the case study allow us to identify disorders related to autism, such as the repetition of behaviors, difficulties in social interaction, and issues with verbal expression. This contribution aligns with the United Nations Sustainable Development Goal 3, which promotes health and well-being. Full article
Show Figures

Figure 1

27 pages, 1434 KB  
Article
An ML-Based Approach to Leveraging Social Media for Disaster Type Classification and Analysis Across World Regions
by Mohammad Robel Miah, Lija Akter, Ahmed Abdelmoamen Ahmed, Louis Ngamassi and Thiagarajan Ramakrishnan
Computers 2026, 15(1), 16; https://doi.org/10.3390/computers15010016 - 1 Jan 2026
Viewed by 267
Abstract
Over the past decade, the frequency and impact of both natural and human-induced disasters have increased significantly, highlighting the urgent need for effective and timely relief operations. Disaster response requires efficient allocation of resources to the right locations and disaster types in a [...] Read more.
Over the past decade, the frequency and impact of both natural and human-induced disasters have increased significantly, highlighting the urgent need for effective and timely relief operations. Disaster response requires efficient allocation of resources to the right locations and disaster types in a cost- and time-effective manner. However, during such events, large volumes of unverified and rapidly spreading information—especially on social media—often complicate situational awareness and decision-making. Consequently, extracting actionable insights and accurately classifying disaster-related information from social media platforms has become a critical research challenge. Machine Learning (ML) approaches have shown strong potential for categorizing disaster-related tweets, yet substantial variations in model accuracy persist across disaster types and regional contexts, suggesting that universal models may overlook linguistic and cultural nuances. This paper investigates the categorization and sub-categorization of natural disaster tweets using a labeled dataset of over 32,000 samples. Logistic Regression and Random Forest classifiers were trained and evaluated after comprehensive preprocessing to predict disaster categories and sub-categories. Furthermore, a country-specific prediction framework was implemented to assess how regional and cultural variations influence model performance. The results demonstrate strong overall classification accuracy, while revealing marked differences across countries, emphasizing the importance of context-aware, culturally adaptive ML approaches for reliable disaster information management. Full article
(This article belongs to the Special Issue Advances in Semantic Multimedia and Personalized Digital Content)
Show Figures

Figure 1

Back to TopTop