Bayesian Network Analysis of Policing Governance: Implications for Mining and Regional Sustainability
Abstract
1. Introduction
2. Literature Review
2.1. Mining Governance and Corruption in Mining and Quarrying Activities
2.2. Resource Policing Governance
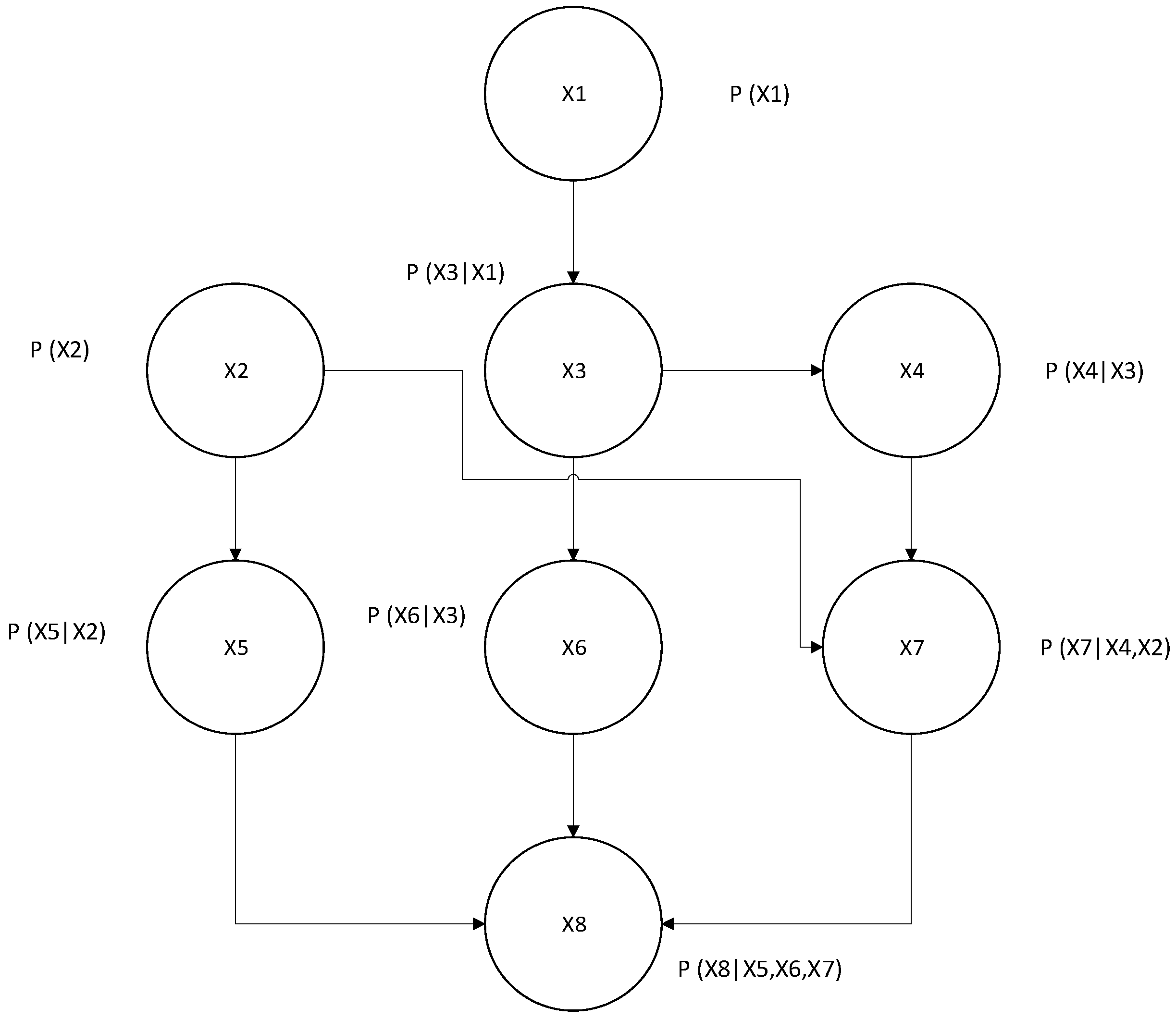
3. Research Methods
4. Results
4.1. Strength Analysis
4.2. Scenario Analysis
4.3. Sensitivity Analysis
5. Discussion
6. Conclusions
Author Contributions
Funding
Institutional Review Board Statement
Informed Consent Statement
Data Availability Statement
Acknowledgments
Conflicts of Interest
References
- Ministry of Energy and Mineral Resources. Handbook Of Energy & Economic Statictics Of Indonesia 2023. 2023. Available online: https://esdm.go.id/assets/media/content/content-handbook-of-energy-and-economic-statistics-of-indonesia-2023.pdf (accessed on 20 June 2024).
- Bansard, J.; Schöder, M. The Sustainable Use of Natural Resources: The Governance Challenge; IISD: Winnipeg, MB, Canada, 2021; pp. 1–10. Available online: https://www.iisd.org/articles/sustainable-use-natural-resources-governance-challenge (accessed on 25 June 2024).
- Suhendarwan, B.; Fauzi, A.; Mulatsih, S.; Juanda, B. Developing a composite index for assessing policing in Indonesia’s mining. J. Infrastruct. Policy Dev. 2024, 8, 6443. [Google Scholar] [CrossRef]
- Cordero, S.P.Q. Citizen security and community participation in Latin America. Rev. Cient. Gen. Jose Maria Cordova 2020, 18, 5–24. [Google Scholar] [CrossRef]
- Hodgkinson, T.; Caputo, T.; McIntyre, M.L. Beyond crime rates and community surveys: A new approach to police accountability and performance measurement. Crime Sci. 2019, 8, 13. [Google Scholar] [CrossRef]
- Holzer, M. Bridging police work with the public health domain: An occupational safety and health perspective. Int. J. Saf. Secur. Eng. 2020, 10, 579–587. [Google Scholar] [CrossRef]
- White, V.M.; Avendano, S.A.; Albert, L.A.; Zgierska, A.E.; Balles, C.J.; Zayas-Cabán, G. Impact of a community-policing initiative promoting substance use disorder treatment over criminal charges on arrest recidivism. Drug Alcohol Depend. 2021, 227, 108915. [Google Scholar] [CrossRef]
- Jhanattan, M.; Laksmono, B.S.; Martono, D.N.; Herdiansyah, H. Mining Management of Nonmetallic Minerals and Rocks Based on Government Policy. Int. J. Environ. Impacts 2023, 6, 165–181. [Google Scholar] [CrossRef]
- Tegnan, H.; Karjoko, L.; Barkhuizen, J.; Bajrektarevic, A.H. Mining Corruption and Environmental Degradation in Indonesia: Critical Legal Issues. Bestuur 2021, 9, 90–100. [Google Scholar] [CrossRef]
- Harimbawa, G.; Sumaryadi, I.N.; Djohan, D.; Mulyati, D.; Achmad, M. Collaborative Governance wit focus on Controlling the Illegal Mining in Indonesia. Croat. Int. Relat. Rev. 2021, XXVII, 209–224. [Google Scholar] [CrossRef]
- Thamrin, H.; Nursanthy, A.T.R.; Thamrin, M.A. Law Enforcement Against Illegal Miners. Awang Long Law Rev. 2025, 7, 503–507. [Google Scholar] [CrossRef]
- Rahman, I.; Basrawi, B.; Widyawati, A.; Suryani, L.S.; Haris, I.N. Mineral and Coal Mining Regulatory Reform in Indonesia. J. Law Leg. Reform 2025, 6, 499–568. [Google Scholar] [CrossRef]
- Giffoni, F.; Salini, S.; Sirtori, E. Evaluating business support measures: The Bayesian Network approach. Evaluation 2018, 24, 133–152. [Google Scholar] [CrossRef]
- Rohman, A.; Hartiwiningsih; Rustamaji, M. Illegal mining in Indonesia: Need for robust legislation and enforcement. Cogent Soc. Sci. 2024, 10, 2358158. [Google Scholar] [CrossRef]
- San Cristóbal, J.R.; Biezma, M.V. The mining industry in the European Union: Analysis of inter-industry linkages using input-output analysis. Resour. Policy 2006, 31, 1–6. [Google Scholar] [CrossRef]
- Su, H.; Lu, Y.; Lyulyov, O.; Pimonenko, T. Good Governance within Public Participation and National Audit for Reducing Corruption. Sustainability 2023, 15, 7030. [Google Scholar] [CrossRef]
- Moisé, G.M. Corruption in the oil sector: A systematic review and critique of the literature. Extr. Ind. Soc. 2020, 7, 217–236. [Google Scholar] [CrossRef]
- Owens, E.; Ba, B. The Economics of Policing and Public Safety. J. Econ. Perspect. 2021, 35, 3–28. [Google Scholar] [CrossRef]
- Goldstein, R.; Sances, M.W.; You, H.Y. Exploitative Revenues, Law Enforcement, and the Quality of Government Service. Urban Aff. Rev. 2020, 56, 5–31. [Google Scholar] [CrossRef]
- Kajeepeta, S.; Bruzelius, E.; Ho, J.Z.; Prins, S.J. Policing the pandemic: Estimating spatial and racialised inequities in New York City police enforcement of COVID-19 mandates. Crit. Public Health 2022, 32, 56–67. [Google Scholar] [CrossRef]
- Laufs, J.; Waseem, Z. Policing in pandemics: A systematic review and best practices for police response to COVID-19. Int. J. Disaster Risk Reduct. 2020, 51, 101812. [Google Scholar] [CrossRef]
- Sheptycki, J. The politics of policing a pandemic panic. Aust. N. Z. J. Criminol. 2020, 53, 157–173. [Google Scholar] [CrossRef]
- Eliason, S. Policing natural resources: Issues in a conservation law enforcement agency. Prof. Issues Crim. Justice 2011, 6, 43–58. [Google Scholar]
- Massaquoi, B.; Roberts, N.J.; Tian, G. Marine fishing management towards sustainability in Sierra Leone. Int. J. Sustain. Dev. Plan. 2021, 16, 935–944. [Google Scholar] [CrossRef]
- Bakker, L. Custom and violence in Indonesia’s protracted land conflict. Soc. Sci. Humanit. Open 2023, 8, 100624. [Google Scholar] [CrossRef]
- Leonard, L. Traditional leadership, community participation and mining development in South Africa: The case of Fuleni, Saint Lucia, KwaZulu-Natal. Land Use Policy 2019, 86, 290–298. [Google Scholar] [CrossRef]
- Marenin, O. Styles of policing and economic development in African states. Public Adm. Dev. 2014, 34, 149–161. [Google Scholar] [CrossRef]
- Rusek, J.; Tajduś, K.; Firek, K.; Jędrzejczyk, A. Score-based Bayesian belief network structure learning in damage risk modelling of mining areas building development. J. Clean. Prod. 2021, 296, 126528. [Google Scholar] [CrossRef]
- Graham, W.; Robertson, A. Exploring criminal justice policy transfer models and mobilities using a case study of violence reduction. Criminol. Crim. Justice 2022, 22, 423–441. [Google Scholar] [CrossRef]
- Borg, I.; Groenen, P.J.; Mair, P. European Journal of Business and Management Research; SpringerBriefs in Statistics; Springer: Cham, Switzerland, 2013; Volume 5, Available online: http://www.springer.com/series/8921 (accessed on 2 May 2024).
- Daniel, D.; Sirait, M.; Pande, S. A hierarchical Bayesian Belief Network model of household water treatment behaviour in a suburban area: A case study of Palu, Indonesia. PLoS ONE 2020, 15, e0241904. [Google Scholar] [CrossRef]
- Norouzi Isfahani, R.; Talaee Malmiri, A.; BahooToroody, A.; Abaei, M.M. A Bayesian-based framework for advanced nature-based tourism model. J. Asian Bus. Econ. Stud. 2023, 30, 86–104. [Google Scholar] [CrossRef]
- Requejo Castro, D. Data-Driven Bayesian Networks Modelling to Support Decision-Making: Application to the Context of Sustainable Development Goal 6 on Water and Sanitation. April. 2021. Available online: https://upcommons.upc.edu/server/api/core/bitstreams/798055cc-5bcd-4592-beb6-8d42db93bb83/content (accessed on 25 April 2024).
- Simsekler, M.C.E.; Qazi, A. Adoption of a Data-Driven Bayesian Belief Network Investigating Organisational Factors that Influence Patient Safety. Risk Anal. 2022, 42, 1277–1293. [Google Scholar] [CrossRef]
- Wang, Y.; Zhang, J.; Wu, G. Bayesian-Based Traffic Safety Evaluation Study for Driverless Infiltration. Appl. Sci. 2023, 13, 12291. [Google Scholar] [CrossRef]
- Ariyani, N.; Fauzi, A. Unlocking Sustainable Rural Tourism to Support Rural Development: A Bayesian Approach to Managing Water-Based Destinations in Indonesia. Sustainability 2024, 16, 5506. [Google Scholar] [CrossRef]
- Paredes, S.; Pascoe, S.; Coglan, L.; Richards, C. Increasing Local Fish Consumption: A Bayesian Belief Network Analysis. J. Int. Food Agribus. Mark. 2021, 33, 104–121. [Google Scholar] [CrossRef]
- Kisioglu, P.; Topcu, Y.I. Applying Bayesian Belief Network approach to customer churn analysis: A case study on the telecom industry of Turkey. Expert Syst. Appl. 2011, 38, 7151–7157. [Google Scholar] [CrossRef]
- Bloodworth, A.J.; Scott, P.W.; McEvoy, F.M. Digging the backyard: Mining and quarrying in the UK and their impact on future land use. Land Use Policy 2009, 26, 317–325. [Google Scholar] [CrossRef]
- Tilton, J.E. Mineral endowment, public policy and competitiveness: A survey of issues. Resour. Policy 1992, 18, 237–249. [Google Scholar] [CrossRef]
- Rachman, R.M.; Mangidi, U.; Trihadiningrum, Y. Solidification and stabilisation of mercury-contaminated tailings in artisanal and small-scale gold mining using tras soil. J. Degrad. Min. Lands Manag. 2023, 10, 4575–4582. [Google Scholar] [CrossRef]
- Salemdeeb, R.; Al-Tabbaa, A.; Reynolds, C. The UK waste input-output table: Linking waste generation to the UK economy. Waste Manag. Res. 2016, 34, 1089–1094. [Google Scholar] [CrossRef]
- Meutia, A.A.; Bachriadi, D.; Gafur, N.A. Environment Degradation, Health Threats, and Legality at the Artisanal Small-Scale Gold Mining Sites in Indonesia. International J. Environ. Res. Public Health 2023, 20, 6774. [Google Scholar] [CrossRef]








| Variable Nodes | Measurement |
|---|---|
| Easy, stringent |
| Low, moderate, high |
| Low, medium, high |
| Low, medium, high |
| Low, medium, high |
| Low, medium, high |
| Low, medium, high |
| Low, medium, high |
| Node 1: Mining Permit | Information | |
|---|---|---|
| easy | 0.7 | Mining permits are used to manage mining licences and other activities, such as non-mining activities. If the respondent thinks that mining licencing should be simplified, the respondent can provide a number greater than 50 percent in the Easy column, and vice versa. The two columns must be 100 percent. |
| Stringent | 0.3 | |
| Node 2: Resources Governance Policing Index | Information | |
|---|---|---|
| Low Medium High | 0.2 0.5 0.3 | The resource governance policing index (RGPI) is a composite index built from three dimensions of supervision, partnership, and law enforcement in the mining sector. Respondents were asked to determine the significance of these three activities in the context of mining in Indonesia, using low, moderate, and high scenarios based on their knowledge. If the significance of the mining activity is high, the highest percentage is given to the high scenario, while the other two scenarios adjust until the value of the column amounts to 100% |
| Node 3: Mining Intensity | Information | ||
|---|---|---|---|
| mining permit | easy | stringent | Mining intensity, according to the model, is the intensity of mining carried out, influenced by the ease of administration and licencing (mining permit). Mining activities are divided into three scenarios, namely low, medium, and high. If, according to the respondents, mining activities will be more intensive with the ease of licencing, then the respondents can provide the most significant percentage in the high scenario, according to their preferences, and vice versa. The entire column must be 100% |
| low | 0.2 | 0.3 | |
| medium | 0.3 | 0.6 | |
| high | 0.5 | 0.1 | |
| Node 4: Social Impact | Information | |||
|---|---|---|---|---|
| mining intensity | low | medium | high | Social impact in this model is influenced by mining intensity. Respondents are asked to assess the extent to which mining intensity will affect the community’s social life in the mining area, with the probability score indicating that low mining intensity will have a negligible impact. The low value will have the most significant percentage. |
| low | 0.7 | 0.3 | 0.2 | |
| medium | 0.2 | 0.4 | 0.2 | |
| high | 0.1 | 0.3 | 0.6 | |
| Node 5: Corruption Level | Information | |||
|---|---|---|---|---|
| RGPI | low | moderate | high | The node corruption level has a probability distribution associated with the RGPI value. Respondents were asked to determine the corruption level for low, moderate, and high RGPI levels. If the RGPI is considered high and causes low-level corruption, then the percentage of the low scenario is given a high percentage, and the other values adjust so that they have a value of 100% |
| low | 0.3 | 0.2 | 0.5 | |
| moderate | 0.2 | 0.5 | 0.3 | |
| high | 0.5 | 0.3 | 0.2 | |
| Node 6: Economic Performance | Information | |||
|---|---|---|---|---|
| mining intensity | low | medium | high | The economic performance of a region in this model is influenced by mining intensity. Respondents were asked to determine the probability of economic performance for low, medium, and high mining intensity. If low mining intensity causes low economic performance, then the low percentage will be greater than the other two scenarios, so that the value reaches 100% |
| low | 0.5 | 0.3 | 0.2 | |
| Medium | 0.3 | 0.5 | 0.2 | |
| High | 0.2 | 0.2 | 0.6 | |
| Node 7: Regional Security | |||||||||
|---|---|---|---|---|---|---|---|---|---|
| social impact | low | medium | high | ||||||
| RGPI | low | moderate | high | low | medium | high | low | moderate | high |
| low | 0.4 | 0.25 | 0.2 | 0.3 | 0.2 | 0.1 | 0.5 | 0.4 | 0.3 |
| medium | 0.3 | 0.4 | 0.3 | 0.4 | 0.5 | 0.3 | 0.3 | 0.3 | 0.3 |
| high | 0.3 | 0.35 | 0.5 | 0.3 | 0.3 | 0.6 | 0.2 | 0.3 | 0.4 |
| Parent | Child | Average | Maximum |
|---|---|---|---|
| Corruption level | Regional Competitiveness | 0.181561 | 0.400 |
| Econ_Performance | Regional Competitiveness | 0.157856 | 0.346 |
| Mining Intensity | Econ_Performance | 0.364716 | 0.458 |
| Mining Intensity | Social Impact | 0.378630 | 0.500 |
| Mining Permit | Mining Intensity | 0.556776 | 0.556 |
| Regional Security | Regional Competitiveness | 0.196393 | 0.436 |
| RGPI | Corruption level | 0.479348 | 0.656 |
| RGPI | Regional Security | 0.295036 | 0.500 |
| Social Impact | Regional Security | 0.102099 | 0.200 |
| Variable | Prior Probability (%) | Scenarios (Set as Evidence with Posterior Probability = 100% | ||
|---|---|---|---|---|
| Mining Permit (MP) | RGPI | Mixed of Two (MP and RGPI) | ||
| Mining Intensity (high) | 52 | 70% | 52% | 70% |
| Economic performance (high) | 36 | 45% | 36% | 45% |
| Corruption level (Low) | 38 | 38% | 70% | 70% |
| Regional Security (High) | 36 | 30% | 58% | 58% |
| Regional Competitiveness (high) | 38 | 39% | 49% | 50% |
Disclaimer/Publisher’s Note: The statements, opinions and data contained in all publications are solely those of the individual author(s) and contributor(s) and not of MDPI and/or the editor(s). MDPI and/or the editor(s) disclaim responsibility for any injury to people or property resulting from any ideas, methods, instructions or products referred to in the content. |
© 2026 by the authors. Licensee MDPI, Basel, Switzerland. This article is an open access article distributed under the terms and conditions of the Creative Commons Attribution (CC BY) license.
Share and Cite
Suhendarwan, B.; Fauzi, A. Bayesian Network Analysis of Policing Governance: Implications for Mining and Regional Sustainability. Sustainability 2026, 18, 1217. https://doi.org/10.3390/su18031217
Suhendarwan B, Fauzi A. Bayesian Network Analysis of Policing Governance: Implications for Mining and Regional Sustainability. Sustainability. 2026; 18(3):1217. https://doi.org/10.3390/su18031217
Chicago/Turabian StyleSuhendarwan, Bhakti, and Akhmad Fauzi. 2026. "Bayesian Network Analysis of Policing Governance: Implications for Mining and Regional Sustainability" Sustainability 18, no. 3: 1217. https://doi.org/10.3390/su18031217
APA StyleSuhendarwan, B., & Fauzi, A. (2026). Bayesian Network Analysis of Policing Governance: Implications for Mining and Regional Sustainability. Sustainability, 18(3), 1217. https://doi.org/10.3390/su18031217

