Sign in to use this feature.

Years

Between: -

Subjects

remove_circle_outline
remove_circle_outline
remove_circle_outline
remove_circle_outline
remove_circle_outline
remove_circle_outline
remove_circle_outline
remove_circle_outline
remove_circle_outline

Journals

Article Types

Countries / Regions

Search Results (58)

Search Parameters:
Keywords = social contract theory

Order results
Result details
Results per page
Select all
Export citation of selected articles as:
20 pages, 333 KB  
Article
Strategic Alignment of Leadership and Work Climate: Field Experiment on Context-Dependent Supervision Effectiveness
by Zicheng Lyu and Xiaoli Yang
Adm. Sci. 2025, 15(10), 385; https://doi.org/10.3390/admsci15100385 - 30 Sep 2025
Abstract
This study examines how the organizational work climate shapes the effectiveness of supervision on employee performance. While traditional management theory assumes supervision universally enhances productivity, we observe a puzzling paradox: facing identical tasks and wage systems, some firms rely heavily on hierarchical supervision [...] Read more.
This study examines how the organizational work climate shapes the effectiveness of supervision on employee performance. While traditional management theory assumes supervision universally enhances productivity, we observe a puzzling paradox: facing identical tasks and wage systems, some firms rely heavily on hierarchical supervision while others thrive with minimal oversight. Through a four-month field experiment across two Chinese agricultural enterprises (5851 observations), we test whether the supervision’s effectiveness depends on the alignment between leadership practices and organizational climate. In formal management firms (FMFs) characterized by hierarchical governance and arm’s-length employment relationships, directive supervision significantly reduces task completion times by 0.126 standard deviations, equivalent to approximately 4.3 s or 2.8% of the average completion time, with this effect remaining stable throughout the workday. Conversely, in network-embedded firms (NEFs) operating through trust-based relational contracts and social norms, identical supervisory practices yield no performance gains, as informal social control mechanisms already ensure high effort levels, rendering formal supervision redundant. These findings challenge the “best practices” paradigm in strategic HRM, demonstrating that HR success requires a careful alignment between leadership approaches and the organizational climate—an effective HR strategy is not about implementing standardized practices but about achieving a strategic fit between supervisory leadership styles and existing work climates. This climate–leadership partnership is essential for optimizing both employee performance and organizational success. Full article
Show Figures

Figure 1

26 pages, 348 KB  
Article
No “We” Without Symbolic Debt? Founding the First-Person Plural and Inheriting Patrimony
by Christopher M. Wojtulewicz
Religions 2025, 16(9), 1188; https://doi.org/10.3390/rel16091188 - 15 Sep 2025
Viewed by 289
Abstract
Roger Scruton identified three basic forms of communal loyalties that produce the first-person plural “we”: the national, the tribal, and the credal. Scruton argues that it is the national that maximally permits plurality and difference without jeopardising peaceful coexistence; it even makes possible [...] Read more.
Roger Scruton identified three basic forms of communal loyalties that produce the first-person plural “we”: the national, the tribal, and the credal. Scruton argues that it is the national that maximally permits plurality and difference without jeopardising peaceful coexistence; it even makes possible self-sacrifice for the stranger. The generation of such a first-person plural requires a commitment both to non-contractual forms of obligation for its members and non-purposive activities that transcend questions of utility. These can be seen as keeping alive the question of the bonum honestum, which founds the common good. Pope John Paul II discusses the first-person plural in phenomenological-personalistic terms, as an accidental formation patterned according to the substantial I–Thou relationship between persons. The I–Thou points towards the true good, and this is what allows nations to arise. But various forms of masquerading are here possible, whether it be credal loyalty pretending to be national, or dutiful and moral customs devoid of the bonum honestum as a stabilisation. Both threaten true freedom. John Paul II shows that it is the task of the “we” community to inherit the national patrimony. It is Massimo Recalcati that shows us that, for all its beneficial wealth, this inheriting involves an inevitable mourning and incurring of “symbolic debt”. Only a correct relation to this debt will allow the first-person plural properly to arise and inherit the national patrimony. Full article
(This article belongs to the Special Issue Catholic Theologies of Culture)
14 pages, 550 KB  
Article
Systemic Governance of Rural Revitalization: Social Capital Transfer Through State-Owned Enterprise Interventions in China
by Xinhui Wu, Minsheng Li and Yaofu Huang
Systems 2025, 13(8), 695; https://doi.org/10.3390/systems13080695 - 14 Aug 2025
Viewed by 751
Abstract
This study investigates how state-owned enterprises (SOEs) contribute to rural revitalization in China through systemic interventions that enable the transfer of social capital. Addressing the gap between external resource inputs and internal development needs, the study adopts a systems thinking framework to conceptualize [...] Read more.
This study investigates how state-owned enterprises (SOEs) contribute to rural revitalization in China through systemic interventions that enable the transfer of social capital. Addressing the gap between external resource inputs and internal development needs, the study adopts a systems thinking framework to conceptualize social capital as comprising structural, relational, and cognitive components. Drawing on multi-case evidence from assistance projects led by China Southern Power Grid, this study selects 11 assistance projects from a broader pool of 199 cases, to demonstrate how SOEs act as institutional nodes to reshape rural governance systems. They rebuild local organizational networks (structural capital), establish long-term trust through “strong commitment–weak contract” mechanisms (relational capital), and localize technical knowledge to align with rural contexts (cognitive capital). These interlinked processes form an integrated system that enhances rural governance capacity and promotes sustainable development. The findings highlight that SOEs are not merely resource providers but systemic catalysts that support cross-scalar collaboration and social infrastructure building. The study contributes a novel perspective by integrating social capital theory with a systemic governance lens and offer a actionable insights into the institutional design of assistance models for the future interventions by SOEs and similar entities in underdeveloped areas. Full article
Show Figures

Figure 1

15 pages, 393 KB  
Article
Influence of Information Sources and Group Norms on University Students’ Online Rumor Refuting Behavior During Public Health Emergencies
by Hongmei Xia, Zitong Xing and Yu Liu
Behav. Sci. 2025, 15(5), 635; https://doi.org/10.3390/bs15050635 - 7 May 2025
Viewed by 683
Abstract
In the digital era, social media proliferation accelerates rumor dissemination. During public health emergencies, such misinformation intensifies social harm. Studying the influencing factors of online rumor refutation behavior thus becomes crucial. This study uses the stimulus–organism–response (SOR) theory as an analysis framework, based [...] Read more.
In the digital era, social media proliferation accelerates rumor dissemination. During public health emergencies, such misinformation intensifies social harm. Studying the influencing factors of online rumor refutation behavior thus becomes crucial. This study uses the stimulus–organism–response (SOR) theory as an analysis framework, based on the perspective of information sources and integrating group norms as a moderating factor, to explore the psychological processes affecting Chinese university students’ online rumor refuting in public health emergencies. Against the backdrop of the COVID-19 pandemic, a questionnaire survey was conducted on 1017 respondents, and the collected data were analyzed using the structural equation modeling research method. The results indicate that both online and offline information seeking positively influence university students’ fear of contracting the COVID-19 virus. University students’ fear positively influences their engagement in online rumor refuting. Notably, fear mediates the link between online and offline information seeking and online rumor refuting. Additionally, group norms help strengthen the connection between university students’ fear and their involvement in online refuting rumors. These results provide theoretical explanations and practical guidance for university students to refute rumors online. Full article
(This article belongs to the Section Social Psychology)
Show Figures

Figure 1

20 pages, 2779 KB  
Article
Effects of Policy Communication Changes on Social Media: Before and After Policy Adjustment
by Zenglei Yue and Guang Yu
Systems 2025, 13(4), 248; https://doi.org/10.3390/systems13040248 - 2 Apr 2025
Viewed by 1238
Abstract
The structure of a policy communication network shows the effect of policy communication on social media. Policies need to be dynamically adjusted during the implementation process, which may affect the policy’s interaction on social media. Based on the Policy Network Theory, this study [...] Read more.
The structure of a policy communication network shows the effect of policy communication on social media. Policies need to be dynamically adjusted during the implementation process, which may affect the policy’s interaction on social media. Based on the Policy Network Theory, this study explores the effects of policy communication changes on social media before and after the adjustment of China’s Mass Entrepreneurship and Innovation (MEI) Policy using Exponential Random Graph Models (ERGMs) analysis and community analysis. The study reveals that after the policy adjustment, the communication network structure indicated a significant increase in triangular configurations, yet the formation of edges remained constrained. Meanwhile, cross-community connections in the communication network decreased, with communities exhibiting localized contraction, and emotional polarization becoming more pronounced. These phenomena occurred because policy adjustments have boosted interaction levels through new incentive mechanisms, whereas the content and delivery methods of policy communication remain insufficiently engaging, which constrains relationship-building. Additionally, the policy’s evolution from a mobilization–participation model to a vertical governance paradigm has systematically reconfigured inter-community interaction patterns, resulting in structural transformations in cross-group information flows. To enhance the dissemination of policies on social media, it is recommended to intervene in the policy communication network structure through role embedding, shift from a reactive public sentiment management paradigm to proactive emotional governance, and strengthen policy communication strategies that emphasize emotional resonance. These measures can improve the effectiveness of policy communication and help address the challenges posed by emotional polarization and network fragmentation. Full article
(This article belongs to the Section Systems Practice in Social Science)
Show Figures

Figure 1

19 pages, 424 KB  
Article
From Virtue to Duty: Xunzi’s Gong-Yi 公義 and the Institutionalization of Public Obligation in Early Confucianism
by Yijia Huang
Religions 2025, 16(3), 268; https://doi.org/10.3390/rel16030268 - 21 Feb 2025
Viewed by 1325
Abstract
This paper challenges the conventional view that pre-Qin Confucianism represents kingly virtue politics that lacks institutional duty. By interpreting Xunzi’s notion of yi 義, particularly gong-yi 公義, as a form of public obligation, I show that Xunzi exposes yi to state institutions to [...] Read more.
This paper challenges the conventional view that pre-Qin Confucianism represents kingly virtue politics that lacks institutional duty. By interpreting Xunzi’s notion of yi 義, particularly gong-yi 公義, as a form of public obligation, I show that Xunzi exposes yi to state institutions to oblige people to serve public ends. While institutional duty is often associated with post-Enlightenment political philosophy, this paper argues that Xunzi’s philosophy offers a comparable framework of public–private exchange. Xunzi’s gong-yi may be a public-servicing sense of duty that combines moral and civic dimensions, compelling individuals to cooperate for the collective good. Unlike social contract theories that trade private rights with public duties, Xunzi’s system relies on moral compulsion and normative reciprocity. This system posits a sensible exchange between individual duties from inner compulsion for the public good. By contrasting gong 公 (the public) with si 私 (the private), Xunzi envisions the public as an entity that is serviced through public duties and a place for human flourishing. Positioning the role of gong-yi in Xunzi’s broader institutional project crystalizes this nascent concept of a “public” and its relationships with civic duties. Full article
(This article belongs to the Special Issue Ethical Concerns in Early Confucianism)
36 pages, 817 KB  
Article
Empowering Government Efficiency Through Civic Intelligence: Merging Artificial Intelligence and Blockchain for Smart Citizen Proposals
by Andrey Nechesov and Janne Ruponen
Technologies 2024, 12(12), 271; https://doi.org/10.3390/technologies12120271 - 23 Dec 2024
Cited by 6 | Viewed by 4656
Abstract
Civic intelligence (CI) represents the collective capacity of communities to address challenges, yet its integration with smart city infrastructure remains limited. This study bridges CI theory with technical implementation through a novel framework combining blockchain and AI technologies. Our approach maps core CI [...] Read more.
Civic intelligence (CI) represents the collective capacity of communities to address challenges, yet its integration with smart city infrastructure remains limited. This study bridges CI theory with technical implementation through a novel framework combining blockchain and AI technologies. Our approach maps core CI components (knowledge capital, system capital, and relational capital) to specific technical solutions: a civic engagement index for measuring participation quality, a tokenization framework for incentivizing meaningful engagement, and a governance optimization function for resource allocation. Using mixed-methods research, we developed and validated the conceptual CI governance (CIG) framework, which satisfies CI principles through smart contracts and AI-assisted interfaces. The empirical evaluation demonstrates both social and technical improvements: 40% increased civic participation rates, 85% governance efficiency maintenance, and significant gains in engagement quality metrics (knowledge sharing +32%, collective decision making +28%). While technical implementation shows promise, success requires the careful integration of social dynamics, digital literacy initiatives, and regulatory compliance. This research contributes to smart city development by providing a theoretically grounded, feasible framework that introduces the fusion of blockchain and AI technologies to enhance civic participation while preserving governance effectiveness. Full article
(This article belongs to the Section Information and Communication Technologies)
Show Figures

Figure 1

21 pages, 908 KB  
Article
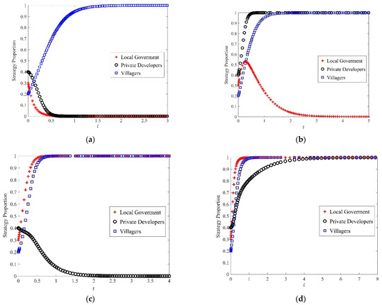
Tripartite Evolutionary Game and Policy Simulation: Strategic Governance in the Redevelopment of the Urban Village in Guangzhou
by Dinghuan Yuan, Jiaxin Li, Qiuxiang Li and Yang Fu
Land 2024, 13(11), 1867; https://doi.org/10.3390/land13111867 - 8 Nov 2024
Cited by 5 | Viewed by 1251
Abstract
The scarcity of land drives urban village redevelopment projects, which involve interest redistribution among stakeholders with distinct demands. This paper utilizes evolutionary game theory and simulation methods, constructing a tripartite game model under the institutional arrangement of bottom-up with private developer funding. This [...] Read more.
The scarcity of land drives urban village redevelopment projects, which involve interest redistribution among stakeholders with distinct demands. This paper utilizes evolutionary game theory and simulation methods, constructing a tripartite game model under the institutional arrangement of bottom-up with private developer funding. This study identifies the stable strategies and evolutionary trends of the tripartite interactions under four distinct scenarios and validates these strategies through simulations. The redevelopment of XC village validates the assumptions of the model and theoretical analysis, suggesting that when private developers adopt forced demolition strategies, although villagers ultimately choose to sign the contract of property exchange, it can easily lead to social conflicts. These research findings can enlighten the government to form a tripartite alliance to smooth urban village redevelopment. Full article
(This article belongs to the Section Urban Contexts and Urban-Rural Interactions)
Show Figures

Figure 1

25 pages, 2717 KB  
Article
Mechanistic Analysis of the Evolution of Trust Level Between Owner and PMC Contractor Based on Dynamic Bayesian Network
by Hongyan Li, Abdul Bari and Aobo Yue
Buildings 2024, 14(11), 3373; https://doi.org/10.3390/buildings14113373 - 24 Oct 2024
Cited by 3 | Viewed by 12221
Abstract
The Project Management Contracting (PMC) project espouses a non-confrontational cooperation model. This paper employs a dynamic Bayesian network approach, grounded in social exchange theory, to construct a dynamic model of the evolution of trust levels between owners and PMC contractors. The findings of [...] Read more.
The Project Management Contracting (PMC) project espouses a non-confrontational cooperation model. This paper employs a dynamic Bayesian network approach, grounded in social exchange theory, to construct a dynamic model of the evolution of trust levels between owners and PMC contractors. The findings of the study suggest that the trust level between the owner and the PMC contractor is primarily influenced by the extent of calculative and relational trust. Furthermore, the reciprocal behaviours and contractual flexibility emerge as the key drivers of both calculative and relational trust. Furthermore, reciprocal behaviours exert a more pronounced influence on the advancement of relational trust, whereas contract flexibility exerts a more pronounced influence on the advancement of calculative trust. Additionally, the level of calculative trust is higher at the outset of project implementation, with the generation of calculative trust subsequently leading to the generation of relational trust in the middle and later stages. In the middle and later stages of the project, the importance of relational trust increases, reaching a point where it surpasses that of calculative trust. Furthermore, the decline of relational trust has a greater negative impact on the overall trust level than calculative trust. The results of the research can provide theoretical guidance for the construction body to solve the problem of a low level of trust in the process of PMC project implementation. Full article
(This article belongs to the Special Issue Safety and Health in the Building Lifecycle)
Show Figures

Figure 1

23 pages, 612 KB  
Article
A Green Supply Chain with Sales Effort under a Cost-Sharing Contract
by Jiayu Shen
Mathematics 2024, 12(10), 1435; https://doi.org/10.3390/math12101435 - 7 May 2024
Cited by 4 | Viewed by 1701
Abstract
Due to social and psychological factors, the COVID-19 pandemic has impacted international trade, dampened consumption globally, and resulted in conservative investment and spending. To stimulate economic recovery while promoting the establishment of a positive consumption awareness among people, enterprises endeavor to enhance competitiveness [...] Read more.
Due to social and psychological factors, the COVID-19 pandemic has impacted international trade, dampened consumption globally, and resulted in conservative investment and spending. To stimulate economic recovery while promoting the establishment of a positive consumption awareness among people, enterprises endeavor to enhance competitiveness and expand market share through various means, such as advertising and discounting. With more attention paid to environmentally friendly products, there are greater challenges encountered by green supply chain management. In this study, a green supply chain network problem is analyzed, involving a manufacturer and a retailer. In addition to the construction of centralized and decentralized decision models, two cost-sharing contracts are adopted to reduce promotion costs for the retailer and improve the level of greenery in products. With the help of game theory, equilibrium decisions can be made by solving the models. According to the results of numerical experiment, cost-sharing contracts can effectively improve the level of greenery in products and the profitability of the supply chain, despite the inability to achieve a win–win situation. Full article
Show Figures

Figure 1

13 pages, 256 KB  
Article
Informed Ignorance as a Form of Epistemic Injustice
by Noa Cohen and Mirko Daniel Garasic
Philosophies 2024, 9(3), 59; https://doi.org/10.3390/philosophies9030059 - 29 Apr 2024
Cited by 5 | Viewed by 3565
Abstract
Ignorance, or the lack of knowledge, appears to be steadily spreading, despite the increasing availability of information. The notion of informed ignorance herein proposed to describe the widespread position of being exposed to an abundance of information yet lacking relevant knowledge, which is [...] Read more.
Ignorance, or the lack of knowledge, appears to be steadily spreading, despite the increasing availability of information. The notion of informed ignorance herein proposed to describe the widespread position of being exposed to an abundance of information yet lacking relevant knowledge, which is tied to the exponential growth in misinformation driven by technological developments and social media. Linked to many of societies’ most looming catastrophes, from political polarization to the climate crisis, practices related to knowledge and information are deemed some of the most imminent and daunting modern threats, evidenced by the latest report of the World Economic Forum, which has named misinformation the most severe short-term global risk. This paper’s epistemic perspective links the properties of today’s information culture and the ways in which it interacts with individual capacities and limitations in current technological and socio-political contexts. Such a position is analyzed through the lens of epistemic principles as a contemporary epistemic phenotype that emerges from an environment of ill-adapted and excessive information inputs and leads to a distinctive type of social injustice that is primarily epistemic in nature. While equity and accessibility are widely discussed as important contributing factors to epistemic discrepancies, other overlooked but fundamental issues underlying epistemic injustices are considered, such as information manipulation, cognitive limitations, and epistemic degradation. To effectively face this elusive threat, we propose an inclusive viewpoint that harnesses knowledge from cognitive science, science and technology studies, and social epistemology to inform a unifying theory of its main impacts and driving forces. By adjusting a modern epistemic framework to the described phenomena, we intend to contextually outline its trajectory and possible means of containment based on a shared responsibility to maintain ethical epistemic standards. In a time of international unrest and mounting civil acts of violence, it is pertinent to emphasize the ethical principles of knowledge systems and authorities and suggest policy adaptations to maintain a social contract based on the shared values of truth and freedom. Full article
23 pages, 3103 KB  
Article
Value Perception Analysis in the Brazilian Company of Research and Industrial Innovation
by Isabela Evora Moreira, Diego de Castro Fettermann and Viviane Vasconcellos Ferreira Grubisic
Knowledge 2024, 4(2), 171-193; https://doi.org/10.3390/knowledge4020009 - 4 Apr 2024
Viewed by 2150
Abstract
This study aims to analyze the perceived value of services provided by the Brazilian Company of Research and Industrial Innovation (EMBRAPII) to its contracting ministries and institutional partners. It utilizes the theory of value perception analysis and Constructivist Multi-criteria Decision Analysis to identify [...] Read more.
This study aims to analyze the perceived value of services provided by the Brazilian Company of Research and Industrial Innovation (EMBRAPII) to its contracting ministries and institutional partners. It utilizes the theory of value perception analysis and Constructivist Multi-criteria Decision Analysis to identify critical elements for evaluating EMBRAPII’s contracting organizations. Brainstorming sessions with experts led to the identification of five criteria and 14 sub-criteria. These criteria include a relationship with EMBRAPII, a signed agreement, EMBRAPII’s reputation, technical capacity, and the ability to adapt to changes. Data were entered into the second version of the MyMCDA-C software for value perception analysis. The findings showed a positive perceived value, with the best-performing sub-criteria relating to the organization’s reputation and the agreement signed. The study concludes that EMBRAPII needs to improve in areas such as adapting to change, the adequacy of its proposals for distinct types of partnership, and social media positioning. However, the contracting organizations generally support EMBRAPII’s direction and proposed solutions. Full article
(This article belongs to the Special Issue Decision-Making: Processes and Perspectives)
Show Figures

Figure 1

14 pages, 830 KB  
Article
Between Covenant and Contract: Jewish Political Thought and Contemporary Political Theory
by Sarah B. Greenberg
Religions 2023, 14(11), 1352; https://doi.org/10.3390/rel14111352 - 25 Oct 2023
Viewed by 2858
Abstract
Social contract theory has long been at the center of political theory, and one of the inheritors of the social contract tradition, liberalism, reverberates through contemporary political life. And yet, an overlooked element of liberalism are the biblical origins of social contract theory. [...] Read more.
Social contract theory has long been at the center of political theory, and one of the inheritors of the social contract tradition, liberalism, reverberates through contemporary political life. And yet, an overlooked element of liberalism are the biblical origins of social contract theory. Specifically, how the early modern political theorists were reading Hebrew Bible, and the kinds of interpretive transformations of Hebrew Bible that take place on the pages of works like Thomas Hobbes’ Leviathan, John Locke’s Second Treatise, and more. Covenant is the centerpiece of this entanglement. When drawn from Hebrew Bible and read in the context of Jewish political thought, covenant has a very different meaning to that which social contract theories attribute it. This Jewish understanding of covenant concretizes a practice of politics that is constitutively dissenting and agonistic, in contrast to the command–obedience model typical of social contract theory. Furthermore, covenant loses its unique conceptual framework—thus its contribution to political thought—when it is secularized into a social contract. This Jewish conception of covenant offers a new way to understand politics and democratic practice through “covenantal authority” and its constitutively dissenting, agonistic, and circulating qualities. “Covenantal authority” captures the constitutive undecidability of who has authority over the text. Full article
(This article belongs to the Special Issue Religion and Contemporary Political Theory and Practice)
14 pages, 1088 KB  
Article
Antecedents and Consequences of Labor Relations Climate Perception: An Investigation of a Moderated Mediation Model
by Lu Wu, Lihua Wei, Lei Zhao and Yimo Shen
Sustainability 2023, 15(20), 14665; https://doi.org/10.3390/su152014665 - 10 Oct 2023
Viewed by 1623
Abstract
Previous researchers have yet to examine the antecedents and consequences of labor relations climate perception. Drawing from social information processing theory, we utilize psychological contract breach (PCB) as a negative environment input that diminishes employees’ perceived harmonious labor relations climate, which in turn [...] Read more.
Previous researchers have yet to examine the antecedents and consequences of labor relations climate perception. Drawing from social information processing theory, we utilize psychological contract breach (PCB) as a negative environment input that diminishes employees’ perceived harmonious labor relations climate, which in turn affects employee outcomes (task performance, organization identification, and turnover intention); meanwhile, this indirect relationship is moderated by benevolent leadership. The results of the analysis of 284 questionnaires obtained from a multi-time, multi-source field survey supported our proposed moderated mediation model. This research contributes to revealing the critical role of psychological contracts in developing a labor relations climate and expands knowledge and understanding of the labor relations climate. Full article
Show Figures

Figure 1

21 pages, 1239 KB  
Article
The Impact of Social Capital on Socially Responsible Supply Chain Performance: The Moderating Role of Supply Chain Transparency
by Hua Liu, Guangyao He, Ruili Ma and Shaoling Fu
Foods 2023, 12(19), 3624; https://doi.org/10.3390/foods12193624 - 29 Sep 2023
Cited by 2 | Viewed by 2835
Abstract
The outbreak of COVID-19 has brought global poverty to the forefront, and existing research suggests that socially responsible supply chains play an important role in poverty alleviation. However, there is limited research on how to improve the performance of socially responsible supply chains. [...] Read more.
The outbreak of COVID-19 has brought global poverty to the forefront, and existing research suggests that socially responsible supply chains play an important role in poverty alleviation. However, there is limited research on how to improve the performance of socially responsible supply chains. This study innovatively chooses a dual perspective, i.e., companies and farmers in contract farming, the dominant model of socially responsible supply chains in Chinese agriculture, as the research object. Furthermore, it examines the role of social capital on the performance of socially responsible supply chains, as well as the moderating role of supply chain transparency, in order to find out how to improve the stakeholder performance. The empirical results found that the factors affecting socially responsible supply chain performance differed between the dual perspectives. From the firm’s perspective, all three dimensions of social capital (shared values, communication and reciprocity) have a significant positive effect on socially responsible supply chain performance (income increase), while supply chain transparency only positively moderates between communication and income increase. From the farmers’ perspective, only reciprocity and shared values had a significant positive effect on income increase; interestingly, supply chain transparency negatively moderated the relationship between reciprocity and income increase. This study expands the role of social capital theory, and the dual perspective examination provides insights for performance improvement of companies and farmers in socially responsible supply chains, as well as guidance for promoting sustainable social development. Full article
Show Figures

Figure 1

Back to TopTop