Sign in to use this feature.

Years

Between: -

Subjects

remove_circle_outline
remove_circle_outline
remove_circle_outline
remove_circle_outline
remove_circle_outline
remove_circle_outline
remove_circle_outline
remove_circle_outline
remove_circle_outline

Journals

remove_circle_outline
remove_circle_outline
remove_circle_outline
remove_circle_outline
remove_circle_outline
remove_circle_outline
remove_circle_outline
remove_circle_outline
remove_circle_outline
remove_circle_outline
remove_circle_outline

Article Types

Countries / Regions

remove_circle_outline
remove_circle_outline
remove_circle_outline
remove_circle_outline
remove_circle_outline

Search Results (1,922)

Search Parameters:
Keywords = slope efficiency

Order results
Result details
Results per page
Select all
Export citation of selected articles as:
13 pages, 1408 KB  
Article
Bimetallic M–Pt (M = Co, Ni, Cu) Alloy Nanoparticles on Reduced Graphene Oxide for Alkaline Hydrogen Evolution Reaction
by Aldona Balčiūnaitė, Raisa C. P. Oliveira, Biljana Šljukić and Diogo M. F. Santos
Catalysts 2026, 16(3), 236; https://doi.org/10.3390/catal16030236 - 3 Mar 2026
Abstract
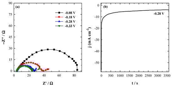
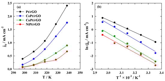
This study investigates reduced graphene oxide (rGO)-supported bimetallic M–Pt (M = Co, Ni, Cu) alloy nanoparticles as electrocatalysts for the hydrogen evolution reaction (HER) in alkaline media. Monometallic Pt and bimetallic M–Pt nanoparticles were synthesized and uniformly dispersed on rGO, followed by structural [...] Read more.
This study investigates reduced graphene oxide (rGO)-supported bimetallic M–Pt (M = Co, Ni, Cu) alloy nanoparticles as electrocatalysts for the hydrogen evolution reaction (HER) in alkaline media. Monometallic Pt and bimetallic M–Pt nanoparticles were synthesized and uniformly dispersed on rGO, followed by structural and compositional characterization using transmission electron microscopy and inductively coupled plasma mass spectrometry. Their electrocatalytic performance toward HER was systematically evaluated at different temperatures. All electrocatalysts exhibited enhanced activity at higher temperatures, with current densities increasing by approximately 1.68–2.65 times at 338 K compared with 298 K. Among the investigated materials, CoPt/rGO delivered the highest cathodic current densities and a Tafel slope of 75 mV dec−1, indicating favorable reaction kinetics. This performance is associated with a higher electroactive surface area, as determined by cyclic voltammetry, and reduced charge-transfer resistance, as revealed by electrochemical impedance spectroscopy. Notably, the CoPt/rGO electrocatalyst demonstrated excellent short-term operational stability at a constant potential of −0.28 V vs. RHE. These results highlight the potential of rGO-supported CoPt bimetallic alloys as efficient electrocatalysts for alkaline water electrolysis. Full article
Show Figures

Graphical abstract

20 pages, 6982 KB  
Article
Phase Engineering of Molybdenum Carbide via Vanadium Doping for Boosted Hydrogen Evolution Reaction in Water Electrolysis
by Songjie Li, Yuxin Li, Renzhe Jin, Jiajiao Wei, Peng Zhu, Jianmeng Wu, Xiaomei Yu and Jinyou Zheng
Catalysts 2026, 16(3), 234; https://doi.org/10.3390/catal16030234 - 3 Mar 2026
Abstract
Efficient and low-cost electrocatalysts play a crucial role in hydrogen production through the electrolysis of water. Molybdenum (Mo) carbide with a similar electronic structure to Pt was selected, and both α-MoC1−x and α-MoC1−x/β-Mo2C electrocatalysts were successfully fabricated for [...] Read more.
Efficient and low-cost electrocatalysts play a crucial role in hydrogen production through the electrolysis of water. Molybdenum (Mo) carbide with a similar electronic structure to Pt was selected, and both α-MoC1−x and α-MoC1−x/β-Mo2C electrocatalysts were successfully fabricated for electrochemical hydrogen evolution. A continuous optimization of the hydrothermal and carbonization conditions was carried out for the preparation of α-MoC1−x. The biphasic molybdenum carbide catalysts were further achieved via vanadium doping with a phase transition of molybdenum carbide from α to β, which increased the specific surface area of the electrocatalyst. It was found that the V-MoxC catalyst obtained at a Mo/V molar addition ratio of 100:5 exhibited the best hydrogen production performance, with a β to α phase ratio of 0.827. The overpotential of V-MoxC at η10 decreased to 99 mV, and the Tafel slope reached 65.1 mV dec−1, indicating a significant improvement in performance compared to the undoped samples. Excellent stability was obtained for the as-prepared electrocatalyst for water splitting over 100 h at a current density of 10 mA cm−2. Full article
Show Figures

Graphical abstract

16 pages, 4385 KB  
Article
Hierarchical Spiked Co0.85Se Microcrystals on Nickel Foam as an Efficient Electrocatalyst for Urea Oxidation Reaction
by John Anthuvan Rajesh, Shrine Maria Nithya Jeghan, Soon-Hyung Kang and Kwang-Soon Ahn
Catalysts 2026, 16(3), 232; https://doi.org/10.3390/catal16030232 - 3 Mar 2026
Abstract
We report the facile synthesis of hierarchical spiked cobalt selenide (Co0.85Se) microcrystals grown on nickel foam (NF) via a hydrothermal method followed by selenization. Derived from cobalt hydroxyl fluoride (Co(OH)F) microcrystals, the resulting Co0.85Se structures exhibit a robust architecture [...] Read more.
We report the facile synthesis of hierarchical spiked cobalt selenide (Co0.85Se) microcrystals grown on nickel foam (NF) via a hydrothermal method followed by selenization. Derived from cobalt hydroxyl fluoride (Co(OH)F) microcrystals, the resulting Co0.85Se structures exhibit a robust architecture with well-defined spikes that offer abundant active sites and promote efficient charge transfer, thereby enhancing their electrocatalytic bifunctional activity toward the oxygen evolution reaction (OER) and urea oxidation reaction (UOR). The Co0.85Se/NF electrode delivers low overpotentials of 357 mV for OER and 236 mV for UOR at 100 mA cm−2. Furthermore, it exhibits a small Tafel slope (34.3 mV dec−1) and excellent durability for 24 h at 100 mA cm−2 during UOR. This simple and cost-effective strategy highlights the potential of hierarchical spiked Co0.85Se microcrystals as highly efficient electrocatalysts for urea-assisted OER and related sustainable energy conversion applications. Full article
Show Figures

Figure 1

17 pages, 2985 KB  
Article
Automated BRDF Measurement for Aerospace Materials and 1D-CNN-Based Estimation of Mixed-Material Composition
by Depu Yao, Yulai Sun, Limin He, Heng Wu, Guanyu Lin, Jianing Wang and Zihui Zhang
Sensors 2026, 26(5), 1560; https://doi.org/10.3390/s26051560 - 2 Mar 2026
Abstract
With the growing global emphasis on space resources, the significance of space detection and surveillance technologies has escalated. Currently, space-based optical surveillance stands as the primary means for acquiring information on space objects. However, constrained by the diffraction limits of space telescopes, distant [...] Read more.
With the growing global emphasis on space resources, the significance of space detection and surveillance technologies has escalated. Currently, space-based optical surveillance stands as the primary means for acquiring information on space objects. However, constrained by the diffraction limits of space telescopes, distant space objects are typically imaged as point sources. The resulting lack of sufficient spatial resolution renders traditional image-based recognition algorithms ineffective. In contrast, the Bidirectional Reflectance Distribution Function (BRDF) fully characterizes surface light scattering properties through four-dimensional features, significantly outperforming traditional two-dimensional spectral techniques in material identification. Consequently, leveraging BRDF signatures at varying phase angles has emerged as an effective approach for Space Object Identification. In this study, we developed an automated BRDF measurement system to characterize various typical aerospace materials and investigated the BRDF properties of mixed-material surfaces. A material composition ratio prediction model was constructed based on a One-Dimensional Convolutional Neural Network (1D-CNN). This model effectively extracts key features, including local slope variations and global waveform characteristics, from the BRDF curves. Experimental results demonstrate that the model achieves a maximum relative percentage error of 6.21%, implying a prediction accuracy for mixed-material composition ratios consistently exceeding 93.79%. Compared to image classification methods based on remote sensing imagery, the proposed approach offers higher computational efficiency, significantly reduced model complexity and computational cost, and enhanced robustness. This work provides essential data support for material identification by space-based telescopes and establishes an algorithmic and experimental foundation for intelligent space situational awareness systems. Full article
(This article belongs to the Section Optical Sensors)
Show Figures

Figure 1

28 pages, 12051 KB  
Article
Four-Decade Evolution of Ecological Quality in the Ji River Basin (1986–2024): A Remote Sensing Ecological Index (RSEI) Perspective
by Ling Nan, Qiaorui Ba, Chengyong Wu and Qiang Liu
Sustainability 2026, 18(5), 2396; https://doi.org/10.3390/su18052396 - 2 Mar 2026
Abstract
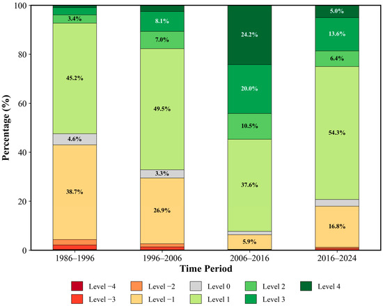
Long-term ecological monitoring is essential for sustainable management in fragile regions. This study assessed four decades (1986–2024) of ecological evolution in the Ji River Basin—a 1276.64 km2 transitional loess–gully ecosystem in China’s Yellow River Basin—using the Remote Sensing Ecological Index (RSEI). We [...] Read more.
Long-term ecological monitoring is essential for sustainable management in fragile regions. This study assessed four decades (1986–2024) of ecological evolution in the Ji River Basin—a 1276.64 km2 transitional loess–gully ecosystem in China’s Yellow River Basin—using the Remote Sensing Ecological Index (RSEI). We integrated multi-temporal Landsat images via Google Earth Engine to construct a 40-year RSEI time series. The index couples greenness (NDVI), wetness (WET), heat (LST), and dryness (NDBSI) through principal component analysis, with PC1 explaining > 82% of the variance. Three evolutionary phases were identified: initial degradation (1986–1996), driven by slope cropland expansion; stabilization (1996–2006), coinciding with early ‘Grain for Green’ policies; and sustained recovery (2006–2024), characterized by the expansion of high-quality zones. We developed a novel resilience zoning framework integrating local spatial consistency, terrain constraints, and functional state (mean RSEI 2016–2024), which delineated three zones: high-resilience refugia (19.37%), moderate-resilience matrix (75.54%), and low-resilience corridors (5.09%). Mid-slope positions (TPI: 1.220–1.510) within moderate-resilience zones demonstrated optimal restoration efficiency, challenging conventional uniform approaches. The findings advocate spatially differentiated strategies—investing in transitional zones, retrofitting degraded corridors, and monitoring stable refugia—to advance the implementation of Sustainable Development Goal 15 in semi-arid regions globally. Full article
(This article belongs to the Section Environmental Sustainability and Applications)
Show Figures

Figure 1

23 pages, 2984 KB  
Article
Mechanism and Design Optimization of Geosynthetic-Reinforced Subgrades for Highway Widening Based on an Improved Soil-Reinforcement Interface Model
by Mengqi Zhou, Chenchen Li, Yachan Mo, Jiachen Shi, Hui Weng and Hao Yang
Processes 2026, 14(5), 799; https://doi.org/10.3390/pr14050799 - 28 Feb 2026
Viewed by 104
Abstract
Geogrid reinforcement is an effective subgrade treatment technique that plays a critical role in improving structural stability and controlling deformation in highway widening projects. In this study, the reinforcement mechanisms and performance of geosynthetic-reinforced embankments with varying heights were systematically investigated using finite [...] Read more.
Geogrid reinforcement is an effective subgrade treatment technique that plays a critical role in improving structural stability and controlling deformation in highway widening projects. In this study, the reinforcement mechanisms and performance of geosynthetic-reinforced embankments with varying heights were systematically investigated using finite element simulations conducted in ABAQUS. An improved nonlinear soil-reinforcement interface model was incorporated and implemented through a user-defined FRIC subroutine, allowing for a more accurate representation of nonlinear shear behavior at the soil-geosynthetic interface and providing deeper insight into the reinforcement mechanism within the subgrade structure. The results indicate that bottom-layer reinforcement offers the most significant improvement in overall stability and deformation control. Although multi-layer reinforcement configurations (top-middle-bottom or middle-bottom) further enhance performance, their additional benefits are limited for low embankments. Tensile strain within the reinforcement decreases with increasing distance from the existing slope, with the bottom geosynthetic layer exhibiting the most uniform strain distribution and playing a dominant role in settlement control. Considering both structural performance and reinforcement efficiency, a “sparse-top and dense-bottom” reinforcement configuration is recommended. Specifically, single bottom-layer reinforcement is suitable for embankments ≤ 3 m in height, double-layer reinforcement (bottom-middle) is optimal for embankments 3–7 m high, and triple-layer reinforcement (top-middle-bottom) is recommended for embankments exceeding 7 m, in combination with ground improvement, compaction control, and slope protection measures to ensure overall stability. The reinforcement optimization strategy proposed in this study provides a scientific basis and practical guidance for the structural design and performance enhancement of highway widening projects. Full article
(This article belongs to the Section Materials Processes)
Show Figures

Figure 1

30 pages, 4827 KB  
Article
The Influence of Road Gradient Resistance on the Driving Range of Electric Vehicles
by Dan Alexandru Micu, Marius Valentin Bățăuș, Cristian Alexandru Rențea, Alexandru Adrian Ancuța and Robert Mancaș
Vehicles 2026, 8(3), 44; https://doi.org/10.3390/vehicles8030044 - 28 Feb 2026
Viewed by 120
Abstract
This study examines how longitudinal road gradients affect the energy consumption and driving range of a Tesla electric vehicle using dynamometer measurements and Simulink simulations. Tests performed on slopes from 0% to 4% show a strong inverse relationship between gradient and range, with [...] Read more.
This study examines how longitudinal road gradients affect the energy consumption and driving range of a Tesla electric vehicle using dynamometer measurements and Simulink simulations. Tests performed on slopes from 0% to 4% show a strong inverse relationship between gradient and range, with more than a 62% reduction at a 4% incline. The Simulink model accurately reproduces these trends despite the tested vehicle’s age and battery degradation. Shifting from driving range to energy consumption metrics provides a more robust assessment of vehicle efficiency, revealing that uphill segments substantially increase consumption, while downhill segments enable significant recuperation. When averaged, these effects nearly cancel out for moderate slopes, especially at higher speeds where aerodynamic drag dominates. Constant-speed simulations confirm that slope has minimal net impact at highway speeds but strongly affects consumption at urban speeds, with increases of up to 17% at a 4% gradient. Overall, the findings highlight road gradients as a key factor in EV energy modelling and emphasize the need to incorporate terrain and driving environment into predictive range estimation and eco-routing strategies. Full article
(This article belongs to the Special Issue Sustainable Traffic and Mobility—2nd Edition)
Show Figures

Figure 1

13 pages, 5218 KB  
Article
Root Tensile Functional Traits of Dominant Herbaceous Species and Their Effects on Soil Shear Strength in the Three Gorges Reservoir Drawdown Zone
by Ruihong Wang and Jialin Liu
Appl. Sci. 2026, 16(5), 2333; https://doi.org/10.3390/app16052333 - 27 Feb 2026
Viewed by 98
Abstract
Root functional traits are critical predictors for vegetation-mediated slope stabilization in reservoir drawdown zones. This study quantified the biomechanical linkage between single-root tensile traits and macro-scale soil shear strength for three dominant herbaceous species (Cynodon dactylon, Digitaria sanguinalis, and Imperata [...] Read more.
Root functional traits are critical predictors for vegetation-mediated slope stabilization in reservoir drawdown zones. This study quantified the biomechanical linkage between single-root tensile traits and macro-scale soil shear strength for three dominant herbaceous species (Cynodon dactylon, Digitaria sanguinalis, and Imperata cylindrica) in the Three Gorges Reservoir. Single-root tests (n=15) revealed a robust diameter-dependent trade-off between tensile load capacity (Fmax) and material efficiency (σt). Direct shear tests on undisturbed root–soil composites demonstrated that root reinforcement significantly enhanced soil stability, primarily by increasing apparent cohesion (c) rather than internal friction. Cynodon dactylon exhibited the highest reinforcement efficacy, increasing cohesion by >50 kPa compared to root-free soil, supported by its superior tensile strength. These findings establish a trait-based mechanistic framework for species selection, suggesting that prioritizing species with high intrinsic tensile efficiency can effectively mitigate shallow erosion under fluctuating hydrological conditions. Full article
(This article belongs to the Section Environmental Sciences)
Show Figures

Figure 1

25 pages, 22458 KB  
Article
A Safe and Efficient Navigation Framework for Ground Vehicles on Uneven Terrain Considering Kinematic Constraints and Terrain Traversability
by Jingyao Gai, Zhiyang Guo, Huimin Su, Wang Qing, Kangye Wei, Zhiqiang Cai and Mingzhang Pan
Sensors 2026, 26(5), 1481; https://doi.org/10.3390/s26051481 - 26 Feb 2026
Viewed by 163
Abstract
Ground vehicles navigating uneven terrain must simultaneously guarantee motion safety and efficiency. Safety requires that the planned waypoints lie in highly traversable terrain, while ensuring vehicle reachability to these waypoints, which must be kinematically feasible. Efficiency demands fewer detours and smoother paths that [...] Read more.
Ground vehicles navigating uneven terrain must simultaneously guarantee motion safety and efficiency. Safety requires that the planned waypoints lie in highly traversable terrain, while ensuring vehicle reachability to these waypoints, which must be kinematically feasible. Efficiency demands fewer detours and smoother paths that avoid excessive vehicle acceleration and steering. However, existing path planning research for uneven terrain fails to comprehensively integrate vehicle kinematic constraints, terrain factors, path smoothness, rollover risk, and total path length. To address this problem, this paper proposes a novel navigation framework. It first integrates terrain slope, flatness, elevation variation, and sparsity to generate a 2D global terrain traversability cost map. Subsequently, a three-phase path planning algorithm integrates A*, guided Rapidly-exploring Random Tree (RRT), and our proposed Kinematic and Terrain-Aware Probabilistic Roadmap (KT-PRM) local re-planning algorithm, which jointly considers multiple factors including ground vehicle kinematic constraints, terrain factors, path smoothness, rollover risk, and path length. This three-phase combination delivers safe, smooth, and short global paths over uneven terrain within a relatively short planning time. Finally, Nonlinear Model Predictive Control (NMPC) is employed for path tracking in the framework. Experiments were conducted in both simulated and real-world uneven terrain environments. The results demonstrated that the three-phase path planning algorithm integrated with our proposed KT-PRM algorithm achieves comprehensive performance in generating safer, smoother, and shorter paths. Our proposed navigation framework achieves safer and more efficient navigation compared with existing navigation frameworks. Full article
(This article belongs to the Section Vehicular Sensing)
Show Figures

Figure 1

29 pages, 2678 KB  
Article
Global Path Planning Methods Based on the Relationship Between Traversability Capability and Terrain Matching
by Zengbin Wu, Hongchao Zhang, Zhen Zhang, Da Jiang, Shuhui Li and Yunlong Sun
Sensors 2026, 26(5), 1472; https://doi.org/10.3390/s26051472 - 26 Feb 2026
Viewed by 114
Abstract
In contrast to structured urban settings, road networks in post-disaster or unstructured wildland environments are often incomplete or compromised. Navigation in these contexts requires navigating complex terrains and mitigating potential hazards that impede unmanned ground vehicles (UGVs). While high-mobility off-road vehicles are specifically [...] Read more.
In contrast to structured urban settings, road networks in post-disaster or unstructured wildland environments are often incomplete or compromised. Navigation in these contexts requires navigating complex terrains and mitigating potential hazards that impede unmanned ground vehicles (UGVs). While high-mobility off-road vehicles are specifically designed to traverse challenging features like ditches and steep slopes, traditional path planning algorithms often fail to exploit these capabilities. These algorithms typically suffer from a binary focus, either relying strictly on road networks or ignoring them altogether, thereby neglecting the synergy between infrastructure and vehicle mobility. This chapter introduces a global path planning method based on traversability analysis and terrain matching to bridge this gap. The methodology incorporates a grid-based traversability evaluation, a road network expansion algorithm for densifying critical segments, and a unified planning strategy. By correlating terrain characteristics with vehicle mobility limits and optimizing the road network density, the proposed framework achieves an integrated on-road and off-road planning solution that maximizes the operational efficiency of high-mobility vehicles in degraded environments. Full article
(This article belongs to the Section Intelligent Sensors)
Show Figures

Figure 1

14 pages, 3704 KB  
Article
Research on Low Numerical Aperture 808 nm Fiber-Coupled Semiconductor Laser
by Fei Lin, Qi Wu, Wei Luo, Yishui Lin, Zhaoxuan Zheng, Mingkun Yuan, Qizhi Zhang, Maodong Hu, Dongxin Xu, Guojun Liu and Yi Qu
Micromachines 2026, 17(3), 285; https://doi.org/10.3390/mi17030285 - 25 Feb 2026
Viewed by 170
Abstract
This article investigates fiber coupling techniques for low numerical aperture 808 nm semiconductor lasers. A coupling optical system combining fast-axis/slow-axis collimators (FAC/SAC) with a focusing lens was designed, achieving efficient coupling through high-precision optical integration packaging. First, a high-power GaAs-based 808 nm semiconductor [...] Read more.
This article investigates fiber coupling techniques for low numerical aperture 808 nm semiconductor lasers. A coupling optical system combining fast-axis/slow-axis collimators (FAC/SAC) with a focusing lens was designed, achieving efficient coupling through high-precision optical integration packaging. First, a high-power GaAs-based 808 nm semiconductor laser chip was designed and fabricated. Its thermal performance and operational stability were enhanced by optimizing packaging materials and structures. The coupling system employs a fast-axis collimating lens, slow-axis collimating lens, and aspheric focusing lens to shape the beam and focus it into a 200 μm/0.12 NA fiber. Experimental results show that the developed coupling module achieves the threshold current of 1.2 A at 298 K, the continuous output power of 9.59 W, with the slope efficiency of 1.1 W/A, a coupling efficiency of 95%, the maximum output numerical aperture of 0.116, the wavelength temperature drift coefficient of approximately 0.2 nm/°C, and the peak brightness of 0.72 MW/cm2·sr. This study validates the feasibility and superiority of the FAC/SAC combined with focusing lens approach for low-NA fiber coupling. It provides theoretical and practical foundations for fiber coupling in high-brightness, high-power laser systems, offering promising applications in solid-state laser pumping, enhancing system integration, and enabling long-distance, high-brightness transmission. Full article
(This article belongs to the Special Issue Optoelectronic Integration Devices and Their Applications)
Show Figures

Figure 1

29 pages, 2818 KB  
Article
Beyond the Footprint: Empirical Land Use and Environmental Patterns of Wind Energy in Mountainous Landscapes
by Andreas Vlamakis, Ioanna Eleftheriou, Sevie Dima, Efi Karra and Panagiotis Papastamatiou
Land 2026, 15(2), 344; https://doi.org/10.3390/land15020344 - 19 Feb 2026
Viewed by 493
Abstract
In a world of over 8.2 billion people, the land footprint of any infrastructure has become a critical factor in sustainable spatial planning. In the case of wind energy deployment, land use primarily involves hardstands, access roads, and interconnection infrastructure. This study focuses [...] Read more.
In a world of over 8.2 billion people, the land footprint of any infrastructure has become a critical factor in sustainable spatial planning. In the case of wind energy deployment, land use primarily involves hardstands, access roads, and interconnection infrastructure. This study focuses on Greece, a country with complex mountainous terrain, where Wind Power Stations are predominantly installed along ridgelines and slopes. Using GIS analysis based on digitization of actual on-site infrastructure, we measured the land coverage of wind energy facilities with a total installed capacity of nearly 2.6 GW. We found an average land-use intensity of 0.33 hectares per megawatt (ha/MW), placing it near the lower end of the range reported in international literature. For the subset of projects with available energy yield data, the value was 1.58 square meters per megawatt-hour (m2/MWh). This approach provides one of the largest, nationally representative, infrastructure-based estimates of actual wind energy land use in complex terrain. Applying these findings to the onshore wind deployment targets of Greece’s National Energy and Climate Plan (NECP) for 2030 and 2050, we estimate that only 0.02–0.03% of the country’s land area will be occupied by wind energy infrastructure. By comparison, lignite mining has already transformed approximately 0.13% of the national territory—almost four times more land than projected for wind energy use in 2050. Further spatial analysis was conducted to identify the land use categories associated with wind energy infrastructure, while for the subset of projects located within Natura 2000 protected areas, the types of affected habitats were also examined. Treating land coverage as a standalone proxy for environmental impact should be avoided; the study demonstrates the need for a context-sensitive interpretation of land use, accounting for ecological context, land-use compatibility, and positive co-benefits, such as improved forest accessibility, fire prevention works and recreation parks. Repowering maximizes land efficiency by extending wind farm lifetimes without expanding their footprint. Full article
Show Figures

Figure 1

14 pages, 2237 KB  
Article
Electrocatalytic Activity of Delafossite CuCoO2 for Alkaline Oxygen Evolution Reaction and Acidic Hydrogen Evolution Reaction
by Seong-Yong Kim, Dongjin Kim and Yun-Hyuk Choi
Materials 2026, 19(4), 794; https://doi.org/10.3390/ma19040794 - 18 Feb 2026
Viewed by 300
Abstract
Electrochemical water splitting requires electrocatalysts that operate efficiently and durably under disparate electrolyte environments. Herein, pristine CuCoO2 particles were synthesized via a hydrothermal route as a single-phase rhombohedral (3R) delafossite structure composed of hexagonal, single-crystalline particles (~2.6 μm) with a uniform elemental [...] Read more.
Electrochemical water splitting requires electrocatalysts that operate efficiently and durably under disparate electrolyte environments. Herein, pristine CuCoO2 particles were synthesized via a hydrothermal route as a single-phase rhombohedral (3R) delafossite structure composed of hexagonal, single-crystalline particles (~2.6 μm) with a uniform elemental distribution. The prepared CuCoO2 was then evaluated as a bifunctional electrocatalyst for the alkaline oxygen evolution reaction (OER) and the acidic hydrogen evolution reaction (HER), with a deliberate separation of electrode-level performance and intrinsic per-site activity. X-ray photoelectron spectroscopy revealed mixed Cu+/Cu2+ and Co2+/Co3+ states, together with signatures of copper and oxygen vacancies, indicating a defect-rich surface chemistry. In 1 M KOH, the CuCoO2 loaded on carbon fiber paper (CFP) delivered an OER overpotential of 404.38 mV at 10 mA/cm2 in 1 M KOH (Tafel slope = 102.39 mV/dec; charge-transfer resistance (Rct) decreased from 19.32 to 5.78 Ω with increasing potential) and an HER overpotential of 246.46 mV at −10 mA/cm2 in 0.5 M H2SO4, with sluggish kinetics (Tafel slope = 429.17 mV/dec; high Rct = ~1.0–1.1 kΩ). Despite this, CuCoO2 exhibited markedly higher intrinsic activity in acidic HER (ECSA = 82.97 cm2; TOF = 0.1432 s−1 at −0.2 V vs. RHE) than in alkaline OER (ECSA = 9.56 cm2; TOF = 0.079 s−1 at 1.5 V vs. RHE), indicating that acidic HER performance is primarily limited by electrode-level microstructural factors. This work provides, to the best of our knowledge, the first evaluation of acidic HER activity of delafossite CuCoO2 and underscores electrode-level microstructural engineering as a key route to better harness its intrinsic activity for practical water electrolysis. Full article
Show Figures

Figure 1

24 pages, 16838 KB  
Article
Controls of Pre-Jurassic Paleogeomorphology on the Differential Hydrocarbon Enrichment of the Yanan Formation: A Case Study from the Yanwu Area, Ordos Basin, China
by Yanzhao Huang, Yicang Liu, Jianguo Yu, Bing Wang, Conglin Li, Mengxi Li and Yushuang Zhu
Processes 2026, 14(4), 685; https://doi.org/10.3390/pr14040685 - 18 Feb 2026
Viewed by 157
Abstract
Paleogeomorphology exerts first-order control on the distribution of structural hydrocarbon reservoirs across regional unconformities, whereas variations in pore-throat architecture and flow capacity among different geomorphic units further govern hydrocarbon migration pathways and accumulation sites. Therefore, high-resolution reconstruction of regional paleogeomorphology is essential for [...] Read more.
Paleogeomorphology exerts first-order control on the distribution of structural hydrocarbon reservoirs across regional unconformities, whereas variations in pore-throat architecture and flow capacity among different geomorphic units further govern hydrocarbon migration pathways and accumulation sites. Therefore, high-resolution reconstruction of regional paleogeomorphology is essential for effective exploration. This study investigates the Yanwu area of the Ordos Basin, where pre-Jurassic paleogeomorphology was reconstructed based on detailed stratigraphic analyses of the Yan’an Formation and the Yan-10 oil-bearing interval, and its influence on reservoir formation was systematically evaluated. Paleogeomorphology was delineated using well-log-based compensated impression methods integrated with localized 3D seismic inversion. Reservoir samples from distinct geomorphic units were analyzed through thin-section petrography, FESEM imaging, high-pressure mercury intrusion, and visualized micro-scale hydrocarbon charging experiments to characterize pore-throat systems and flow behavior. Four geomorphic units—paleohighs, slope zones, terraces, and valleys—were identified. Seismic inversion across the Yanwu tributary valley and the Honghe paleovalley confirms the reliability of the reconstructed geomorphology. Reservoirs within slope zones and terraces exhibit superior pore-throat structures, dominated by intergranular and dissolution pores, and display grid-like displacement patterns with higher ultimate recovery in micro-charging tests. Portions of the paleohighs show comparable reservoir quality and flow capacity. Results indicate that slope zones and terraces represent the most favorable hydrocarbon accumulation domains. Where overlying strata provide effective sealing, hydrocarbons preferentially accumulate on structural highs within these geomorphic units; in contrast, insufficient sealing transforms them into efficient migration conduits. Certain paleohighs may also host structural-high accumulations when capped by effective traps. The clarified accumulation patterns across geomorphic units offer a robust framework for guiding hydrocarbon exploration and reserve growth in regions with similar tectono-sedimentary settings. Full article
Show Figures

Figure 1

20 pages, 1526 KB  
Article
A Model-Based Framework for Lithium-Ion Battery SoC Estimation Using a Tuning-Light Discrete-Time Sliding-Mode Observer
by Sajad Saberi and Jaber A. Abu Qahouq
Modelling 2026, 7(1), 42; https://doi.org/10.3390/modelling7010042 - 16 Feb 2026
Viewed by 211
Abstract
Reliable state-of-charge (SoC) estimation is crucial for safe and efficient battery management. However, it is challenging in practice. Terminal-voltage sensitivity becomes weak in open-circuit-voltage (OCV) plateau regions. Model uncertainty also persists at practical sampling periods. To tackle this issue, this paper proposes a [...] Read more.
Reliable state-of-charge (SoC) estimation is crucial for safe and efficient battery management. However, it is challenging in practice. Terminal-voltage sensitivity becomes weak in open-circuit-voltage (OCV) plateau regions. Model uncertainty also persists at practical sampling periods. To tackle this issue, this paper proposes a discrete-time, model-based SoC estimation framework. This framework combines a dual-polarization equivalent-circuit model with a tuning-light sliding-mode observer. It is specifically designed for digitally sampled battery management systems. The modeling stage includes: (i) a discrete-time DP representation suitable for embedded use, (ii) a shape-preserving PCHIP reconstruction of the OCV–SoC curve and its derivative, and (iii) an effective-slope regularization mechanism that maintains non-vanishing output sensitivity even in flat OCV regions. On top of this structure, a boundary-layer SMO is developed with output-error shaping, model-driven gain scaling, and simple bias-compensation terms based on integral correction and leaky Coulomb counting. A discrete-time Lyapunov analysis is conducted directly on the surface dynamics. This analysis shows finite-time reaching to the boundary layer and a practical limit on the steady-state error that depends on the sampling period, disturbance level, and boundary-layer width. Numerical tests on a DP model identified from experimental data indicate that the proposed method achieves SoC accuracy similar to a switching-gain adaptive SMO. The results confirm the benefits of a model-centric design. The discrete-time formulation and convergence proof, which do not depend on high sampling rates, provide robustness advantages over traditional sliding-mode methods. The proposed method also performs better than a tuned EKF in plateau regions, requiring much less tuning effort. Full article
(This article belongs to the Special Issue The 5th Anniversary of Modelling)
Show Figures

Figure 1

Back to TopTop